Next Article in Journal
Multi-Epoch Optical Spectroscopy Variability of the Changing-Look AGN Mrk 883
Previous Article in Journal
Geometric Origin of the Galaxies’ Dark Side
 
 
Font Type:
Arial Georgia Verdana
Font Size:
Aa Aa Aa
Line Spacing:
Column Width:
Background:
Article

Vacuum Effects Induced by a Plate in de Sitter Spacetime in the Presence of a Cosmic String

by
Wagner Oliveira dos Santos
and
Eugenio R. Bezerra de Mello
*
Departamento de Física, Universidade Federal da Paraíba, 58.059-970, Caixa Postal 5.008, João Pessoa 58059900, Brazil
*
Author to whom correspondence should be addressed.
Universe 2024, 10(1), 20; https://doi.org/10.3390/universe10010020
Submission received: 20 November 2023 / Revised: 20 December 2023 / Accepted: 25 December 2023 / Published: 29 December 2023
(This article belongs to the Section Field Theory)

Abstract

In this paper, we investigate the vacuum expectation values of the field squared and the energy–momentum tensor associated to a charged massive scalar quantum field in a ( 1 + D ) -dimensional de Sitter spacetime induced by a plate (flat boundary) and a carrying-magnetic-flux cosmic string. In our analysis, we admit that the flat boundary is perpendicular to the string, and the scalar field obeys the Robin boundary condition on the plate. In order to develop this analysis, we obtain the complete set of normalized positive-energy solutions of the Klein–Gordon equation compatible with the model setup. Having obtained these bosonic modes, we construct the corresponding Wightman function. The latter is given by the sum of two terms: one associated with the boundary-free spacetime, and the other induced by the flat boundary. Although we have imposed the Robin boundary condition on the field, we apply our formalism considering specifically the Dirichlet and Neumann boundary conditions. The corresponding parts have opposite signs. Because the analysis of bosonic vacuum polarization in boundary-free de Sitter space and in the presence of a cosmic string, in some sense, has been developed in the literature, here we are mainly interested in the calculations of the effects induced by the boundary. In this way, closed expressions for the corresponding expectation values are provided, as well as their asymptotic behavior in different limiting regions. We show that the conical topology due to the cosmic string enhances the boundary-induced vacuum polarization effects for both field squared and the energy–momentum tensor, compared to the case of a boundary in pure de Sitter spacetime. Moreover, the presence of a cosmic string and boundary induces non-zero stress along the direction normal to the boundary. The corresponding vacuum force acting on the boundary is also investigated.

