On Minimal Entanglement Wedge Cross Section for Holographic Entanglement Negativity
Abstract
1. Introduction
2. Review of Earlier Literature
2.1. Rényi Entanglement Entropy
2.2. Entanglement Negativity (EN) in a CFT2
2.3. Holographic Entanglement Negativity (HEN)
3. Entanglement Wedge Cross Section (EWCS)
- For a pure state , is equal to the entanglement entropy:
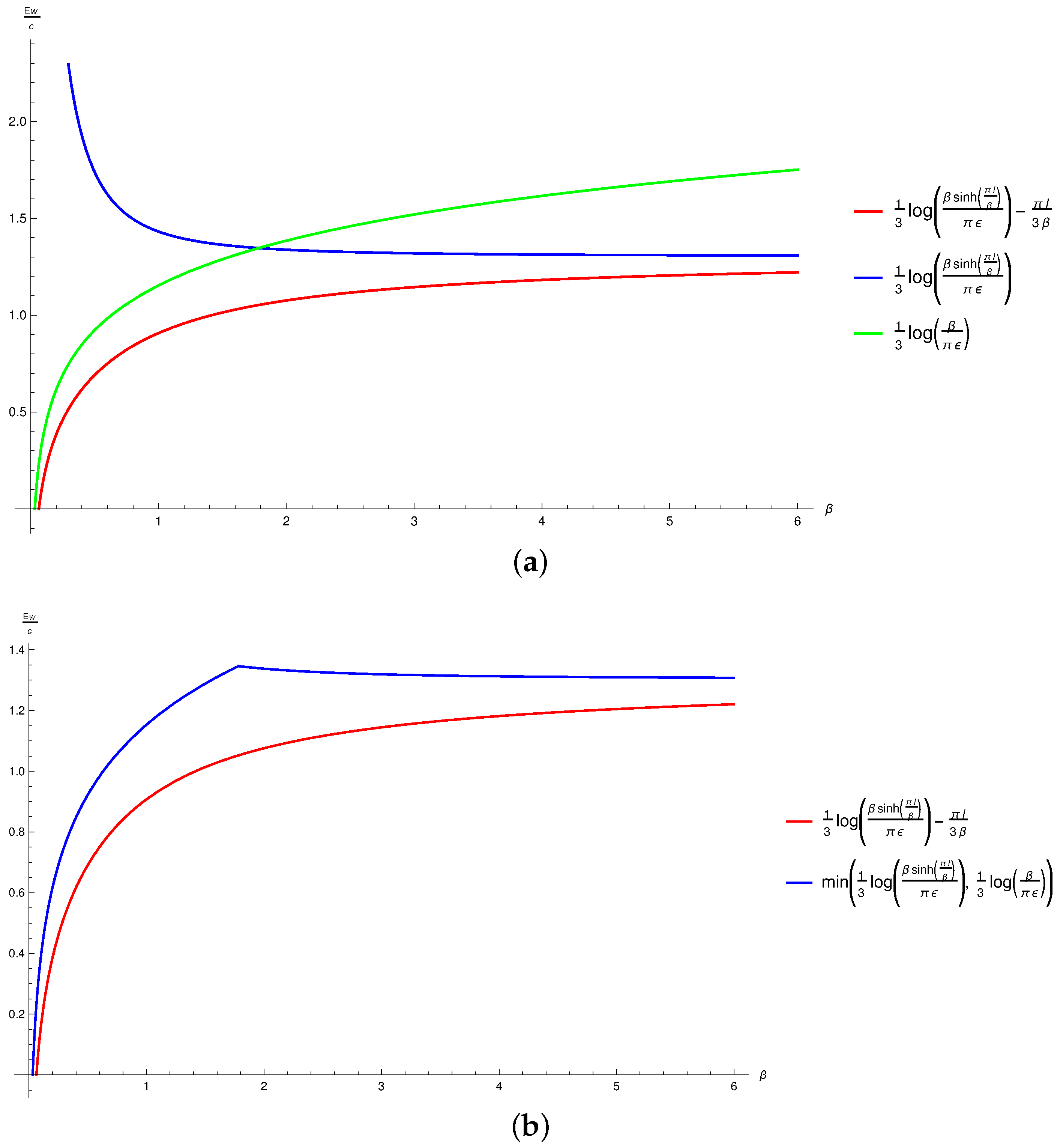
- For a mixed state , is bounded above by the entanglement entropy:
- For a mixed state , is bounded below by half the mutual information:
- is monotonic, i.e., it never increases upon discarding a subsystem:
- For a tripartite system, has the following bound:
- In a bipartite state that saturates the Araki–Lieb inequality, , we have .
