Gravitational Wave Signatures of Warm Dark Matter in the Gauge Extensions of the Standard Model
Abstract
1. Introduction
2. Constraints and Requirements for DM Sterile Neutrino Production
2.1. DM Sterile Neutrino Abundance
2.2. Early Matter Domination (EMD) Onset and the Entropy Dilution
- In order to achieve enough dilution, the neutrino freeze-out temperature should exceed its mass; otherwise, the yield in Equation (3) receives a suppression factor :
- The transition of to the non-relativistic regime is around at temperature . At this stage, the energy density redshifts more slowly than that of radiation, scaling as compared to , and can come to dominate the total energy density of the universe. We denote the temperature at which this transition occurs by , and the corresponding Hubble expansion rate by . The necessary condition for dominance is as follows:Condition can be used to calculate and [37]:Here, and are the number of relativistic degrees of freedom at and , while accounts for the two degrees of freedom associated with the neutrino.
- Before decaying, becomes non-relativistic as long as its total decay width is smaller than the Hubble rate at temperatures around , i.e., . Assuming that the decay is instantaneous and the decay products thermalize quickly with the radiation bath, the decay temperature can be estimated from the condition as follows:
- The EMD era ends once decays and must be completed before the onset of the BBN. This constraint imposes a lower bound on the decay temperature, typically MeV, corresponding to the following:leading to the lifetime bound .
- After decay is completed, EMD ends and the universe is reheated. The entropy injection associated with the decay products dilutes the pre-existing relics. This dilution is quantified by the entropy dilution factor , which is defined as the ratio entropy density before and after decay [18,20,37]:where is the entropy density of the radiation existing from prior stages at , while is the entropy density generated by decay.Using the energy density conservation, we have the following:and the dilution factor is obtained asIs worth noting that, in this scenario, the freeze-out temperatures of the DM sterile neutrino coincides with that of .
3. The Spectrum of the Gravitational Waves
4. Results
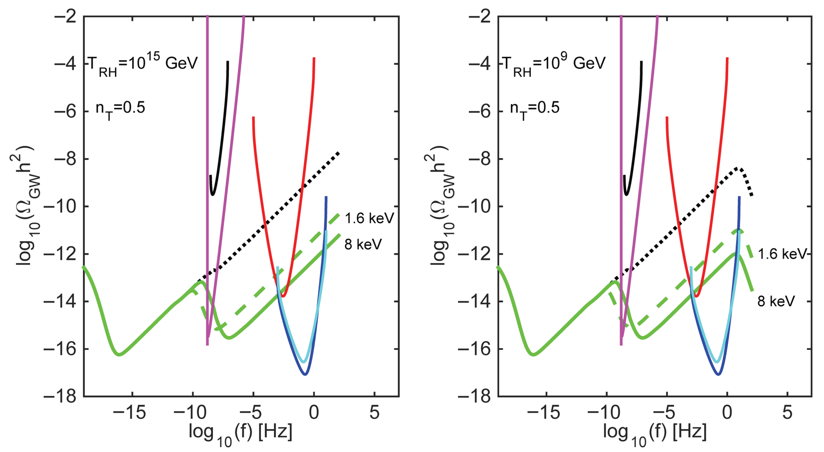
4.1. DM Signatures in the Gravitational Wave Background
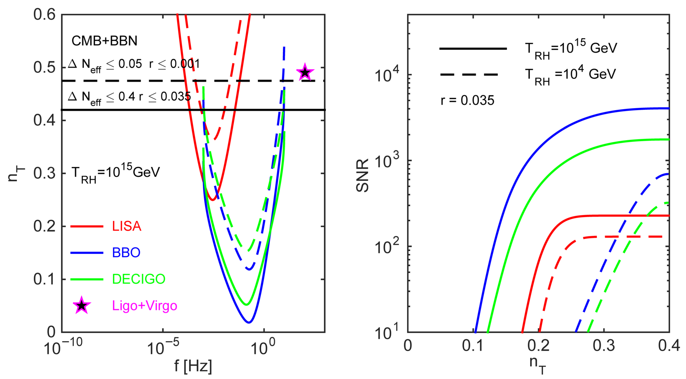
4.2. Signal-to-Noise Ratio for GW Experiments
5. Conclusions
Funding
Institutional Review Board Statement
Informed Consent Statement
Data Availability Statement
Acknowledgments
Conflicts of Interest
References
- Grishchuk, L.P. Amplification of gravitational waves in an isotropic universe. Sov. J. Exp. Theor. Phys. 1975, 40, 409. [Google Scholar]
- Starobinsky, A.A. Spectrum of relic gravitational radiation and the early state of the universe. JETP Lett. 1979, 30, 682. [Google Scholar]
