Possible Multi-Band Afterglows of FRB 20171020A and Their Implications
Abstract
1. Introduction
2. Model Description
2.1. Dynamics of the Ejecta
2.2. Thermal Synchrotron Emission
3. Results
3.1. Model Parameters and Justification
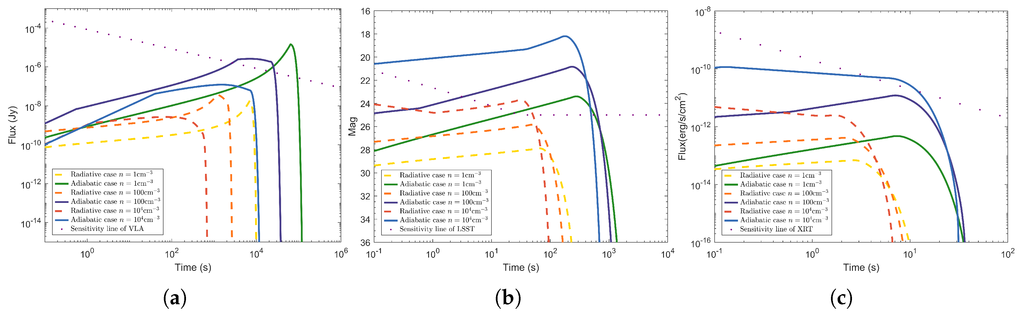
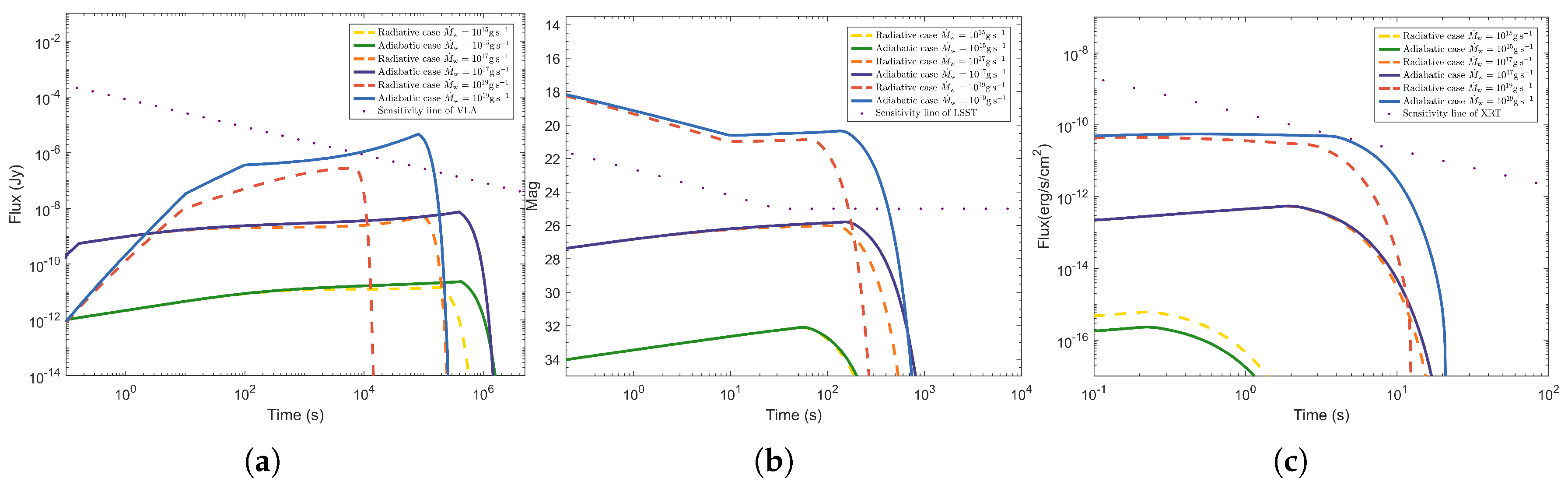
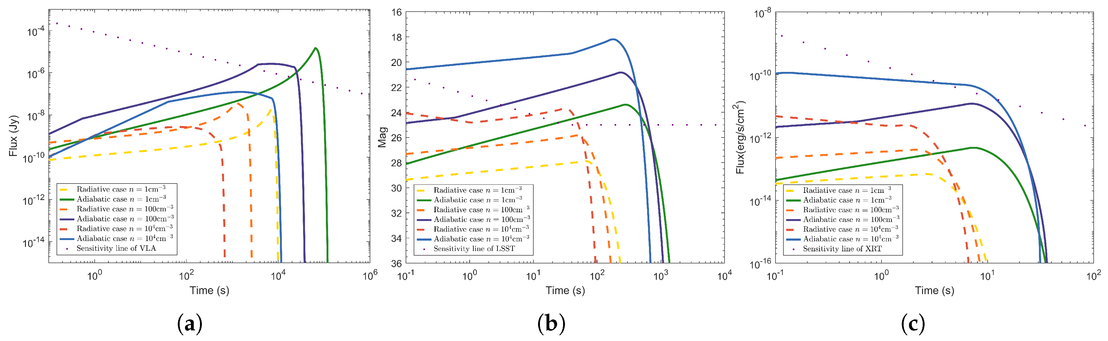
3.2. Radio Afterglow
3.3. Optical Afterglow
3.4. X-Ray Afterglow
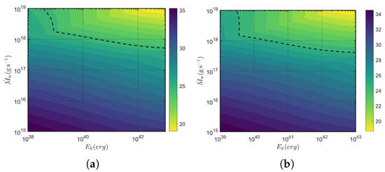
3.5. Detectability Across Parameter Space
4. Conclusions and Discussions
Author Contributions
Funding
Data Availability Statement
Acknowledgments
Conflicts of Interest
Abbreviations
| FRB | Fast Radio Burst |
| ASKAP | Australian Square Kilometre Array Pathfinder |
| ISM | Interstellar medium |
| VLA | Very Large Array |
| LSST | Large Synoptic Survey Telescope |
| XRT | X-ray telescope |
| 1 | In the parameter space considered in this work, the lifetime of the reverse shock is very short, in the order of ms. Given this short duration, we focus solely on the afterglow emission produced by the forward shock. |
| 2 | The Exposure Calculator can be found ingat https://obs.vla.nrao.edu/ect/(accessed on 4 April 2025). |
| 3 | It is important to emphasize that our estimate represents a conservative lower bound. The assumed parameters—such as the minimum energy threshold and ambient environments—were chosen to reflect the most restrictive conditions under which the optical afterglow could still be marginally detectable. The actual detection probability may be substantially higher under more favorable (but still realistic) physical conditions. However, a reliable quantification of this would require a detailed Monte Carlo simulation across a high-dimensional parameter space, which lies beyond the scope of this work. |
References
- Lorimer, D.R.; Bailes, M.; McLaughlin, M.A.; Narkevic, D.J.; Crawford, F. A bright millisecond radio burst of extragalactic origin. Science 2007, 318, 777. [Google Scholar] [CrossRef] [PubMed]
- Thornton, D.; Stappers, B.; Bailes, M.; Barsdell, B.; Bates, S.; Bhat, N.D.R.; Burgay, M.; Burke-Spolaor, S.; Champion, D.J.; Coster, P.; et al. A Population of Fast Radio Bursts at Cosmological Distances. Science 2013, 341, 53–56. [Google Scholar] [CrossRef] [PubMed]
- Xiao, D.; Wang, F.; Dai, Z. The physics of fast radio bursts. Sci. China Phys. Mech. Astron. 2021, 64, 249501. [Google Scholar] [CrossRef]
