Tensor Amplitudes for Partial Wave Analysis of within Helicity Frame
Abstract
1. Introduction
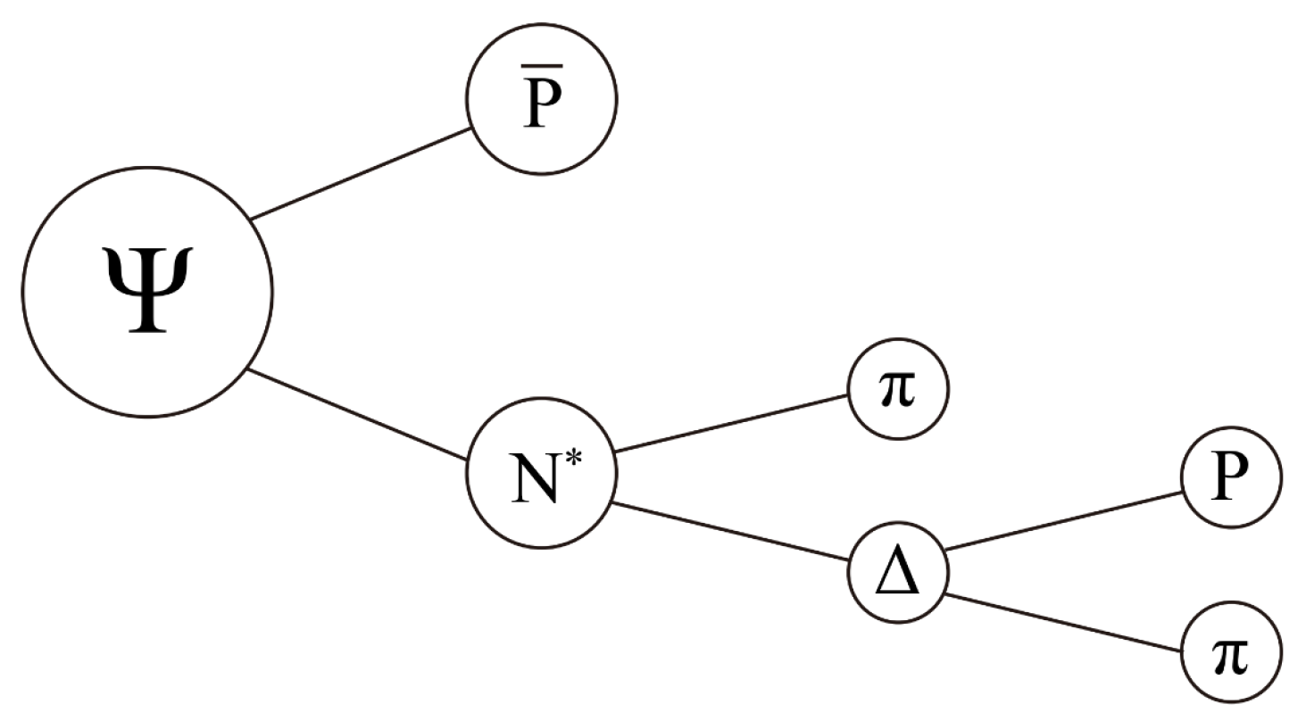
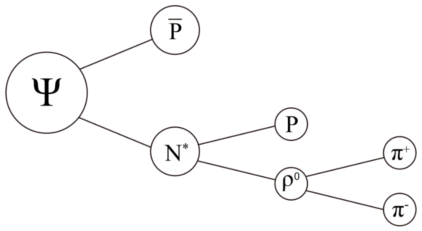
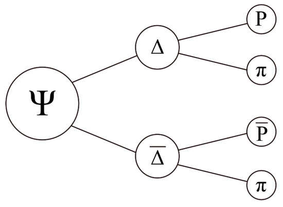
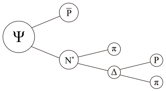
2. Intermediate Resonances and Their
3. Preparations
3.1. Wave Functions
3.2. Effective Vertices
4. Decay Amplitudes in Tensor Formalism
4.1.
4.2.
4.3.
4.4.
4.5.
4.6. The Formula of
4.7.
