Next Article in Journal
Correction: Kim et al. Estimates of the Surface Magnetic Field Strength of Radio Pulsars. Universe 2023, 9, 334
Next Article in Special Issue
An Update of the Hypothetical X17 Particle
Previous Article in Journal
Relations between Newtonian and Relativistic Cosmology
Previous Article in Special Issue
Dip-Bump Structure in Proton’s Single Diffractive Dissociation at the Large Hadron Collider
 
 
Font Type:
Arial Georgia Verdana
Font Size:
Aa Aa Aa
Line Spacing:
Column Width:
Background:
Article

Model-Independent Odderon Results Based on New TOTEM Data on Elastic Proton–Proton Collisions at 8 TeV

1
HUN-REN Wigner Research Center for Physics, Konkoly-Thege Miklós út 29-33, H-1121 Budapest, Hungary
2
MATE Institute of Technogy, Károly Róbert Campus, Mátrai út 36, H-3200 Gyöngyös, Hungary
3
Department of Methodology for Business Analysis, Budapest Business University, Alkotmány út 9–11, H-1054 Budapest, Hungary
4
Division of Particle and Nuclear Physics, Department of Physics, Lund University, 221 00 Lund, Sweden
5
Department of Atomic Physics, Eötvös University, Pázmány P. s. 1/A, H-1117 Budapest, Hungary
*
Author to whom correspondence should be addressed.
Universe 2024, 10(6), 264; https://doi.org/10.3390/universe10060264
Submission received: 6 May 2024 / Revised: 29 May 2024 / Accepted: 4 June 2024 / Published: 17 June 2024
(This article belongs to the Special Issue Multiparticle Dynamics)

Abstract

Evaluating the H ( x , s | p p ) scaling function of elastic proton–proton ( p p ) collisions from recent TOTEM data at s = 8 TeV and comparing it with the same function of elastic proton–antiproton ( p p ¯ ) data of the D0 collaboration at s = 1.96 TeV, we find, from this comparison alone, an at least 3.79 σ signal of odderon exchange. If we combine this model-independently obtained result with that of a similar analysis but using TOTEM elastic p p scattering data at s = 7 TeV, which resulted in an at least 6.26 σ signal, the combined significance of odderon exchange increases to at least 7.08 σ . Further combinations of various datasets in the TeV energy range are detailed in the manuscript.

“No amount of experimentation can ever prove me right; a single experiment can prove me wrong.”
Albert Einstein

