Abstract
DUNE is a next-generation long-baseline neutrino oscillation experiment. It is expected to measure, with unprecedented precision, the atmospheric oscillation parameters, including the CP-violating phase . Moreover, several studies have suggested that its unique features should allow DUNE to probe several new physics scenarios. In this work, we explore the performances of the DUNE far detector in constraining new physics if a high-energy neutrino flux is employed (HE-DUNE). We take into account three different scenarios: Lorentz Invariance Violation (LIV), Long-Range Forces (LRFs) and Large Extra Dimensions (LEDs). Our results show that HE-DUNE should be able to set bounds competitive to the current ones and, in particular, it can outperform the standard DUNE capabilities in constraining CPT-even LIV parameters and the compactification radius of the LED model.
1. Introduction
Neutrino oscillation discovery [1] represented a milestone in the history of particle physics. Indeed, the observation of this phenomenon unveiled that neutrinos have (tiny) masses compared to the other fermions of the Standard Model (SM) of particle physics. In addition, the small uncertainties achieved in the measurements of mixing angles carry us into a precision era in the neutrino sector, thanks to an effort that lasted 25 years and that has involved different particle sources: the Sun [2], the Earth atmosphere [3], nuclear reactors [4] and accelerator facilities [5]. The oscillation parameters involved in solar oscillation, namely the solar mixing angle and the solar mass splitting , have been precisely measured by several solar neutrino experiments and by a peculiar reactor experiment: KamLAND [6,7,8]. The reactor mixing angle , instead, was discovered and measured with an astonishing precision in 2012 [9], leaving the atmospheric oscillation sector less constrained. Indeed, the mixing angle is almost maximal ( [10]) and suffers from the so-called octant degeneracy, which makes the determination of the octant in which lies (Higher Octant, HO, or Lower Octant, LO, ) very difficult to be determined. Moreover, according to the current neutrino oscillation data, the atmospheric mass splitting has an absolute value 30 times larger than the solar one and can still assume both positive and negative values. This is the so-called mass hierarchy problem.
The solution to these long-lasting problems might be given by the next generation of long-baseline (LBL) accelerator experiments. Such experiments are mainly sensitive to the atmospheric neutrino frequency and employ a well-known, focused, artificial muon neutrino flux coming from an accelerator facility. The two experiments that are expected to start their data-taking in the current decade are T2HK in Japan [11] and DUNE [12] in the USA. The importance of such experiments lies not only in the solution of the octant and hierarchy problems but also in their unprecedented capabilities to measure the CP-violating phase , for which T2K and NOA [13,14,15] have provided a first (weak) signal. Even though both experiments will be sensitive to the same neutrino oscillation regime, DUNE will have the advantage of running with a broad-band beam, allowing observation of neutrinos whose energy extends beyond the first oscillation maximum. To go even higher in energy, the possibility of using a high-energy (HE) neutrino beam in DUNE has been widely discussed. This would allow, for instance, collection of the largest event sample ever observed [16]. In recent years, a large number of studies have shown that the employment of this particular flux might be extremely useful in exploring tiny new physics effects in neutrino oscillation in the presence, for instance, of sterile neutrinos, non-unitarity of the PMNS matrix, Non-Standard Interactions or quantum decoherence [16,17,18,19,20,21]. In this context, the advantage of using the HE flux lies in the fact that some models predicts new effects enhanced by neutrino energy. The extremely large collectable sample of events in all neutrino flavors provides a unique tool to study these energy-enhanced new physics effects.
In this paper, we explore and discuss the DUNE capabilities in its HE configuration to measure the new physics parameters involved in neutrino oscillation in three particular models: the Lorentz Invariance Violation (LIV), the Long-Range Forces (LRFs) and the Large Extra Dimensions (LEDs) models. In the first two cases, the Lagrangian interaction is supplemented with additional operators whose coefficients must be bounded from above, while in the last case, the space-time framework is enlarged by at least one spatial dimension (experienced by right-handed neutrinos only) whose radius belongs to the sub-millimeter range. Even though such new physics models have been investigated by other authors in the literature, our results show that the bounds that HE-DUNE can set on the model parameters are comparable with the existing ones and, for the CPT-even LIV parameters and for the radius of the LED model, can outperform the capabilities of the standard DUNE setup.
2. The DUNE Experiment and the High-Energy Flux
The DUNE (Deep Underground Neutrino Experiment) experiment is a proposed long-baseline experiment in the USA [12,22,23,24]. The near detector complex, composed of different multi-purpose near detectors [25] as well as the accelerator facilities, is being built at Fermilab; on the other hand, the 40kt LAr-TPC detector will be located in South Dakota, roughly 1300 km away from the neutrino beam source. The on-axis neutrino beams will be mainly composed of or depending on the current circulating in the focusing horns; this will allow the experiment to run in both neutrino and antineutrino modes. The main purpose of the experiment is to precisely measure the oscillation parameters in the atmospheric sector. In particular, DUNE is expected to reach a great sensitivity to the mass hierarchy and an unprecedented sensitivity to the octant. Moreover, the experiment is also designed to maximize the sensitivity to the PMNS matrix phase . In order to perform such a measurement, the proposed neutrino flux is a broad-band beam that peaks at around 2.5 GeV so sit at the first atmospheric oscillation maximum. This should allow observation of not only a huge sample of events ( per year) but also several appearance events ( per year) [12,22,23,24]. A very intense flux of will also arrive at the far detector; however, given the Charged Current (CC) interaction energy threshold (3.1 GeV), only a minor fraction of these events might be observed. To overcome this problem and observe a larger number of neutrinos, a broader, high-energetic flux peaked at around 5 GeV has also been considered by the DUNE collaboration [26,27,28]. The main disadvantage of using this flux is that the performances in measuring standard oscillation parameters are poorer [16]. However, other than collecting the largest sample ever obtained ( in a year [16]), as already mentioned, the employment of such a flux has been demonstrated to be very promising in constraining new physics scenarios [16,17,18,19]. Thus, a high-energy flux run, at least in addition to the standard DUNE one [18], might be extremely useful to provide unique information in the context of neutrino oscillation. In this work, we focus on the capabilities of the DUNE experiment to probe some beyond-the-Standard Model (BSM) theories that make an imprint on the neutrino oscillation probabilities, taking full advantage of the high-energy flux. From now on, we will refer to this DUNE configuration as HE-DUNE. In order to make a comparison with the standard DUNE results, for the HE-DUNE, we will use the same efficiencies, energy resolutions and systematic uncertainties provided by the collaboration for the standard DUNE [29,30]. In order to include the possible effects of the appearance in constraining the new physics parameters space, we follow [16,18]. In particular, we make the hypothesis that the HE-DUNE might be able to observe 30% of the events with subsequent decays and 30% of the events with subsequent hadronic decays. The systematic uncertainty for this channel has been set to a conservative 25% normalization error1. Misidentified , and NC events have been considered as a background to the channel, according to [16,18].
The total running time for HE-DUNE has been fixed to 5 years in neutrino mode and 5 years in antineutrino mode. Finally, the whole analysis has been carried out neglecting the events observed at the near detectors and considering the final 40kt far detector for all the 10 years of data taking.
3. The Lorentz Invariance Violation Case
The Lorentz invariance is one of the fundamental symmetries of the SM and it is related to the space-time structure. The other essential symmetry of the quantum field theory is the CPT symmetry2. Since the SM fails to unify all the forces governing the Universe, it has been taken into account the possibility that the SM is an effective theory of a wider framework that unifies not only electromagnetic and weak interactions, but also strong interactions and gravity. The energy scale of such a general theory should be the Planck mass (∼ GeV). In these SM extensions, CPT and Lorentz symmetries might be violated [31,32,33,34,35,36,37,38,39,40]; in particular, it has been shown that CPT breaking always leads to Lorentz Invariance Violation (LIV) as well [34]. Neutrino experiments could be able to probe LIV through suitable modification of the oscillation probabilities induced by the presence of new terms in the full theory. In the next subsection, we will show how the neutrino probabilities can be affected by LIV.
3.1. Theoretical Framework
In the presence of LIV, the neutrino Lagrangian density term can be written as [38,41,42]
where is the neutrino fermionic field and the effect of the LIV is encoded in the generic operator Q. If we restrict ourselves to renormalizable Dirac couplings, the Lorentz Invariance violating Lagrangian terms can be written as [42,43]:
The first two terms are CPT-odd, while the third and the fourth terms are CPT-even. Thus, the LIV effect in the interaction Hamiltonian can be encoded in two Hermitian matrices:
These matrices modify the standard neutrino oscillation Hamiltonian by adding a new term to the vacuum and matter contributions:
where, as usual,
Here, E is the neutrino energy, are the neutrino mass splittings, U is the neutrino mixing matrix, which depends on three mixing angles (, and ) and one complex phase , is the Fermi constant and is the number density of electrons in the medium traversed by neutrinos. The term corresponds to the well-known Mikheev–Smirnov–Wolfenstein (MSW) mechanism [44].
The last term is the one induced by the LIV. On a general ground, it reads , where is the neutrino four-momentum. However, focusing only on time-like LIV matrix components () and considering a Sun-centered isotropic inertial frame (see [43] for details), the Lorentz Invariance Violation effects are governed by the parameters and . Being elements of Hermitian matrices, diagonal are real, while off-diagonal are complex parameters uniquely determined by their moduli, which we denote as , and their phases . Thus, the LIV Hamiltonian reads:
where, as already mentioned, () are CPT-odd (CPT-even) LIV parameters. Notice that the factor comes from the fact that the trace of is not observable and its diagonal space components must be related to its 00 component [43]. It is worth to mention that matrix has a similar structure to the propagation Non Standard Interaction (NSI) matrix. Even though there exists a direct correspondence between NSI and LIV parameters, it is important to notice that the two models affect neutrino oscillation in a different way: while NSIs necessitate neutrinos to travel through a matter medium, LIV modifies the oscillation probabilities also in vacuum [41,42,45,46].
Another important aspect of LIV effects is that the CPT-even ones are amplified by neutrino energy. For this reason, we expect a high-energy flux for the DUNE experiment to be more efficient in constraining them. From now on, we will only focus on the off-diagonal LIV parameters since they affect the most oscillations of neutrinos in a long-baseline experiment, as we will discuss below.