- For a tripartite pure state, the is polygamous:
3.1. Computation of the EWCS
3.1.1. EWCS for Two Disjoint Intervals
3.1.2. EWCS for Two Adjacent Intervals
3.1.3. EWCS for a Single Interval
4. HEN from EWCS in AdS3/CFT2
4.1. Negativity for Two Disjoint Intervals
4.1.1. Zero Temperature
4.1.2. Finite Size
4.1.3. Finite Temperature
4.2. Negativity for Two Adjacent Intervals
4.2.1. Zero Temperature
4.2.2. Finite Size
4.2.3. Finite Temperature
4.3. Negativity for a Single Interval
4.3.1. Zero Temperature
4.3.2. Finite Size
4.3.3. Finite Temperature
5. Issue with the Thermal Entropy Term
5.1. Large Central Charge Limit
5.2. Alternate EWCS Construction
6. Discussions and Conclusions
Author Contributions
Funding
Data Availability Statement
Acknowledgments
Conflicts of Interest
Appendix A. Entanglement Negativity of Two Disjoint Intervals
Appendix B. HEN and Replica Symmetry Breaking Saddle
- : odd-numbered copies of the bulk manifold are glued cyclically, whereas the even ones are glued to themselves;
- : even-numbered copies of bulk manifold are glued anti-cyclically, whereas the odd ones are glued to themselves;
- : all the copies are glued pairwise.
Appendix C. HEN and Markov Gap
| 1 | Several other measures to characterize mixed state entanglement have also been proposed in quantum information theory. However, most of these involve optimization over LOCC protocols and are not directly computable. |
| 2 | The authors in [63] utilized a conformal map from a hyperbolic cylinder to the causal evolution of a subregion enclosed by a spherical entangling surface in flat space. This in turn implies that the entanglement entropy of a spherical region in a CFT on a flat Minkowski space is given by an integral of thermal entropy of a CFT on a hyperbolic cylinder. In the context of AdS/CFT correspondence, this translates to computing the horizon entropy of a certain topological black hole by the well-known Wald formula. |
| 3 | The trace norm for an arbitrary hermitian matrix M is given by . |
| 4 | For details of this proof, refer to [61]. |
| 5 | Note that sometimes the minimal surface itself is referred to as the entanglement wedge cross section. The meaning is usually clear from the context. |
| 6 | In the literature, the regime has been loosely stated as the limit . However, such a limit will force the EWCS to be divergent and implies setting , which is not possible as , where is the UV cutoff in the CFT2. |
| 7 | A brief review of the determination of the entanglement negativity for disjoint intervals from a field theory replica technique approach, as described in [10,12], has been provided in Appendix A. |
| 8 | The holographic Markov gap between the reflected entropy and the mutual information is briefly described in Appendix C. For details, see [60]. |
| 9 | In [43], the authors have indicated that for a single interval at a finite temperature with a length , the extensive contribution is missing in the expression for the EWCS, as described in Equation (56). |
| 10 | Note that we have omitted a Markov gap term on the right-hand side of Equation (63). |
| 11 | Note that, as explained in [10], the proximity regime does not involve setting the separation d between the intervals equal to the UV cutoff in the CFT2 with a clear hierarchy . In particular, it is not equivalent to the limit , which will force . |
