A Note on Gravitational Dark Matter Production
Abstract
1. Introduction
- 1.
- “END” denotes the end of inflation.
- 2.
- “0” denotes the present time.
- 3.
- “reh” denotes the reheating time.
- 4.
- denotes the energy density of the produced A-particles, at the end of inflation.
- 5.
- is the energy density of the background at the end of inflation ( is the reduced Planck mass), that is, it corresponds to the energy density of the inflaton field.
- 6.
- corresponds to the energy density of the radiation.
- 7.
- is the heating efficiency of the A-particles.
- 8.
- is the decay efficiency of the A-particles, where is the decay rate of the A-particles.
- 9.
- is the density parameter for radiation ( km/s/Mpc in which is the present day value of the Hubble constant).
- 10.
- is the density parameter of the A-particles.
- 1.
- , where the Y-particles are the candidate for dark matter.
- 2.
- .
- 3.
- .
- 4.
- .
2. Gravitational Reheating Formulas
3. Gravitational Production of Dark Matter
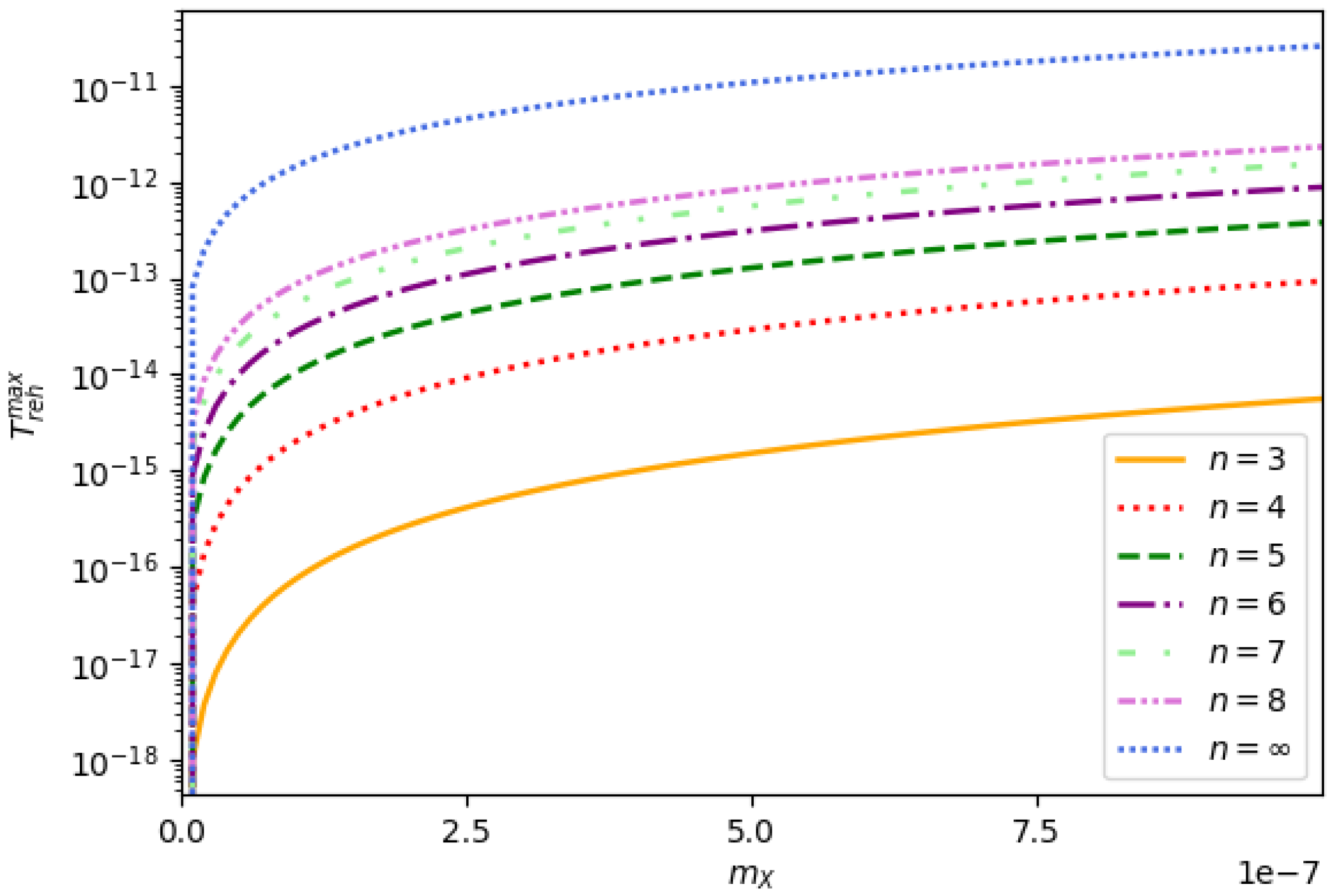
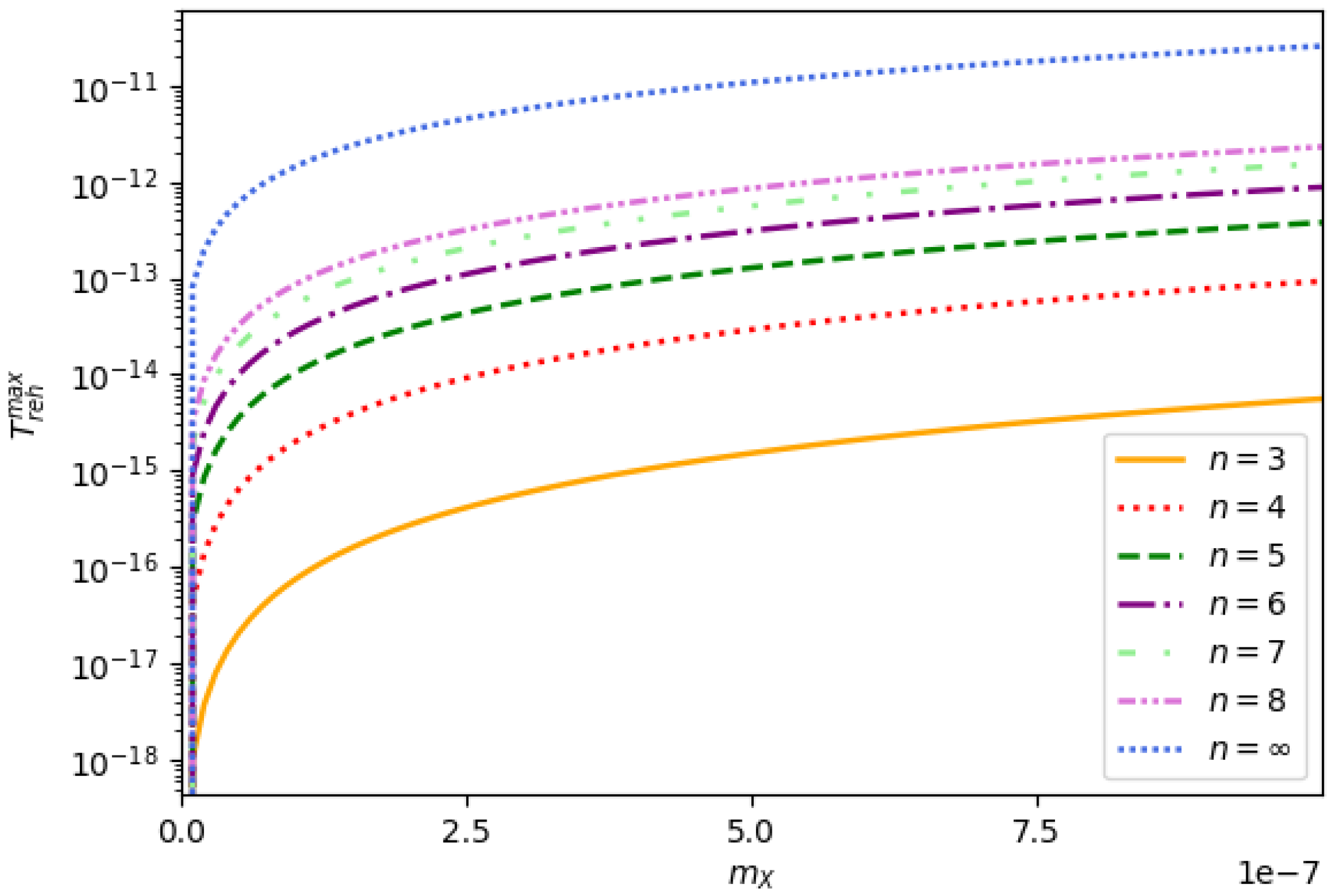
3.1. Maximum Reheating Temperature
Quintessential Inflation
3.2. General Case: Decay Before the Onset of Radiation
Quintessential Inflation
4. Gravitational Production of Dark Matter + Reheating via Inflaton Decay
Delayed Decay
5. Conclusions
Author Contributions
Funding
Data Availability Statement
Conflicts of Interest
| 1 | Without any loss of generality, we have set , the present-day value of the scale factor to be unity. |
References
- Chung, D.J.H. Classical Inflation Field Induced Creation of Superheavy Dark Matter. Phys. Rev. D 2003, 67, 083514. [Google Scholar] [CrossRef]
- Chung, D.J.H.; Crotty, P.; Kolb, E.W.; Riotto, A. On the Gravitational Production of Superheavy Dark Matter. Phys. Rev. D 2001, 64, 043503. [Google Scholar] [CrossRef]
- Markkanen, T.; Nurmi, S. Dark matter from gravitational particle production at reheating. J. Cosmol. Astropart. Phys. 2017, 2017, 008. [Google Scholar] [CrossRef]
- Ema, Y.; Nakayama, K.; Tang, Y. Production of Purely Gravitational Dark Matter. J. High Energy Phys. 2018, 2018, 135. [Google Scholar] [CrossRef]
- Ema, Y.; Nakayama, K.; Tang, Y. Production of purely gravitational dark matter: The case of fermion and vector boson. J. High Energy Phys. 2019, 2019, 60. [Google Scholar] [CrossRef]
- Haro, J. Gravitational production of dark matter in the Peebles–Vilenkin model. Eur. Phys. J. C 2020, 80, 257. [Google Scholar] [CrossRef]