1. Introduction

In 1973, Lukaszuk and Nicolescu [1] proposed that a noticeable crossing-odd contribution called odderon may be present in the amplitude of elastic proton–proton ( p p ) and proton–antiproton ( p p ¯ ) scattering at asymptotically high energies. In the field theory of strong interactions, quantum chromodynamics (QCD), odderon exchange corresponds to the t-channel exchange of a colour-neutral gluonic compound state consisting of an odd number of gluons [2]. For more than 20 years since the theoretical prediction of the odderon in the framework of QCD, and for more than 47 years since the odderon concept was introduced in Regge phenomenology, the odderon has remained elusive until the time of 2019–2021, due to the lack of definitive and statistically significant experimental evidence of odderon exchange.
A direct way to probe odderon exchange in elastic scattering is by comparing the differential cross-section of particle–particle and particle–antiparticle scattering at the same and sufficiently high energy [3,4]. The TeV energy scale is high enough to render the amplitudes for the massive (Reggeon) exchange to negligibly small values. The differential cross-sections for elastic proton–proton and proton–antiproton scatterings are proportional to the modulus squares of the corresponding amplitudes. If the modulus squared amplitudes are different, then the two amplitudes cannot be equal. As the amplitude for odderon exchange is proportional to the difference between the amplitudes of the proton–antiproton and the proton–proton elastic scattering, it follows that the amplitude for odderon exchange cannot vanish if the differential cross-sections of elastic proton–proton and proton–antiproton scatterings are significantly different at the TeV energy scale, as detailed in ref. [5]. A search performed at the ISR energy of s = 53 GeV in 1985 [6] resulted in an indication of the odderon at the 3.35 σ significance level. That analysis, however, did not utilize all the available data in the overlapping acceptance of the p p and p p ¯ measurements. Furthermore, at s = 53 GeV, Reggeon exchanges may play a significant role, rendering the odderon search at the ISR energies rather inconclusive.
As far as we know, the first anonymously peer-reviewed publication of a statistically significant, at least 6.26 σ signal of odderon exchange was published in June 2020 by the authors of the present manuscript, in the proceedings of the ISMD 2019 (Santa Fe, NM, USA) [7]. This peer-reviewed conference contribution was backed up in our February 2021 paper, with the same statistical significance of an at least 6.26 σ signal for odderon exchange [5]. Our Hungarian–Swedish team introduced a new scaling function that turned out to be energy independent in the LHC energies of s = 2.76–7.0 TeV in elastic proton–proton ( p p ) collisions, based on a model-independent, direct data-to-data comparison [5].
Our idea was based on the existence of a diffraction cone at small values of the squared four-momentum transfer, the Mandelstam variable t, characterized by an exponential fall. By plotting the p p and p p ¯ data as a function of a dimensionless variable x = B ( s ) t , where B is the characteristic scale of this exponential fall, and by dividing the differential cross-section by B σ el , where σ el is the integral of the differential cross-section (dominated by the contribution of the diffractive cone), a dimensionless H ( x , s ) scaling function is obtained. In the region of the diffractive cone, this scaling function is approximately a structureless exponential, H ( x ) exp ( x ) . As the diffractive cone is located at small values of t, this H ( x ) scaling removes the trivial s-dependences of the differential cross-section, where the Mandelstam variable s is the squared center of mass energy.
Thus, such an H ( x )  scaling removes the trivial energy-dependent terms, due to the known s-dependence of the elastic slope B ( s ) , the elastic and total cross-sections σ el ( s ) and σ t o t ( s ) , and the real-to-imaginary ratio ρ ( s ) [8].
It follows that the amplitude for odderon exchange cannot vanish if the dimensionless H ( x ) scaling functions of elastic proton–proton and proton–antiproton scatterings are significantly different at the TeV energy scale [5].
These results as well as the model-dependent investigation of the domain of validity of the H ( x , s | p p ) scaling have been seconded by a theoretical paper of T. Csörgő and I. Szanyi [9], increasing the statistical significance of the observation of odderon exchange to at least 7.08 σ . At the same time, this model-dependent investigation found that the domain of validity in s of the H ( x , s | p p ) = H ( x , s 0 | p p ) scaling (where s 0 stands for a fixed energy scale in the TeV region, e.g., s 0 = 7 TeV) extends also to the top Tevatron energies of s = 1.96 TeV [9]. This theoretical work utilized a validated model, proposed in its first form by A. Bialas and A. Bzdak [10]; however, the original model lacked a real part hence the possibility of odderon exchange. However, the so-called Real-extended Bialas–Bzdak (ReBB) model of ref. [11] fixed these shortcomings and has been utilized in ref. [9] to extrapolate not only the elastic proton–proton scattering data from the LHC energies of s = 2.76 and 7 TeV to the D0 energy of s = 1.96 TeV but also to extrapolate the elastic proton–antiproton scattering data from s = 0.546 and 1.96 TeV of the UA4 [12,13], and the D0 Collaborations [14] to the LHC energies of 2.76 TeV and 7 TeV. Evaluating the proton–proton data with a model increased the uncertainty and decreased the odderon signal from proton–proton scattering data alone, but this decrease was well over-compensated with the ability of the model to evaluate theoretically the proton–antiproton scattering at all the LHC energies. Overall, this procedure resulted in a model-dependent increase in the statistical significance from odderon exchange from 6.26 to 7.08 σ [9] as published in final form in July 2021, but limited the comparison to the diffractive minimum and maximum region in the four-momentum transfer range, to the verified domain of validity of the ReBB model. More recently, these results were extended to the new TOTEM data on elastic p p scattering at s = 8 TeV, published in March 2022 [15] in ref. [9]. When TOTEM data on elastic p p collisions at s = 8 , 7, and 2.76 TeV are analysed simultaneously with D0 data at s = 1.96 TeV in the framework of the ReBB model, a combined statistical significance greater than 32.4 σ can be achieved, rendering the statistical significance of odderon observation, in any practical terms, to a certainty [9].
A series of important papers has been published by the TOTEM Collaboration investigating the properties of elastic p p scattering in the LHC energy range between s = 2.76 and 13 TeV in refs. [16,17,18,19]. Most recently, the latest measurement performed by TOTEM at s = 8 TeV [15] extended the earlier analysis up to | t | -values of 1.9 GeV2 [20]. An increase in the total cross-section, σ t o t ( s ) , associated with a decrease in the real-to-imaginary ratio, ρ ( s ) , with energy, first identified at s = 13 TeV [16,17] indicated a possible odderon effect triggering an intense discussion in the literature (see, e.g., refs. [21,22,23,24,25,26,27,28,29,30,31,32,33,34,35,36,37,38]). The persistent diffractive minimum–maximum structure in the t-dependent profile of d σ / d t in elastic p p collisions observed by TOTEM at s = 2.76, 7, 8 and 13 TeV, and the lack of such structure in elastic p p ¯ collisions measured by D0 [14] at s = 1.96 TeV indicate a qualitatively clear odderon effect. The possibility of utilizing experimental data at the TeV energy scale for a search for a statistically significant odderon exchange has been proposed by Jenkovszky et al. in refs. [4,23]. In 2020, the TOTEM Collaboration made a qualitative conclusion about odderon exchange in ref. [19] as follows: “Under the condition that the effects due to the energy difference between TOTEM and D0 can be neglected, the result provides evidence for a colourless 3-gluon bound state exchange in the t-channel of the p p elastic scattering”. However, no statistical significance for this observation has been evaluated in ref. [19].
More recently, in August 2021, a properly quantified statistical significance of the odderon signal has been published by the TOTEM and D0 Collaborations [39] employing different methods and techniques, obtaining an at least 5.2 σ combined statistical significance for an almost model-independent observation of odderon exchange, a first statistically significant result obtained by two experimental collaborations. This result was based on the extrapolation of TOTEM experimental data of the differential cross-section of elastic p p scattering from s = 13, 8, 7 and 2.76 TeV down to 1.96 TeV using an almost model-independent technique and comparing the results with D0 data in a limited four-momentum transfer range, resulting in an at least 3.4 σ signal for odderon exchange. TOTEM has also measured the pair of the total cross-section and the real-to-imaginary ratio ( σ t o t , ρ ) , and compared it with a set of models without odderon exchange. When a partial combination of the TOTEM ( σ t o t , ρ ) measurements is carried out at s = 13 TeV, the obtained partial significances range between 3.4 and 4.6 σ for the considered models. The full combination of the signal of odderon exchange from TOTEM ( σ t o t , ρ ) measurements at s = 13 TeV with the signal of the comparison of extrapolated TOTEM p p data to s = 1.96 TeV with a subset of 8 out of 17 D0 data points [14] on elastic p p ¯ scattering leads to total significances ranging from 5.2 to 5.7 σ for t-channel odderon exchange for each of the considered models [39].
The validity of this D0–TOTEM proof of odderon exchange has been questioned in several published papers by now. Most importantly, the ATLAS collaboration [40] published a significantly different total cross-section hence a significantly different pair of ( σ t o t , ρ ) at s = 13 TeV, questioning the significance of the signal of odderon exchange from these low t observations. Such a significant incompatibility between the ATLAS and TOTEM measurements of total cross-section and the ratio of the real to imaginary parts of the scattering amplitude, that is, between the pairs of ( σ t o t , ρ ) at s = 13 TeV as published by the ATLAS and by the TOTEM experiments, has recently been confirmed by the recent results of Petrov and Tkachenko in refs. [41,42,43]. Furthermore, Donnachie and Landshoff [44,45] stressed the point that the phase of an elastic scattering amplitude is related to its energy variation and, as a consequence, they have questioned the validity of the D0–TOTEM signal of odderon exchange at t = 0 . Petrov and Tkachenko obtained results similar to those of Donnachie and Landshoff in ref. [41], suggesting that the systematic error on the determination of the ρ parameter at s = 13 TeV might have been slightly but significantly underestimated by TOTEM in ref. [17]. Let us mention that refs. [5,7] scale out the t = 0 observables from their analysis of the H ( x , s | p p ) scaling functions, while the low-t domain has been explicitly excluded from finding a statistically significant signal of odderon exchange in refs. [9,46]. Hence, these odderon discovery papers are not affected by the above-mentioned criticisms of the D0–TOTEM publication of a statistically significant, at least 5.2 σ experimental observation of odderon exchange.
Let us note that the ATLAS data that were measured in the diffraction cone at low t at s = 7, 8 and 13 TeV in refs. [40,47,48], respectively, collapse to the same H ( x ) scaling function, that is, close to a structureless H ( x ) exp ( x ) . Hence, the method discussed in this manuscript cannot be utilized for a search of odderon effects in these ATLAS datasets.
In addition to the criticism of the D0–TOTEM method of using t = 0 data at s = 13 TeV for the observation of t-channel odderon exchange, Cui and collaborators [49] utilized a mathematical approach based on interpolation via continued fractions enhanced by statistical sampling and suggested that a model-independent extrapolation of TOTEM experimental data of the differential cross-section of elastic p p scattering from s = 13, 8, 7 and 2.76 TeV down to 1.96 TeV, comparing the results with D0 data in a limited four-momentum transfer range, results in only an at least 2.2 σ signal for odderon exchange. This result alone decreases the significance of the D0–TOTEM combined result for odderon exchange from an at least 5.2 σ to an at least 4.0 σ signal for odderon exchange [49], suggesting that the D0–TOTEM method of proving the significance of odderon exchange is only on the level of an indication (defined as a significance between 3.0 σ and 5.0 σ ), but falls a little bit too short of being an experimentally conclusive, definitive discovery as the corrected value falls short of the discovery threshold of 5 σ . Such an at least 2.2 σ signal for odderon exchange from extrapolating the TOTEM measured differential cross-sections of s = 8, 7 and 2.76 TeV down to 1.96 TeV confirms the model-dependent results of refs. [9,46] as well.
A response to these published criticisms was given by the talk of K. Österberg, the physics coordinator of the TOTEM experiment at the ISMD 2023 conference in Gyöngyös, Hungary extending an earlier D0–TOTEM response also given by him at the 2021 Low-x Workshop at La Biodola, Italy [50,51]. We have good reasons to expect that a detailed D0–TOTEM response to the above criticisms will be submitted for a publication as soon as reasonably possible. Furthermore, we also second the suggestion of Petrov and Tkachenko in ref. [43], calling for a joint ATLAS–TOTEM analysis to sort out the differences between their low-t measurements at s = 13 TeV, also proposing a comparison of ATLAS and TOTEM data at low t at s = 7 TeV [47,52,53] and also the same comparison at 8 TeV [48,54].
Let us note that this ongoing debate in the literature focuses on questioning the validity of certain D0–TOTEM proofs of a statistically significant observation of odderon exchange, but this debate does not question the existence and statistical significance of odderon exchange in all the four published papers on this topic at this energy scale. The statistically significant, well above the 5.0 σ observations of a t-channel odderon exchange, as published in refs. [5,7] as well as in refs. [9,46], have not been affected by the above criticism and have not been challenged so far in other publications either, as far as we know. Furthermore, the statistical significance of odderon exchange as determined from the ReBB model analysis has been increased by taking into account the new 8 TeV data points of the TOTEM experiment by I. Szanyi and T. Csörgő: in any practical terms, within the framework of the ReBB model, the signal for odderon exchange in the limited 0.37 t 1.2 GeV2 and 1.96 s 8 TeV kinematic region is so large that it amounts to not a probability but a certainty [9].
In the present manuscript, we summarize our model-independent analysis of the statistical significance of the odderon observation using the recently published [15] and extended [39] s = 8 TeV dataset of the TOTEM Collaboration in elastic p p collisions, together with earlier data from the D0 [14] and TOTEM [18,19,52] Collaborations, extending our earlier scaling studies of the differential p p scattering cross-section at TeV energies up to 8 TeV.
Our approach is model-independent in the sense that it does not rely on any fitting function or any theoretical input; it uses only linear and log-linear interpolation techniques between neighbouring data points, to allow for data-to-data comparison at the same values of the horizontal axes (using the scaling variable x = t B ). As we compare pairwise the H ( x , s | p p ) scaling functions constructed at different energies based only upon the available data and look for statistically significant differences within any pair of TeV-scale p p and p p ¯ datasets depending on the collision energy, we need to utilize rebinning that also includes model-independent linear interpolation methods, as detailed in ref. [5], where the basic concepts and methodology have been explained in detail.
Note that we have determined the domain of validity of the applicability of the H ( x , s | p p ) scaling at s = 1.96 TeV so far model-dependently only, in ref. [5], based on the ReBB model of refs. [9,11,46]. The domain of validity of this H ( x | p p ) scaling has been found to include s = 1.96 , 2.76 , 7 and 8 TeV in a model-independent way as well, as presented at various conferences, e.g., [55], but these results go way beyond the scope of the present manuscript and will be detailed elsewhere.