| 12 | Note that the s and t channels are characterized by and respectively. |
| 13 | Refer to [12] for details of this monodromy technique and related computations. |
| 14 | |
| 15 | Note that in [35], the corresponding bulk EWCS has been numerically evaluated assuming an ad hoc conformal block-like expansion. As the EWCS is a bulk geometrical quantity, it is not clear from their analysis why such an expansion should be valid. |
References
- Vidal, G.; Werner, R.F. Computable measure of entanglement. Phys. Rev. A 2002, 65, 032314. [Google Scholar] [CrossRef]
- Plenio, M.B. Logarithmic Negativity: A Full Entanglement Monotone That is not Convex. Phys. Rev. Lett. 2005, 95, 090503. [Google Scholar] [CrossRef]
- Calabrese, P.; Cardy, J.L. Entanglement entropy and quantum field theory. J. Stat. Mech. 2004, 0406, P06002. [Google Scholar] [CrossRef]
- Calabrese, P.; Cardy, J. Entanglement entropy and conformal field theory. J. Phys. A 2009, 42, 504005. [Google Scholar] [CrossRef]
- Calabrese, P.; Cardy, J.; Tonni, E. Entanglement entropy of two disjoint intervals in conformal field theory. J. Stat. Mech. 2009, 0911, P11001. [Google Scholar] [CrossRef]
- Calabrese, P.; Cardy, J.; Tonni, E. Entanglement entropy of two disjoint intervals in conformal field theory II. J. Stat. Mech. 2011, 1101, P01021. [Google Scholar] [CrossRef]
- Hartman, T. Entanglement Entropy at Large Central Charge. arXiv 2013, arXiv:1303.6955. [Google Scholar]
- Headrick, M. Entanglement Renyi entropies in holographic theories. Phys. Rev. D 2010, 82, 126010. [Google Scholar] [CrossRef]
- Calabrese, P.; Cardy, J.; Tonni, E. Entanglement negativity in quantum field theory. Phys. Rev. Lett. 2012, 109, 130502. [Google Scholar] [CrossRef]
- Calabrese, P.; Cardy, J.; Tonni, E. Entanglement negativity in extended systems: A field theoretical approach. J. Stat. Mech. 2013, 1302, P02008. [Google Scholar] [CrossRef]
- Calabrese, P.; Cardy, J.; Tonni, E. Finite temperature entanglement negativity in conformal field theory. J. Phys. A 2015, 48, 015006. [Google Scholar] [CrossRef]
- Kulaxizi, M.; Parnachev, A.; Policastro, G. Conformal Blocks and Negativity at Large Central Charge. J. High Energy Phys. 2014, 09, 010. [Google Scholar] [CrossRef][Green Version]
- Dong, X.; Maguire, S.; Maloney, A.; Maxfield, H. Phase transitions in 3D gravity and fractal dimension. J. High Energy Phys. 2018, 05, 080. [Google Scholar] [CrossRef]
- Ryu, S.; Takayanagi, T. Holographic derivation of entanglement entropy from AdS/CFT. Phys. Rev. Lett. 2006, 96, 181602. [Google Scholar] [CrossRef] [PubMed]
- Ryu, S.; Takayanagi, T. Aspects of Holographic Entanglement Entropy. J. High Energy Phys. 2006, 08, 045. [Google Scholar] [CrossRef]
- Nishioka, T.; Ryu, S.; Takayanagi, T. Holographic Entanglement Entropy: An Overview. J. Phys. A 2009, 42, 504008. [Google Scholar] [CrossRef]
- Rangamani, M.; Takayanagi, T. Holographic Entanglement Entropy. Lect. Notes Phys. 2017, 931, 1. [Google Scholar] [CrossRef]
- Nishioka, T. Entanglement entropy: Holography and renormalization group. Rev. Mod. Phys. 2018, 90, 035007. [Google Scholar] [CrossRef]
- Fursaev, D.V. Proof of the holographic formula for entanglement entropy. J. High Energy Phys. 2006, 09, 018. [Google Scholar] [CrossRef]