In order to have a feeling of the effect of the LIV on the oscillation parameters, we can write the correction to the and SM probabilities at the first order in and as [41].3
where , , with L is the distance travelled by the neutrino and finally is either or (the related phases are indicated with ). It is clear that the leading corrections to the standard are driven by the and LIV parameters. For the muon neutrino disappearance, instead, we obtain [41]:
the main dependence on the LIV parameters is given by ()4.
Several bounds on the LIV parameter have been obtained using long-baseline accelerator neutrinos [41,42,46,47,48,49,50,51,52,53,54,55,56,57,58], short baseline accelerator neutrinos [59,60], reactor neutrinos [61,62], solar neutrinos [63], high-energy astrophysical neutrinos [64,65,66,67] and atmospheric neutrinos [68,69,70,71] (see also [72,73] for reviews on this, and other, new physics models). Since we are interested in the DUNE experiment performances with a high-energy flux, in the following, we summarize the bounds that DUNE in its standard configuration [23,24,30] might set on off-diagonal LIV parameters. In [41], the authors found, at 95% CL:
which are one order (two orders) of magnitude stronger than the bounds predicted from the current LBL experiments NOA and T2K on CPT-violating (CPT-conserving) LIV parameters in Ref. [41]5. For and , the authors of [41] observed that there exists a strong correlation among them and the standard and . This allows for a second minimum in the sensitivity analysis and thus weaker bounds on the parameters; however, given that we fix the atmospheric mixing angle to the lower octant, we will not be able to observe such a behavior. Neglecting this degeneracy, the standard DUNE limits obtained in [41] for and are stronger than the ones in Equation (9) and are as follows:
3.2. HE-DUNE Results
The HE configuration of the DUNE experiment, as already discussed in Section 2, might allow accelerator neutrino energies from roughly 1 to 15 GeV. In Figure 1, we show the electron appearance (left) and muon disappearance (right) oscillation probabilities with and without LIV. Black lines depict the SM oscillation probabilities computed using the best fits summarized in Table 1 [10,74]. Red lines have been obtained setting CP-odd LIV parameters , , to in top, middle and bottom panels, respectively. Orange lines show the effect of , , with a magnitude of . We also considered two extreme values of the corresponding LIV phase , namely (dashed lines) and (solid lines). The benchmark values of the LIV parameters have been chosen of the same order of magnitude as the DUNE limits obtained with the standard neutrino flux. The shaded regions correspond to the unoscillated standard (grey) and HE (green) DUNE fluxes in arbitrary units. It is clear that in the appearance case, the most important CPT-odd LIV parameters are and , as clearly visible in Equation (7). From the same equation, one can observe that, at the first oscillation maximum, the correction proportional to is positive for both considered values of the LIV phase; on the other hand, it has a plus (minus) sign for () when the parameter is taken into account. Regarding CPT-even LIV parameters, their effects on become more important for higher neutrino energies, above GeV. Such an energy is located at the high-energy tail of the standard flux and at the peak of the HE flux. For this reason, we expect HE-DUNE to be more sensitive to energy-enhanced CPT-even LIV parameters than DUNE in its standard configuration. We also observe that the most relevant parameter in this case is .
Figure 1.
appearance (left panels) and disappearance (right panels) probabilities in the presence of off-diagonal CPT violating and conserving LIV parameters. In particular, the top, middle and bottom panels show the effect of (), () and (), respectively. Black lines correspond to the standard oscillation case and red (orange) lines to the probabilities obtained for GeV (). Solid and dashed curves depict the effects of LIV phases (generically indicated ) when and , respectively. The grey and green shadowed regions illustrate the standard and the high-energy DUNE flux.
Table 1.
Best-fit value of the neutrino oscillation parameters in the standard three-flavor scenario. The values of the mixing angles and the mass splittings and their uncertainty intervals are taken from Ref. [10].
For the disappearance probability, as already mentioned and explicitly shown in Equation (8), the most important LIV parameters are and . In Figure 1, we can also observe a slight sensitivity of this channel to the parameters, especially in the high-energy region mostly covered by the HE-DUNE.
We now study the performances of DUNE in its high-energy configuration in constraining the LIV parameters. In order to perform our numerical analysis, we used the GLoBES software v3.2.18 [75,76] and its new physics tool [77]. All the results have been obtained using a Poissonian defined as:
where is the set of input oscillation parameters, is the normalization error, n is the number of energy bins that we fixed to 80 [30], are the observed rates and are the theoretical rates employed in the fit. The systematic uncertainties are included using the pull method described in [78,79]. The validity of our analysis has been tested by reproducing the standard DUNE results on standard [30] and non-standard oscillation physics [41,80,81,82]. Moreover, we checked that the number of events obtained with the DUNE high-energy flux was consistent with the one cited in [16].
In Figure 2, we show the allowed contours in the (top) and planes (bottom). All the analyses have been performed fitting the data obtained using the SM parameters scanning over the LIV parameters one at a time. When computing the , defined as:
we fix all the not-showed LIV parameters to zero and we marginalize in the fit on all the oscillation parameters but the solar ones; we use Gaussian priors with the uncertainties6 as summarized in Table 1 for , and while leaving free to vary in all its range. The red lines in the bottom plots corresponding to depict the effect of the inclusion in the analysis of the appearance channel. We have verified that, as expected, in all other LIV parameters, the effect of the appearance sample is marginal, a situation very similar to that discussed in [16,18], where a non-negligible impact of the events was observed in the sector only in the context of propagation NSI.
Figure 2.
(dotted), (solid) and (dashed) allowed contours in the (left panels) and planes (right panels) for HE-DUNE. The red curves in the bottom panels depict the effect of the addition of the appearance channel in the analysis.
The 95% limits on the moduli of the LIV parameters, obtained after marginalizing over the corresponding phases, are summarized in Table 2. We observe that by fixing the octant and thus neglecting the degenerate LIV solutions found in [41], the HE-DUNE limits on the parameters are weaker than the standard DUNE ones. This mainly comes from the fact that the appearance probability (strongly affected by ) and consequently the number of events is larger at the first oscillation maximum than at the HE-DUNE energies. On the other hand, the limit on is one order of magnitude more stringent in the HE-DUNE case due to the larger number of disappearance events. However, notice that this oscillation channel is strongly affected by the atmospheric mixing angle and by matter effects [83]; thus, the different procedure used in the LIV analysis in Ref. [41], where has been left free to vary in its 3 allowed range, might have amplified the differences between their standard DUNE and our HE-DUNE results. In fact, we checked that using our same minimization procedure, the standard DUNE bound on would only be worse than the HE-DUNE one by a factor of 2. The interplay between the magnitude of the LIV parameters and their phases is mostly visible in the case of since the disappearance probability is directly proportional to at the leading order. For this reason, the sensitivity is substantially worse when ∼0. When considering the other two parameters , the strong correlations between the new physics phase and the standard phase make the interpretation of the results as a function of less clear. However, it can be seen that the limits on are only marginally impacted by the value of the LIV phase.
Table 2.
The 95% bounds on the LIV parameters obtained for HE-DUNE. The upper limits have been obtained marginalizing over the LIV phases. The numbers in brackets refer to the foreseen improvement due to the addition of the appearance channel in the analysis.
As for the HE-DUNE limits on the CPT-even LIV parameters, as expected, they are better than the standard DUNE ones since their effects are amplified by the neutrino energy; the only exception is given by , which, for ∼, experiences a worsening in the sensitivity; indeed, as can be seen in Equation (7) and Figure 1, the probabilities when ∼ are very close to standard ones. Also in this case, except for (see Equation (8)), the role of the LIV phase on the limits cannot be easily understood from analytical formulae, but our numerical results show that the limits on and do not drastically depend on the new phase value.
4. The Long-Range Forces Case
As is well known, the neutrino flavor transition can be strongly affected by the presence of a matter medium, which can induce an effective potential modifying the interaction Hamiltonian. However, the presence of BSM interactions between neutrinos and ordinary matter particles can in principle modify the matter potential term in the neutrino Hamiltonian. This is the case, for instance, of the widely studied vector and scalar Non-Standard Interactions (NSIs) [21,84,85,86,87,88,89,90,91,92]. Another interesting and less studied example is provided by the Long-Range Forces (LRFs) [93,94,95,96,97,98,99,100,101,102], which will be described in detail in this section.
4.1. Theoretical Framework
The SM gauge group can be extended by the anomaly-free combination of the symmetries , , and B associated with lepton family number and baryon number. These combinations can be, for instance, , and [103,104,105]7. Other combinations have been discussed in the context of neutrino oscillation in [97]. The gauge boson of these symmetries is a massive neutral vector that can mediate new physics interactions between neutrinos and matter. In the case of a large mediator mass, it is possible to study its effect in an Effective Field Theory (EFT) approach, which results in neutrino propagation affected in a vector NSI fashion. If, on the other hand, the mediator is extremely light, the flavor-dependent interaction forces between neutrinos and matter might become important over large distances. Given the huge interaction distance, proportional to ∼, the matter potential term affecting neutrino oscillation will depend on the matter contained within a radius .
Let us first discuss the new interactions arising from these additional symmetries. In addition to the interactions mediated by the SM Z boson, for an symmetry, new Lagrangian terms for the -induced interactions can be written as:
where and are the neutrino and the charged lepton fields and is the left-handed projection operator. There also exists a mixed term that can introduce new four-fermion interactions proportional to the coupling , where is the rotation angle between the gauge bosons eigenstates, is their kinetic mixing angle and is the usual Weinberg angle [98]. This term allows not only neutrino–lepton new interactions but also new contributions to the neutrino–nucleon scattering. However, since, at large distances, , the mixed term is important only in the case, for which neutrino–electron scattering mediated by is prohibited.
All these new interactions involving induce a Yukawa-like potential coming from electrons and neutrons in the Universe which can affect neutrino oscillations [109,110]. For a neutrino at a distance d from a source of a number of electrons and for an symmetry, it can be written as [81,96,98]:
Under the symmetry, instead, the LRF effect comes from the mixing between and the SM Z boson. Considering the Universe to be neutral, the net potential, in this case, is only due to a number of neutrons, which generate a potential of the form:
where e is the electric charge. The effective coupling is the equivalent of the coupling in the case of an symmetry while, for the , it is related to the Lagrangian parameters through the relation .