5. Discussion
5.1. Comparison to Helicity Formalism
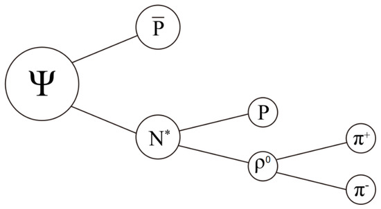
5.2. Amplitude for Sequential Decays
6. Summary
Author Contributions
Funding
Data Availability Statement
Acknowledgments
Conflicts of Interest
References
- Ablikim, M. et al. [BESIII Collaboration] Model-Independent Determination of the Spin of the Ω− and Its Polarization Alignment in ψ(3686)→Ω−. Phys. Rev. Lett. 2021, 126, 092002. [Google Scholar] [CrossRef] [PubMed]
- Ablikim, M. et al. [BESIII Collaboration] Observation of ψ(3686)→n and improved measurement of ψ(3686)→p. Phys. Rev. D 2018, 98, 032006. [Google Scholar] [CrossRef]
- Ablikim, M. et al. [BESIII Collaboration] Σ+ and polarization in the J/ψ and ψ(3686) decays. Phys. Rev. Lett. 2020, 125, 052004. [Google Scholar] [CrossRef] [PubMed]
- Ablikim, M. et al. [BESIII Collaboration] Study of J/ψ and ψ(3686)→Σ(1385)0(1385)0 and Ξ00. Phys. Lett. B 2017, 770, 217–225. [Google Scholar] [CrossRef]
- Ablikim, M. et al. [BESIII Collaboration] Study of ψ decays to the Ξ−+ and Σ(1385)∓(1385)± final states. Phys. Rev. D 2016, 93, 072003. [Google Scholar] [CrossRef]
- Ablikim, M. et al. [BESIII Collaboration] Measurement of J/ψ→Ξ(1530)−+ and evidence for the radiative decay Ξ(1530)−→γΞ−. Phys. Rev. D 2020, 101, 012004. [Google Scholar] [CrossRef]
- Ablikim, M. et al. [BESIII Collaboration] Observation of ψ(3686)→Ξ(1530)−(1530)+ and Ξ(1530)−+. Phys. Rev. D 2019, 100, 051101. [Google Scholar] [CrossRef]
- Bai, J.Z. et al. [BES Collaboration] Measurement of psi(2S) decays to baryon pairs. Phys. Rev. D 2001, 63, 032002. [Google Scholar] [CrossRef]
- Zyla, P.A. et al. [Particle Data Group Collaboration] Review of Particle Physics. PTEP 2020, 2020, 083C01. [Google Scholar]
- Eaton, M.W.; Goldhaber, G.; Abrams, G.S.; Blocker, C.A.; Carithers, W.C.; Chinowsky, W.; Coles, M.W.; Cooper, S.; Dieterle, W.E.; Dillon, J.B.; et al. Decays of the ψ(3097) to Baryon - Anti-baryon Final States. Phys. Rev. D 1984, 29, 804. [Google Scholar] [CrossRef]
- Hunt, B.C.; Manley, D.M. Updated determination of N∗ resonance parameters using a unitary, multichannel formalism. Phys. Rev. C 2019, 99, 055205. [Google Scholar] [CrossRef]
- Gridnev, A.B.; Horn, I.; Briscoe, W.J.; Strakovsky, I.I. The K-matrix approach to the Delta-resonance mass splitting and isospin violation in low-energy pi-N scattering. Phys. Atom. Nucl. 2006, 69, 1542–1551. [Google Scholar] [CrossRef]
- Koch, R.; Pietarinen, E. Low-Energy pi N Partial Wave Analysis. Nucl. Phys. A 1980, 336, 331–346. [Google Scholar] [CrossRef]
- Švarc, A.; Hadžimehmedović, M.; Omerović, R.; Osmanović, H.; Stahov, J. Poles of Karlsruhe-Helsinki KH80 and KA84 solutions extracted by using the Laurent-Pietarinen method. Phys. Rev. C 2014, 89, 045205. [Google Scholar] [CrossRef]
- Bernicha, A.; Lopez Castro, G.; Pestieau, J. Pion—proton scattering and isospin breaking in the Delta0-Delta++ system. Nucl. Phys. A 1996, 597, 623–635. [Google Scholar] [CrossRef]
- Zou, B.S.; Bugg, D.V. Covariant tensor formalism for partial wave analyses of psi decay to mesons. Eur. Phys. J. A 2003, 16, 537–547. [Google Scholar] [CrossRef]
- Dulat, S.; Zou, B.S. Covariant tensor formalism for partial wave analyses of ψ decays into γB, γγV and ψ(2S)→γχc0,1,2 with χc0,1,2→Kπ+π− and 2π+2π−. Eur. Phys. J. A 2005, 26, 125–134, Erratum in Eur. Phys. J. A 2020, 56, 275. [Google Scholar] [CrossRef]
- Wu, N.; Ruan, T.N. Covariant Helicity Amplitude Analysis for J/ψ→γPP*. Commun. Theor. Phys. 2001, 35, 547. [Google Scholar]
- Liang, W.H.; Shen, P.N.; Wang, J.X.; Zou, B.S. Theoretical formalism and Monte Carlo study of partial wave analysis for J/psi –> p anti-p omega. J. Phys. G 2002, 28, 333–343. [Google Scholar] [CrossRef]