- Turner, M.S.; White, M.J.; Lidsey, J.E. Tensor perturbations in infationary models as a probe of cosmology. Phys. Rev. D 1993, 48, 4613. [Google Scholar] [CrossRef] [PubMed]
- Turner, M.S. Detectability of infation produced gravitational waves. Phys. Rev. D 1997, 55, R435. [Google Scholar] [CrossRef]
- Smith, T.L.; Kamionkowski, M.; Cooray, A. Direct detection of the infationary gravitational wave background. Phys. Rev. D 2006, 73, 023504. [Google Scholar] [CrossRef]
- White, M. Contribution of long-wavelength gravitational waves to the cosmic microwave background anisotropy. Phys. Rev. D 1992, 46, 4198. [Google Scholar] [CrossRef]
- Seto, N.; Yokoyama, J. Probing the equation of state of the early universe with a space laser interferometer. J. Phys. Soc. Jpn. 2003, 72, 3082. [Google Scholar] [CrossRef]
- Boyle, L.A.; Steinhardt, P.J. Probing the early universe with infationary gravitational waves. Phys. Rev. D 2008, 77, 063504. [Google Scholar] [CrossRef]
- Weinberg, S. Damping of tensor modes in cosmology. Phys. Rev. D 2004, 69, 023503. [Google Scholar] [CrossRef]
- Watanabe, Y.; Komatsu, E. Improved calculation of the primordial gravitational wave spectrum in the Standard Model. Phys. Rev. D 2006, 73, 123515. [Google Scholar] [CrossRef]
- Ken’ichi, S.; Satoshi, S. Primordial gravitational waves, precisely: The role of thermodynamics in the Standard Model. J. Cosmol. Astropart. Phys. 2018, 5, 035. [Google Scholar] [CrossRef]
- Kuroyanagi, S.; Chiba, T.; Sugiyama, N. Precision calculations of the gravitational wave background spectrum from infation. Phys. Rev. D 2009, 79, 103501. [Google Scholar] [CrossRef]
- Abbott, B.P.; Abbott, R.; Abbott, T.D.; Abernathy, M.R.; Acernese, F.; Ackley, K.; Cavalieri, R. Observation of Gravitational Waves from a Binary Black Hole Merger. Phys. Rev. Lett. 2016, 2016 116, 061102. [Google Scholar] [CrossRef] [PubMed]
- Abbott, B.P.; Abbott, R.; Abbott, T.D.; Abernathy, M.R.; Acernese, F.; Ackley, K.; Chamberlin, S.J. GW151226: Observation of Gravitational Waves from a 22-Solar-Mass Binary Black Hole Coalescence. Phys. Rev. Lett. 2016, 116, 241103. [Google Scholar] [CrossRef]
- Weltman, A.; Bull, P.; Camera, S.; Kelley, K.; Padmanabhan, H.; Pritchard, J.; Gaensler, B.M. Fundamental physics with the Square Kilometre Array. Publ. Astron. Soc. Austral. 2020, 37, 2. [Google Scholar] [CrossRef]
- Lentati, L.; Taylor, S.R.; Mingarelli, C.M.; Sesana, A.; Sanidas, S.A.; Vecchio, A.; Verbiest, J.P. European Pulsar Timing Array Limits on an Isotropic Stochastic Gravitational-Wave Background. Mon. Not. R. Astron. Soc. 2015, 453, 2598. [Google Scholar] [CrossRef]
- Agazie, G.; Anumarlapudi, A.; Archibald, A.M.; Arzoumanian, Z.; Baker, P.T.; Bécsy, B.; Young, O. The NANOGrav 15 yr Data Set: Evidence for a Gravitational-wave Background. Astrophys. J. Lett. 2023, 951, L8. [Google Scholar] [CrossRef]