Let us now consider the effect of LRF on the neutrino oscillations. In general, as previously mentioned, the neutrino propagation Hamiltonian always contains the vacuum and the standard matter potential terms shown in Equation (5). The effect of the potential is to add a new contribution of different structures depending on the considered symmetry:
Notice that the matrices in Equation (16) are similar to the standard matter potential; the main difference between the usual MSW contribution and the LRF one is that the former is a contact potential due to a very massive mediator (the SM Z boson) while the latter encodes the effect of distant electron and neutrons sources on neutrino propagation due to an extremely light mediator (the ) with a very large interaction length.
The computation of the oscillation probabilities is very cumbersome. In fact, in order to have observable effects of the long-range potentials, we need the quantity to be comparable to the vacuum oscillation frequency ( for LBL experiments); this implies that ∼∼ eV, where is the usual matter potential term. Since both potentials must be included in the evaluation, this produces very lengthy expressions for the transition probabilities. An example of analytical treatment of LRF has been carried out in [96,99,111,112]. Notice that, in principle, LRF probabilities can also be deduced from those computed in the presence of diagonal NSI parameters [96,110,112]. From them, one can recognize that there exists a particular value of the neutrino energy for which a resonance occurs; in the case of symmetries, and neglecting the solar mass difference contribution, this condition reads [99,111]:
This means that the matter resonance occurs in the presence of LRF at lower energies with respect to the standard MSW case. As in the LIV case, LRF has been widely studied in the literature in the context of neutrino oscillation. Limits on the LRF potentials and on the effective coupling appearing in were obtained, for example, in [41,81,96,97,100,113,114,115,116,117,118,119]. Focusing on the DUNE performances, the Fermilab-based experiment might set the following 95% CL limits on the LRF potentials [81]:
The strongest limit can be put on because it strongly affects the disappearance channel, which has huge statistics in DUNE.
4.2. HE-DUNE Results
In this section, we will explore the capabilities of HE-DUNE to constrain the LRF potential and the limits it might set on the strength of the new forces as well as on the new mediator mass. First, in Figure 3, we plot the effect of long-range potential on the appearance and disappearance probabilities at the DUNE baseline.
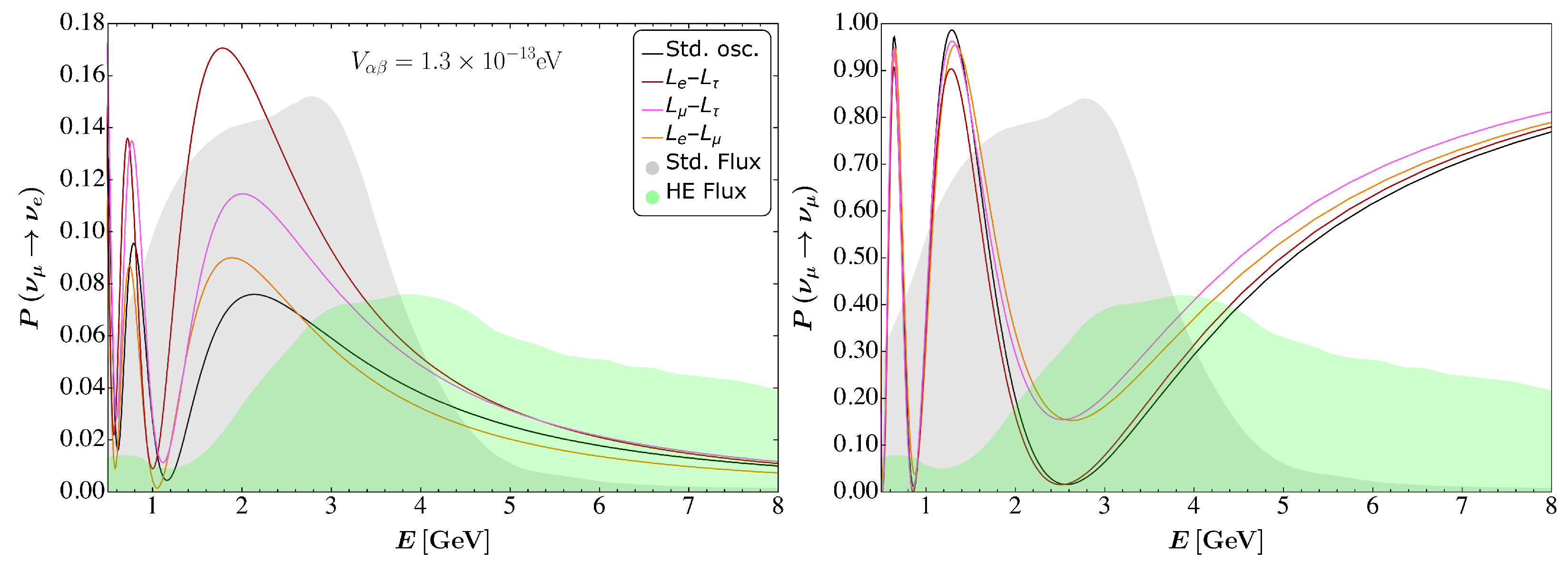
Figure 3.
Same as Figure 1, but for the Long-Range Force case. Left (right) plot shows the appearance ( disappearance) probability. The red, magenta and orange curves refer to the , and cases, respectively. The potentials have been fixed to eV.
The LRF potentials have been set to eV to show their effects when the LRF is of the same order of magnitude as the standard matter potential. It is clear that the appearance probability is enhanced at the first oscillation maximum for all three cases due to the LRF-potential-induced resonances. In particular, has the strongest effect while has the mildest one. At higher energies, important for HE-DUNE, we observe that the decreases the appearance probability while and increase it. On the other hand, the disappearance probability is enhanced at its first minimum, with having the biggest impact for energies above 2.5 GeV. Notice that has only a negligible effect on the disappearance probability.
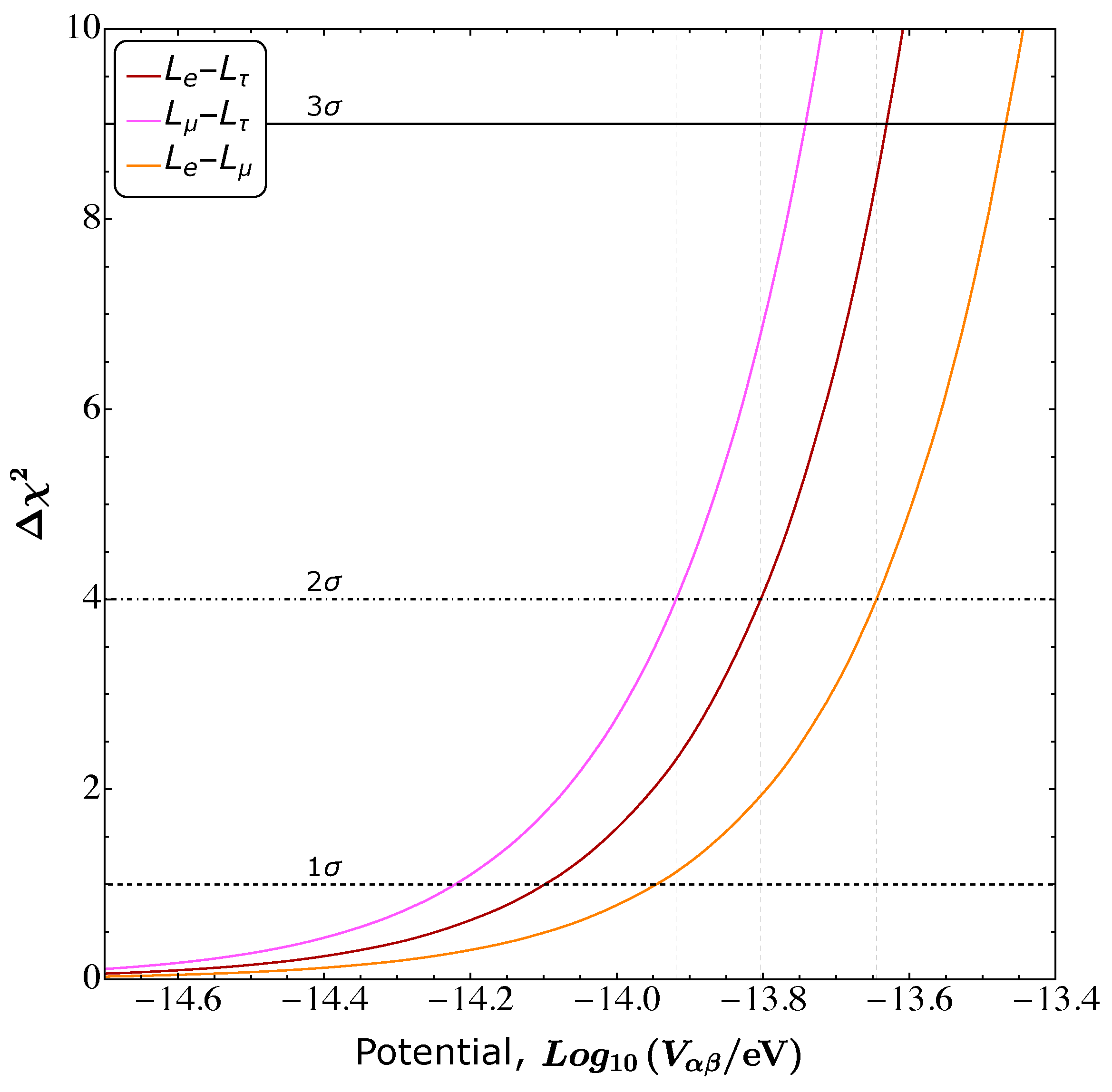
Using the procedure described in Section 3.2, we estimated the bounds that HE-DUNE might be able to set on the LRF potentials. In Figure 4, we show the sensitivity to the three as obtained from as:
We summarize the HE-DUNE 95% CL limits in Table 3. Comparing them with those in Equation (18), we observe that the HE-DUNE could set bounds on and which are 20% and 35% weaker than the DUNE ones, respectively. The reason is that, even though the effect of matter potentials is in general increased for large neutrino energies, long-range potentials cause low-energy resonances in neutrino oscillation probabilities, which can be probed better at the standard DUNE energies.
Figure 4.
HE-DUNE sensitivity to the LRF potentials. Red, magenta and orange lines correspond to the , and cases, respectively.
Table 3.