2. H ( X ) Scaling of 2.76, 7 and 8 TeV pp Data of TOTEM

Our analysis is based on our recent discovery of a novel scaling law of elastic p p scattering at TeV energies, referred to as H ( x ) scaling, as described in ref. [5]. The scaling function H ( x , s | p p ) is defined for elastic proton–proton ( p p ) collisions as follows:
H ( x , s | p p ) = 1 B σ el p p d σ p p d t ,
x = t B ,
σ el p p = 0 d | t | d σ p p d t ,
B = d d t ln d σ p p d t | t 0
A similar function H ( x , s | p p ¯ ) can be introduced for elastic proton–antiproton ( p p ¯ ) collisions. In ref. [5], we have shown that H ( x , s | p p ) = H ( x | p p ) is independent of the energy in elastic p p collisions, utilizing a direct data-to-data comparison of the elastic p p data of the TOTEM Collaboration at s = 2.76 and 7 TeV, as described in refs. [19,52,56]. In ref. [5] we have also shown, in a model-dependent way, that this scaling extends down to s = 1.96 TeV, and we have also found that the scaling violations are already significant at s = 13 TeV. In the present study, we investigate whether the energy independence of this scaling is, within experimental errors, valid for the recently published TOTEM data at s = 8 TeV or not, within the experimental errors as determined by the TOTEM Collaboration in ref. [15]. This question is particularly interesting as the elastic-to-total cross-section ratio increases with increasing energies, and at the LHC energies between 7 and 13 TeV it crosses significantly the important limit of ( 1 + ρ 2 ) σ el / σ t o t = 1 / 4 , see Figure 4 of ref. [8]. This ratio reaches such a critical value in the region of s = 2.76 7.0 TeV and it clearly exceeds it at s = 13.0 TeV, where we find statistically significant violations of the H ( x , s | p p ) = H ( x , s 0 | p p ) scaling law. The search for the onset of the violation of H ( x , s | p p ) = H ( x , s 0 | p p ) = H ( x , p p ) scaling motivates our current investigation.
The H ( x | p p ) scaling function was found to increase the statistical significance of the odderon signal, based on a direct comparison of H ( x , s | p p ) = H ( x | p p ) and H ( x , s | p p ¯ ) at s = 1.96 TeV, due to at least two reasons. First of all, the overall normalization uncertainty, the largest source of the systematic error in differential cross-section measurements, cancels from H ( x , s | p p ) (as well as from H ( x , s | p p ¯ ) ). Secondly, this H ( x | p p ) scaling law reduces the collision-energy-related uncertainties in the data which consequently increases the precision of the extracted quantities. We may also mention that, in the diffractive cone, expected to be valid up to at least x = B t 1 , the H ( x ) scaling function is expected to start as H ( x ) exp ( x ) , with a well-defined normalization at the optical point:
H ( x = 0 , s | p p ) = H ( x = 0 , s | p p ¯ ) = 1 ,
as follows from the definitions of this scaling function. This property of the scaling functions removes the uncertainty related to possible small differences between the optical points of the differential cross-sections in elastic p p and p p ¯ collisions that may exist between p p and p p ¯ elastic collisions even if they are measured at the same centre of mass energies.
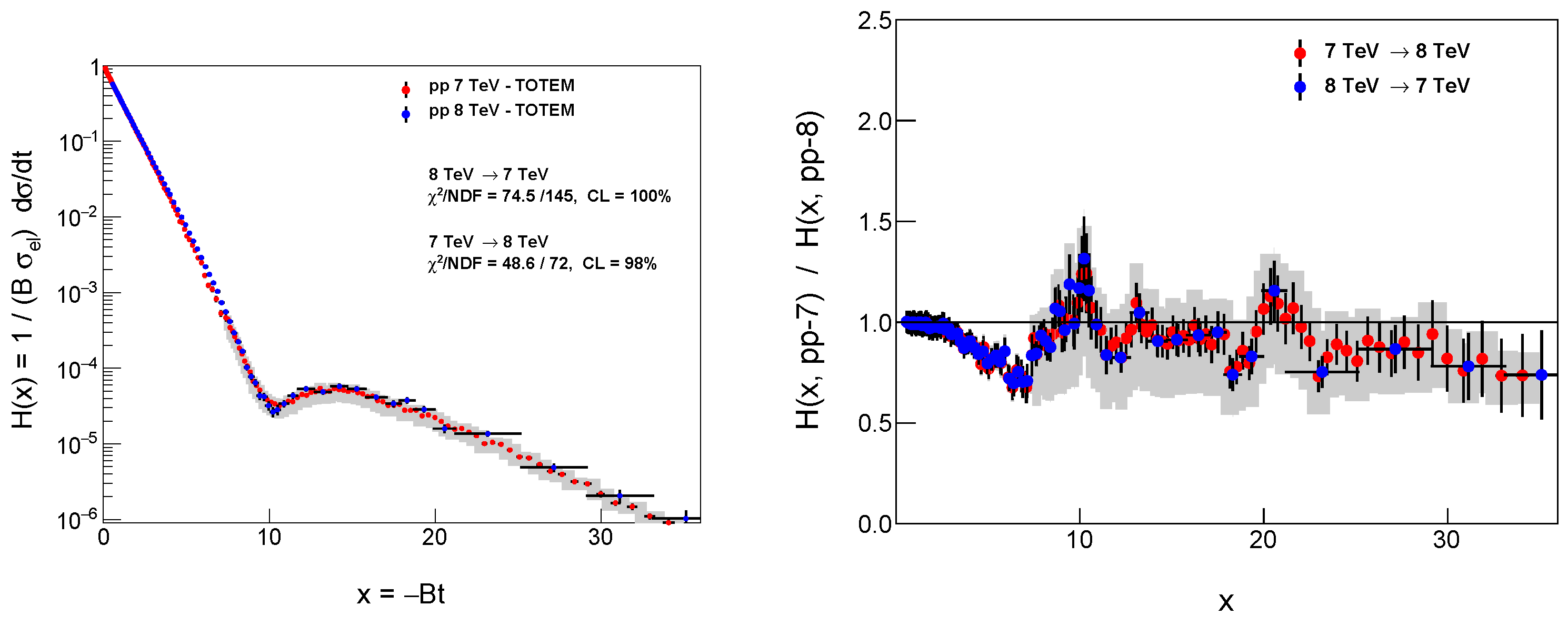
In the left panels of Figure 1 and Figure 2, we demonstrate the energy independence of the H ( x | p p ) scaling within statistical errors, where the TOTEM datasets at s = 2.76 and 8 TeV as well as at s = 7 and 8 TeV are compared pairwise, respectively. The agreement between these datasets corresponds to a confidence level (CL) of at least 98%.
However, one should note that in a local low x (low | t | ) interval one can see larger deviations than the reported data errors suggest: in the case of the comparison of the H ( x , s | p p ) scaling functions at s = 7 TeV and 8 TeV, we observe a partial disagreement beyond the published experimental errors in a small x range of about x = [3.48–7.45] on Figure 2 corresponding to | t | = [0.175–0.375] GeV2, which points toward a possible adjustment problem of the two parts of the datasets measured with different optics ( β * = 3.5 m and β * = 90 m and published separately in Tables 4 and 5 of ref. [52], respectively) and suggests the need of a further, more detailed investigation of the published systematic errors in the low | t | = [0.175–0.375] GeV2 range of the dataset measured by TOTEM at s = 7 TeV with the β * = 90 m LHC optics [52].
Difficulties in describing this part of the TOTEM data at s = 7 TeV have been reported in several earlier analyses, but these problems were typically attributed to the insufficiency of the applied analysis methods; for examples, see Figures 1 and 2 of ref. [11] or Figure 2 of ref. [4]. So, we suggest caution when using the s = 7 TeV TOTEM data in the | t | = [0.175–0.375] GeV2 four-momentum transfer region.
Fortunately, this t range, when mapped to x = B t , overlaps only marginally with the D0 acceptance and data, at three points only, not impacting our conclusions about a model-independent observation of odderon exchange [5] in a significant manner: the exclusion of these first three D0 data points at s = 1.96 TeV minimally modifies our earlier result of the odderon significance given in ref. [5]. We have repeated the analysis of ref. [5] by leaving out the overlapping acceptance, by removing the first 3 D0 points, but in an otherwise unchanged manner as compared to ref. [5], and we have found that the statistical significance of odderon exchange decreased only slightly, from 6.26 to 6.10 σ , remaining safely well above the 5 σ discovery threshold. This is due to the fact that most of the signal of odderon exchange arises from the kinematic range of the diffractive minimum and maximum. A more detailed investigation about this t range dependence of odderon exchange has been presented by T. Csörgő in his invited talk at the XXXVth IWHEP conference [55].