1. Introduction

De Sitter (dS) spacetime is one of the most interesting solutions allowed by the Theory of General Relativity. This curved maximally symmetric spacetime allows for several physical problems in Quantum Field Theory to be exactly solvable; moreover, the importance of this theoretical analysis is increased by the appearance of the inflationary cosmology scenario [1]. In various inflation models, the expansion is taken by an approximately dS spacetime sourced by the potential energy of a scalar field, called inflaton. This short period of expansion naturally provides a solution to several challenging issues within the standard Cosmology, such as the horizon and flatness problems. Furthermore, quantum fluctuations in the inflaton field introduce small inhomogeneities which may have important consequences on the formation of large-scale structures of the Universe at late stages. On experimental grounds, recent astronomical observations of high redshift supernovae, galaxy clusters and cosmic microwave background [2,3,4] suggest that the Universe is currently under accelerating expansion and could be approximately described by a world with a positive cosmological constant.
Cosmic strings are linear topologically stable gravitational defects which may have been created in the early Universe after Planck time via a vacuum phase transition [5,6]. The gravitational field produced by a cosmic string may be approximated by a planar angle deficit in the surface orthogonal to the string. The simplest theoretical model which describes a straight and infinitely long cosmic string is given by a Dirac-delta type distribution for the energy-momentum tensor along the linear defect. This object can also be described by coupling the energy–momentum tensor associated with the Maxwell–Higgs system [7] and the Einstein equations [8,9].
Most of the current candidates for the final fundamental theory of nature have extra dimensions as a common feature in their formulation. Topological defects were originally analyzed in four-dimensional spacetimes [5,6] and later considered in higher dimensional schemes, such as braneworld models. In this context, the defects are supposed to live in a higher D-dimensional submanifold embedded in a ( 4 + D ) -dimensional bulk. For the particular case of a cosmic string, two additional dimensions are required. In this scenario, the gravitational effects due to global cosmic strings were analyzed in [10,11] and considered as responsible for the compactification from six to four dimensions, naturally leading to the observed hierarchy between electroweak and gravitational forces. The investigations of quantum effects for different spin fields on the dS geometry were conducted by various authors (for instance, see [12,13,14,15,16,17,18,19,20,21,22,23,24,25,26,27,28,29,30,31,32,33,34] and references therein). Additional effects due to cosmic strings were studied for scalar [35,36,37,38,39] and fermionic fields [40,41,42,43,44].
Another type of vacuum polarization is due to the presence of boundaries. This is known as the Casimir effect. In this sense, the analysis of the Casimir effect on the scalar, vector and fermionic fields in the idealized cosmic string spacetime, obeying boundary conditions have been analyzed in [45,46,47], respectively. Moreover, the Casimir effect induced by two parallel cosmic strings was investigated in [48,49,50,51]. Considering a flat boundary orthogonal to the string, the vacuum effects associated with scalar and fermionic fields have been investigated in [52,53].
The analysis of the vacuum polarization associated with a real bosonic field in dS spacetime in the presence of a cosmic string was developed in [54]. The fermionic vacuum polarization in the same setup model has been considered in [55]. Our objective in this paper is to extend the analysis of bosonic quantum vacuum considering a charged field in this background and the presence of a flat boundary, also referred to throughout the paper as plate.