The 95% CL limits on the Long-Range Force potentials obtained by HE-DUNE.
One might use Equations (14) and (15) to find constraints to both the effective coupling and its mass. Following Refs. [81,109], if we want to consider all the matter content of the Universe, we need to take into account neutrinos from matter sources away up to Gp, which corresponds to a mediator mass in the range eV. Thus, we are dealing with an effective potential whose most important contributions are:
In Equation (20), we consider the Moon and the Sun as point-like electron and neutron sources, with ∼ and ∼∼ [81]. On the other hand, we modeled the Earth as a continuous distribution with the same average density such as ∼; for the Milky Way, we divided the matter content in a thin disk, a thick disk, a central bulge and a diffuse gas, following the reasonings on Refs. [109,120,121], with ∼. Finally, the cosmological matter has been included in computing the whole potential described in [109] at redshift z = 0 as suggested in [81]; the total number of electrons and neutrons in this case has been fixed to ∼∼. Once all the contributions to the long-range potential are estimated, one can constrain both and using the limits on in Table 3. Our results are shown in Figure 5 for the three cases (green line), (blue line) and (red line). In the upper part of the plot, we show the interaction length corresponding to the given mediator mass. The grey vertical bands show the parameter space excluded by two phenomena [81]: black-hole superradiance and weak gravity conjecture. The former is related to the superradiant growth of an accumulation of very light vector bosons around extremely massive and gravitational bounded objects like supermassive black holes [122]. The latter is related to a lower limit which might be set on the coupling in theories containing both gravity as the weakest force and a gauge interaction [123].
Figure 5.
The 95% CL excluded regions in the plane, fixing the LRF potentials to the 95% CL HE-DUNE limits showed in Table 3. See text for details.
We can observe that, at the specific distance at which the electron and neutron biggest sources are located, the limits on the effective couplings become stronger. In particular, for mediator masses lower than eV, which correspond to roughly 10 Gpc (where the causal horizon is located), the bounds on become as low as for , for and for . The latter is the weakest limit since it depends on , which is smaller than for cosmological and solar matter, despite corresponding to which is the potential bounded the most by HE-DUNE.
5. The Large Extra Dimensions Case
Neutrino oscillation is not predicted in the original version of the SM since the Higgs mechanism is not capable of providing non-zero neutrino masses and their smallness, compared to the other fermions, is difficult to contemplate in a theoretical general framework. These difficulties can be overcome by several BSM models [124,125]; among them, the Large Extra Dimensions (LEDs) theory [126,127,128,129,130,131,132,133] not only provides a viable framework but also supplies an explanation for the enormous difference between the Electroweak and the Planck scale [134,135]. The main idea is to introduce sterile right-handed neutrino fields, which are singlet under the SM group but propagate in a dimensional space-time, where is the number of space-like extra dimensions. Usual Yukawa Lagrangian terms can then be built using left-handed neutrinos and Higgs fields which live in the usual 4-dimensional space-time. However, the masses coming from such terms are heavily suppressed with respect to other fermion masses due to the much smaller wave function normalizations in the large volume of the extra dimensions. In the following, we will explore the phenomenological implications of the existence of LED on neutrino oscillation.
5.1. Theoretical Framework
Following the approach proposed for neutrino oscillation studies in the context of LED [82,136,137,138,139,140,141,142,143,144,145,146], we will focus on ; this single LED is compactified on a circle of radius and, for the sterile neutrinos, this gives rise to Kaluza–Klein (KK) modes in the 4-dimensional space-time. It is also possible to consider the presence of more extra dimensions, whose compactification radius is much smaller than without changing the effect of LED on the neutrino oscillation. The model is built by adding three massless five-dimensional fermion fields to the SM. After the compactification of the fifth dimension with the proper boundary conditions, the fields appear in the 4-dimensional space-time as an infinite tower of KK states , where n is any integer number. Identifying the zero mode as the right-handed neutrinos and writing [82], the neutrino mass term is [82,127,130,134]:
where is the Dirac mass matrix. Rewriting the mass eigenstates as , then can be written as , where the infinite mass matrices is:
in which the are the eigenvalues of the neutrino Dirac mass matrix in Equation (21). The neutrino mixing among the active states is then defined by Equation [82,145]
where U is the PMNS mixing matrix and V is the effective mixing matrix among the KK excitations. Its elements can be written as:
with being the eigenvalues of the matrices that can be found as solutions of Equation [82,127,130,137,145]
Notice that the masses of the KK states are in this case ; since the solutions of Equation (25) satisfy the relation , we can roughly say that ∼ [82]. Once we fix the experimental observation of the mass splittings to be equal to the differences and , we are left with the standard three neutrinos mixing modified by the effect of the mixing between the active neutrinos and an infinite number of sterile neutrinos. The only non-standard parameters of the model are then the compactification radius and the smallest Dirac mass . The oscillation probabilities can be obtained, in a vacuum, as
where L is the baseline. In the limit , we observe that for and , making the oscillation phenomenology identical to the standard one.
It has been shown that, apart from the appearance of new matter resonances at high neutrino energies [136] (), the LED phenomenology does not change significantly if we include more than two KK modes. Indeed, higher modes would imply larger masses and smaller matrix elements [145]. Thus, one might study neutrino oscillation in the presence of LED including in the model only a limited number of KK modes. In this context, it is possible to treat the LED case with a number of KK modes as a sterile neutrino model [82,136], where all the non-standard mixing angles and mass splittings can be written in terms of the two LED parameters8.
The expression of the oscillation probabilities in the LED case is very cumbersome; however, in the limit , some expansions for the mass eigenstates and mixing matrix elements have been obtained in Refs. [131,145]:
from which it is clear that, as already mentioned, the corrections to the standard oscillation case become negligible as n increases.
The complete picture of neutrino oscillation in the presence of LED is obtained when matter effects are added. Then, the oscillation probabilities can be obtained by solving the Schroedinger-like evolution Equation [82]
where the infinite vector of neutrino states and matrices have already been defined in Equation (22) and above, while the quantity is defined as
with U being the standard PMNS matrix, the usual matter potential and the neutral current matter potential that can no longer be neglected due to the presence of sterile states.
The limits that current experiments could set on the parameter space in the LED case have been discussed, for instance, in Ref. [145]. Notice also that the short baseline, reactor and gallium anomalies, which have been explained with the presence of light sterile neutrinos, could be explained in the presence of LEDs [82,142,145]. In the context of the future DUNE experiment, the expected performances of the experiment have been explored in detail in Ref. [82]. The upper limits on the parameter depend on the lightest neutrino mass value; in particular, in the scenario when eV and the probabilities only depend on , we expect for DUNE at 95% CL:
while for ∼ eV, we expect
On the other hand, it is impossible to set an absolute limit on unless data are generated considering ; in that case, DUNE might set a lower limit on the absolute neutrino mass [82]9.
5.2. HE-DUNE Results
In this section, we discuss the effects of LED at HE-DUNE. For the appearance and disappearance probabilities (see Figure 6), we consider as a reference two possible lightest neutrino masses , namely and eV. For the compactification radius, we choose , which corresponds to . In our computations, we included three KK modes, even though we checked that our results were only negligibly affected by the inclusion of the second and third KK modes. From Figure 6, we see that the main effect of LED is the occurrence of new fast oscillations driven by the large mass splittings between the active states and the heavy KK excitations. The amplitude of the oscillations depends on the values of the matrix elements. In addition, the presence of LED decreases both the appearance and disappearance probabilities at the first oscillation maximum since the value of is always less than 1; see Equation (27). Moreover, at a fixed , the probabilities in general decrease as increases. The differences between probabilities around the first oscillation maximum (DUNE) and the high-energy region (HE-DUNE) are mainly due to the fact that fast oscillation driven by KK becomes slower and with a larger amplitude when the neutrino energy increases. For this reason, with high-energy neutrinos, it might be possible to resolve these oscillations allowing for better constraints on the LED model [73].
Figure 6.
Same as Figure 1 but in the Large Extra Dimension case. Red (orange) curves have been obtained fixing m and eV ( eV).
In Figure 7, we show the allowed parameters space in the plane in the HE-DUNE case. The analysis has been performed using the procedure described in the previous two sections. Here, we can see that at the weakest limit for reached for is . This constraint is better than the standard DUNE one. As noted above, one of the main reasons for that is the possibility of recognizing fast oscillations at higher energies, where they occur with a smaller frequency with respect to the lower energy region probed by standard DUNE. Another interesting feature is that for eV, the HE-DUNE constraint on becomes independent of the lightest neutrino mass. This means that if is, for instance, eV, then the standard DUNE experiment outperforms HE-DUNE (see Equation (31)).
Figure 7.
(dotted) (solid) and (dashed) allowed regions in the plane for HE-DUNE.
6. Conclusions
Neutrino oscillation is the best-established phenomenon beyond the Standard Model of particle physics. Despite several experiments that have been able to measure the oscillation parameters with a few percent uncertainty, there are still some unknowns like the neutrino mass hierarchy and the amount of leptonic CP violation (if any). Moreover, oscillation searches are of great interest since several new physics models can affect neutrino propagation and thus modify the related probabilities. Future oscillation facilities are expected to reach great precision in the measurements of the mixing parameters; at the same time, they could provide a great probe for new physics models involving neutrinos. In this work, we considered the capabilities of the high-energy flux configuration of the future DUNE experiment (HE-DUNE). The possibility of employing this broad neutrino flux, which might reach more than 15 GeV in energy, has been envisaged in order to have access to oscillations, which could not be easily observed with the standard DUNE configuration due to the energy threshold of CC interactions. In addition, HE-DUNE could in principle also be very useful to constrain new physics scenarios where the non-standard oscillation effects are more pronounced at high energies. Among them, Non-Standard Interactions, sterile neutrinos, non-unitarity of the PMNS matrix and quantum decoherence have already been studied in the literature [16,17,18,19,20,21].
In this work, we considered three different new physics models:
- Lorentz Invariance Violation (LIV): in this model, the neutrino Lagrangian density is modified through several Lorentz-violating operators, both CPT-even and CPT-odd. The presence of such operators modifies the neutrino propagation Hamiltonian with the addition of two Hermitian matrices (CPT-violating) and (CPT-conserving). The effects of the second matrix increase linearly with the neutrino energy. We studied in Section 3.2 the sensitivity of HE-DUNE to the off-diagonal LIV parameters. We found that the limits on the moduli of CPT-violating parameters are worse than the ones that the standard DUNE is expected to set. On the other hand, HE-DUNE capabilities should exceed the standard DUNE ones in constraining energy-enhanced effects of CPT-conserving LIV parameters .