- Haro, J.; Aresté Saló, L. Gravitational production of superheavy baryonic and dark matter in quintessential inflation: Nonconformally coupled case. Phys. Rev. D 2019, 100, 043519. [Google Scholar] [CrossRef]
- Cembranos, J.A.R.; Garay, L.J.; Sánchez Velázquez, J.M. Gravitational production of scalar dark matter. J. High Energy Phys. 2020, 2020, 84. [Google Scholar] [CrossRef]
- Babichev, E.; Gorbunov, D.; Ramazanov, S.; Reverberi, L. Gravitational reheating and superheavy Dark Matter creation after inflation with non-minimal coupling. J. Cosmol. Astropart. Phys. 2020, 2020, 059. [Google Scholar] [CrossRef]
- Karam, A.; Raidal, M.; Tomberg, E. Gravitational dark matter production in Palatini preheating. J. Cosmol. Astropart. Phys. 2021, 2021, 064. [Google Scholar] [CrossRef]
- Mambrini, Y.; Olive, K.A. Gravitational Production of Dark Matter during Reheating. Phys. Rev. D 2021, 103, 115009. [Google Scholar] [CrossRef]
- Bernal, N.; Zapata, O. Gravitational dark matter production: Primordial black holes and UV freeze-in. Phys. Lett. B 2021, 815, 136129. [Google Scholar] [CrossRef]
- Garcia, M.A.G.; Pierre, M.; Verner, S. Scalar dark matter production from preheating and structure formation constraints. Phys. Rev. D 2023, 107, 043530. [Google Scholar] [CrossRef]
- Bastero-Gil, M.; Ferraz, P.B.; Ubaldi, L.; Vega-Morales, R. Super heavy dark matter from inflationary Schwinger production. Phys. Rev. D 2024, 110, 095019. [Google Scholar] [CrossRef]
- Zhang, R.; Zheng, S. Gravitational dark matter from minimal preheating. J. High Energy Phys. 2024, 2024, 61. [Google Scholar] [CrossRef]
- Barman, B.; Datta, A. Testing axionic dark matter during gravitational reheating. Phys. Rev. D 2024, 109, 095029. [Google Scholar] [CrossRef]
- Bastero-Gil, M.; Ferraz, P.B.; Ubaldi, L.; Vega-Morales, R. Schwinger dark matter production. J. Cosmol. Astropart. Phys. 2024, 10, 078. [Google Scholar] [CrossRef]
- Belfiglio, A.; Luongo, O. Production of ultralight dark matter from inflationary spectator fields. Phys. Rev. D 2024, 110, 023541. [Google Scholar] [CrossRef]
- Bertuzzo, E.; Perez-Gonzalez, Y.F.; Salla, G.M.; Funchal, R.Z. Gravitationally produced dark matter and primordial black holes. J. Cosmol. Astropart. Phys. 2024, 2024, 059. [Google Scholar] [CrossRef]
- Wang, C.; Zhao, W. Gravitational Dark Matter Production in Supergravity α-Attractor Inflation. arXiv 2024, arXiv:2411.15030. [Google Scholar]