3. Quantification of Significance of Odderon Exchange

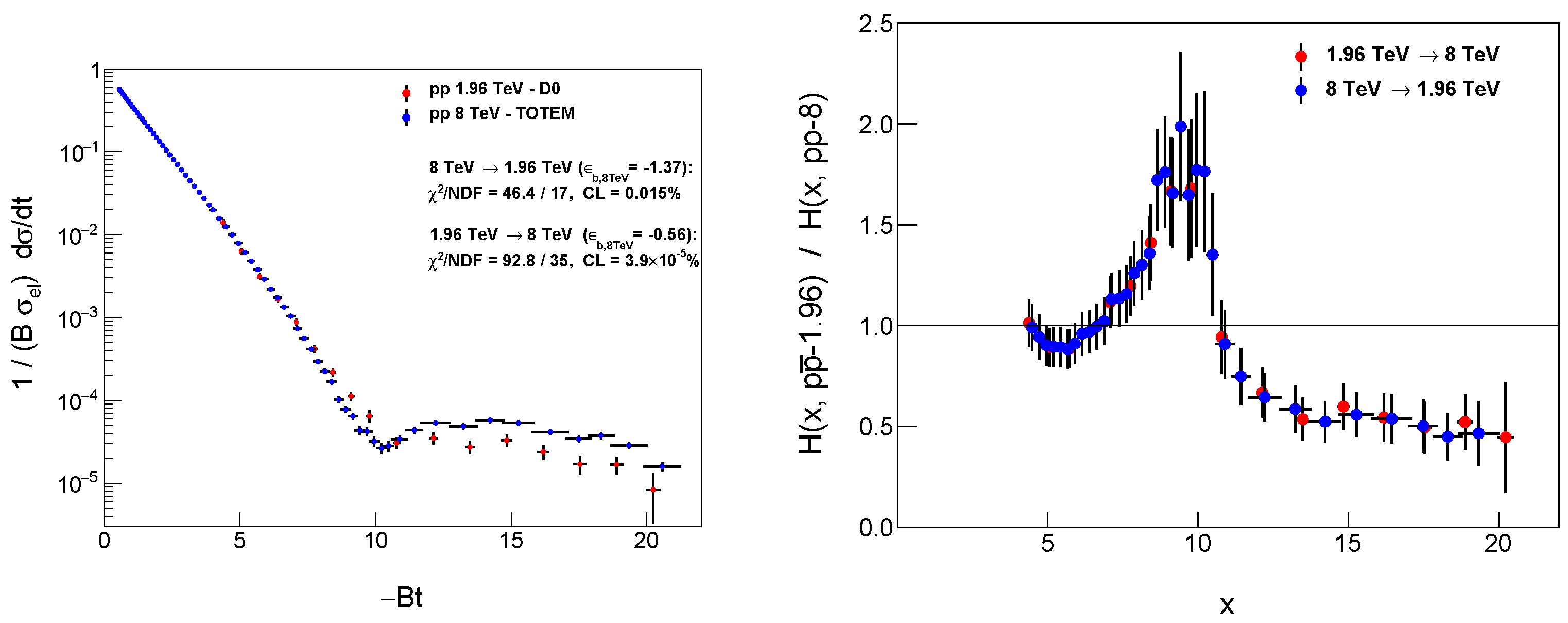
The 8 1.96 TeV and 1.96 8 TeV projections correspond to keeping the measured x values at s = 1.96 and 8 TeV, respectively, and determining by interpolation the H ( x , s ) scaling functions at these x values, but at the other energy, s = 8 and 1.96 TeV, respectively. This procedure is described in full detail in ref. [5]. The left panel of Figure 3 compares the H ( x ) scaling function of elastic p p collisions at s = 8 TeV to that of p p ¯ collisions at s = 1.96 TeV. In this case, adopting the method of ref. [57], the confidence level of the agreement of the H ( x ) scaling functions is found to be lower than 0.015 %, with a minimum of χ 2 / NDF = 46.4 / 17 . Hence, the difference between these scaling functions is statistically significant, an at least 3.79 σ effect, and it represents our result for the odderon observation from the comparison of the s = 8 TeV p p and s = 1.96 TeV p p ¯ datasets in the 5 x 20 acceptance domain. This seems to be a conservative and robust result as we find that this value can only increase for variations both in the procedure itself and in the χ 2 definition.
The quantification of the significance of the odderon is based on a method developed by the PHENIX Collaboration in ref. [57] using a specific χ 2 definition that effectively diagonalizes the covariance matrix. In the case considered by the PHENIX Collaboration in Appendix A of ref. [57], the experimental data are compared to a theoretical calculation. In our analysis, we adapt the PHENIX method [57] for a comparison of one set of data directly to another set of data, without using any theory or fitting functions. Following the PHENIX method, we classify the experimental errors of a given dataset into three different types: (i) type A, point-to-point fluctuating (uncorrelated) systematic and statistical errors, (ii) type B errors that are point-to-point dependent, but 100% correlated systematic errors, and (iii) type C errors, that are point-to-point independent, but fully correlated systematic errors to evaluate the significance of correlated data [57], when the full covariance matrix is not publicly available. Since the t-dependent systematic errors in TOTEM measurements are almost 100% correlated, we classified them as type B errors, while the t-independent overall normalization errors are type C errors, and the statistical errors are type A errors.
The covariance matrix has been published together with the differential cross-section of elastic scattering at s = 13 TeV by TOTEM [18] and, on this dataset, we have checked, with a Levy series expansion method [23], that a fit with the full covariance matrix and another fit with our adopted PHENIX method gave the same minimum, the same central values for the fit parameters and the same errors of these parameters, within one standard deviation. This suggests that the two methods are indeed equivalent in our case too, and we utilized and adapted the PHENIX method for the comparison of two datasets, where the covariance matrix of at least one of these datasets was not publicly available.
At s = 2.76 TeV, in ref. [19], the TOTEM Collaboration published the p p differential cross-section data with separated type A and type B errors. The source of the TOTEM p p differential cross-section data, measured at s = 7 TeV, is ref. [52]. In addition, the values of | t | were determined together with their errors of type A and B as given in Table 5 of ref. [52] and Table 3 of ref. [56]. The t-independent, type C errors cancel from the H ( x ) scaling functions, as they multiply both the numerator and the denominator of H ( x ) .
The D0 collaboration did not publish type B errors for its differential cross-section data at s = 1.96 TeV [14]. We have thus fixed the correlation coefficient of these D0 type B errors to zero. The input values of the nuclear slope parameters B and the elastic cross-sections σ el are summarized in Table 1, together with the appropriate references. The sources of the TOTEM p p differential cross-section data, measured at s = 8 TeV, are refs. [15,20] with errors of type A and B. The second reference specifies data without horizontal errors; only the bin widths are given that significantly overestimate those errors. Therefore, we have performed calculations with more realistic but likely still well-overestimated horizontal errors of half bin widths, as well, resulting in significances much higher as compared to the significances presented in Table 2.
We define the significance of the agreement between the dataset D 1 and the projection D 21 = D 2 D 1 of dataset D 2 to D 1 in their overlapping acceptance, with the following χ 2 definition [5]:
χ 2 1 2 = j = 1 n 21 ( d 1 j + ϵ b , 1 e B , 1 j d 21 j ϵ b , 21 e B , 21 j ) 2 ( e ˜ A , 1 j ) 2 + ( e ˜ A , 21 j ) 2 + ϵ b , 1 2 + ϵ b , 21 2 , e ˜ A , k j = e A , k j d k j + ϵ b , k e B , k j d k j , e M , k j = ( σ M , k j ) 2 + ( d k , j ) 2 ( δ M , k j x ) 2 ,
where n 21 is the number of data points d 21 j in D 21 indexed by j, the same as in D 1 but remaining in the overlapping acceptance of D 1 , 2 sets, e M , k j , k = 1 , 21 , are the type M = A , B errors found in terms of the type M vertical errors on data point j, σ M , k j , added in quadrature with the corresponding type M vertical errors that were evaluated from the corresponding errors on the horizontal axis x with the scaled variance method, d k , j δ M , k j x , where d k , j stands for the numerical derivative of the measured quantity in dataset D k at point j in the common acceptance and δ M , k j x is the j-dependent type M horizontal error. The overall correlation coefficients of the type B errors e B , k j of the D k datasets are denoted by ϵ b , k . These coefficients are usually unknown; therefore, we perform a scan of them to find the minimum of the χ 2 , whose corresponding values are indicated on the plots.
In the right panel of Figure 3, we present visible and statistically significant deviation from unity in the ratio of the scaling functions of p p and p p ¯ elastic scattering. The ratio of the H ( x ) scaling functions is shown for elastic p p ¯ collisions at s = 1.96 TeV over that of p p collisions at s = 8 TeV. As a cross-check, we show the results of two different projection procedures: direct 1.96 8 TeV and inverse 8 1.96 TeV denoted by blue and red circle points, respectively. No significant variation with respect to the direction of projection has been found. In both methods, we observe an odderon effect as a peak in the 5 < x < 10 region, followed by a factor of two suppression or decrease from unity in a broad range of 10 x = t B 20 . The statistical significance of the observed difference between the p p and p p ¯ scaling functions has been found to be at least 3.79 σ , which corresponds to an indication but not alone a statistically significant proof of odderon exchange from the comparison of these two datasets only. It is important to emphasize that this result is obtained by utilizing the scaling properties of p p scattering without any reference to modelling and without removing (or adding to) any of the published D0 or TOTEM data points, that is, all the available data (in particular, all the 17 D0 points) were utilized in this analysis. This is in contrast to the D0–TOTEM publication on observation of odderon exchange [39], where the analysis was limited to only 8 of all the 17 available D0 points [14].