- Long-Range Forces (LRFs): in this model, we expect that new interactions with an ultra-light mediator, with a very long interaction length, arise from a gauge symmetry of the form . These interactions can modify the matter potential term in the neutrino oscillation Hamiltonian. We showed that the limits from HE-DUNE on this new potential are rather stringent but not enough to overcome the standard DUNE ones. We also computed the limits on the coupling of the new interaction as well as on the mass of the new mediator. These are correlated with the interaction length since, depending on that, neutrinos might experience the potential generated from various astrophysical matter densities.
- Large Extra Dimensions (LEDs): if right-handed neutrinos are singlets under the SM group, but they can propagate in space-time with more than four dimensions, the smallness of neutrino masses can be naturally explained. In the case in which one of the new dimensions is compactified in a sphere with a relatively large radius, the Kaluza–Klein excitations of the neutrino states can be treated as sterile neutrinos involved in the oscillation. In this approach, the transition probabilities depend not only on the standard mixing parameters but also on the smallest Dirac neutrino mass and on the compactification radius of the large extra dimension. We showed that the limit that HE-DUNE might set on , for small enough lightest neutrino mass, is better than the standard DUNE one. This is because the fast active–sterile oscillations coming from the Kaluza–Klein states might be resolved better at high energies than at lower ones.
In conclusion, the DUNE high-energy flux might be useful not only to collect a large sample of events but also to set stringent limits on new physics parameters. This suggests that an HE-DUNE run could provide much information on the BSM neutrino physics, which are complementary to the standard DUNE ones.
Author Contributions
Conceptualization: A.G., S.M. and D.M.; Methodology: A.G., S.M. and D.M.; Formal analysis: A.G., S.M. and D.M.; Writing: A.G., S.M. and D.M. All authors have read and agreed to the published version of the manuscript.
Funding
This research received no external funding.
Data Availability Statement
Data are contained within the article.
Conflicts of Interest
The authors declare no conflicts of interest.
Notes
| 1 | For the other two oscillation channels, namely appearance and disappearance, the collaboration suggested 2% and 5%, respectively. |
| 2 | In Quantum Field Theory the CPT theorem states that the combination of the discrete transformations “Chargeconjugation” (C), “Parity” (P) and “Timereversal” (T) must be a symmetry of the theory. |
| 3 | The LIV probabilities shown here have been obtained in [41] neglecting also terms proportional to and where . |
| 4 | The appearance probability can be obtained from unitarity and the leading term will be the one depending again on (). |
| 5 | Notice that limits from the more energetic atmospheric and astrophysical neutrinos on CPT-even LIV parameters are more stringent than the DUNE ones due to the dependence on the neutrino energy of their effect on the oscillation probabilities. |
| 6 | In our analysis, we assume that the octant of is known; in particular, as suggested by global fits in [10,74], to lie in the lower octant. |
| 7 | In [106,107,108], it has been shown that gauge symmetries can predict viable neutrino masses and mixing with the addition of Higgs-like particles charged under the new symmetries. |
| 8 | Notice that a general model with sterile neutrinos cannot be mimicked by a LED model in general; for instance, the presence of Large Extra Dimensions does not generate new sources of CP violation, unlike the sterile neutrinos hypothesis [21,82]. |
| 9 | In [73,146], DUNE analyses have been repeated using a different experimental configuration; they found weaker limits on . |
References
- Fukuda, Y.; Hayakawa, T.; Ichihara, E.; Inoue, K.; Ishihara, K.; Ishino, H.; Itow, Y.; Kajita, T.; 554 Kameda, J.; Kasuga, S.; et al. Evidence for oscillation of atmospheric neutrinos. Phys. Rev. Lett. 1998, 81, 1562–1567. [Google Scholar] [CrossRef]
- Xu, X.J.; Wang, Z.; Chen, S. Solar neutrino physics. Prog. Part. Nucl. Phys. 2023, 131, 104043. [Google Scholar] [CrossRef]
- Choubey, S. Atmospheric neutrinos: Status and prospects. Nucl. Phys. B 2016, 908, 235–249. [Google Scholar] [CrossRef]
- Wen, L.J.; Cao, J.; Wang, Y.F. Reactor Neutrino Experiments: Present and Future. Ann. Rev. Nucl. Part. Sci. 2017, 67, 183–211. [Google Scholar] [CrossRef][Green Version]
- Mezzetto, M.; Terranova, F. Three-flavour oscillations with accelerator neutrino beams. Universe 2020, 6, 32. [Google Scholar] [CrossRef]
- Gando, A.; Gando, Y.; Ichimura, K.; Ikeda, H.; Inoue, K.; Kibe, Y.; Kishimoto, Y.; Koga, M.; Minekawa, Y.; Mitsui, T.; et al. Precision Measurement of Neutrino Oscillation Parameters with KamLAND. Phys. Rev. Lett. 2008, 100, 221803. [Google Scholar] [CrossRef]
- Gando, A.; Gando, Y.; Ichimura, K.; Ikeda, H.; Inoue, K.; Kibe, Y.; Kishimoto, Y.; Koga, M.; Minekawa, Y.; Mitsui, T.; et al. Constraints on θ13 from A Three-Flavor Oscillation Analysis of Reactor Antineutrinos at KamLAND. Phys. Rev. D 2011, 83, 052002. [Google Scholar] [CrossRef]
- Gando, A.; Gando, Y.; Hanakago, H.; Ikeda, H.; Inoue, K.; Ishidoshiro, K.; Ishikawa, H.; Koga, M.; Matsuda, R.; Matsuda, S.; et al. Reactor On-Off Antineutrino Measurement with KamLAND. Phys. Rev. D 2013, 88, 033001. [Google Scholar] [CrossRef]
- An, F.P.; Bai, J.Z.; Balantekin, A.B.; Band, H.R.; Beavis, D.; Beriguete, W.; Bishai, M.; Blyth, S.; Boddy, K.; Brown, R.L.; et al. Observation of electron-antineutrino disappearance at Daya Bay. Phys. Rev. Lett. 2012, 108, 171803. [Google Scholar] [CrossRef]
- Esteban, I.; Gonzalez-Garcia, M.C.; Maltoni, M.; Schwetz, T.; Zhou, A. The fate of hints: Updated global analysis of three-flavor neutrino oscillations. J. High Energy Phys. 2020, 9, 178. [Google Scholar] [CrossRef]
- Abe, K.; Abe, K.; Aihara, H.; Aimi, A.; Akutsu, R.; Andreopoulos, C.; Anghel, I.; Anthony, L.H.V.; Antonova, M.; Ashida, Y.; et al. Hyper-Kamiokande Design Report. arXiv 2018, arXiv:1805.04163. [Google Scholar]
- Acciarri, R.; Acero, M.A.; Adamowski, M.; Adams, C.; Adamson, P.; Adhikari, S.; Ahmad, Z.; Albright, C.H.; Alion, T.; Amador, E.; et al. Long-Baseline Neutrino Facility (LBNF) and Deep Underground Neutrino Experiment (DUNE): Conceptual Design Report, Volume 2: The Physics Program for DUNE at LBNF. arXiv 2015, arXiv:1512.06148. [Google Scholar]
- Himmel, A. New Oscillation Results from the NOvA Experiment. 2020. Available online: https://www.osti.gov/biblio/1640225/ (accessed on 15 March 2024).
- Batkiewicz-Kwasniak, M. The Latest T2K Neutrino Oscillation Results and the Future of the T2K and Hyper-Kamiokande Experiments. Acta Phys. Polon. Supp. 2022, 15, 23. [Google Scholar] [CrossRef]
- Rahaman, U.; Raut, S. On the tension between the latest NOvA and T2K data. arXiv 2021, arXiv:2112.13186. [Google Scholar]
- Ghoshal, A.; Giarnetti, A.; Meloni, D. On the role of the ντ appearance in DUNE in constraining standard neutrino physics and beyond. J. High Energy Phys. 2019, 12, 126. [Google Scholar] [CrossRef]
- Masud, M.; Bishai, M.; Mehta, P. Extricating New Physics Scenarios at DUNE with Higher Energy Beams. Sci. Rep. 2019, 9, 352. [Google Scholar] [CrossRef]
- De Gouvêa, A.; Kelly, K.J.; Stenico, G.V.; Pasquini, P. Physics with Beam Tau-Neutrino Appearance at DUNE. Phys. Rev. D 2019, 100, 016004. [Google Scholar] [CrossRef]
- De Romeri, V.; Giunti, C.; Stuttard, T.; Ternes, C.A. Neutrino oscillation bounds on quantum decoherence. J. High Energy Phys. 2023, 9, 97. [Google Scholar] [CrossRef]
- Mammen Abraham, R.; Alvarez-Muñiz, J.; Argüelles, C.A.; Ariga, A.; Ariga, T.; Aurisano, A.; Autiero, D.; Bishai, M.; Bostan, N.; Bustamante, M.; et al. Tau neutrinos in the next decade: From GeV to EeV. J. Phys. G 2022, 49, 110501. [Google Scholar] [CrossRef]
- Giarnetti, A.; Meloni, D. New Sources of Leptonic CP Violation at the DUNE Neutrino Experiment. Universe 2021, 7, 240. [Google Scholar] [CrossRef]
- Acciarri, R.; Acero, M.A.; Adamowski, M.; Adams, C.; Adamson, P.; Adhikari, S.; Ahmad, Z.; Albright, C.H.; Alion, T.; Amador, E.; et al. Long-Baseline Neutrino Facility (LBNF) and Deep Underground Neutrino Experiment (DUNE): Conceptual Design Report, Volume 1: The LBNF and DUNE Projects. arXiv 2016, arXiv:1601.05471. [Google Scholar]
- Abi, B.; Acciarri, R.; Acero, M.A.; Adamov, G.; Adams, D.; Adinolfi, M.; Ahmad, Z.; Ahmed, J.; Alion, T.; Monsalve, S.A.; et al. Long-baseline neutrino oscillation physics potential of the DUNE experiment. Eur. Phys. J. C 2020, 80, 978. [Google Scholar] [CrossRef]
- Abi, B.; Acciarri, R.; Acero, M.A.; Adamov, G.; Adams, D.; Adinolfi, M.; Ahmad, Z.; Ahmed, J.; Alion, T.; Monsalve, S.A.; et al. Deep Underground Neutrino Experiment (DUNE), Far Detector Technical Design Report, Volume II: DUNE Physics. arXiv 2020, arXiv:2002.03005. [Google Scholar]
- Abud, A.A.; Abi, B.; Acciarri, R.; Acero, M.A.; Adamov, G.; Adams, D.; Adinolfi, M.; Aduszkiewicz, A.; Ahmad, Z.; Ahmed, J.; et al. Deep Underground Neutrino Experiment (DUNE) Near Detector Conceptual Design Report. Instruments 2021, 5, 31. [Google Scholar] [CrossRef]
- Fermilab. Available online: http://home.fnal.gov/~ljf26/DUNEFluxes/ (accessed on 15 March 2024).