- Giudice, G.F.; Riotto, A.; Tkachev, I.; Peloso, M. Production of massive fermions at preheating and leptogenesis. J. High Energy Phys. 1999, 8, 014. [Google Scholar] [CrossRef]
- Buchmuller, W.; Domcke, V.; Kamada, K.; Schmitz, K. The Gravitational Wave Spectrum from Cosmological B-L Breaking. J. Cosmol. Astropart. Phys. 2013, 10, 003. [Google Scholar] [CrossRef]
- Berbig, M.; Ghoshal, A. Impact of high-scale Seesaw and Leptogenesis on inflationary tensor perturbations as detectable gravitational waves. J. High Energy Phys. 2023, 5, 172. [Google Scholar] [CrossRef]
- Ghoshal, A.; Heurtier, L.; Paul, A. Signatures of non-thermal dark matter with kination and early matter domination. Gravitational waves versus laboratory searches. J. High Energy Phys. 2022, 12, 105. [Google Scholar] [CrossRef]
- Bernal, N.; Ghoshal, A.; Hajkarim, F.; Lambiase, G. Primordial Gravitational Wave Signals in Modified Cosmologies. J. Cosmol. Astropart. Phys. 2020, 11, 51. [Google Scholar] [CrossRef]
- Nakayama, K.; Saito, S.; Suwa, Y.; Yokoyama, J. Probing reheating temperature of the universe with gravitational wave background. J. Cosmol. Astropart. Phys. 2006, 6, 20. [Google Scholar] [CrossRef]
- Eichhorn, A.; Lumma, A.; Pawlowski, J.M.; Scherer, M.M.; Reichert, F.J.T.; Yamada, K. Universal gravitational-wave signatures from heavy new physics in the electroweak sector. SciPost Phys. 2020, 9, 41. [Google Scholar] [CrossRef]
- Dent, J.B.; Dutta, B.; Rai, M. Imprints of early universe cosmology on gravitational waves. J. High Energy Phys. 2025, 3, 98. [Google Scholar] [CrossRef]
- Gouttenoire, Y.; Servant, E.; Simakachorn, P. BSM with cosmic strings: Heavy, up to EeV mass, unstable particles. J. Cosmol. Astropart. Phys. 2020, 7, 32. [Google Scholar] [CrossRef]
- Escriva, A.; Kuhnel, F.; Tada, Y. Primordial Black Holes Messenger of the Dark Universe. Symmetry 2024, 16, 1487. [Google Scholar] [CrossRef]
- Tsukada, L.; Brito, R.; East, W.E.; Siemonsen, N. Modeling and searching for a stochastic gravitational-wave background from ultralight vector bosons. Phys. Rev. D 2021, 103, 083005. [Google Scholar] [CrossRef]
- Guo, H.-K.; Jiang, J.; Huang, G.-Y. Probing ultralight tensor dark matter with the stochastic gravitational-wave background. J. Cosmol. Astropart. Phys. 2024, 3, 006. [Google Scholar]
- Muia, F.; Quevedo, F.; Schachner, A.; Villa, M.A.G. Testing BSM Physics with Gravitational Waves. J. Cosmol. Astropart. Phys. 2023, 9, 006. [Google Scholar] [CrossRef]
- Sakellariadou, M. Gravitational Waves: The Theorist’s Swiss Knife. Universe 2018, 4, 132. [Google Scholar] [CrossRef]
- Ellis, J. Gravitational Waves: Echoes of the Biggest Bangs Since the Big Bang and/or BSM Physics? Universe 2025, 11, 213. [Google Scholar] [CrossRef]
- Dror, J.A.; Kuik, E.; Ng, W.H. Co-Decaying Dark Matter. Phys. Rev. Lett. 2016, 117, 211801. [Google Scholar] [CrossRef]