The remainder of the paper is structured as follows. In the next section, we present the setup model under consideration, and the complete set of normalized positive energy solutions of the Klein–Gordon equation that obeys Robin boundary conditions on a plate orthogonal to the string. Having obtained the complete set of bosonic modes, in Section 3 we construct the positive frequency Wightman function. We show that this function is given by the sum of two distinct contributions: the first one associated with the ( 1 + D ) -dimensional dS spacetime in the presence of a cosmic string without boundary, and the other induced by the boundary condition satisfied by the scalar field. Both parts are presented in a closed form. Although we have obtained the complete set of bosonic modes satisfying Robin boundary condition on the plate, in Section 4 we calculate the vacuum expectation value (VEV) of the field squared, considering as direct applications of the formalism, the Dirichlet and Neumann boundary conditions, separately. As we will see, this VEV is given in terms of a pure dS spacetime contribution, plus a term induced by the magnetic-flux-carrying cosmic string, and finally a contribution induced by the flat boundary orthogonal to the string. Moreover, in this section we explicitly detail the asymptotic behavior of the boundary-induced part in different regions. To complete the analysis, we present plots of the VEV of the field squared as a function of relevant physical variables considering different values of the parameter associated with the conical structure generated by the cosmic string. In Section 5, we calculate the VEV of the energy–momentum tensor induced by the boundary considering directly the Dirichlet and Neumann conditions. We analyze specifically the energy-density and its asymptotic expressions for different regions. Moreover, in this section we present some plots for the energy-density as a function of some physical relevant variables. We finalize Section 5 by analyzing the vacuum force acting on the boundary. Finally, the main results of the paper are summarized in Section 6.

2. Background Geometry and Matter Field Content

The main objective of this section is to obtain the complete set of positive energy solutions of the Klein–Gordon equation, in a ( 1 + D ) -dimensional dS spacetime in the presence of an infinitely long straight cosmic string, obeying the Robin boundary condition on a flat boundary orthogonal to the string. In order to achieve this, we write the corresponding line element in cylindrical coordinate [54,55]:
d s 2 = d t 2 e 2 t / a d r 2 + r 2 d ϕ 2 + d z 2 + i = 1 D 3 d x i 2 ,
where r 0 and ϕ [ 0 , 2 π / q ] . The parameter q 1 encodes the conical geometry. The coordinates ( t , z , x i ) ( , ) , and a stands for the length scale of dS spacetime and it is related with the cosmological constant, Λ , and the curvature scalar, R, by the following relations:
Λ = D ( D 1 ) 2 a 2 , R = D ( D + 1 ) a 2 .
Besides the synchronous time coordinate above, for convenience of the discussion we adopt the conformal time, τ , defined as τ = a e t / a with τ ( , 0 ] . By doing so, we get
d s 2 = a τ 2 d τ 2 d r 2 r 2 d ϕ 2 d z 2 i = 1 D 3 d x i 2 .
Note that the line element inside brackets corresponds to the metric tensor associated with an idealized cosmic string in Minkowski spacetime.
In this paper, we want to analyze the vacuum effects associated to a propagating charged scalar field in the dS spacetime in the presence of a magnetic-carrying-flux cosmic string and a flat boundary perpendicular to the string. For this purpose, we consider the following Klein–Gordon field equation:
( g μ ν D μ D ν + m 2 + ξ R ) φ ( x ) = 0 ,
where D μ = μ + i e A μ with m being the mass of the field. Moreover, in the equation above we have introduced a non-minimal coupling between the background curvature and the scalar field through the term ξ R , with ξ being the curvature coupling constant and R the Ricci scalar. The magnetic flux along the string axis is implemented through the gauge field A μ = A ϕ δ μ ϕ , with a constant A ϕ = q Φ / 2 π , being Φ the magnetic flux along the string.
In consideration of the single flat boundary, we impose that the solutions of the Klein–Gordon Equation (4) obey the Robin boundary conditions given by
( 1 + β n μ μ ) φ ( x ) | z = 0 = 0 ,
where β is a constant coefficient. In particular, for β = 0 and β = , the Robin boundary conditions are reduced to the Dirichlet and Neumann boundary conditions, respectively. In both sides of the plate, one has n μ = δ z μ . According to the notation above, the flat boundary is located at z = 0 . Moreover, note that in our setup problem the cosmic string is perpendicular to the boundary.

