QCD Sum Rule Study of Topped Mesons Within Heavy Quark Effective Theory
Abstract
1. Introduction
- The lifetime of topped mesons is significantly shorter than their formation time, causing them to behave as extremely wide resonances in top quark collisions. While HQET may be applicable in this regime due to its assumption of infinite heavy quark mass, this assumption still requires further justification.
- QCD sum rules rely on the separation between the resonant region—where correlators can be approximated by pole saturation of a few low-lying resonances—and the higher-mass continuum. For extremely wide resonances such as topped mesons, the distinction between the continuum and the “resonant region” may become invalid and also requires further justification.
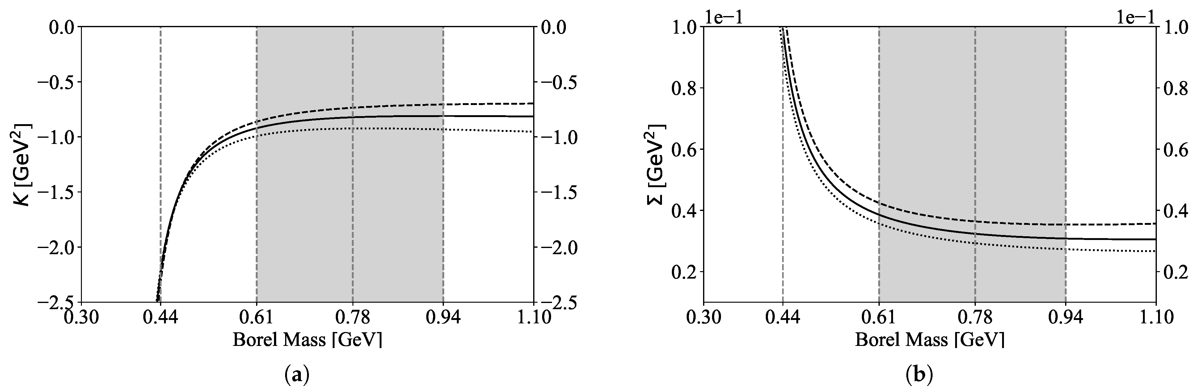
2. Results at Leading Order
, where is the four-velocity of the heavy quark.3. Results at the Order
4. Discussion and Conclusions
Author Contributions
Funding
Data Availability Statement
Conflicts of Interest
References
- Navas, S. et al. [Particle Data Group Collaboration] Review of particle physics. Phys. Rev. D 2024, 110, 030001. [Google Scholar] [CrossRef]
- Fadin, V.S.; Khoze, V.A. Threshold Behavior of Heavy Top Production in e+e− Collisions. JETP Lett. 1987, 46, 525–529. [Google Scholar]
- Barger, V.D.; Glover, E.W.N.; Hikasa, K.; Keung, W.Y.; Olsson, M.G.; Suchyta, C.J., III; Tata, X.R. Superheavy Quarkonium Production and Decays: A New Higgs Signal. Phys. Rev. D 1987, 35, 3366, Erratum in Phys. Rev. D 1988, 38, 1632. [Google Scholar] [CrossRef] [PubMed]
- Kuhn, J.H.; Zerwas, P.M. The Toponium Scenario. Phys. Rept. 1988, 167, 321. [Google Scholar] [CrossRef]
- Fadin, V.S.; Khoze, V.A.; Sjostrand, T. On the Threshold Behavior of Heavy Top Production. Z. Phys. C 1990, 48, 613–622. [Google Scholar] [CrossRef]
- Strassler, M.J.; Peskin, M.E. The Heavy top quark threshold: QCD and the Higgs. Phys. Rev. D 1991, 43, 1500–1514. [Google Scholar] [CrossRef]
- Sumino, Y. Top quark pair production and decay near threshold in e+e− collisions. Acta Phys. Polon. B 1997, 28, 2461–2478. [Google Scholar] [CrossRef]
- Hoang, A.H.; Beneke, M.; Melnikov, K.; Nagano, T.; Ota, A.; Penin, A.A.; Pivovarov, A.A.; Signer, A.; Smirnov, V.A.; Sumino, Y.; et al. Top-Antitop Pair Production close to Threshold: Synopsis of recent NNLO Results. Eur. Phys. J. Direct 2000, 2, 3. [Google Scholar] [CrossRef]
- Penin, A.A.; Smirnov, V.A.; Steinhauser, M. Heavy quarkonium spectrum and production/annihilation rates to order . Nucl. Phys. B 2005, 716, 303–318. [Google Scholar] [CrossRef]
- Hagiwara, K.; Sumino, Y.; Yokoya, H. Bound-state Effects on Top Quark Production at Hadron Colliders. Phys. Lett. B 2008, 666, 71–76. [Google Scholar] [CrossRef]
- Kiyo, Y.; Kuhn, J.H.; Moch, S.; Steinhauser, M.; Uwer, P. Top-quark pair production near threshold at LHC. Eur. Phys. J. C 2009, 60, 375–386. [Google Scholar] [CrossRef]