- Hashiba, S.; Yokoyama, J. Gravitational reheating through conformally coupled superheavy scalar particles. J. Cosmol. Astropart. Phys. 2019, 2019, 028. [Google Scholar] [CrossRef]
- Garcia, M.A.G.; Kaneta, K.; Mambrini, Y.; Olive, K.A. Inflaton Oscillations and Post-Inflationary Reheating. J. Cosmol. Astropart. Phys. 2021, 2021, 012. [Google Scholar] [CrossRef]
- Lahav, O.; Liddle, A.R. The Cosmological Parameters (2021). arXiv 2022, arXiv:2201.08666. [Google Scholar]
- de Haro, J.; Aresté Saló, L.; Pan, S. Gravitational reheating formulas and bounds in oscillating backgrounds. Phys. Rev. D 2024, 110, 123504. [Google Scholar] [CrossRef]
- de Haro, J.; Pan, S. Gravitational reheating formulas and bounds in oscillating backgrounds II: Constraints on the spectral index and gravitational dark matter production. arXiv 2024, arXiv:2411.06190. [Google Scholar]
- Chun, E.J.; Scopel, S.; Zaballa, I. Gravitational reheating in quintessential inflation. J. Cosmol. Astropart. Phys. 2009, 2009, 022. [Google Scholar] [CrossRef]
- de Haro, J.; Aresté Saló, L. Analytic formula to calculate the reheating temperature via gravitational particle production in smooth nonoscillating backgrounds. Phys. Rev. D 2023, 107, 063542. [Google Scholar] [CrossRef]
- Kaneta, K.; Mambrini, Y.; Olive, K.A. Radiative Production of Non-thermal Dark Matter. Phys. Rev. D 2019, 99, 063508. [Google Scholar] [CrossRef]
- Grib, A.A.; Mamayev, S.G.; Mostepanenko, V.M. Vacuum Quantum Effects in Strong Fields; Friedmann Laboratory Publishing: St. Petersburg, Russia, 1999. [Google Scholar]
- Parker, L.E.; Toms, D.J. Quantum Field Theory in Curved Spacetime. In Cambridge Monograph on Mathematical Physics; Cambridge University Press: Cambridge, UK, 2009. [Google Scholar]
- Brown, A.R. Hyperbolic Inflation. Phys. Rev. Lett. 2018, 121, 251601. [Google Scholar] [CrossRef]
- Kallos, R.; Linde, A.; Roest, D. Superconformal Inflationary α-Attractors. J. High Energy Phys. 2013, 11, 198. [Google Scholar] [CrossRef]
- Kallos, R.; Linde, A. Non-minimal Inflationary Attractors. J. Cosmol. Astropart. Phys. 2013, 10, 033. [Google Scholar] [CrossRef]
- Felder, G.; Kofman, L.; Linde, A. Inflation and Preheating in NO models. Phys. Rev. D 1999, 60, 103505. [Google Scholar] [CrossRef]
- Ellis, J.R.; Linde, A.D.; Nanopoulos, D.V. Inflation Can Save the Gravitino. Phys. Lett. B 1982, 118, 59–64. [Google Scholar] [CrossRef]
- Khlopov, M.Y.; Linde, A.D. Is It Easy to Save the Gravitino? Phys. Lett. B 1984, 138, 265–268. [Google Scholar] [CrossRef]