- Bishai, M.; Dolce, M. Optimization of the LBNF/DUNE Beamline for Tau Neutrinos. Available online: http://docs.dunescience.org/cgi-bin/RetrieveFile?docid=2013&filename=DOLCE_M_report.pdf&version=1 (accessed on 15 March 2024).
- DUNE Neutrino Flux Files Generated with G4LBNF. Available online: https://glaucus.crc.nd.edu/DUNEFluxes/ (accessed on 15 March 2024).
- Alion, T.; Back, J.J.; Bashyal, A.; Bass, M.; Bishai, M.; Cherdack, D.; Diwan, M.; Djurcic, Z.; Evans, J.; Fernandez-Martinez, E.; et al. Experiment Simulation Configurations Used in DUNE CDR. arXiv 2016, arXiv:1606.09550. [Google Scholar]
- Abi, B.; Acciarri, R.; Acero, M.A.; Adamov, G.; Adams, D.; Adinolfi, M.; Ahmad, Z.; Ahmed, J.; Alion, T.; Monsalve, S.A.; et al. Experiment Simulation Configurations Approximating DUNE TDR. arXiv 2021, arXiv:2103.04797. [Google Scholar]
- Colladay, D.; Kostelecky, V.A. CPT violation and the standard model. Phys. Rev. D 1997, 55, 6760–6774. [Google Scholar] [CrossRef]
- Colladay, D.; Kostelecky, V.A. Lorentz violating extension of the standard model. Phys. Rev. D 1998, 58, 116002. [Google Scholar] [CrossRef]
- Diaz, J.S.; Kostelecky, A. Lorentz- and CPT-violating models for neutrino oscillations. Phys. Rev. D 2012, 85, 016013. [Google Scholar] [CrossRef]
- Greenberg, O.W. CPT violation implies violation of Lorentz invariance. Phys. Rev. Lett. 2002, 89, 231602. [Google Scholar] [CrossRef]
- Kostelecky, V.A.; Potting, R. CPT and strings. Nucl. Phys. B 1991, 359, 545–570. [Google Scholar] [CrossRef]
- Kostelecky, V.A.; Potting, R. CPT, strings, and meson factories. Phys. Rev. D 1995, 51, 3923–3935. [Google Scholar] [CrossRef]
- Kostelecky, V.A.; Potting, R. Expectation values, Lorentz invariance, and CPT in the open bosonic string. Phys. Lett. B 1996, 381, 89–96. [Google Scholar] [CrossRef]
- Kostelecky, V.A.; Mewes, M. Lorentz and CPT violation in neutrinos. Phys. Rev. D 2004, 69, 016005. [Google Scholar] [CrossRef]
- Kostelecký, V.A.; Samuel, S. Spontaneous breaking of Lorentz symmetry in string theory. Phys. Rev. D 1989, 39, 683–685. [Google Scholar] [CrossRef] [PubMed]
- Kostelecký, V.A.; Samuel, S. Phenomenological gravitational constraints on strings and higher-dimensional theories. Phys. Rev. Lett. 1989, 63, 224–227. [Google Scholar] [CrossRef]
- Agarwalla, S.K.; Das, S.; Sahoo, S.; Swain, P. Constraining Lorentz invariance violation with next-generation long-baseline experiments. J. High Energy Phys. 2023, 7, 216. [Google Scholar] [CrossRef]
- Kumar Agarwalla, S.; Masud, M. Can Lorentz invariance violation affect the sensitivity of deep underground neutrino experiment? Eur. Phys. J. C 2020, 80, 716. [Google Scholar] [CrossRef]
- Kostelecky, A.; Mewes, M. Neutrinos with Lorentz-violating operators of arbitrary dimension. Phys. Rev. D 2012, 85, 096005. [Google Scholar] [CrossRef]
- Wolfenstein, L. Neutrino oscillations in matter. Phys. Rev. D 1978, 17, 2369–2374. [Google Scholar] [CrossRef]
- Barenboim, G.; Ternes, C.A.; Tórtola, M. New physics vs. new paradigms: Distinguishing CPT violation from NSI. Eur. Phys. J. C 2019, 79, 390. [Google Scholar] [CrossRef]
- Diaz, J.S. Correspondence between nonstandard interactions and CPT violation in neutrino oscillations. arXiv 2015, arXiv:1506.01936. [Google Scholar]
- Barenboim, G.; Masud, M.; Ternes, C.A.; Tórtola, M. Exploring the intrinsic Lorentz-violating parameters at DUNE. Phys. Lett. B 2019, 788, 308–315. [Google Scholar] [CrossRef]
- Fiza, N.; Khan Chowdhury, N.R.; Masud, M. Investigating Lorentz Invariance Violation with the long baseline experiment P2O. J. High Energy Phys. 2023, 1, 76. [Google Scholar] [CrossRef]
- Adamson, P.; Andreopoulos, C.; Arms, K.E.; Armstrong, R.; Auty, D.J.; Ayres, D.S.; Baller, B.; Barr, G.; Barrett, W.L.; Becker, B.R.; et al. Testing Lorentz Invariance and CPT Conservation with NuMI Neutrinos in the MINOS Near Detector. Phys. Rev. Lett. 2008, 101, 151601. [Google Scholar] [CrossRef]
- Adamson, P.; Andreopoulos, C.; Arms, K.E.; Armstrong, R.; Auty, D.J.; Ayres, D.S.; Baller, B.; Barr, G.; Barrett, W.L.; Becker, B.R.; et al. A Search for Lorentz Invariance and CPT Violation with the MINOS Far Detector. Phys. Rev. Lett. 2010, 105, 151601. [Google Scholar] [CrossRef] [PubMed]
- Adamson, P.; Andreopoulos, C.; Arms, K.E.; Armstrong, R.; Auty, D.J.; Ayres, D.S.; Baller, B.; Barr, G.; Barrett, W.L.; Becker, B.R.; et al. Search for Lorentz invariance and CPT violation with muon antineutrinos in the MINOS Near Detector. Phys. Rev. D 2012, 85, 031101. [Google Scholar] [CrossRef]
- Dighe, A.; Ray, S. CPT violation in long baseline neutrino experiments: A Three flavor analysis. Phys. Rev. D 2008, 78, 036002. [Google Scholar] [CrossRef]
- Barenboim, G.; Lykken, J.D. MINOS and CPT-violating neutrinos. Phys. Rev. D 2009, 80, 113008. [Google Scholar] [CrossRef]
- Rebel, B.; Mufson, S. The Search for Neutrino-Antineutrino Mixing Resulting from Lorentz Invariance Violation using Neutrino Interactions in MINOS. Astropart. Phys. 2013, 48, 78–81. [Google Scholar] [CrossRef]
- de Gouvêa, A.; Kelly, K.J. Neutrino vs. Antineutrino Oscillation Parameters at DUNE and Hyper-Kamiokande. Phys. Rev. D 2017, 96, 095018. [Google Scholar] [CrossRef]
- Barenboim, G.; Ternes, C.A.; Tórtola, M. Neutrinos, DUNE and the world best bound on CPT invariance. Phys. Lett. B 2018, 780, 631–637. [Google Scholar] [CrossRef]
- Majhi, R.; Chembra, S.; Mohanta, R. Exploring the effect of Lorentz invariance violation with the currently running long-baseline experiments. Eur. Phys. J. C 2020, 80, 364. [Google Scholar] [CrossRef]
- Majhi, R.; Singha, D.K.; Ghosh, M.; Mohanta, R. Distinguishing nonstandard interaction and Lorentz invariance violation at the Protvino to super-ORCA experiment. Phys. Rev. D 2023, 107, 075036. [Google Scholar] [CrossRef]
- Abe, K.; Amey, J.; Andreopoulos, C.; Antonova, M.; Aoki, S.; Ariga, A.; Assylbekov, S.; Autiero, D.; Ban, S.; Barbato, F.C.T.; et al. Search for Lorentz and CPT violation using sidereal time dependence of neutrino flavor transitions over a short baseline. Phys. Rev. D 2017, 95, 111101. [Google Scholar] [CrossRef]
- Aguilar-Arevalo, A.A.; Anderson, C.E.; Bazarko, A.O.; Brice, S.J.; Brown, B.C.; Bugel, L.; Cao, J.; Coney, L.; Conrad, J.M.; Cox, D.C.; et al. Test of Lorentz and CPT violation with Short Baseline Neutrino Oscillation Excesses. Phys. Lett. B 2013, 718, 1303–1308. [Google Scholar] [CrossRef]
- Giunti, C.; Laveder, M. Hint of CPT Violation in Short-Baseline Electron Neutrino Disappearance. Phys. Rev. D 2010, 82, 113009. [Google Scholar] [CrossRef]
- Abe, Y.; Aberle, C.; dos Anjos, J.C.; Bergevin, M.; Bernstein, A.; Bezerra, T.J.C.; Bezrukhov, L.; Blucher, E.; Bowden, N.S.; Buck, C.; et al. First Test of Lorentz Violation with a Reactor-based Antineutrino Experiment. Phys. Rev. D 2012, 86, 112009. [Google Scholar] [CrossRef]
- Diaz, J.S.; Schwetz, T. Limits on CPT violation from solar neutrinos. Phys. Rev. D 2016, 93, 093004. [Google Scholar] [CrossRef]
- Hooper, D.; Morgan, D.; Winstanley, E. Lorentz and CPT invariance violation in high-energy neutrinos. Phys. Rev. D 2005, 72, 065009. [Google Scholar] [CrossRef]
- Tomar, G.; Mohanty, S.; Pakvasa, S. Lorentz Invariance Violation and IceCube Neutrino Events. J. High Energy Phys. 2015, 11, 22. [Google Scholar] [CrossRef]
- Liao, J.; Marfatia, D. IceCube’s astrophysical neutrino energy spectrum from CPT violation. Phys. Rev. D 2018, 97, 041302. [Google Scholar] [CrossRef]
- Abbasi, R.; Abdou, Y.; Abu-Zayyad, T.; Adams, J.; Aguilar, J.A.; Ahlers, M.; Andeen, K.; Auffenberg, J.; Bai, X.; Baker, M.; et al. Search for a Lorentz-violating sidereal signal with atmospheric neutrinos in IceCube. Phys. Rev. D 2010, 82, 112003. [Google Scholar] [CrossRef]
- Chatterjee, A.; Gandhi, R.; Singh, J. Probing Lorentz and CPT Violation in a Magnetized Iron Detector using Atmospheric Neutrinos. J. High Energy Phys. 2014, 6, 45. [Google Scholar] [CrossRef]
- Sahoo, S.; Kumar, A.; Agarwalla, S.K. Probing Lorentz Invariance Violation with atmospheric neutrinos at INO-ICAL. J. High Energy Phys. 2022, 3, 50. [Google Scholar] [CrossRef]
- Datta, A.; Gandhi, R.; Mehta, P.; Sankar, S.U. Atmospheric neutrinos as a probe of CPT and Lorentz violation. Phys. Lett. B 2004, 597, 356–361. [Google Scholar] [CrossRef][Green Version]
- Abe, K.; Haga, Y.; Hayato, Y.; Ikeda, M.; Iyogi, K.; Kameda, J.; Kishimoto, Y.; Miura, M.; Moriyama, S.; Nakahata, M.; et al. Test of Lorentz invariance with atmospheric neutrinos. Phys. Rev. D 2015, 91, 052003. [Google Scholar] [CrossRef]
- Argüelles, C.A.; Aurisano, A.J.; Batell, B.; Berger, J.; Bishai, M.; Boschi, T.; Byrnes, N.; Chatterjee, A.; Chodos, A.; Coan, T.; et al. New opportunities at the next-generation neutrino experiments I: BSM neutrino physics and dark matter. Rept. Prog. Phys. 2020, 83, 124201. [Google Scholar] [CrossRef]
- Argüelles, C.A.; Barenboim, G.; Bustamante, M.; Coloma, P.; Denton, P.B.; Esteban, I.; Farzan, Y.; Martínez, E.F.; Forero, D.V.; Gago, A.M.; et al. Snowmass white paper: Beyond the standard model effects on neutrino flavor: Submitted to the proceedings of the US community study on the future of particle physics (Snowmass 2021). Eur. Phys. J. C 2023, 83, 15. [Google Scholar] [CrossRef]
- NuFit 5.2. 2022. Available online: www.nu-fit.org (accessed on 15 March 2024).