Bosonic Modes

In this section, our goal is to find the complete set of normalized positive-energy solutions of the Klein–Gordon Equation (4) that satisfies (5).
In the geometry of the spacetime under consideration (3) and with the gauge field A μ = A ϕ δ μ ϕ , the Klein–Gordon equation reduces to
[ 2 τ 2 + ( 1 D ) τ τ + D ( D + 1 ) ξ + ( m a ) 2 τ 2 2 r 2 1 r r 1 r 2 ϕ + i e A ϕ 2 2 z 2 i = 1 D 3 2 ( x i ) 2 ] φ ( x ) = 0 .
Considering the cylindrical symmetry of the problem, and the structure of the differential Equation (6), we adopt that the corresponding solutions can be presented as the variable separation as shown bellow:
φ ( x ) = f ( τ ) R ( r ) h ( z ) e i q n ϕ + i k · x | | ,
where n is the integer quantum number associated to the angular momentum in the azimuthal direction, x | | represents the set of coordinates along the ( D 3 ) extra dimensions and k the corresponding momenta. The unknown function h ( z ) will be specified by the Robin boundary conditions obeyed by the scalar field on the plate placed at z = 0 .
Taking (7) into (6), we get
2 h ( z ) z 2 = k z 2 h ( z ) ,
and the following differential equations for the functions f ( τ ) and R ( r ) :
2 τ 2 + ( 1 D ) τ τ + D ( D + 1 ) ξ + ( m a ) 2 τ 2 + λ 2 f ( τ ) = 0 ,
and
2 r 2 + 1 r r q 2 ( n + α ) 2 r 2 + p 2 R ( r ) = 0 ,
with
λ = p 2 + k z 2 + k 2
and the notation
α = e A ϕ q = Φ Φ 0 ,
being Φ 0 = 2 π / e the quantum flux.
The solution for (10) regular at r = 0 is given by
R ( r ) = J q | n + α | ( p r ) ,
being J μ ( x ) the Bessel function of first kind [56]. The solution for the time-dependent equation is given by the linear combination of Hankel functions:
f ( τ ) = η D / 2 ( c 1 H ν ( 1 ) ( λ η ) + c 2 H ν ( 2 ) ( λ η ) ) ,
with the order given by
ν = D 2 / 4 m 2 a 2 ξ D ( D + 1 ) .
Moreover, in (14) we have introduced the variable η = | τ | and H ν ( l ) ( x ) , l = 1 , 2 , represents the Hankel function [56]. Different choices of the coefficients c 1 , 2 in (14) lead to different choices of the vacuum state. In fact, there is a one-parameter family of de Sitter invariant vacua, named α -vacua [57,58]. The Bunch–Davies vacuum corresponds to c 2 = 0 . The short-distance behaviour of the corresponding two-point functions has the same structure as in flat spacetime. Moreover, as pointed out in Ref. [59], all α -vacuum states lead to infinite energy density at the end of inflationary expansion, with the exception of the Bunch-Davies vacuum. Therefore, in this paper we adopt the Bunch–Davies vacuum.
As for the solution of the z-dependent equation, obeying the Robin boundary conditions (5) on the flat boundary at z = 0 , is given by
h ( z ) = cos [ k z z + α 1 ( k z ) ] ,
with the notation
e 2 i α 1 ( k z ) = i β k z 1 i β k z + 1 .
Finally, combining (13), (14) and (16), the mode functions that obey the Klein–Gordon Equation (4) and also satisfy the Robin boundary conditions (5) on the plate are given by
φ σ ( x ) = C σ η D / 2 H ν ( 1 ) ( λ η ) J q | n + α | ( p r ) cos [ k z z + α 1 ( k z ) ] e i q n ϕ + i k · x | | ,
where σ = { λ , p , n , k z , k } is the set of quantum numbers specifying each mode of the field. The coefficient C σ is determined by the orthonormalization condition
i d D 1 x 0 d z | g | g 00 [ φ σ ( x ) τ φ σ * ( x ) φ σ * ( x ) τ φ σ ( x ) ] = δ σ , σ ,
where the integral is evaluated over the spatial hypersurface τ = const, and δ σ , σ represents the Kronecker-delta for discrete indices and Dirac-delta function for continuous ones. For the mode functions in (18), the normalization condition leads to
| C σ | 2 = q p e i ( ν ν * ) π / 2 2 ( 2 π ) D 2 a D 1 .