- Sumino, Y.; Yokoya, H. Bound-state effects on kinematical distributions of top quarks at hadron colliders. JHEP 2010, 9, 034, Erratum in JHEP 2016, 6, 037. [Google Scholar] [CrossRef]
- Beneke, M.; Kiyo, Y.; Marquard, P.; Penin, A.; Piclum, J.; Steinhauser, M. Next-to-Next-to-Next-to-Leading Order QCD Prediction for the Top Antitop S-Wave Pair Production Cross Section Near Threshold in e+e− Annihilation. Phys. Rev. Lett. 2015, 115, 192001. [Google Scholar] [CrossRef] [PubMed]
- Fuks, B.; Hagiwara, K.; Ma, K.; Zheng, Y.J. Signatures of toponium formation in LHC run 2 data. Phys. Rev. D 2021, 104, 034023. [Google Scholar] [CrossRef]
- Wang, G.L.; Feng, T.F.; Wang, Y.Q. Mass spectra and wave functions of toponia. Phys. Rev. D 2025, 111, 096016. [Google Scholar] [CrossRef]
- Jiang, S.J.; Li, B.Q.; Xu, G.Z.; Liu, K.Y. Study on Toponium: Spectrum and Associated Processes. arXiv 2024, arXiv:2412.18527. [Google Scholar] [CrossRef]
- Akbar, N.; Asghar, I.; Ahmad, Z. Properties of Toponium Mesons with Non-relativistic QCD Potential Model. arXiv 2024, arXiv:2411.08548. [Google Scholar] [CrossRef]
- Fuks, B.; Hagiwara, K.; Ma, K.; Zheng, Y.J. Simulating toponium formation signals at the LHC. Eur. Phys. J. C 2025, 85, 157. [Google Scholar] [CrossRef]
- Hayrapetyan, A. et al. [The CMS Collaboration] Observation of a pseudoscalar excess at the top quark pair production threshold. Rept. Prog. Phys. 2025, 88, 087801. [Google Scholar] [CrossRef]
- Aad, G. et al. [The ATLAS Collaboration] Observation of quantum entanglement with top quarks at the ATLAS detector. Nature 2024, 633, 542–547. [Google Scholar] [CrossRef]
- Hayrapetyan, A. et al. [The CMS Collaboration] Observation of quantum entanglement in top quark pair production in proton–proton collisions at s=13 TeV. Rept. Prog. Phys. 2024, 87, 117801. [Google Scholar] [CrossRef]
- Aguilar-Saavedra, J.A. Toponium hunter’s guide. Phys. Rev. D 2024, 110, 054032. [Google Scholar] [CrossRef]
- Llanes-Estrada, F.J. Ensuring that toponium is glued, not nailed. Phys. Lett. B 2025, 866, 139510. [Google Scholar] [CrossRef]
- Fu, J.H.; Li, Y.J.; Yang, H.M.; Li, Y.B.; Zhang, Y.J.; Shen, C.P. Toponium: The smallest bound state and simplest hadron in quantum mechanics. Phys. Rev. D 2025, 111, 114020. [Google Scholar] [CrossRef]
- Fu, J.H.; Zhang, Y.J.; Xu, G.Z.; Liu, K.Y. Toponium: Implementation of a toponium model in FeynRules. arXiv 2025, arXiv:2504.12634. [Google Scholar] [CrossRef]
- Nason, P.; Re, E.; Rottoli, L. Spin Correlations in tt¯ Production and Decay at the LHC in QCD Perturbation Theory. arXiv 2025, arXiv:2505.00096. [Google Scholar] [CrossRef]
- Ellis, J. Personal Memories of 50 Years of Quarkonia. arXiv 2025, arXiv:2506.10643. [Google Scholar] [CrossRef]
- Jafari, A. TOP2024: An overview of experimental results. arXiv 2025, arXiv:2501.16231. [Google Scholar] [CrossRef]