- Berlin, A.; Hooper, D.; Krnjaic, G. Thermal dark matter from a highly decoupled sector. Phys. Rev. D 2016, 94, 095019. [Google Scholar] [CrossRef]
- Dror, J.A.; Kuik, E.; Melcher, B.; Watson, S. Concentrated dark matter: Enhanced small-scale structure from co-decaying dark matter. Phys. Rev. D 2018, 97, 063524. [Google Scholar] [CrossRef]
- Cirelli, M.; Gouttenoire, Y.; Petraki, K.; Sala, F. Homeopathic Dark Matter, or how diluted heavy substances produce high energy cosmic rays. J. Cosmol. Astropart. Phys. 2019, 1902, 014. [Google Scholar] [CrossRef]
- Allahverdi, R.; Osiński, J.K. Early Matter Domination from Long-Lived Particles in the Visible Sector. Phys. Rev. D 2022, 105, 023502. [Google Scholar] [CrossRef]
- Abazajian, K.N.; Fuller, G.M.; Patel, M. Sterile neutrino hot, warm and cold dark matter. Phys. Rev. D 2001, 64, 023501. [Google Scholar] [CrossRef]
- Boyarsky, A.; Ruchayskiy, O.; Shaposhnikov, M. The Role of sterile neutrinos in cosmology and astrophysics. Annu. Rev. Nucl. Part. Sci. 2009, 59, 191–214. [Google Scholar] [CrossRef]
- Kusenko, A. Sterile neutrinos: The Dark side of the light fermions. Phys. Rep. 2009, 481, 1–28. [Google Scholar] [CrossRef]
- Asaka, T.; Blanchet, S.; Shaposhnikov, M. The MSW dark matter and neutrino masses. Phys. Lett. B 2005, 631, 151. [Google Scholar] [CrossRef]
- Asaka, T.; Shaposhnikov, M. The νMSM, dark matter and baryon asymmetry of the universe. Phys. Lett. B 2005, 620, 17. [Google Scholar] [CrossRef]
- Dodelson, S.; Widrow, L.M. Sterile-neutrinos as dark matter. Phys. Rev. Lett. 1994, 72, 17. [Google Scholar] [CrossRef]
- Canetti, L.; Drewes, M.; Frossard, T.; Shaposhnikov, M. Dark matter, baryogenesis and neutrino oscillations from right-handed neutrinos. Phys. Rev. D 2013, 87, 093006. [Google Scholar] [CrossRef]
- Merle, A.; Niro, V. Influence of a keV sterile neutrino on neutrinoless double beta decay: How things changed in recent years. Phys. Rev. D 2013, 88, 113004. [Google Scholar] [CrossRef]
- Shi, X.D.; Fuller, G.M. A New dark matter candidate: Nonthermal sterile neutrinos. Phys. Rev. Lett. 1999, 82, 2832. [Google Scholar] [CrossRef]
- Laine, M.; Shaposhnikov, M. Sterile neutrino dark matter as a consequence of MSM-induced lepton asymmetry. J. Cosmol. Astropart. Phys. 2008, 6, 031. [Google Scholar] [CrossRef]
- Merle, A.; Schneider, A. Production of Sterile Neutrino dark matter and the 3.5 keV line. Phys. Lett. B 2015, 749, 283. [Google Scholar] [CrossRef]
- Adhikari, R.; Agostini, M.; Ky, N.A.; Araki, T.; Archidiacono, M.; Bahr, M.; Zuber, K. A White Paper on keV sterile neutrino Dark Matter. J. Cosmol. Astropart. Phys. 2017, 1, 025. [Google Scholar] [CrossRef]
- Tremaine, S.; Gunn, J.E. Dynamical role of light neutral leptons in cosmology. Phys. Rev. Lett. 1979, 42, 407. [Google Scholar] [CrossRef]