3. Wightman Function

Our aim in this paper is to investigate the vacuum polarization effects emerging from the background setup described in the previous section. For this purpose, we will make use of the Wightman function. This function is of special interest since its form is useful in calculations of vacuum expectation values of physical observables that depend on bilinear field operators. In particular, the properties of the vacuum can be described by the Wightman function, W ( x , x ) = 0 | φ ^ ( x ) φ ^ ( x ) | 0 , where | 0 stands for the vacuum state. For evaluation of this function, we will adopt the mode sum formula technique by which the Wightman function takes the form:
W ( x , x ) = σ φ σ ( x ) φ σ * ( x ) .
where σ stands for summations over the set of discrete and integrals over continuous quantum numbers, σ = { λ , p , n , k z , k } .
Taking (18), along with the coefficient (20), into (21), we obtain
W ( x , x ) = 8 q ( η η ) D / 2 ( 2 π ) D a D 1 n = e i n q Δ ϕ 0 d p p J q | n + α | ( p r ) J q | n + α | ( p r ) d k e i k · Δ x | | × 0 d k z K ν ( e π i / 2 η λ ) K ν ( e π i / 2 η λ ) cos [ k z z + α 1 ( k z ) ] cos [ k z z + α 1 ( k z ) ] ,
where Δ ϕ = ϕ ϕ and Δ x = x x and K ν ( x ) , represents the Macdonald function [60]. Moreover, to obtain the expression above we have introduced the notation λ = p 2 + k z 2 + k 2 and used the relation [60]
e i ( ν ν * ) π / 2 H ν ( 1 ) ( λ η ) H ν ( 1 ) ( λ η ) * = 4 π 2 K ν ( i λ η ) K ν ( i λ η ) .
In order to integrate over the quantum numbers p and k , we can make use of the following identity [61]:
K ν ( a ) K ν ( b ) = 1 2 d y 0 d w w 1 exp [ 2 ν y a b w 1 cosh ( 2 y ) w / 2 ( a 2 + b 2 ) / 2 w ] .
Taking this expression into (22), we get
W ( x , x ) = 4 q ( η η ) D / 2 ( 2 π ) D a D 1 d y 0 d w w 1 e 2 ν y w / 2 × n = e i n q Δ ϕ d p p e σ p 2 / 2 w J q | n + α | ( p r ) J q | n + α | ( p r ) d k e i k · Δ x | | σ k 2 / 2 w × 0 d k z e σ k z 2 / 2 w cos [ k z z + α 1 ( k z ) ] cos [ k z z + α 1 ( k z ) ] ,
with the notation
ε = 2 η η cosh ( 2 y ) η 2 η 2 .
The integrations over p and k can be performed with the help of the formulas given in [56]. By doing this, we obtain
W ( x , x ) = 4 q ( η η ) D / 2 ( 2 π ) ( D + 3 ) / 2 a D 1 d y 0 d w w 1 w ε ( D 1 ) / 2 e 2 ν y w / 2 ( r 2 + r 2 + Δ x | | 2 ) w / ( 2 ε ) × n = e i n q Δ ϕ I q | n + α | r r w σ 0 d k z e ε k z 2 / 2 w cos [ k z z + α 1 ( k z ) ] × cos [ k z z + α 1 ( k z ) ] .
Introducing a new variable of integration, χ = w / 2 ε , we can write
W ( x , x ) = q ( η η ) D / 2 π D + 3 2 a D 1 0 d χ χ ( D 3 ) / 2 e ( r 2 + r 2 + Δ x | | 2 ) χ d y e 2 ν y σ χ × n = e i n q Δ ϕ I q | n + α | 2 r r χ 0 d k z e k z 2 / 4 χ cos [ k z z + α 1 ( k z ) ] × cos [ k z z + α 1 ( k z ) ] .
Now we can integrate over y. By taking into account (26) and using the formula [54]
d y e 2 ν y 2 x η η cosh ( 2 y ) = K ν ( 2 η η x ) ,
we can write (28) as
W ( x , x ) = q ( η η ) D / 2 π D + 3 2 a D 1 0 d χ χ ( D 3 ) / 2 e ( r 2 + r 2 + Δ x | | 2 η 2 η 2 ) χ × n = e i n q Δ ϕ I q | n + α | 2 r r χ K ν ( 2 η η χ ) 0 d k z e k z 2 / 4 χ cos [ k z z + α 1 ( k z ) ] × cos [ k z z + α 1 ( k z ) ] .
We now turn to the integration over k z . In this sense, we use the identity
2 cos [ k z z + α 1 ( k z ) ] cos [ k z z + α 1 ( k z ) ] = cos [ k z ( z z ) ] + cos [ k z ( z + z ) + 2 α 1 ( k z ) ] ,
allowing us to write the Wightman function as
W ( x , x ) = W cs dS ( x , x ) + W pl ( x , x ) .
The first term on the right-hand side of the above expression is the Wightman function due to the cosmic string with its magnetic flux in dS spacetime without boundary. Note that in the absence of the magnetic flux, this term coincides with the one investigated in Ref. [54]. Explicitly, this term reads