- Bai, Y.; Chen, T.K.; Yang, Y. Toponia at the HL-LHC, CEPC, and FCC-ee. arXiv 2025, arXiv:2506.14552. [Google Scholar] [CrossRef]
- Shao, H.S.; Wang, G. Analytic NNLO transverse-momentum-dependent soft function for heavy quark pair hadroproduction at threshold. arXiv 2025, arXiv:2506.23791. [Google Scholar] [CrossRef]
- Xiong, C.; Zhang, Y.J. Probing Yoctosecond Quantum Dynamics in Toponium Formation at Colliders. arXiv 2025, arXiv:2507.05703. [Google Scholar] [CrossRef]
- Thompson, E.J. Top Quark Bound States in Finite and Holomorphic Quantum Field Theories. arXiv 2025, arXiv:2507.16831. [Google Scholar] [CrossRef]
- Luo, S.Q.; Huang, Q.; Liu, X. The quest for topped hadrons. arXiv 2025, arXiv:2508.17646. [Google Scholar] [CrossRef]
- Chen, H.X. Hadronic molecules in B decays. Phys. Rev. D 2022, 105, 094003. [Google Scholar] [CrossRef]
- Maltoni, F.; Severi, C.; Tentori, S.; Vryonidou, E. Quantum tops at circular lepton colliders. JHEP 2024, 9, 1. [Google Scholar] [CrossRef]
- Neubert, M. Heavy quark symmetry. Phys. Rept. 1994, 245, 259–396. [Google Scholar] [CrossRef]
- Manohar, A.V.; Wise, M.B. Heavy Quark Physics; Cambridge University Press: Cambridge, UK, 2000; Volume 10. [Google Scholar] [CrossRef]
- Dai, Y.B.; Huang, C.S.; Jin, H.Y. Bethe-Salpeter wave functions and transition amplitudes for heavy mesons. Z. Phys. C 1993, 60, 527–534. [Google Scholar] [CrossRef]
- Liu, X.; Chen, H.X.; Liu, Y.R.; Hosaka, A.; Zhu, S.L. Bottom baryons. Phys. Rev. D 2008, 77, 014031. [Google Scholar] [CrossRef]
- Zhang, S.W.; Tan, W.H.; Luo, X.; Chen, H.X. Topped baryons from QCD sum rules. arXiv 2025, arXiv:2507.05895. [Google Scholar] [CrossRef]
- Yang, K.C.; Hwang, W.Y.P.; Henley, E.M.; Kisslinger, L.S. QCD sum rules and neutron-proton mass difference. Phys. Rev. D 1993, 47, 3001–3012. [Google Scholar] [CrossRef]
- Narison, S. Gluon condensates and precise c,b from QCD-moments and their ratios to order and 〈G4〉. Phys. Lett. B 2012, 706, 412–422. [Google Scholar] [CrossRef]
- Narison, S. QCD parameter correlations from heavy quarkonia. Int. J. Mod. Phys. A 2018, 33, 1850045, Addendum in Int. J. Mod. Phys. A 2018, 33, 1892004. [Google Scholar] [CrossRef]
- Gimenez, V.; Lubicz, V.; Mescia, F.; Porretti, V.; Reyes, J. Operator product expansion and quark condensate from lattice QCD in coordinate space. Eur. Phys. J. C 2005, 41, 535–544. [Google Scholar] [CrossRef]
- Jamin, M. Flavor-symmetry breaking of the quark condensate and chiral corrections to the Gell-Mann-Oakes-Renner relation. Phys. Lett. B 2002, 538, 71–76. [Google Scholar] [CrossRef]
- Ioffe, B.L.; Zyablyuk, K.N. Gluon condensate in charmonium sum rules with three-loop corrections. Eur. Phys. J. C 2003, 27, 229–241. [Google Scholar] [CrossRef]
- Ovchinnikov, A.A.; Pivovarov, A.A. QCD sum rule calculation of the quark gluon condensate. Sov. J. Nucl. Phys. 1988, 48, 721–723. [Google Scholar]