- Zhang, B. The physics of fast radio bursts. Rev. Mod. Phys. 2023, 95, 035005. [Google Scholar] [CrossRef]
- Lorimer, D.R.; McLaughlin, M.A.; Bailes, M. The discovery and significance of fast radio bursts. Astrophys. Space Sci. 2024, 369, 59. [Google Scholar] [CrossRef]
- CHIME/FRB Collaboration; Andersen, B.C.; Bandura, K.M.; Bhardwaj, M.; Bij, A.; Boyce, M.M.; Boyle, P.J.; Brar, C.; Cassanelli, T.; Chawla, P.; et al. A bright millisecond-duration radio burst from a Galactic magnetar. Nature 2020, 587, 54–58. [Google Scholar] [CrossRef]
- Bochenek, C.D.; Ravi, V.; Belov, K.V.; Hallinan, G.; Kocz, J.; Kulkarni, S.R.; McKenna, D.L. A fast radio burst associated with a Galactic magnetar. Nature 2020, 587, 59–62. [Google Scholar] [CrossRef]
- Lin, L.; Zhang, C.F.; Wang, P.; Gao, H.; Guan, X.; Han, J.L.; Jiang, J.C.; Jiang, P.; Lee, K.J.; Li, D.; et al. No pulsed radio emission during a bursting phase of a Galactic magnetar. Nature 2020, 587, 63–65. [Google Scholar] [CrossRef]
- CHIME/FRB Collaboration; Amiri, M.; Bandura, K.; Bhardwaj, M.; Boubel, P.; Boyce, M.M.; Boyle, P.J.; Brar, C.; Burhanpurkar, M.; Cassanelli, T.; et al. A second source of repeating fast radio bursts. Nature 2019, 566, 235–238. [Google Scholar] [CrossRef]
- Kumar, P.; Shannon, R.M.; Osłowski, S.; Qiu, H.; Bhandari, S.; Farah, W.; Flynn, C.; Kerr, M.; Lorimer, D.R.; Macquart, J.P.; et al. Faint Repetitions from a Bright Fast Radio Burst Source. Astrophys. J. Lett. 2019, 887, L30. [Google Scholar] [CrossRef]
- Li, D.; Wang, P.; Zhu, W.W.; Zhang, B.; Zhang, X.X.; Duan, R.; Zhang, Y.K.; Feng, Y.; Tang, N.Y.; Chatterjee, S.; et al. A bimodal burst energy distribution of a repeating fast radio burst source. Nature 2021, 598, 267–271. [Google Scholar] [CrossRef] [PubMed]
- Kirsten, F.; Marcote, B.; Nimmo, K.; Hessels, J.W.T.; Bhardwaj, M.; Tendulkar, S.P.; Keimpema, A.; Yang, J.; Snelders, M.P.; Scholz, P.; et al. A repeating fast radio burst source in a globular cluster. Nature 2022, 602, 585–589. [Google Scholar] [CrossRef] [PubMed]
- CHIME/FRB Collaboration; Amiri, M.; Andersen, B.C.; Bandura, K.; Berger, S.; Bhardwaj, M.; Boyce, M.M.; Boyle, P.J.; Brar, C.; Breitman, D.; et al. The First CHIME/FRB Fast Radio Burst Catalog. Astrophys. J. Suppl. Ser. 2021, 257, 59. [Google Scholar] [CrossRef]