- Boyarsky, A.; Ruchayskiy, O.; Iakubovskyi, D. A lower bound on the mass of dark matter particles. J. Cosmol. Astropart. Phys. 2009, 3, 005. [Google Scholar] [CrossRef]
- Boyarsky, A.; Lesgourgues, J.; Ruchayskiy, O.; Viel, M. Lyman-α constraints on warm and on warm-plus-cold dark matter models. J. Cosmol. Astropart. Phys. 2009, 0905, 012. [Google Scholar] [CrossRef]
- Palazzo, A.; Cumberbatch, D.; Slosar, A.; Silk, J. Sterile neutrinos as subdominant warm dark matter. Phys. Rev. D 2007, 76, 103511. [Google Scholar] [CrossRef]
- Popa, L.A. Dark Matter Sterile Neutrino from Scalar Decays. Universe 2021, 7, 309. [Google Scholar] [CrossRef]
- Abazajian, K.N. Sterile neutrinos in cosmology. Phys. Rep. 2017, 711–712, 1–28. [Google Scholar] [CrossRef]
- Boyarsky, A.; Drewes, M.; Lasserre, T.; Mertens, S.; Ruchayskiy, O. Sterile neutrino Dark Matter. Prog. Part. Nucl. Phys. 2019, 104, 1–45. [Google Scholar] [CrossRef]
- Jeltema, T.E.; Profumo, S. Discovery of a 3.5 keV line in the Galactic Centre and a critical look at the origin of the line across astronomical targets. Mon. Not. R. Astron. Soc. 2015, 450, 2143. [Google Scholar] [CrossRef]
- Riemer-Sorensen, S. Constraints on the presence of a 3.5 keV dark matter emission line from Chandra observations of the Galactic centre. Astron. Astrophys. 2016, 590, A71. [Google Scholar] [CrossRef]
- Loewenstein, M.; Kusenko, A.; Biermann, P.L. New Limits on Sterile Neutrinos from Suzaku Observations of the Ursa Minor Dwarf Spheroidal Galaxy. Astrophys. J. 2009, 700, 426. [Google Scholar]
- Urban, O.; Werner, N.; Allen, S.W.; Simionescu, A.; Kaastra, J.S.; Strigari, L.E. A Suzaku Search for Dark Matter Emission Lines in the X-ray Brightest Galaxy Clusters. Mon. Not. R. Astron. Soc. 2015, 451, 2447. [Google Scholar] [CrossRef]
- Malyshev, D.; Neronov, A.; Eckert, D. Constraints on 3.55 keV line emission from stacked observations of dwarf spheroidal galaxies. Phys. Rev. D 2014, 90, 1035062014. [Google Scholar] [CrossRef]
- Esteban, I.; Gonzalez-Garcia, M.C.; Maltoni, M.; Schwetz, T.; Zhou, A. The fate of hints: Updated global analysis of three-flavor neutrino oscillations. J. High Energy Phys. 2020, 09, 178. [Google Scholar] [CrossRef]
- Zhang, Y.; An, H.; Ji, X.; Mohapatra, R.N. CP Violation in Minimal Left-Right Symmetric Model and Constraints on the Right-Handed Scale. Nucl. Phys. B 2008, 802, 247. [Google Scholar] [CrossRef]
- Maiezza, A.; Nemevsek, M.; Nesti, F.; Senjanovi, G. Left-Right Symmetry at LHC. Phys. Rev. D 2010, 82, 055022. [Google Scholar] [CrossRef]
- Magg, M.; Wetterich, C. Neutrino Mass Problem And Gauge Hierarchy. Phys. Lett. B 1980, 94, 61. [Google Scholar] [CrossRef]
- Bezrukov, F.; Hettmansperger, H.; Lindner, M. keV sterile neutrino Dark Matter in gauge extensions of the Standard Model. Phys. Rev. D 2010, 81, 085032. [Google Scholar] [CrossRef]