W cs dS ( x , x ) = q ( η η ) D / 2 2 π D + 3 2 a D 1 0 d χ χ ( D 3 ) / 2 e ( r 2 + r 2 + Δ x | | 2 η 2 η 2 ) χ K ν ( 2 η η χ ) × n = e i n q Δ ϕ I q | n + α | 2 r r χ 0 d k z e k z 2 / 4 χ cos [ k z ( z z ) ] .
Regarding the second term, it is the Wightman function induced by the plate.1 It is given by
W pl ( x , x ) = q ( η η ) D / 2 2 π D + 3 2 a D 1 0 d χ χ ( D 3 ) / 2 e ( r 2 + r 2 + Δ x | | 2 η 2 η 2 ) χ K ν ( 2 η η χ ) × n = e i n q Δ ϕ I q | n + α | 2 r r χ 0 d k z e k z 2 / 4 χ cos [ k z ( z + z ) + 2 α 1 ( k z ) ] .
From this point, let us develop each term separately, starting with the string-induced term (33). The integral over k z can be easily performed. After integration, (33) reads
W cs dS ( x , x ) = q ( η η ) D / 2 2 π D 2 + 1 a D 1 0 d χ χ D / 2 1 e ( r 2 + r 2 + Δ x | | 2 + Δ z 2 η 2 η 2 ) χ K ν ( 2 η η χ ) × n = e i n q Δ ϕ I q | n + α | 2 r r χ ,
where Δ z = z z .
The parameter α in Equation (12) can be written in the form
α = n 0 + α 0 , with | α 0 | < 1 2 ,
with n 0 being an integer number. This allow us to sum over the quantum number n in (35) by using the formula obtained in [63]:
n = e i q n Δ ϕ I q | n + α | ( x ) = 1 q k e x cos ( 2 π k / q Δ ϕ ) e i α 0 ( 2 π k q Δ ϕ ) e i q n 0 Δ ϕ 2 π i j = ± 1 j e j i π q | α 0 | 0 d y cosh [ q y ( 1 | α 0 | ) ] cosh ( | α 0 | q y ) e i q ( Δ ϕ + j π ) e x cosh ( y ) cosh ( q y ) cos ( q ( Δ ϕ + j π ) ) ,
where k is an integer number varying in the interval
q 2 + Δ ϕ Φ 0 k q 2 + Δ ϕ Φ 0 .
The substitution of (37) into (35), allows us to integrate over χ with the help of the formula given below [56]
0 d x x μ 1 e v x K ν ( x ) = π 2 ν Γ ( μ ν ) Γ ( μ + ν ) Γ ( μ + 1 / 2 ) ( v + 1 ) μ + ν F μ + ν , ν + 1 2 ; μ + 1 / 2 ; v 1 v + 1 ,
where F ( a , b ; c , z ) represents the hypergeometric function [56]. Thus, the Wightman function due to the string, in closed form, is given by
W cs dS ( x , x ) = 1 2 ( 2 π ) D + 1 2 a D 1 { k e i α 0 ( 2 π k q Δ ϕ ) F ν D / 2 ( u k ) e i q n 0 Δ ϕ 2 π i j = ± 1 j e j i π q | α 0 | 0 d y cosh [ q y ( 1 | α 0 | ) ] cosh ( | α 0 | q y ) e i q ( Δ ϕ + j π ) cosh ( q y ) cos ( q ( Δ ϕ + j π ) ) × F ν D / 2 ( u y ) } ,
where we have introduced the function
F ν D / 2 ( v ) = 2 ν + 1 / 2 Γ ( D / 2 ν ) Γ ( D / 2 + ν ) Γ ( D / 2 + 1 / 2 ) ( v + 1 ) D / 2 + ν F D 2 + ν , ν + 1 2 ; D + 1 2 ; v 1 v + 1 ,
and the variables
u k = 1 + r 2 + r 2 2 r r cos ( Δ ϕ + 2 π k / q ) + Δ x | | 2 + Δ z 2 ( η η ) 2 2 η η , u y = 1 + r 2 + r 2 + 2 r r cosh ( y / 2 ) + Δ x | | 2 + Δ z 2 ( η η ) 2 2 η η .
Now we turn to the boundary-induced term. Since the integral over k z unfortunately can be performed for an arbitrary value of the parameter β , we will study the particular cases of the Dirichlet and Neumann boundary conditions. According to (17), for Dirichlet BC ( β = 0 ) we have α 1 ( k z ) = π / 2 and for Neumann BC ( β ), α 1 ( k z ) = 0 . Therefore, for these boundary conditions, the Wightman function due to the plate is
W pl ( x , x ) = δ ( J ) q ( η η ) D / 2 2 π D + 3 2 a D 1 0 d χ χ ( D 3 ) / 2 e ( r 2 + r 2 + Δ x | | 2 η 2 η 2 ) χ K ν ( 2 η η χ ) × n = e i n q Δ ϕ I q | n + α | 2 r r χ 0 d k z e k z 2 / 4 χ cos [ k z ( z + z ) ] ,
where J = D for Dirichlet BC, δ ( J ) = 1 , and J = N for Neumann BC, δ ( J ) = 1 . Now integrating over k z , using the formula (37) for the sum over n and subsequently integrating over the variable χ , we arrive to
W pl ( x , x ) = δ ( J ) 2 ( 2 π ) D + 1 2 a D 1 { k e i α 0 ( 2 π k q Δ ϕ ) F ν D / 2 ( v k ) e i q n 0 Δ ϕ 2 π i j = ± 1 j e j i π q | α 0 | 0 d y cosh [ q y ( 1 | α 0 | ) ] cosh ( | α 0 | q y ) e i q ( Δ ϕ + j π ) cosh ( q y ) cos ( q ( Δ ϕ + j π ) ) × F ν D / 2 ( v y ) } ,
with the arguments
v k = 1 + r 2 + r 2 2 r r cos ( Δ ϕ + 2 π k / q ) + Δ x | | 2 + ( z + z ) 2 ( η η ) 2 2 η η , v y = 1 + r 2 + r 2 + 2 r r cosh ( y / 2 ) + Δ x | | 2 + ( z + z ) 2 ( η η ) 2 2 η η .