- Pleunis, Z.; Good, D.C.; Kaspi, V.M.; Mckinven, R.; Ransom, S.M.; Scholz, P.; Bandura, K.; Bhardwaj, M.; Boyle, P.J.; Brar, C.; et al. Fast Radio Burst Morphology in the First CHIME/FRB Catalog. Astrophys. J. 2021, 923, 1. [Google Scholar] [CrossRef]
- Nimmo, K.; Hessels, J.W.T.; Keimpema, A.; Archibald, A.M.; Cordes, J.M.; Karuppusamy, R.; Kirsten, F.; Li, D.Z.; Marcote, B.; Paragi, Z. Highly polarized microstructure from the repeating FRB 20180916B. Nat. Astron. 2021, 5, 594–603. [Google Scholar] [CrossRef]
- Feng, Y.; Li, D.; Yang, Y.P.; Zhang, Y.; Zhu, W.; Zhang, B.; Lu, W.; Wang, P.; Dai, S.; Lynch, R.S.; et al. Frequency-dependent polarization of repeating fast radio bursts—implications for their origin. Science 2022, 375, 1266–1270. [Google Scholar] [CrossRef]
- Xu, H.; Niu, J.R.; Chen, P.; Lee, K.J.; Zhu, W.W.; Dong, S.; Zhang, B.; Jiang, J.C.; Wang, B.J.; Xu, J.W.; et al. A fast radio burst source at a complex magnetized site in a barred galaxy. Nature 2022, 609, 685–688. [Google Scholar] [CrossRef]
- Chime/Frb Collaboration; Andersen, B.C.; Bandura, K.; Bhardwaj, M.; Boyle, P.J.; Brar, C.; Cassanelli, T.; Chatterjee, S.; Chawla, P.; Cook, A.M.; et al. CHIME/FRB Discovery of 25 Repeating Fast Radio Burst Sources. Astrophys. J. 2023, 947, 83. [Google Scholar] [CrossRef]
- Platts, E.; Weltman, A.; Walters, A.; Tendulkar, S.; Gordin, J.; Kandhai, S. A living theory catalogue for fast radio bursts. Phys. Rep. 2020, 821, 1–27. [Google Scholar] [CrossRef]
- Zhang, B. The physical mechanisms of fast radio bursts. Nature 2020, 587, 45–53. [Google Scholar] [CrossRef]
- Yi, S.X.; Gao, H.; Zhang, B. Multi-wavelength Afterglows of Fast Radio Bursts. Astrophys. J. Lett. 2014, 792, L21. [Google Scholar] [CrossRef]
- Nicastro, L.; Guidorzi, C.; Palazzi, E.; Zampieri, L.; Turatto, M.; Gardini, A. Multiwavelength Observations of Fast Radio Bursts. Universe 2021, 7, 76. [Google Scholar] [CrossRef]
- Metzger, B.D.; Margalit, B.; Sironi, L. Fast radio bursts as synchrotron maser emission from decelerating relativistic blast waves. Mon. Not. R. Astron. Soc. 2019, 485, 4091–4106. [Google Scholar] [CrossRef]
- Beloborodov, A.M. Blast Waves from Magnetar Flares and Fast Radio Bursts. Astrophys. J. 2020, 896, 142. [Google Scholar] [CrossRef]