- Nemevšek, M.; Senjanović, G.; Zhang, Y. Warm dark matter in low scale left-right theory. J. Cosmol. Astropart. Phys. 2012, 07, 006. [Google Scholar] [CrossRef]
- Navas, S.; Amsler, C.; Gutsche, T.; Hanhart, C.; Hernandez-Rey, J.J.; Lourenco, C.; Masoni, A.; Mikhasenko, M.; Mitchell, R.E.; Patrignani, C.; et al. Particle Data Group. Phys. Rev. D 2024, 110, 030001. [Google Scholar] [CrossRef]
- Aghanim, N. Planck 2018 results. VI. Cosmological parameters. Astron. Astrophys. 2020, 641, A6. [Google Scholar]
- Nemevšek, M.; Zhang, Y. Dark Matter Dilution Mechanism through the Lens of Large Scale Structure. Phys. Rev. Lett. 2023, 130, 121002. [Google Scholar] [CrossRef]
- Nemevšek, M.; Zhang, Y. Anatomy of diluted dark matter in the minimal left-right symmetric model. Phys. Rev. D 2024, 109, 056021. [Google Scholar] [CrossRef]
- Caprini, C.; Figueroa, D.G. Cosmological backgrounds of gravitational waves. Class. Quantum Gravity 2018, 35, 163001. [Google Scholar] [CrossRef]
- Mukohyama, S.; Namba, R.; Peloso, M.; Shiu, G. Blue Tensor Spectrum from Particle Production during Inflation. J. Cosmol. Astropart. Phys. 2014, 8, 36. [Google Scholar] [CrossRef]
- Kuroyanagi, S.; Takahashi, T.; Yokoyama, S. Blue-tilted inflationary tensor spectrum and reheating in the light of NANOGrav results. J. Cosmol. Astropart. Phys. 2021, 1, 71. [Google Scholar] [CrossRef]
- Ade, P.A.; Ahmed, Z.; Amiri, M.; Barkats, D.; Thakur, R.B.; Bischoff, C.A.; BICEP/Keck Collaboration. Improved Constraints on Primordial Gravitational Waves using Planck, WMAP, and BICEP/Keck Observations through the 2018 Observing Season. Phys. Rev. Lett. 2021, 127, 151301. [Google Scholar] [CrossRef]
- Kuroyanagi, S.; Takahashi, T.; Yokoyama, S. Blue-tilted Tensor Spectrum and Thermal History of the Universe. J. Cosmol. Astropart. Phys. 2015, 2, 003. [Google Scholar] [CrossRef]
- Schmitz, K. New Sensitivity Curves for Gravitational-Wave Experiments. arXiv preprint 2020, arXiv:2002.04615. [Google Scholar]
- Schmitz, K. New Sensitivity Curves for Gravitational-Wave Signals from Cosmological Phase Transitions. J. High Energy Phys. 2021, 1, 097. [Google Scholar] [CrossRef]
- Basak, A.; Shankaranarayanan, S. Super-inflationary phase transitions and blue tensor spectrum. JCAP 2010, 11, 021. [Google Scholar]
- Nojiri, S.; Odintsov, S.D.; Paul, T. Early and late universe holographic cosmology from a new generalized entropy. Phys. Lett. B 2022, 831, 137189. [Google Scholar] [CrossRef]
- Liu, Z.G.; Zhang, J.; Piao, Y.S. Phantom inflation with a steplike potential. Phys. Lett. B 2011, 697, 407. [Google Scholar] [CrossRef]
- Richarte, M.G.; Kremer, G.M. Cosmological perturbations in transient phantom inflation scenarios. Eur. Phys. J. C 2017, 77, 51. [Google Scholar] [CrossRef]
- Iqbal, A.; Hussain, I.; Javed, F. Confronting phantom inflation with Planck data. Astrophys. Space Sci. 2018, 363, 222. [Google Scholar] [CrossRef]