4. Summary of Odderon-Exchange Significances

The significances of the model-independent odderon-exchange observations in the framework of the H ( x ) scaling analysis are summarized in Table 2 based on the new results discussed in this paper as well as on the ones in our previous paper, ref. [5]. One can notice that no odderon signal is observed when the H ( x , s 1 | p p ¯ ) scaling function calculated from the s 1 = 1.96 TeV p p ¯ D0 data is compared to the H ( x , s 2 | p p ) scaling function calculated from the s 2 = 2.76 TeV p p TOTEM data. However, this small minimal significance value is due to the smaller acceptance domain in t of the 2.76 TeV dataset which reflects the importance of having p p data points possibly in the whole D0 acceptance. The p p ¯ 1.96 TeV vs. p p 8 TeV H ( x ) function comparison results in an odderon signal that alone does not reach the 5 σ discovery level significance limit. However, the comparison of the H ( x | s 1 , p p ¯ ) of 1.96 TeV and the H ( x | s 3 , p p ) data at s 3 = 7 TeV H ( x ) itself results in a statistically significant signal of odderon exchange, that is well above the 5 σ discovery level significance limit [5,7,46].
What happens if we combine significances obtained from various pairwise comparisons? The combined significances of odderon exchange using the H ( x ) scaling analysis are summarized in Table 3. For a combination of the significances, two different methods are used: (1) summation of the individual χ 2 and NDF values; (2) Stouffer’s method (also used by TOTEM in ref. [39]). It is important to stress that, independently of the method used for a combination, the combined odderon observation significance is well above the 5 σ discovery level when all possible p p p p ¯ H ( x ) scaling function comparisons are taken into account.

5. Conclusions

With the new s = 8 TeV p p data of the TOTEM Collaboration, we have further strengthened the observation of the odderon that we have already shown in our previous analysis with 7 TeV data. Using the χ 2 method, the combined significance of odderon exchange grows from 6.26 to 7.08 σ , as shown in Table 3, as obtained from TOTEM data on elastic p p scattering at 7 and 8 TeV and all D0 data on elastic p p ¯ scattering at 1.96 TeV. As also indicated in Table 3, Stouffer’s method for the combination of significances yields similar results, resulting in a 7.10 σ combined statistical significance of odderon exchange using all the D0 elastic p p ¯ data at s = 1.96 TeV, ref. [14] and all the TOTEM data at s = 7 and s = 8 TeV, refs. [15,52]. Let us note that the domain of validity of this H ( x , s | p p ) scaling includes these three energies, but so far this property has been published only in a model-dependent way [9,46]. The domain of validity of this H ( x | p p ) scaling has been found to include s = 1.96 , 2.76 , 7 and 8 TeV in a model-independent way as well as presented at various conferences [55], but these results go well beyond the scope of the present manuscript and will be written up in full detail in a separate publication.

Author Contributions

Conceptualization and methodology: T.C., R.P. and A.S. Software: A.S. and T.N., validation: T.N. and A.S. formal analysis and investigation: R.P. and I.S., resources: T.C., T.N., R.P. and I.S., writing-original draft preparation A.S., review and editing: T.C., I.S., T.N. and R.P. All authors have read and agreed to the published version of the manuscript.

Funding

R.P. is supported in part by the Swedish Research Council grant No. 2016-05996, by the European Research Council (ERC) under the European Union’s Horizon 2020 research and innovation programme (grant agreement No. 668679). T.C., T.N., A.S. and I.S. were partially supported by the NKIFH grants K-133046 and K-147557 as well as by the EFOP 3.6.1-16-2016-00001 grant (Hungary). I.S. was supported as well as by the ÚNKP-21-3 and ÚNKP-22-3 New National Excellence Program of the Hungarian Ministry for Innovation and Technology from the National Research, Development and Innovation Fund. Our collaboration has also been partially supported by the COST Action CA15213 (THOR) and by the MATE KKP 2023 and 2024 grants.

Data Availability Statement

This manuscript relies on the re-analysis of already published data, now new data are created in this manuscript.

Acknowledgments

We acknowledge inspiring and useful discussions with W. Guryn, G. Gustafson, L. Jenkovszky, V.A. Khoze, E. Levin, L. Lönnblad and M. Strikman as well as with members of the D0 and TOTEM Collaborations.

Conflicts of Interest

The authors of this manuscript declare no conflicts of interest.