- Margalit, B.; Beniamini, P.; Sridhar, N.; Metzger, B.D. Implications of a Fast Radio Burst from a Galactic Magnetar. Astrophys. J. Lett. 2020, 899, L27. [Google Scholar] [CrossRef]
- Cooper, A.J.; Rowlinson, A.; Wijers, R.A.M.J.; Bassa, C.; Gourdji, K.; Hessels, J.; van der Horst, A.J.; Kondratiev, V.; Michilli, D.; Pleunis, Z.; et al. Testing afterglow models of FRB 200428 with early post-burst observations of SGR 1935 + 2154. Mon. Not. R. Astron. Soc. 2022, 517, 5483–5495. [Google Scholar] [CrossRef]
- Du, M.; Yi, S.X.; Deng, C.M.; Wang, P. Prediction for the Multi-band Afterglows of FRB 200428 and its Implication. Res. Astron. Astrophys. 2023, 23, 115010. [Google Scholar] [CrossRef]
- Sokolowski, M.; Bhat, N.D.R.; Macquart, J.P.; Shannon, R.M.; Bannister, K.W.; Ekers, R.D.; Scott, D.R.; Beardsley, A.P.; Crosse, B.; Emrich, D.; et al. No Low-frequency Emission from Extremely Bright Fast Radio Bursts. Astrophys. J. Lett. 2018, 867, L12. [Google Scholar] [CrossRef]
- Mahony, E.K.; Ekers, R.D.; Macquart, J.P.; Sadler, E.M.; Bannister, K.W.; Bhandari, S.; Flynn, C.; Koribalski, B.S.; Prochaska, J.X.; Ryder, S.D.; et al. A Search for the Host Galaxy of FRB 171020. Astrophys. J. Lett. 2018, 867, L10. [Google Scholar] [CrossRef]
- Lee-Waddell, K.; James, C.W.; Ryder, S.D.; Mahony, E.K.; Bahramian, A.; Koribalski, B.S.; Kumar, P.; Marnoch, L.; North-Hickey, F.O.; Sadler, E.M.; et al. The host galaxy of FRB 20171020A revisited. Publ. Astron. Soc. Aust. 2023, 40, e029. [Google Scholar] [CrossRef]
- Arcus, W.R.; James, C.; Ekers, R.; Macquart, J.P.; Sadler, E.; Wayth, R.B.; Bannister, K.; Deller, A.T.; Flynn, C.; Glowacki, M.; et al. The fast radio burst population energy distribution. Publ. Astron. Soc. Aust. 2025, 42, e003. [Google Scholar] [CrossRef]
- Huang, Y.F.; Dai, Z.G.; Lu, T. A generic dynamical model of gamma-ray burst remnants. Mon. Not. R. Astron. Soc. 1999, 309, 513–516. [Google Scholar] [CrossRef]
- Sironi, L.; Spitkovsky, A. Particle Acceleration in Relativistic Magnetized Collisionless Pair Shocks: Dependence of Shock Acceleration on Magnetic Obliquity. Astrophys. J. 2009, 698, 1523–1549. [Google Scholar] [CrossRef]
- Blandford, R.D.; McKee, C.F. Fluid dynamics of relativistic blast waves. Phys. Fluids 1976, 19, 1130–1138. [Google Scholar] [CrossRef]
- Wu, X.F.; Dai, Z.G.; Huang, Y.F.; Lu, T. Optical flashes and very early afterglows in wind environments. Mon. Not. R. Astron. Soc. 2003, 342, 1131–1138. [Google Scholar] [CrossRef]