- Colangelo, P.; Khodjamirian, A. QCD sum rules, a modern perspective. In At the Frontier of Particle Physics; World Scientific Publishing: Singapore, 2000; pp. 1495–1576. [Google Scholar] [CrossRef]
- Dai, Y.B.; Huang, C.S.; Huang, M.Q. O(1/mQ) order corrections to masses of excited heavy mesons from QCD sum rules. Phys. Rev. D 1997, 55, 5719–5726. [Google Scholar] [CrossRef]
- Dai, Y.B.; Huang, C.S.; Liu, C.; Zhu, S.L. Understanding the (2317) and (2460) with sum rules in HQET. Phys. Rev. D 2003, 68, 114011. [Google Scholar] [CrossRef]
- Chen, H.X.; Chen, W.; Mao, Q.; Hosaka, A.; Liu, X.; Zhu, S.L. P-wave charmed baryons from QCD sum rules. Phys. Rev. D 2015, 91, 054034. [Google Scholar] [CrossRef]
- Mao, Q.; Chen, H.X.; Chen, W.; Hosaka, A.; Liu, X.; Zhu, S.L. QCD sum rule calculation for P-wave bottom baryons. Phys. Rev. D 2015, 92, 114007. [Google Scholar] [CrossRef]
- Kataev, A.L.; Molokoedov, V.S. Notes on Interplay between the QCD and EW Perturbative Corrections to the Pole-Running-to-Top-Quark Mass Ratio. JETP Lett. 2022, 115, 704–712. [Google Scholar] [CrossRef]
- Chen, H.X. Several conjectures from the hadron physics: The transient worlds beside(s) ours. arXiv 2023, arXiv:2302.11611. [Google Scholar] [CrossRef]



| B | Working Region | Meson | Mass | Difference | f | Decay Channels | ||
|---|---|---|---|---|---|---|---|---|
| (GeV) | (GeV) | (GeV) | () | (GeV) | (MeV) | (GeV3/2) | ||
| 1.65 | , , | |||||||
| , | ||||||||
| 1.85 | , , | |||||||
Disclaimer/Publisher’s Note: The statements, opinions and data contained in all publications are solely those of the individual author(s) and contributor(s) and not of MDPI and/or the editor(s). MDPI and/or the editor(s) disclaim responsibility for any injury to people or property resulting from any ideas, methods, instructions or products referred to in the content. |
© 2025 by the authors. Licensee MDPI, Basel, Switzerland. This article is an open access article distributed under the terms and conditions of the Creative Commons Attribution (CC BY) license (https://creativecommons.org/licenses/by/4.0/).
Share and Cite
Zhang, S.-W.; Luo, X.; Yang, H.-M.; Chen, H.-X. QCD Sum Rule Study of Topped Mesons Within Heavy Quark Effective Theory. Universe 2025, 11, 334. https://doi.org/10.3390/universe11100334
Zhang S-W, Luo X, Yang H-M, Chen H-X. QCD Sum Rule Study of Topped Mesons Within Heavy Quark Effective Theory. Universe. 2025; 11(10):334. https://doi.org/10.3390/universe11100334
Chicago/Turabian StyleZhang, Shu-Wei, Xuan Luo, Hui-Min Yang, and Hua-Xing Chen. 2025. "QCD Sum Rule Study of Topped Mesons Within Heavy Quark Effective Theory" Universe 11, no. 10: 334. https://doi.org/10.3390/universe11100334
APA StyleZhang, S.-W., Luo, X., Yang, H.-M., & Chen, H.-X. (2025). QCD Sum Rule Study of Topped Mesons Within Heavy Quark Effective Theory. Universe, 11(10), 334. https://doi.org/10.3390/universe11100334