- Huber, P.; Lindner, M.; Winter, W. Simulation of long-baseline neutrino oscillation experiments with GLoBES (General Long Baseline Experiment Simulator). Comput. Phys. Commun. 2005, 167, 195. [Google Scholar] [CrossRef]
- Huber, P.; Kopp, J.; Lindner, M.; Rolinec, M.; Winter, W. New features in the simulation of neutrino oscillation experiments with GLoBES 3.0: General Long Baseline Experiment Simulator. Comput. Phys. Commun. 2007, 177, 432–438. [Google Scholar] [CrossRef]
- Kopp, J.; Lindner, M.; Ota, T.; Sato, J. Non-standard neutrino interactions in reactor and superbeam experiments. Phys. Rev. D 2008, 77, 013007. [Google Scholar] [CrossRef]
- Huber, P.; Lindner, M.; Winter, W. Superbeams versus neutrino factories. Nucl. Phys. B 2002, 645, 3–48. [Google Scholar] [CrossRef]
- Fogli, G.L.; Lisi, E.; Marrone, A.; Montanino, D.; Palazzo, A. Getting the most from the statistical analysis of solar neutrino oscillations. Phys. Rev. D 2002, 66, 053010. [Google Scholar] [CrossRef]
- Abi, B.; Acciarri, R.; Acero, M.A.; Adamov, G.; Adams, D.; Adinolfi, M.; Ahmad, Z.; Ahmed, J.; Alion, T.; Monsalve, S.A.; et al. Prospects for beyond the Standard Model physics searches at the Deep Underground Neutrino Experiment. Eur. Phys. J. C 2021, 81, 322. [Google Scholar] [CrossRef]
- Singh, M.; Bustamante, M.; Agarwalla, S.K. Flavor-dependent long-range neutrino interactions in DUNE & T2HK: Alone they constrain, together they discover. J. High Energy Phys. 2023, 8, 101. [Google Scholar] [CrossRef]
- Berryman, J.M.; de Gouvêa, A.; Kelly, K.J.; Peres, O.L.G.; Tabrizi, Z. Large, Extra Dimensions at the Deep Underground Neutrino Experiment. Phys. Rev. D 2016, 94, 033006. [Google Scholar] [CrossRef]
- Agarwalla, S.K.; Das, S.; Giarnetti, A.; Meloni, D.; Singh, M. Enhancing sensitivity to leptonic CP violation using complementarity among DUNE, T2HK, and T2HKK. Eur. Phys. J. C 2023, 83, 694. [Google Scholar] [CrossRef]
- Denton, P.B.; Gehrlein, J.; Pestes, R. CP -Violating Neutrino Nonstandard Interactions in Long-Baseline-Accelerator Data. Phys. Rev. Lett. 2021, 126, 051801. [Google Scholar] [CrossRef]
- de Gouvêa, A.; Kelly, K.J. Non-standard Neutrino Interactions at DUNE. Nucl. Phys. B 2016, 908, 318–335. [Google Scholar] [CrossRef]
- Neutrino Non-Standard Interactions: A Status Report. SciPost Phys. Proc. 2019, 2, 1. [CrossRef]
- Bakhti, P.; Rajaee, M. Sensitivities of future reactor and long-baseline neutrino experiments to NSI. Phys. Rev. D 2021, 103, 075003. [Google Scholar] [CrossRef]
- Ge, S.F.; Parke, S.J. Scalar Nonstandard Interactions in Neutrino Oscillation. Phys. Rev. Lett. 2019, 122, 211801. [Google Scholar] [CrossRef] [PubMed]
- Denton, P.B.; Giarnetti, A.; Meloni, D. How to identify different new neutrino oscillation physics scenarios at DUNE. J. High Energy Phys. 2023, 2, 210. [Google Scholar] [CrossRef]
- Aguilar, J.; Anastasopoulos, M.; Baussan, E.; Bhattacharyya, A.K.; Bignami, A.; Blennow, M.; Bogomilov, M.; Bolling, B.; Bouquerel, E.; Bramati, F.; et al. Study of non-standard interaction mediated by a scalar field at ESSnuSB experiment. arXiv 2023, arXiv:2310.10749. [Google Scholar]
- Gupta, A.; Majumdar, D.; Prakash, S. Neutrino oscillation measurements with JUNO in the presence of scalar NSI. arXiv 2023, arXiv:2306.07343. [Google Scholar]
- Sarker, A.; Medhi, A.; Bezboruah, D.; Devi, M.M.; Dutta, D. Impact of scalar NSI on the neutrino mass hierarchy sensitivity at DUNE, T2HK and T2HKK. arXiv 2023, arXiv:2309.12249. [Google Scholar]
- Grifols, J.A.; Masso, E.; Peris, S. Supernova neutrinos as probes of long range nongravitational interactions of dark matter. Astropart. Phys. 1994, 2, 161–165. [Google Scholar] [CrossRef]
- Grifols, J.A.; Masso, E.; Toldra, R. Majorana neutrinos and long range forces. Phys. Lett. B 1996, 389, 563–565. [Google Scholar] [CrossRef]
- Grifols, J.A.; Masso, E. Neutrino oscillations in the sun probe long range leptonic forces. Phys. Lett. B 2004, 579, 123–126. [Google Scholar] [CrossRef]
- Mishra, P.; Majhi, R.; Pusty, S.K.; Ghosh, M.; Mohanta, R. Study of Long Range Force in P2SO and T2HKK. arXiv 2024, arXiv:2402.19178. [Google Scholar]
- Agarwalla, S.K.; Bustamante, M.; Singh, M.; Swain, P. A plethora of long-range neutrino interactions probed by DUNE and T2HK. arXiv 2024, arXiv:2404.02775. [Google Scholar]
- Agarwalla, S.K.; Bustamante, M.; Das, S.; Narang, A. Present and future constraints on flavor-dependent long-range interactions of high-energy astrophysical neutrinos. J. High Energy Phys. 2023, 8, 113. [Google Scholar] [CrossRef]
- Chatterjee, S.S.; Dasgupta, A.; Agarwalla, S.K. Exploring Flavor-Dependent Long-Range Forces in Long-Baseline Neutrino Oscillation Experiments. J. High Energy Phys. 2015, 12, 167. [Google Scholar] [CrossRef]
- Coloma, P.; Gonzalez-Garcia, M.C.; Maltoni, M. Neutrino oscillation constraints on U(1)’ models: From non-standard interactions to long-range forces. J. High Energy Phys. 2021, 1, 114, Erratum in: J. High Energy Phys. 2022, 11, 115. [Google Scholar] [CrossRef]
- Smirnov, A.Y.; Xu, X.J. Wolfenstein potentials for neutrinos induced by ultra-light mediators. J. High Energy Phys. 2019, 12, 46. [Google Scholar] [CrossRef]
- Chauhan, G.; Xu, X.J. Impact of the cosmic neutrino background on long-range force searches. J. High Energy Phys. 2024, 7, 255. [Google Scholar] [CrossRef]
- He, X.G.; Joshi, G.C.; Lew, H.; Volkas, R.R. New-Z′ phenomenology. Phys. Rev. D 1991, 43, R22–R24. [Google Scholar] [CrossRef]
- He, X.G.; Joshi, G.C.; Lew, H.; Volkas, R.R. Simplest Z′ model. Phys. Rev. D 1991, 44, 2118–2132. [Google Scholar] [CrossRef]
- Foot, R.; He, X.G.; Lew, H.; Volkas, R.R. Model for a light Z-prime boson. Phys. Rev. D 1994, 50, 4571–4580. [Google Scholar] [CrossRef]
- Asai, K.; Hamaguchi, K.; Nagata, N.; Tseng, S.Y.; Tsumura, K. Minimal Gauged U(1)Lα-Lβ Models Driven into a Corner. Phys. Rev. D 2019, 99, 055029. [Google Scholar] [CrossRef]
- Asai, K.; Hamaguchi, K.; Nagata, N. Predictions for the neutrino parameters in the minimal gauged U(1)Lμ-Lτ model. Eur. Phys. J. C 2017, 77, 763. [Google Scholar] [CrossRef]
- Lou, Y.; Nomura, T. Neutrino observables in gauged U(1)Lα-Lβ models with two Higgs doublet and one singlet scalars. arXiv 2024, arXiv:2406.01030. [Google Scholar]
- Bustamante, M.; Agarwalla, S.K. Universe’s Worth of Electrons to Probe Long-Range Interactions of High-Energy Astrophysical Neutrinos. Phys. Rev. Lett. 2019, 122, 061103. [Google Scholar] [CrossRef] [PubMed]
- Wise, M.B.; Zhang, Y. Lepton Flavorful Fifth Force and Depth-dependent Neutrino Matter Interactions. J. High Energy Phys. 2018, 6, 53. [Google Scholar] [CrossRef]
- Khatun, A.; Thakore, T.; Kumar Agarwalla, S. Can INO be Sensitive to Flavor-Dependent Long-Range Forces? J. High Energy Phys. 2018, 4, 23. [Google Scholar] [CrossRef]