- Sari, R.; Piran, T.; Narayan, R. Spectra and Light Curves of Gamma-Ray Burst Afterglows. Astrophys. J. 1998, 497, L17. [Google Scholar] [CrossRef]
- Gao, H.; Lei, W.H.; Zou, Y.C.; Wu, X.F.; Zhang, B. A complete reference of the analytical synchrotron external shock models of gamma-ray bursts. New Astron. Rev. 2013, 57, 141–190. [Google Scholar] [CrossRef]
- Moretti, A.; Piotto, G.; Arcidiacono, C.; Milone, A.P.; Ragazzoni, R.; Falomo, R.; Farinato, J.; Bedin, L.R.; Anderson, J.; Sarajedini, A.; et al. MCAO near-IR photometry of the globular cluster NGC 6388: MAD observations in crowded fields. Astron. Astrophys. 2008, 493, 539–546. [Google Scholar] [CrossRef]
- Shin, K.; Masui, K.W.; Bhardwaj, M.; Cassanelli, T.; Chawla, P.; Dobbs, M.; Dong, F.A.; Fonseca, E.; Gaensler, B.M.; Herrera-Martín, A.; et al. Inferring the Energy and Distance Distributions of Fast Radio Bursts Using the First CHIME/FRB Catalog. Astrophys. J. 2023, 944, 105. [Google Scholar] [CrossRef]




Disclaimer/Publisher’s Note: The statements, opinions and data contained in all publications are solely those of the individual author(s) and contributor(s) and not of MDPI and/or the editor(s). MDPI and/or the editor(s) disclaim responsibility for any injury to people or property resulting from any ideas, methods, instructions or products referred to in the content. |
© 2025 by the authors. Licensee MDPI, Basel, Switzerland. This article is an open access article distributed under the terms and conditions of the Creative Commons Attribution (CC BY) license (https://creativecommons.org/licenses/by/4.0/).
Share and Cite
Bian, K.; Deng, C.-M. Possible Multi-Band Afterglows of FRB 20171020A and Their Implications. Universe 2025, 11, 156. https://doi.org/10.3390/universe11050156
Bian K, Deng C-M. Possible Multi-Band Afterglows of FRB 20171020A and Their Implications. Universe. 2025; 11(5):156. https://doi.org/10.3390/universe11050156
Chicago/Turabian StyleBian, Ke, and Can-Min Deng. 2025. "Possible Multi-Band Afterglows of FRB 20171020A and Their Implications" Universe 11, no. 5: 156. https://doi.org/10.3390/universe11050156
APA StyleBian, K., & Deng, C.-M. (2025). Possible Multi-Band Afterglows of FRB 20171020A and Their Implications. Universe, 11(5), 156. https://doi.org/10.3390/universe11050156