References

  1. Lukaszuk, L.; Nicolescu, B. A Possible interpretation of pp rising total cross-sections. Lett. Nuovo Cim. 1973, 8, 405–413. [Google Scholar] [CrossRef]
  2. Bartels, J.; Lipatov, L.N.; Vacca, G.P. A New odderon solution in perturbative QCD. Phys. Lett. 2000, B477, 178–186. [Google Scholar] [CrossRef]
  3. Jenkovszky, L.L.; Lengyel, A.I.; Lontkovskyi, D.I. The Pomeron and Odderon in elastic, inelastic and total cross sections at the LHC. Int. J. Mod. Phys. 2011, A26, 4755–4771. [Google Scholar] [CrossRef]
  4. Ster, A.; Jenkovszky, L.; Csörgő, T. Extracting the Odderon from pp and p ¯ p scattering data. Phys. Rev. 2015, D91, 074018. [Google Scholar] [CrossRef]
  5. Csörgő, T.; Novák, T.; Pasechnik, R.; Ster, A.; Szanyi, I. Evidence of Odderon-exchange from scaling properties of elastic scattering at TeV energies. Eur. Phys. J. C 2021, 81, 180. [Google Scholar] [CrossRef]
  6. Breakstone, A.; Crawley, H.B.; Dallavalle, G.M.; Doroba, K.; Drijard, D.; Fabbri, F.; Firestone, A.; Fischer, H.G.; Frehse, H.; Geist, W.; et al. A Measurement of p ¯ p and pp Elastic Scattering in the Dip Region at s = 53-GeV. Phys. Rev. Lett. 1985, 54, 2180. [Google Scholar] [CrossRef]
  7. Csörgő, T.; Novák, T.; Pasechnik, R.; Ster, A.; Szanyi, I. Proton Holography—Discovering Odderon from Scaling Properties of Elastic Scattering. EPJ Web Conf. 2020, 235, 06002. [Google Scholar] [CrossRef]
  8. Csörgő, T. Recent Results from the CERN LHC Experiment TOTEM—Implications for Odderon Exchange. EPJ Web Conf. 2019, 206, 06004. [Google Scholar] [CrossRef][Green Version]
  9. Szanyi, I.; Csörgő, T. The ReBB model and its H(x) scaling version at 8 TeV: Odderon exchange is a certainty. Eur. Phys. J. C 2022, 82, 827. [Google Scholar] [CrossRef]
  10. Bialas, A.; Bzdak, A. Constituent quark and diquark properties from small angle proton-proton elastic scattering at high energies. Acta Phys. Polon. B 2007, 38, 159–168. [Google Scholar]
  11. Nemes, F.; Csörgő, T.; Csanád, M. Excitation function of elastic pp scattering from a unitarily extended Bialas–Bzdak model. Int. J. Mod. Phys. A 2015, 30, 1550076. [Google Scholar] [CrossRef]
  12. Battiston, R.; Bozzo, M.; Braccini, P.; Carbonara, F.; Carrara, R.; Castaldi, R.; Cervelli, F.; Chiefari, G.; Drago, E.; Haguenauer, M.; et al. Proton-Anti-Proton Elastic Scattering at Four Momentum Transfer Up to 0.5-GeV**2 at the CERN SPS Collider. Phys. Lett. B 1983, 127, 472–475. [Google Scholar] [CrossRef]
  13. Bozzo, M.; Braccini, P.; Carbonara, F.; Castaldi, R.; Cervelli, F.; Chiefari, G.; Drago, E.; Haguenauer, M.; Innocente, V.; Koene, B.; et al. Elastic Scattering at the CERN SPS Collider Up to a Four Momentum Transfer of 1.55-GeV**2. Phys. Lett. B 1985, 155, 197–202. [Google Scholar] [CrossRef]
  14. Abazov, V.M.; Abbott, B.; Acharya, B.S.; Adams, M.; Adams, T.; Alexeev, G.D.; Alkhazov, G.; Alton, A.; Alverson, G.; Alves, G.A.; et al. Measurement of the differential cross section /dt in elastic p p ¯ scattering at s = 1.96 TeV. Phys. Rev. 2012, D86, 012009. [Google Scholar] [CrossRef]
  15. Antchev, G.; Aspell, P.; Atanassov, I.; Avati, V.; Baechler, J.; Barrera, C.B.; Berardi, V.; Berretti, M.; Borchsh, V.; Bossini, E.; et al. Characterisation of the dip-bump structure observed in proton–proton elastic scattering at s = 8 TeV. Eur. Phys. J. C 2022, 82, 263. [Google Scholar] [CrossRef]
  16. Antchev, G.; Aspell, P.; Atanassov, I.; Avati, V.; Baechler, J.; Barrera, C.B.; Berardi, V.; Berretti, M.; Bossini, E.; Bottigli, U.; et al. First measurement of elastic, inelastic and total cross-section at s = 13 TeV by TOTEM and overview of cross-section data at LHC energies. Eur. Phys. J. 2019, C79, 103. [Google Scholar] [CrossRef]
  17. Antchev, G.; Aspell, P.; Atanassov, I.; Avati, V.; Baechler, J.; Barrera, C.B.; Berardi, V.; Berretti, M.; Bossini, E.; Bottigli, U.; et al. First determination of the ρ parameter at s = 13 TeV: Probing the existence of a colourless C-odd three-gluon compound state. Eur. Phys. J. 2019, C79, 785. [Google Scholar] [CrossRef]
  18. Antchev, G.; Aspell, P.; Atanassov, I.; Avati, V.; Baechler, J.; Barrera, C.B.; Berardi, V.; Berretti, M.; Bossini, E.; Bottigli, U.; et al. Elastic differential cross-section measurement at s = 13 TeV by TOTEM. Eur. Phys. J. 2019, C79, 861. [Google Scholar] [CrossRef]
  19. Antchev, G.; Aspell, P.; Atanassov, I.; Avati, V.; Baechler, J.; Barrera, C.B.; Berardi, V.; Berretti, M.; Bossini, E.; Bottigli, U.; et al. Elastic differential cross-section dσ/dt at s = 2.76 TeV and implications on the existence of a colourless C-odd three-gluon compound state. Eur. Phys. J. 2020, C80, 91. [Google Scholar] [CrossRef]
  20. Antchev, G.; Aspell, P.; Atanassov, I.; Avati, V.; Baechler, J.; Berardi, V.; Berretti, M.; Bossini, E.; Bottigli, U.; Bozzo, M.; et al. Evidence for non-exponential elastic proton–proton differential cross-section at low |t| and s = 8 TeV by TOTEM. Nucl. Phys. 2015, B899, 527–546. [Google Scholar] [CrossRef]
  21. Khoze, V.A.; Martin, A.D.; Ryskin, M.G. Elastic proton-proton scattering at 13 TeV. Phys. Rev. 2018, D97, 034019. [Google Scholar] [CrossRef]
  22. Samokhin, A.P.; Petrov, V.A. The Stationary Points and Structure of High-Energy Scattering Amplitude. Nucl. Phys. 2018, A974, 45–55. [Google Scholar] [CrossRef]
  23. Csörgő, T.; Pasechnik, R.; Ster, A. Odderon and proton substructure from a model-independent Lévy imaging of elastic pp and p p ¯ collisions. Eur. Phys. J. 2019, C79, 62. [Google Scholar] [CrossRef] [PubMed]
  24. Broilo, M.; Luna, E.G.S.; Menon, M.J. Forward Elastic Scattering and Pomeron Models. Phys. Rev. 2018, D98, 074006. [Google Scholar] [CrossRef]
  25. Pacetti, S.; Srivastava, Y.; Pancheri, G. Analysis and Implications of precision near-forward TOTEM data. Phys. Rev. 2019, D99, 034014. [Google Scholar] [CrossRef]
  26. Gonçalves, V.P.; Silva, P.V.R.G. The Phillips–Barger model for the elastic cross section and the Odderon. Eur. Phys. J. 2019, C79, 237. [Google Scholar] [CrossRef]
  27. Selyugin, O.; Cudell, J. Odderon, HEGS model and LHC data. Acta Phys. Polon. Suppl. 2019, 12, 741. [Google Scholar] [CrossRef]
  28. Khoze, V.A.; Martin, A.D.; Ryskin, M.G. Black disk, maximal Odderon and unitarity. Phys. Lett. 2018, B780, 352–356. [Google Scholar] [CrossRef]
  29. Broilo, M.; Luna, E.G.S.; Menon, M.J. Soft Pomerons and the Forward LHC Data. Phys. Lett. 2018, B781, 616–620. [Google Scholar] [CrossRef]
  30. Troshin, S.M.; Tyurin, N.E. Implications of the ρ(s) measurements by TOTEM at the LHC. Mod. Phys. Lett. 2018, A33, 1850206. [Google Scholar] [CrossRef]
  31. Dremin, I.M. Several Effects Unexplained by QCD. Universe 2018, 4, 65. [Google Scholar] [CrossRef]
  32. Martynov, E.; Nicolescu, B. Evidence for maximality of strong interactions from LHC forward data. Phys. Lett. 2018, B786, 207–211. [Google Scholar] [CrossRef]
  33. Martynov, E.; Nicolescu, B. Odderon effects in the differential cross-sections at Tevatron and LHC energies. Eur. Phys. J. C 2019, 79, 461. [Google Scholar] [CrossRef]
  34. Shabelski, Y.M.; Shuvaev, A.G. Real part of pp scattering amplitude in Additive Quark Model at LHC energies. Eur. Phys. J. 2018, C78, 497. [Google Scholar] [CrossRef]
  35. Khoze, V.A.; Martin, A.D.; Ryskin, M.G. Elastic and diffractive scattering at the LHC. Phys. Lett. 2018, B784, 192–198. [Google Scholar] [CrossRef]
  36. Hagiwara, Y.; Hatta, Y.; Pasechnik, R.; Zhou, J. Spin-dependent Pomeron and Odderon in elastic proton-proton scattering. Eur. Phys. J. C 2020, 80, 427. [Google Scholar] [CrossRef]
  37. Contreras, C.; Levin, E.; Meneses, R.; Sanhueza, M. QCD Odderon: Non linear evolution in the leading twist. Phys. Rev. 2020, D101, 096019. [Google Scholar]
  38. Gotsman, E.; Levin, E.; Potashnikova, I. A new parton model for the soft interactions at high energies: The Odderon. Phys. Rev. 2020, D101, 094021. [Google Scholar] [CrossRef]
  39. Abazov, V.M.; Abbott, B.; Acharya, B.S.; Adams, M.; Adams, T.; Agnew, J.P.; Alexeev, G.D.; Alkhazov, G.; Alton, A.; Alves, G.A.; et al. Odderon Exchange from Elastic Scattering Differences between pp and p p ¯ Data at 1.96 TeV and from pp Forward Scattering Measurements. Phys. Rev. Lett. 2021, 127, 062003. [Google Scholar] [CrossRef]
  40. Aad, G.; Abbott, B.; Abbott, D.C.; Abeling, K.; Abidi, S.H.; Aboulhorma, A.; Abramowicz, H.; Abreu, H.; Abulaiti, Y.; Hoffman, A.C.A.; et al. Measurement of the total cross section and ρ-parameter from elastic scattering in pp collisions at s = 13 TeV with the ATLAS detector. Eur. Phys. J. C 2023, 83, 441. [Google Scholar] [CrossRef]
  41. Petrov, V.A.; Tkachenko, N.P. Coulomb-nuclear interference: Theory and practice for pp-scattering at 13 TeV. Phys. Rev. D 2022, 106, 054003. [Google Scholar] [CrossRef]
  42. Petrov, V.A.; Tkachenko, N.P. ATLAS vs. TOTEM: Disturbing Divergence. Phys. Part. Nucl. 2023, 54, 1152–1164. [Google Scholar] [CrossRef]
  43. Petrov, V.A.; Tkachenko, N.P. TOTEM-ATLAS ambiguity: Shouldn’t one worry? Nucl. Phys. A 2024, 1042, 122807. [Google Scholar] [CrossRef]
  44. Donnachie, A.; Landshoff, P.V. Small t elastic scattering and the ρ parameter. Phys. Lett. B 2019, 798, 135008. [Google Scholar] [CrossRef]
  45. Donnachie, A.; Landshoff, P.V. Lack of evidence for an odderon at small t. Phys. Lett. B 2022, 831, 137199. [Google Scholar] [CrossRef]
  46. Csörgő, T.; Szanyi, I. Observation of Odderon Effects at LHC energies—A Real Extended Bialas-Bzdak Model Study. Eur. Phys. J. 2021, C81, 611. [Google Scholar] [CrossRef]
  47. Aad, G.; Abbott, B.; Abdallah, J.; Khalek, S.A.; Abdinov, O.; Aben, R.; Abi, B.; Abolins, M.; AbouZeid, O.; Abramowicz, H.; et al. Measurement of the total cross section from elastic scattering in pp collisions at s = 7 TeV with the ATLAS detector. Nucl. Phys. B 2014, 889, 486–548. [Google Scholar] [CrossRef]
  48. Aaboud, M.; Aad, G.; Abbott, B.; Abdallah, J.; Abdinov, O.; Abeloos, B.; Aben, R.; AbouZeid, O.; Abraham, N.; Abramowicz, H.; et al. Measurement of the total cross section from elastic scattering in pp collisions at s = 8 TeV with the ATLAS detector. Phys. Lett. B 2016, 761, 158–178. [Google Scholar] [CrossRef]
  49. Cui, Z.F.; Binosi, D.; Roberts, C.D.; Schmidt, S.M.; Triantafyllopoulos, D.N. Fresh look at experimental evidence for odderon exchange. Phys. Lett. 2023, B839, 137826. [Google Scholar] [CrossRef]