- Casini, H.; Huerta, M.; Myers, R.C. Towards a derivation of holographic entanglement entropy. J. High Energy Phys. 2011, 05, 036. [Google Scholar] [CrossRef]
- Faulkner, T. The Entanglement Renyi Entropies of Disjoint Intervals in AdS/CFT. arXiv 2013, arXiv:1303.7221. [Google Scholar]
- Lewkowycz, A.; Maldacena, J. Generalized gravitational entropy. J. High Energy Phys. 2013, 08, 090. [Google Scholar] [CrossRef]
- Hubeny, V.E.; Rangamani, M.; Takayanagi, T. A Covariant holographic entanglement entropy proposal. J. High Energy Phys. 2007, 07, 062. [Google Scholar] [CrossRef]
- Dong, X.; Lewkowycz, A.; Rangamani, M. Deriving covariant holographic entanglement. J. High Energy Phys. 2016, 11, 028. [Google Scholar] [CrossRef]
- Rangamani, M.; Rota, M. Comments on Entanglement Negativity in Holographic Field Theories. J. High Energy Phys. 2014, 10, 060. [Google Scholar] [CrossRef]
- Chaturvedi, P.; Malvimat, V.; Sengupta, G. Holographic Quantum Entanglement Negativity. J. High Energy Phys. 2018, 05, 172. [Google Scholar] [CrossRef]
- Chaturvedi, P.; Malvimat, V.; Sengupta, G. Covariant holographic entanglement negativity. Eur. Phys. J. C 2018, 78, 776. [Google Scholar] [CrossRef]
- Chaturvedi, P.; Malvimat, V.; Sengupta, G. Entanglement negativity, Holography and Black holes. Eur. Phys. J. C 2018, 78, 499. [Google Scholar] [CrossRef]
- Malvimat, V.; Sengupta, G. Entanglement negativity at large central charge. Phys. Rev. D 2021, 103, 106003. [Google Scholar] [CrossRef]
- Jain, P.; Malvimat, V.; Mondal, S.; Sengupta, G. Holographic entanglement negativity conjecture for adjacent intervals in AdS3/CFT2. Phys. Lett. B 2019, 793, 104. [Google Scholar] [CrossRef]
- Jain, P.; Malvimat, V.; Mondal, S.; Sengupta, G. Covariant holographic entanglement negativity for adjacent subsystems in AdS3 /CFT2. Nucl. Phys. B 2019, 945, 114683. [Google Scholar] [CrossRef]
- Malvimat, V.; Mondal, S.; Paul, B.; Sengupta, G. Holographic entanglement negativity for disjoint intervals in AdS3/CFT2. Eur. Phys. J. C 2019, 79, 191. [Google Scholar] [CrossRef]
- Malvimat, V.; Mondal, S.; Paul, B.; Sengupta, G. Covariant holographic entanglement negativity for disjoint intervals in AdS3/CFT2. Eur. Phys. J. C 2019, 79, 514. [Google Scholar] [CrossRef]
- Basak, J.K.; Parihar, H.; Paul, B.; Sengupta, G. Holographic entanglement negativity for disjoint subsystems in AdSd+1/CFTd. arXiv 2020, arXiv:2001.10534. [Google Scholar]
- Kudler-Flam, J.; Ryu, S. Entanglement negativity and minimal entanglement wedge cross sections in holographic theories. Phys. Rev. D 2019, 99, 106014. [Google Scholar] [CrossRef]
- Dutta, S.; Faulkner, T. A canonical purification for the entanglement wedge cross-section. J. High Energy Phys. 2021, 03, 178. [Google Scholar] [CrossRef]
- Kusuki, Y.; Kudler-Flam, J.; Ryu, S. Derivation of holographic negativity in AdS3/CFT2. Phys. Rev. Lett. 2019, 123, 131603. [Google Scholar] [CrossRef]
- Czech, B.; Karczmarek, J.L.; Nogueira, F.; Van Raamsdonk, M. The Gravity Dual of a Density Matrix. Class. Quant. Grav. 2012, 29, 155009. [Google Scholar] [CrossRef]
- Wall, A.C. Maximin Surfaces, and the Strong Subadditivity of the Covariant Holographic Entanglement Entropy. Class. Quant. Grav. 2014, 31, 225007. [Google Scholar] [CrossRef]
- Headrick, M.; Hubeny, V.E.; Lawrence, A.; Rangamani, M. Causality & holographic entanglement entropy. J. High Energy Phys. 2014, 12, 162. [Google Scholar] [CrossRef]