- Zou, B.S.; Hussain, F. Covariant L-S scheme for the effective N*NM couplings. Phys. Rev. C 2003, 67, 015204. [Google Scholar] [CrossRef]
- Chung, S.U. Helicity coupling amplitudes in tensor formalism. Phys. Rev. D 1993, 48, 1225–1239, Erratum in Phys. Rev. D 1997, 56, 4419. [Google Scholar] [CrossRef] [PubMed]
- Chung, S.U. A General formulation of covariant helicity coupling amplitudes. Phys. Rev. D 1998, 57, 431–442. [Google Scholar] [CrossRef]
- Chung, S.U. Spin Formalisms; BNL Preprint; BNL-QGS-02-0900; CERN 71-8; Brookhaven National Laboratory: Upton, NY, USA, 2008. [Google Scholar]
- Hara, Y. Analyticity Properties of Helicity Amplitudes and Construction of Kinematical Singularity-Free Amplitudes for Any Spin. Phys. Rev. 1964, 136, B507–B514. [Google Scholar] [CrossRef]
- Filippini, V.; Fontana, A.; Rotondi, A. Covariant spin tensors in meson spectroscopy. Phys. Rev. D 1995, 51, 2247–2261. [Google Scholar] [CrossRef]
- Rarita, W.; Schwinger, J. On a theory of particles with half integral spin. Phys. Rev. 1941, 60, 61. [Google Scholar] [CrossRef]
- Auvil, P.R.; Brehm, J.J. Wave Functions for Particles of Higher Spin. Phys. Rev. 1966, 145, 1152. [Google Scholar] [CrossRef]
- Zhu, J.J.; Yan, M.L. Covariant amplitudes for mesons. arXiv 1999, arXiv:hep-ph/9903349. [Google Scholar]
- Scadron, M.D. Covariant Propagators and Vertex Functions for Any Spin. Phys. Rev. 1968, 165, 1640–1647. [Google Scholar] [CrossRef]
- Stapp, H.P. Derivation of the CPT Theorem and the Connection between Spin and Statistics from Postulates of the S-Matrix Theory. Phys. Rev. 1962, 125, 2139. [Google Scholar] [CrossRef]
- Peskin, M.E.; Schroeder, D.V. An Introduction to Quantum Field Theory; World Publishing Corporation: Beijing, China, 2011; pp. 64–71. [Google Scholar]
- Mizuk, R. et al. [Belle Collaboration] Observation of two resonance-like structures in the pi+ chi(c1) mass distribution in exclusive anti-B0 —> K- pi+ chi(c1) decays. Phys. Rev. D 2008, 78, 072004. [Google Scholar] [CrossRef]
- Aaij, R. et al. [LHCb Collaboration] Observation of J/ψp Resonances Consistent with Pentaquark States in →J/ψK−p Decays. Phys. Rev. Lett. 2015, 115, 072001. [Google Scholar] [CrossRef] [PubMed]
- Chen, H.; Ping, R.G. Coherent helicity amplitude for sequential decays. Phys. Rev. D 2017, 95, 076010. [Google Scholar] [CrossRef]
- Marangotto, D. Helicity Amplitudes for Generic Multibody Particle Decays Featuring Multiple Decay Chains. Adv. High Energy Phys. 2020, 2020, 6674595. [Google Scholar] [CrossRef]
- Wang, M.; Jiang, Y.; Liu, Y.; Qian, W.; Lyu, X.; Zhang, L. A novel method to test particle ordering and final state alignment in helicity formalism. Chin. Phys. C 2021, 45, 063103. [Google Scholar] [CrossRef]



| 1 |
Disclaimer/Publisher’s Note: The statements, opinions and data contained in all publications are solely those of the individual author(s) and contributor(s) and not of MDPI and/or the editor(s). MDPI and/or the editor(s) disclaim responsibility for any injury to people or property resulting from any ideas, methods, instructions or products referred to in the content. |
© 2024 by the authors. Licensee MDPI, Basel, Switzerland. This article is an open access article distributed under the terms and conditions of the Creative Commons Attribution (CC BY) license (https://creativecommons.org/licenses/by/4.0/).
Share and Cite
Dong, X.; Su, K.; Cai, H.; Zhu, K.
Tensor Amplitudes for Partial Wave Analysis of
Dong X, Su K, Cai H, Zhu K.
Tensor Amplitudes for Partial Wave Analysis of
Dong, Xiang, Kexin Su, Hao Cai, and Kai Zhu.
2024. "Tensor Amplitudes for Partial Wave Analysis of
Dong, X., Su, K., Cai, H., & Zhu, K.
(2024). Tensor Amplitudes for Partial Wave Analysis of