  50. Österberg, K. Odderon observation: Explanations and answers to questions/objections regarding the PRL publication. In Proceedings of the Low-x Workshop 2021, Elba Island, Italy, 8 February 2022. [Google Scholar]
  51. Österberg, K. D0-TOTEM Odderon observation: An update. In Proceedings of the ISMD 2003: 52nd International Symposium on Multiparticle Dynamics, Gyöngyös, Hungary, 21–26 August 2023. [Google Scholar]
  52. Antchev, G. et al. [The TOTEM Collaboration] Measurement of proton-proton elastic scattering and total cross-section at S**(1/2) = 7-TeV. EPL 2013, 101, 21002. [Google Scholar] [CrossRef]
  53. Antchev, G. et al. [The TOTEM Collaboration] Luminosity-independent measurements of total, elastic and inelastic cross-sections at s = 7 TeV. EPL 2013, 101, 21004. [Google Scholar] [CrossRef]
  54. Antchev, G. et al. [The TOTEM Collaboration] Measurement of elastic pp scattering at s = 8 TeV in the Coulomb–nuclear interference region: Determination of the ρ-parameter and the total cross-section. Eur. Phys. J. C 2016, 76, 661. [Google Scholar] [CrossRef]
  55. Csörgő, T. Odderon-exchange: Observations and properties. In Proceedings of the XXXVth International Workshop on High Energy Physics: From Quarks to Galaxies, Elicudating Dark Sides, Moscow, Russia, 28 November–1 December 2023. [Google Scholar]
  56. Antchev, G. et al. [The TOTEM Collaboration] Proton-proton elastic scattering at the LHC energy of s** (1/2) = 7-TeV. EPL 2011, 95, 41001. [Google Scholar] [CrossRef]
  57. Adare, A.; Afanasiev, S.; Aidala, C.; Ajitanand, N.N.; Akiba, Y.; Al-Bataineh, H.; Alexander, J.; Al-Jamel, A.; Aoki, K.; Aphecetche, L.; et al. Quantitative Constraints on the Opacity of Hot Partonic Matter from Semi-Inclusive Single High Transverse Momentum Pion Suppression in Au + Au collisions at s(NN)**(1/2) = 200-GeV. Phys. Rev. 2008, C77, 064907. [Google Scholar] [CrossRef]
  58. Nemes, F.J. Elastic and total cross-section measurements by TOTEM: Past and future. PoS 2018, DIS2017, 059. [Google Scholar] [CrossRef][Green Version]
  59. Antchev, G.; Aspell, P.; Atanassov, I.; Avati, V.; Baechler, J.; Berardi, V.; Berretti, M.; Bossini, E.; Bottigli, U.; Bozzo, M.; et al. Luminosity-Independent Measurement of the Proton-Proton Total Cross Section at s = 8 TeV. Phys. Rev. Lett. 2013, 111, 012001. [Google Scholar] [CrossRef]
Figure 1. Left panel indicates that for p p elastic scattering the H ( x ) scaling function for x = t B is energy independent in the energy range of s = 2.76–8 TeV. The notation is the same as in ref. [5] for the data points and the decomposition of the errors to point-to-point fluctuating, type A errors (vertical and horizontal lines), to point-to-point correlated, type B errors (grey bars), noting that the overall normalization (type C) errors cancel from the H ( x , s ) scaling function. The X Y notations are indicating the direction of the projection, as detailed in ref. [5]. Right panel indicates that for p p elastic scattering the ratio of the scaling functions H ( x , s 1 ) / H ( x , s 2 ) , where x = t B , s 1 = 2.76 TeV and s 2 = 8 TeV, is not inconsistent with unity within statistical errors, due to the energy independence of the H ( x , s ) scaling in the 2.76 s 1 , 2 8 TeV energy range. Here, X Y denotes direction of the projections by exponential interpolation between two adjacent data points of the dataset X to obtain its H ( x ) at the same x where the other dataset Y was measured, so that we can compare them via χ 2 method as detailed in the text and in ref. [5].
Figure 1. Left panel indicates that for p p elastic scattering the H ( x ) scaling function for x = t B is energy independent in the energy range of s = 2.76–8 TeV. The notation is the same as in ref. [5] for the data points and the decomposition of the errors to point-to-point fluctuating, type A errors (vertical and horizontal lines), to point-to-point correlated, type B errors (grey bars), noting that the overall normalization (type C) errors cancel from the H ( x , s ) scaling function. The X Y notations are indicating the direction of the projection, as detailed in ref. [5]. Right panel indicates that for p p elastic scattering the ratio of the scaling functions H ( x , s 1 ) / H ( x , s 2 ) , where x = t B , s 1 = 2.76 TeV and s 2 = 8 TeV, is not inconsistent with unity within statistical errors, due to the energy independence of the H ( x , s ) scaling in the 2.76 s 1 , 2 8 TeV energy range. Here, X Y denotes direction of the projections by exponential interpolation between two adjacent data points of the dataset X to obtain its H ( x ) at the same x where the other dataset Y was measured, so that we can compare them via χ 2 method as detailed in the text and in ref. [5].
Universe 10 00264 g001
Figure 2. Left panel indicates that for p p elastic scattering the H ( x ) scaling function for x = t B is energy independent in the energy range of s = 7–8 TeV. The notation is the same as in Figure 1 as detailed in ref. [5]. Right panel indicates that for p p elastic scattering the ratio of the scaling functions H ( x , s 1 ) / H ( x , s 2 ) , where x = t B , s 1 = 7 TeV and s 2 = 8 TeV, is not inconsistent with unity within statistical errors, due to the energy independence of the H ( x , s ) scaling function in the 2.76 s 1 , 2 8 TeV energy range.
Figure 2. Left panel indicates that for p p elastic scattering the H ( x ) scaling function for x = t B is energy independent in the energy range of s = 7–8 TeV. The notation is the same as in Figure 1 as detailed in ref. [5]. Right panel indicates that for p p elastic scattering the ratio of the scaling functions H ( x , s 1 ) / H ( x , s 2 ) , where x = t B , s 1 = 7 TeV and s 2 = 8 TeV, is not inconsistent with unity within statistical errors, due to the energy independence of the H ( x , s ) scaling function in the 2.76 s 1 , 2 8 TeV energy range.
Universe 10 00264 g002
Figure 3. Left and right panels indicates a statistically significant difference between the H ( x ) scaling functions for elastic p p collisions at s = 8 TeV and those of p p ¯ collisions at s = 1.96 TeV at the level of at least 3.79 σ and 5.1 σ , depending on the direction of projection, respectively. Notations are the same as in Figure 1, and detailed in ref. [5].
Figure 3. Left and right panels indicates a statistically significant difference between the H ( x ) scaling functions for elastic p p collisions at s = 8 TeV and those of p p ¯ collisions at s = 1.96 TeV at the level of at least 3.79 σ and 5.1 σ , depending on the direction of projection, respectively. Notations are the same as in Figure 1, and detailed in ref. [5].
Universe 10 00264 g003
Table 1. Summary table of the elastic cross-section σ el and the nuclear slope parameter B, with references. We have indexed with superscripts A , B and C the type A, B and C errors, respectively. The value and the type A error of the elastic cross-section σ el at s = 1.96 TeV [*] is obtained from a low t exponential fit to the data of ref. [14], while the type C error is from ref. [14]. The statistical and systematic errors of d σ / d t data at s = 1.96 TeV were added in quadrature in ref. [14]; therefore, it was carried out in case of the elastic slope B as well, providing a combined type A error δ A B = 0.224 GeV−2. At s = 2.76 TeV, ref. [19] provides the total error on B, without decomposing it into type A and type B parts. Similarly, the error on the TOTEM value of the elastic cross-section at s = 2.76 TeV was not decomposed to type A and B errors in ref. [58], either. Hence, we treat these as errors of type A: this assumption yields a conservative estimate of the odderon significance in our calculations.
Table 1. Summary table of the elastic cross-section σ el and the nuclear slope parameter B, with references. We have indexed with superscripts A , B and C the type A, B and C errors, respectively. The value and the type A error of the elastic cross-section σ el at s = 1.96 TeV [*] is obtained from a low t exponential fit to the data of ref. [14], while the type C error is from ref. [14]. The statistical and systematic errors of d σ / d t data at s = 1.96 TeV were added in quadrature in ref. [14]; therefore, it was carried out in case of the elastic slope B as well, providing a combined type A error δ A B = 0.224 GeV−2. At s = 2.76 TeV, ref. [19] provides the total error on B, without decomposing it into type A and type B parts. Similarly, the error on the TOTEM value of the elastic cross-section at s = 2.76 TeV was not decomposed to type A and B errors in ref. [58], either. Hence, we treat these as errors of type A: this assumption yields a conservative estimate of the odderon significance in our calculations.
s (GeV)     σ el (mb)    B (GeV−2)
1960 ( p p ¯ )     20.2 ± 1 . 7 A ± 14.4 % C [*]    16.86 ± 0 . 1 A ± 0 . 2 A  [14]
2760 ( p p )     21.8 ± 1 . 4 A ± 6.0 % C  [19,58]    17.1 ± 0 . 3 A  [19]
7000 ( p p )     25.43 ± 0 . 03 A ± 0 . 1 B ± 0 . 31 C ± 1 . 02 C  [52]    19.89 ± 0 . 03 A ± 0 . 27 B  [52]
8000 ( p p )     27.1 ± 1 . 4 A  [59]    19.9 ± 0 . 3 A  [59]
Table 2. Summary of the odderon signal in the H ( x ) scaling analysis.
Table 2. Summary of the odderon signal in the H ( x ) scaling analysis.
s (TeV) χ 2 NDFCLSignificance ( σ )
1.96 vs. 2.763.85119.74 × 10−10.03
1.96 vs. 780.1173.681 × 10−106.26
1.96 vs. 846.4171.502 × 10−43.79
Table 3. Combined odderon significances. The individual χ 2 , NDF and σ values of each collision energy are taken from Table 2.
Table 3. Combined odderon significances. The individual χ 2 , NDF and σ values of each collision energy are taken from Table 2.
s (TeV) χ 2 NDFCL χ 2 /NDF MethodCombined σ Stouffer’s Method
1.96 vs. 2.76 and 850.25286.064 × 10 3 2.742.70
1.96 vs. 2.76 and 783.95281.698 × 10 7 5.224.44
1.96 vs. 2.76 and 7 and 8130.35452.935 × 10 10 6.305.81
1.96 vs. 7 and 8126.5341.415 × 10 12 7.087.10
Disclaimer/Publisher’s Note: The statements, opinions and data contained in all publications are solely those of the individual author(s) and contributor(s) and not of MDPI and/or the editor(s). MDPI and/or the editor(s) disclaim responsibility for any injury to people or property resulting from any ideas, methods, instructions or products referred to in the content.