- Jafferis, D.L.; Suh, S.J. The Gravity Duals of Modular Hamiltonians. J. High Energy Phys. 2016, 09, 068. [Google Scholar] [CrossRef]
- Jafferis, D.L.; Lewkowycz, A.; Maldacena, J.; Suh, S.J. Relative entropy equals bulk relative entropy. J. High Energy Phys. 2016, 06, 004. [Google Scholar] [CrossRef]
- Takayanagi, T.; Umemoto, K. Entanglement of purification through holographic duality. Nat. Phys. 2018, 14, 573. [Google Scholar] [CrossRef]
- Nguyen, P.; Devakul, T.; Halbasch, M.G.; Zaletel, M.P.; Swingle, B. Entanglement of purification: From spin chains to holography. J. High Energy Phys. 2018, 01, 098. [Google Scholar] [CrossRef]
- Terhal, B.M.; Horodecki, M.; Leung, D.W.; DiVincenzo, D.P. The entanglement of purification. J. Math. Phys. 2002, 43, 4286. [Google Scholar] [CrossRef]
- Bhattacharyya, A.; Takayanagi, T.; Umemoto, K. Entanglement of Purification in Free Scalar Field Theories. J. High Energy Phys. 2018, 04, 132. [Google Scholar] [CrossRef]
- Bao, N.; Halpern, I.F. Holographic Inequalities and Entanglement of Purification. J. High Energy Phys. 2018, 03, 006. [Google Scholar] [CrossRef]
- Hirai, H.; Tamaoka, K.; Yokoya, T. Towards Entanglement of Purification for Conformal Field Theories. Prog. Theor. Exp. Phys. 2018, 2018, 063B03. [Google Scholar] [CrossRef]
- Espíndola, R.; Guijosa, A.; Pedraza, J.F. Entanglement Wedge Reconstruction and Entanglement of Purification. Eur. Phys. J. C 2018, 78, 646. [Google Scholar] [CrossRef]
- Umemoto, K.; Zhou, Y. Entanglement of Purification for Multipartite States and its Holographic Dual. J. High Energy Phys. 2018, 10, 152. [Google Scholar] [CrossRef]
- Bao, N.; Halpern, I.F. Conditional and Multipartite Entanglements of Purification and Holography. Phys. Rev. D 2019, 99, 046010. [Google Scholar] [CrossRef]
- Umemoto, K. Quantum and Classical Correlations Inside the Entanglement Wedge. Phys. Rev. D 2019, 100, 126021. [Google Scholar] [CrossRef]
- Guo, W.-Z. Entanglement of purification and disentanglement in CFTs. J. High Energy Phys. 2019, 09, 080. [Google Scholar] [CrossRef]
- Bao, N.; Chatwin-Davies, A.; Pollack, J.; Remmen, G.N. Towards a Bit Threads Derivation of Holographic Entanglement of Purification. J. High Energy Phys. 2019, 07, 152. [Google Scholar] [CrossRef]
- Harper, J.; Headrick, M. Bit threads and holographic entanglement of purification. J. High Energy Phys. 2019, 08, 101. [Google Scholar] [CrossRef]
- Tamaoka, K. Entanglement Wedge Cross Section from the Dual Density Matrix. Phys. Rev. Lett. 2019, 122, 141601. [Google Scholar] [CrossRef]
- Jeong, H.-S.; Kim, K.-Y.; Nishida, M. Reflected Entropy and Entanglement Wedge Cross Section with the First Order Correction. J. High Energy Phys. 2019, 12, 170. [Google Scholar] [CrossRef]
- Bao, N.; Cheng, N. Multipartite Reflected Entropy. J. High Energy Phys. 2019, 10, 102. [Google Scholar] [CrossRef]
- Chu, J.; Qi, R.; Zhou, Y. Generalizations of Reflected Entropy and the Holographic Dual. J. High Energy Phys. 2020, 03, 151. [Google Scholar] [CrossRef]
- Hayden, P.; Parrikar, O.; Sorce, J. The Markov gap for geometric reflected entropy. J. High Energy Phys. 2021, 10, 047. [Google Scholar] [CrossRef]
- Basak, J.K.; Basu, D.; Malvimat, V.; Parihar, H.; Sengupta, G. Islands for entanglement negativity. SciPost Phys. 2022, 12, 003. [Google Scholar] [CrossRef]