- Kobayashi, T.; Yamaguchi, M.; Yokoyama, J. G-inflation: Inflation driven by the Galileon field. Phys. Rev. Lett. 2010, 105, 231302. [Google Scholar] [CrossRef] [PubMed]
- Choudhury, S.; Karde, A.; Panda, S.; Sami, M. Primordial non-Gaussianity from ultra slow-roll Galileon inflation. J. Cosmol. Astropart. Phys. 2024, 01, 012. [Google Scholar] [CrossRef]
- Choudhury, S.; Karde, A.; Panda, S.; Sami, M. Scalar induced gravity waves from ultra slow-roll Galileon inflation. Nucl. Phys. B 2024, 1007, 116678. [Google Scholar] [CrossRef]
- Brandenberger, R.H. String Gas Cosmology. arXiv preprint 2008, arXiv:0808.0746. [Google Scholar]
- Brandenberger, R.H. Superstring cosmology—A complementary review. J. Cosmol. Astropart. Phys. 2023, 11, 019. [Google Scholar] [CrossRef]
- Smith, A.; Mylova, M.; Brax, P.; Bruck, C.v.; Burgess, C.P.; Davis, A.-C. CMB implications of multi-field axio-dilaton cosmology. J. Cosmol. Astropart. Phys. 2024, 12, 058. [Google Scholar] [CrossRef]
- Geller, S.R.; McDonough, W.Q.E.; Kaiser, D.I. Primordial black holes from multifield inflation with nonminimal couplings. Phys. Rev. D 2024, 106, 063535. [Google Scholar] [CrossRef]
- Maggiore, M. Gravitational wave experiments and early universe cosmology. Phys. Rept. 2000, 331, 283. [Google Scholar] [CrossRef]
- Meerburg, P.D.; Hlozek, R.; Hadzhiyska, B.; Meyers, J. Multi-wavelength constraints on the inflationary consistency relation. Phys. Rev. D 2015, 91, 103505. [Google Scholar] [CrossRef]
- Cabass, G.; Pagano, L.; Salvati, L.; Gerbino, M.; Giusarma, E.; Melchiorri, A. Updated Constraints and Forecasts on Primordial Tensor Modes. Phys. Rev. D 2016, 93, 063508. [Google Scholar] [CrossRef]
- Akrami, Y.; Arroja, F.; Ashdown, M.; Aumont, J.; Baccigalupi, C.; Ballardini, M.; Savelainen, M. Planck 2018 results. X. Constraints on inflation. Astron. Astrophys. 2018, 641, A10. [Google Scholar]
- Cyburt, R.H.; Fields, B.D.; Olive, K.A.; Yeh, T.-H. Big Bang Nucleosynthesis: 2015. Rev. Mod. Phys. 2016, 88, 015004. [Google Scholar] [CrossRef]
- Giare, W.; Forconi, M.; Valentino, E.D.; Melchiorri, A. Towards a reliable calculation of relic radiation from primordial gravitational waves. Mon. Not. R. Astron. Soc. 2023, 520, 1757. [Google Scholar] [CrossRef]
- Abbott, B.P.; Abbott, R.; Abbott, T.D.; Acernese, F.; Ackley, K.; Adams, C.; Cao, J. GW170104: Observation of a 50-Solar-Mass Binary Black Hole Coalescence at Redshift 0.2. Phys. Rev. Lett 2017, 118, 121101. [Google Scholar] [CrossRef]
- Giare, W.; Melchiorri, A. Probing the early Universe with gravitational waves from inflation. Phys. Lett. B 2021, 815, 136137. [Google Scholar] [CrossRef]
- Kinney, W.H. Gravitational Wave Direct Detection does not Constrain the Tensor Spectral Index at CMB Scales. Open J. Astrophys. 2021, 4, 5. [Google Scholar] [CrossRef]