- Agarwalla, S.K.; Das, S.; Masud, M.; Swain, P. Evolution of neutrino mass-mixing parameters in matter with non-standard interactions. J. High Energy Phys. 2021, 11, 94. [Google Scholar] [CrossRef]
- Joshipura, A.S.; Mohanty, S. Constraints on flavor dependent long range forces from atmospheric neutrino observations at super-Kamiokande. Phys. Lett. B 2004, 584, 103–108. [Google Scholar] [CrossRef]
- Bandyopadhyay, A.; Dighe, A.; Joshipura, A.S. Constraints on flavor-dependent long range forces from solar neutrinos and KamLAND. Phys. Rev. D 2007, 75, 093005. [Google Scholar] [CrossRef]
- Gonzalez-Garcia, M.C.; Maltoni, M. Determination of matter potential from global analysis of neutrino oscillation data. J. High Energy Phys. 2013, 9, 152. [Google Scholar] [CrossRef]
- Honda, M.; Kao, Y.; Okamura, N.; Pronin, A.; Takeuchi, T. Constraints on New Physics from Long Baseline Neutrino Oscillation Experiments. arXiv 2007, arXiv:0707.4545. [Google Scholar]
- Farzan, Y.; Palomares-Ruiz, S. Flavor of cosmic neutrinos preserved by ultralight dark matter. Phys. Rev. D 2019, 99, 051702. [Google Scholar] [CrossRef]
- Aartsen, M.G.; Abbasi, R.; Ackermann, M.; Adams, J.; Aguilar, J.A.; Ahlers, M.; Ahrens, M.; Alispach, C.; Allison, P.; Amin, N.M.; et al. IceCube-Gen2: The window to the extreme Universe. J. Phys. G 2021, 48, 060501. [Google Scholar] [CrossRef]
- Heeck, J.; Rodejohann, W. Gauged Lμ-Lτ and different Muon Neutrino and Anti-Neutrino Oscillations: MINOS and beyond. J. Phys. G 2011, 38, 085005. [Google Scholar] [CrossRef]
- McMillan, P.J. Mass models of the Milky Way. Mon. Not. R. Astron. Soc. 2011, 414, 2446–2457. [Google Scholar] [CrossRef]
- Miller, M.J.; Bregman, J.N. The Structure of the Milky Way’s Hot Gas Halo. Astrophys. J. 2013, 770, 118. [Google Scholar] [CrossRef]
- Baryakhtar, M.; Lasenby, R.; Teo, M. Black Hole Superradiance Signatures of Ultralight Vectors. Phys. Rev. D 2017, 96, 035019. [Google Scholar] [CrossRef]
- Arkani-Hamed, N.; Motl, L.; Nicolis, A.; Vafa, C. The String landscape, black holes and gravity as the weakest force. J. High Energy Phys. 2007, 6, 60. [Google Scholar] [CrossRef]
- de Gouvêa, A. Neutrino Mass Models. Ann. Rev. Nucl. Part. Sci. 2016, 66, 197–217. [Google Scholar] [CrossRef]
- King, S.F. Neutrino mass models. Rept. Prog. Phys. 2004, 67, 107–158. [Google Scholar] [CrossRef]
- Arkani-Hamed, N.; Dimopoulos, S.; Dvali, G.R.; March-Russell, J. Neutrino masses from large extra dimensions. Phys. Rev. D 2001, 65, 024032. [Google Scholar] [CrossRef]
- Dienes, K.R.; Dudas, E.; Gherghetta, T. Neutrino oscillations without neutrino masses or heavy mass scales: A Higher dimensional seesaw mechanism. Nucl. Phys. B 1999, 557, 25. [Google Scholar] [CrossRef]
- Dvali, G.R.; Smirnov, A.Y. Probing large extra dimensions with neutrinos. Nucl. Phys. B 1999, 563, 63–81. [Google Scholar] [CrossRef]
- Mohapatra, R.N.; Perez-Lorenzana, A. Three flavor neutrino oscillations in models with large extra dimensions. Nucl. Phys. B 2001, 593, 451–470. [Google Scholar] [CrossRef]
- Barbieri, R.; Creminelli, P.; Strumia, A. Neutrino oscillations from large extra dimensions. Nucl. Phys. B 2000, 585, 28–44. [Google Scholar] [CrossRef]
- Davoudiasl, H.; Langacker, P.; Perelstein, M. Constraints on large extra dimensions from neutrino oscillation experiments. Phys. Rev. D 2002, 65, 105015. [Google Scholar] [CrossRef]
- Antoniadis, I.; Arkani-Hamed, N.; Dimopoulos, S.; Dvali, G.R. New dimensions at a millimeter to a Fermi and superstrings at a TeV. Phys. Lett. B 1998, 436, 257–263. [Google Scholar] [CrossRef]
- Antoniadis, I.; Kiritsis, E.; Rizos, J.; Tomaras, T.N. D-branes and the standard model. Nucl. Phys. B 2003, 660, 81–115. [Google Scholar] [CrossRef]
- Arkani-Hamed, N.; Dimopoulos, S.; Dvali, G.R. The Hierarchy problem and new dimensions at a millimeter. Phys. Lett. B 1998, 429, 263–272. [Google Scholar] [CrossRef]
- Arkani-Hamed, N.; Dimopoulos, S.; Dvali, G.R. Phenomenology, astrophysics and cosmology of theories with submillimeter dimensions and TeV scale quantum gravity. Phys. Rev. D 1999, 59, 086004. [Google Scholar] [CrossRef]
- Esmaili, A.; Peres, O.L.G.; Tabrizi, Z. Probing Large Extra Dimensions with IceCube. J. Cosmol. Astropart. Phys. 2014, 12, 2. [Google Scholar] [CrossRef]
- Machado, P.A.N.; Nunokawa, H.; Zukanovich Funchal, R. Testing for Large Extra Dimensions with Neutrino Oscillations. Phys. Rev. D 2011, 84, 013003. [Google Scholar] [CrossRef]
- Machado, P.A.N.; Nunokawa, H.; dos Santos, F.A.P.; Funchal, R.Z. Bulk Neutrinos as an Alternative Cause of the Gallium and Reactor Anti-neutrino Anomalies. Phys. Rev. D 2012, 85, 073012. [Google Scholar] [CrossRef]
- Basto-Gonzalez, V.S.; Esmaili, A.; Peres, O.L.G. Kinematical Test of Large Extra Dimension in Beta Decay Experiments. Phys. Lett. B 2013, 718, 1020–1023. [Google Scholar] [CrossRef]
- Girardi, I.; Meloni, D. Constraining new physics scenarios in neutrino oscillations from Daya Bay data. Phys. Rev. D 2014, 90, 073011. [Google Scholar] [CrossRef]
- Rodejohann, W.; Zhang, H. Signatures of Extra Dimensional Sterile Neutrinos. Phys. Lett. B 2014, 737, 81–89. [Google Scholar] [CrossRef]
- Carena, M.; Li, Y.Y.; Machado, C.S.; Machado, P.A.N.; Wagner, C.E.M. Neutrinos in Large Extra Dimensions and Short-Baseline νe Appearance. Phys. Rev. D 2017, 96, 095014. [Google Scholar] [CrossRef]
- Stenico, G.V.; Forero, D.V.; Peres, O.L.G. A Short Travel for Neutrinos in Large Extra Dimensions. J. High Energy Phys. 2018, 11, 155. [Google Scholar] [CrossRef]
- Basto-Gonzalez, V.S.; Forero, D.V.; Giunti, C.; Quiroga, A.A.; Ternes, C.A. Short-baseline oscillation scenarios at JUNO and TAO. Phys. Rev. D 2022, 105, 075023. [Google Scholar] [CrossRef]
- Forero, D.V.; Giunti, C.; Ternes, C.A.; Tyagi, O. Large extra dimensions and neutrino experiments. Phys. Rev. D 2022, 106, 035027. [Google Scholar] [CrossRef]
- Roy, S. Capability of the proposed long-baseline experiments to probe large extra dimension. Phys. Rev. D 2023, 108, 055015. [Google Scholar] [CrossRef]
Disclaimer/Publisher’s Note: The statements, opinions and data contained in all publications are solely those of the individual author(s) and contributor(s) and not of MDPI and/or the editor(s). MDPI and/or the editor(s) disclaim responsibility for any injury to people or property resulting from any ideas, methods, instructions or products referred to in the content. |
© 2024 by the authors. Licensee MDPI, Basel, Switzerland. This article is an open access article distributed under the terms and conditions of the Creative Commons Attribution (CC BY) license (https://creativecommons.org/licenses/by/4.0/).