- Dong, X. The Gravity Dual of Renyi Entropy. Nat. Commun. 2016, 7, 12472. [Google Scholar] [CrossRef]
- Hung, L.-Y.; Myers, R.C.; Smolkin, M.; Yale, A. Holographic Calculations of Renyi Entropy. J. High Energy Phys. 2011, 12, 047. [Google Scholar] [CrossRef]
- Bagchi, S.; Pati, A.K. Monogamy, polygamy, and other properties of entanglement of purification. Phys. Rev. A 2015, 91, 042323. [Google Scholar] [CrossRef]
- Kudler-Flam, J.; Nozaki, M.; Ryu, S.; Tan, M.T. Quantum vs. classical information: Operator negativity as a probe of scrambling. J. High Energy Phys. 2020, 01, 031. [Google Scholar] [CrossRef]
- Belavin, A.A.; Polyakov, A.M.; Zamolodchikov, A.B. Infinite Conformal Symmetry in Two-Dimensional Quantum Field Theory. Nucl. Phys. B 1984, 241, 333. [Google Scholar] [CrossRef]
- Zamolodchikov, A.B. Conformal symmetry in two-dimensional space: Recursion representation of conformal block. Theor. Math. Phys. 1987, 73, 1088. [Google Scholar] [CrossRef]
- Dong, X.; Qi, X.-L.; Walter, M. Holographic entanglement negativity and replica symmetry breaking. J. High Energy Phys. 2021, 06, 024. [Google Scholar] [CrossRef]
- Nakaguchi, Y.; Nishioka, T. A holographic proof of Rényi entropic inequalities. J. High Energy Phys. 2016, 12, 129. [Google Scholar] [CrossRef]
- Kawabata, K.; Nishioka, T.; Okuyama, Y.; Watanabe, K. Replica wormholes and capacity of entanglement. J. High Energy Phys. 2021, 10, 227. [Google Scholar] [CrossRef]
- Petz, D. Sufficient subalgebras and the relative entropy of states of a von Neumann algebra. Commun. Math. Phys. 1986, 105, 123. [Google Scholar] [CrossRef]
- Fawzi, O.; Renner, R. Quantum Conditional Mutual Information and Approximate Markov Chains. Commun. Math. Phys. 2015, 340, 575. [Google Scholar] [CrossRef]




Disclaimer/Publisher’s Note: The statements, opinions and data contained in all publications are solely those of the individual author(s) and contributor(s) and not of MDPI and/or the editor(s). MDPI and/or the editor(s) disclaim responsibility for any injury to people or property resulting from any ideas, methods, instructions or products referred to in the content. |
© 2024 by the authors. Licensee MDPI, Basel, Switzerland. This article is an open access article distributed under the terms and conditions of the Creative Commons Attribution (CC BY) license (https://creativecommons.org/licenses/by/4.0/).
Share and Cite
Basak, J.K.; Malvimat, V.; Parihar, H.; Paul, B.; Sengupta, G. On Minimal Entanglement Wedge Cross Section for Holographic Entanglement Negativity. Universe 2024, 10, 125. https://doi.org/10.3390/universe10030125
Basak JK, Malvimat V, Parihar H, Paul B, Sengupta G. On Minimal Entanglement Wedge Cross Section for Holographic Entanglement Negativity. Universe. 2024; 10(3):125. https://doi.org/10.3390/universe10030125
Chicago/Turabian StyleBasak, Jaydeep Kumar, Vinay Malvimat, Himanshu Parihar, Boudhayan Paul, and Gautam Sengupta. 2024. "On Minimal Entanglement Wedge Cross Section for Holographic Entanglement Negativity" Universe 10, no. 3: 125. https://doi.org/10.3390/universe10030125
APA StyleBasak, J. K., Malvimat, V., Parihar, H., Paul, B., & Sengupta, G. (2024). On Minimal Entanglement Wedge Cross Section for Holographic Entanglement Negativity. Universe, 10(3), 125. https://doi.org/10.3390/universe10030125