- Kawasaki, M.; Kohri, K.; Moroi, T. Big-Bang nucleosynthesis and hadronic decay of long-lived massive particles. Phys. Rev. D 2005, 71, 083502. [Google Scholar] [CrossRef]
- Kawasaki, M.; Kohri, K.; Moroi, T.; Takaesu, Y. Revisiting Big-Bang Nucleosynthesis Constraints on Long-Lived Decaying Particles. Phys. Rev. D 2018, 97, 023502. [Google Scholar] [CrossRef]
- Kolb, E.W.; Long, A.J. Cosmological gravitational particle production and its implications for cosmological relics. Rev. Mod. Phys. 2024, 96, 045005. [Google Scholar] [CrossRef]
- Jenks, L.; Kolb, E.W.; Thyme, K. Gravitational Particle Production of Scalars: Analytic and Numerical Approaches Including Early Reheating. arXiv 2024, arXiv:2410.03938. [Google Scholar]
- Peebles, P.J.E.; Vilenkin, A. Quintessential inflation. Phys. Rev. D 1999, 59, 063505. [Google Scholar] [CrossRef]
- Giovannini, M. Production and detection of relic gravitons in quintessential inflationary models. Phys. Rev. D 1999, 60, 123511. [Google Scholar] [CrossRef]
- Dimopoulos, K.; Valle, J.W.F. Modeling quintessential inflation. Astropart. Phys. 2002, 18, 287–306. [Google Scholar] [CrossRef]
- Giovannini, M. Low scale quintessential inflation. Phys. Rev. D 2003, 67, 123512. [Google Scholar] [CrossRef]
- Sami, M.; Sahni, V. Quintessential inflation on the brane and the relic gravity wave background. Phys. Rev. D 2004, 70, 083513. [Google Scholar] [CrossRef]
- Rosenfeld, R.; Frieman, J.A. A Simple model for quintessential inflation. J. Cosmol. Astropart. Phys. 2005, 2005, 003. [Google Scholar] [CrossRef]
- Bento, M.C.; Gonzalez Felipe, R.; Santos, N.M.C. A simple quintessential inflation model. Int. J. Mod. Phys. A 2009, 24, 1639–1642. [Google Scholar] [CrossRef]
- Lankinen, J.; Vilja, I. Gravitational Particle Creation in a Stiff Matter Dominated Universe. J. Cosmol. Astropart. Phys. 2017, 2017, 025. [Google Scholar] [CrossRef]
- De Haro, J.; Aresté Saló, L. Reheating constraints in quintessential inflation. Phys. Rev. D 2017, 95, 123501. [Google Scholar] [CrossRef]
- Aresté Saló, L.; de Haro, J. Quintessential inflation at low reheating temperatures. Eur. Phys. J. C 2017, 77, 798. [Google Scholar] [CrossRef]
- Haro, J.; Yang, W.; Pan, S. Reheating in quintessential inflation via gravitational production of heavy massive particles: A detailed analysis. J. Cosmol. Astropart. Phys. 2019, 2019, 023. [Google Scholar] [CrossRef]
- de Haro, J.; Pan, S.; Aresté Saló, L. Understanding gravitational particle production in quintessential inflation. J. Cosmol. Astropart. Phys. 2019, 2019, 056. [Google Scholar] [CrossRef]