- Abazajian, K.; Addison, G.E.; Adshead, P.; Ahmed, Z.; Akerib, D.; Ali, A.; Millea, M. CMB-S4: Forecasting Constraints on Primordial Gravitational Waves. Astrophys. J. 2022, 926, 54. [Google Scholar] [CrossRef]
- Adak, D.; Sen, A.; Basak, S.; Delabrouille, J.; Ghosh, T.; Rotti, A.; Souradeep, T. B-mode forecast of CMB-Bharat. Mon. Not. R. Astron. Soc. 2022, 514, 3002. [Google Scholar] [CrossRef]
- Aiola, S.; Akrami, Y.; Basu, K.; Boylan-Kolchin, M.; Brinckmann, T.; Bryan, S.; HD Collaboration. Snowmass2021 CMB-HD White Paper. arXiv 2022, arXiv:2203.05728. [Google Scholar]
- Amaro-Seoane, P.; Audley, H.; Babak, S.; Baker, J.; Barausse, E.; Bender, P.; Zweifel, P. Laser Interferometer Space Antenna. arXiv 2017, arXiv:1702.00786. [Google Scholar] [CrossRef]
- Baker, J.; Bellovary, J.; Bender, P.L.; Berti, E.; Caldwell, R.; Camp, J.; Ziemer, J. The Laser Interferometer Space Antenna: Unveiling the Millihertz Gravitational Wave Sky. arXiv 2019, arXiv:1907.06482. [Google Scholar] [CrossRef]
- Crowder, J.; Cornish, N.J. Beyond LISA: Exploring future gravitational wave missions. Phys. Rev. D 2005, 72, 083005. [Google Scholar] [CrossRef]
- Corbin, V.; Cornish, N.J. Detecting the cosmic gravitational wave background with the big bang observer. Class. Quant. Grav. 2006, 23, 2435. [Google Scholar] [CrossRef]
- Isoyama, S.; Nakano, H.; Nakamura, T. Multiband Gravitational-Wave Astronomy: Observing binary inspirals with a decihertz detector, B-DECIGO. Prog. Theor. Exp. Phys. 2018, 2018, 073E01. [Google Scholar] [CrossRef]





Disclaimer/Publisher’s Note: The statements, opinions and data contained in all publications are solely those of the individual author(s) and contributor(s) and not of MDPI and/or the editor(s). MDPI and/or the editor(s) disclaim responsibility for any injury to people or property resulting from any ideas, methods, instructions or products referred to in the content. |
© 2025 by the author. Licensee MDPI, Basel, Switzerland. This article is an open access article distributed under the terms and conditions of the Creative Commons Attribution (CC BY) license (https://creativecommons.org/licenses/by/4.0/).
Share and Cite
Popa, L.A. Gravitational Wave Signatures of Warm Dark Matter in the Gauge Extensions of the Standard Model. Universe 2025, 11, 343. https://doi.org/10.3390/universe11100343
Popa LA. Gravitational Wave Signatures of Warm Dark Matter in the Gauge Extensions of the Standard Model. Universe. 2025; 11(10):343. https://doi.org/10.3390/universe11100343
Chicago/Turabian StylePopa, Lucia A. 2025. "Gravitational Wave Signatures of Warm Dark Matter in the Gauge Extensions of the Standard Model" Universe 11, no. 10: 343. https://doi.org/10.3390/universe11100343
APA StylePopa, L. A. (2025). Gravitational Wave Signatures of Warm Dark Matter in the Gauge Extensions of the Standard Model. Universe, 11(10), 343. https://doi.org/10.3390/universe11100343