Share and Cite

MDPI and ACS Style

Csörgő, T.; Novák, T.; Pasechnik, R.; Ster, A.; Szanyi, I. Model-Independent Odderon Results Based on New TOTEM Data on Elastic Proton–Proton Collisions at 8 TeV. Universe 2024, 10, 264. https://doi.org/10.3390/universe10060264

AMA Style

Csörgő T, Novák T, Pasechnik R, Ster A, Szanyi I. Model-Independent Odderon Results Based on New TOTEM Data on Elastic Proton–Proton Collisions at 8 TeV. Universe. 2024; 10(6):264. https://doi.org/10.3390/universe10060264

Chicago/Turabian Style

Csörgő, Tamás, Tamás Novák, Roman Pasechnik, András Ster, and István Szanyi. 2024. "Model-Independent Odderon Results Based on New TOTEM Data on Elastic Proton–Proton Collisions at 8 TeV" Universe 10, no. 6: 264. https://doi.org/10.3390/universe10060264

APA Style

Csörgő, T., Novák, T., Pasechnik, R., Ster, A., & Szanyi, I. (2024). Model-Independent Odderon Results Based on New TOTEM Data on Elastic Proton–Proton Collisions at 8 TeV. Universe, 10(6), 264. https://doi.org/10.3390/universe10060264

Note that from the first issue of 2016, this journal uses article numbers instead of page numbers. See further details here.

Article Metrics

Back to TopTop