- Dimopoulos, K.; Karam, A.; Sánchez López, S.; Tomberg, E. Palatini R 2 quintessential inflation. J. Cosmol. Astropart. Phys. 2022, 10, 076. [Google Scholar] [CrossRef]
- de Haro, J. Reheating formulas in quintessential inflation via gravitational particle production. Phys. Rev. D 2024, 109, 023517. [Google Scholar] [CrossRef]
- Inagaki, T.; Taniguchi, M. Quintessential Inflation in Logarithmic Cartan F(R) Gravity. arXiv 2023, arXiv:2312.11776. [Google Scholar] [CrossRef]
- Giarè, W.; Di Valentino, E.; Linder, E.V.; Specogna, E. Testing α-attractor quintessential inflation against CMB and low-redshift data. arXiv 2024, arXiv:2402.01560. [Google Scholar] [CrossRef]
- Kofman, L.; Linde, A.D.; Starobinsky, A.A. Towards the theory of reheating after inflation. Phys. Rev. D 1997, 56, 3258–3295. [Google Scholar] [CrossRef]
- Garcia, M.A.G.; Kaneta, K.; Mambrini, Y.; Olive, K.A. Reheating and Post-inflationary Production of Dark Matter. Phys. Rev. D 2020, 101, 123507. [Google Scholar] [CrossRef]
- Giudice, G.F.; Kolb, E.W.; Riotto, A. Largest temperature of the radiation era and its cosmological implications. Phys. Rev. D 2001, 64, 023508. [Google Scholar] [CrossRef]


Disclaimer/Publisher’s Note: The statements, opinions and data contained in all publications are solely those of the individual author(s) and contributor(s) and not of MDPI and/or the editor(s). MDPI and/or the editor(s) disclaim responsibility for any injury to people or property resulting from any ideas, methods, instructions or products referred to in the content. |
© 2025 by the authors. Licensee MDPI, Basel, Switzerland. This article is an open access article distributed under the terms and conditions of the Creative Commons Attribution (CC BY) license (https://creativecommons.org/licenses/by/4.0/).
Share and Cite
de Haro, J.; Pan, S. A Note on Gravitational Dark Matter Production. Universe 2025, 11, 49. https://doi.org/10.3390/universe11020049
de Haro J, Pan S. A Note on Gravitational Dark Matter Production. Universe. 2025; 11(2):49. https://doi.org/10.3390/universe11020049
Chicago/Turabian Stylede Haro, Jaume, and Supriya Pan. 2025. "A Note on Gravitational Dark Matter Production" Universe 11, no. 2: 49. https://doi.org/10.3390/universe11020049
APA Stylede Haro, J., & Pan, S. (2025). A Note on Gravitational Dark Matter Production. Universe, 11(2), 49. https://doi.org/10.3390/universe11020049