4. Field Squared

In this section, we want to investigate the VEV of the field squared. This quantity is in the calculation of the energy–momentum tensor as we will see. Formally, it is defined by evaluating the Wightman at the coincidence limit:
| φ | 2 = lim x x W ( x , x ) ,
where | φ | 2 is here understood as φ ^ ( x ) φ ^ ( x ) . According to (32), we decompose this VEV in the form
| φ | 2 = | φ | 2 dS + | φ | 2 cs + | φ | 2 pl .
The contribution | φ | 2 dS comes from the term k = 0 in (40), and is induced in the pure de Sitter spacetime. This term is divergent and independent of the spacetime coordinates. This contribution has been already investigated in [14,15,17]. Specifically for D = 3 this renormalized VEV is given by
| φ | 2 dS = 1 8 π 2 a 2 m 2 a 2 2 + 6 ξ 1 Ψ 3 2 + ν + Ψ 3 2 ν 2 ln ( m a ) ( 6 ξ 1 ) 2 m 2 a 2 + 1 30 m 2 a 2 6 ξ + 2 3 ,
where Ψ ( x ) is the logarithimic derivative of the gamma-function.
The second contribution, | φ | 2 cs , is induced by the magnetic-flux-carrying cosmic string in the dS spacetime. Because the presence of the cosmic string does not introduce additional curvature, this contribution is finite for points with r 0 .2 Explicitly, the VEV of the field squared induced by the cosmic string, taking into account the interaction of the bosonic field with the magnetic flux, reads:
| φ | 2 cs = 1 ( 2 π ) D + 1 2 a D 1 [ k = 1 [ q / 2 ] cos ( 2 π k α 0 ) F ν D / 2 ( 2 r p 2 s k 2 1 ) q 2 π 0 d y h ( q , α 0 , y ) cosh ( q y ) cos ( q π ) F ν D / 2 ( 2 r p 2 c y 2 1 ) ] ,
where [ q / 2 ] represents the integer part of q / 2 , and the prime on the sign of the summation over k means that for even values of q, the term k = q / 2 should be taken with the coefficient 1 / 2 . Moreover, we have defined the function
h ( q , α 0 , y ) = cosh [ q y ( 1 | α 0 | ) ] sin ( q π | α 0 | ) + cosh ( q y | α 0 | ) sin [ q π ( 1 | α 0 | ) ] ,
with
s k = sin ( π k / q ) c y = cosh ( y / 2 ) .
In (49), r p = r / η and z p = z / η are the proper distances from the string and the plate, respectively, in unities of the dS spacetime curvature, a.
Regarding the last term on the right-hand side of (47), it can be yet decomposed in two contributions:
| φ | 2 pl = | φ | 2 pl ( 0 ) + | φ | 2 pl ( q , α 0 ) .
The first contribution on the right-hand side of the above expression is the term induced purely by the plate in the dS spacetime and has been analyzed in [62]. Explicitly, for Dirichlet or Neumann boundary conditions, it is given by
| φ | 2 pl ( 0 ) = δ ( J ) ( 2 π ) D + 1 2 a D 1 F ν D / 2 ( 2 z p 2 1 ) .
The second contribution, induced by the magnetic-flux-carrying cosmic string and the plate, is a new one and is given by
| φ | 2 pl ( q , α 0 ) = δ ( J ) ( 2 π ) D + 1 2 a D 1 [ k = 0 [ q / 2 ] cos ( 2 π k α 0 ) F ν D / 2 ( w k ) q 2 π 0 d y h ( q , α 0 , y ) cosh ( q y ) cos ( q π ) F ν D / 2 ( w y ) ] ,
where we have introduced the notations
w k = 2 r p 2 s k 2 + 2 z p 2 1 w y = 2 r p 2 c y 2 + 2 z p 2 1 .
Let us now investigate the behavior of the field squared for some special and asymptotic cases. We would like to emphasize that in this paper, our goal is the study of the new contribution induced by the presence of the cosmic string and the plate. For a conformal massless quantum scalar field, we have ν = 1 / 2 according to (15), and in this case we have the relation
F 1 / 2 D / 2 ( x ) = Γ ( D / 2 1 / 2 ) ( 1 + x ) ( D 1 ) / 2 ,
which replaced in (54), yields
| φ | 2 pl ( q , α 0 ) = δ ( J ) 2 Γ ( D / 2 1 / 2 ) ( 4 π ) D + 1 2 η a D 1 [ k = 1 [ q / 2 ] cos ( 2 π k α 0 ) ( r 2 s k 2 + z 2 ) ( D 1 ) / 2 q 2 π 0 d y h ( q , α 0 , y ) [ cosh ( q y ) cos ( q π ) ] ( r 2 c y 2 + z 2 ) ( D 1 ) / 2 ] .
This result is conformally related to the VEV of field squared induced in the Minkowski bulk with a plate placed at z = 0 and a cosmic string with a magnetic flux, for both Dirichlet and Neumann boundary conditions (see Ref. [64]).
We now analyze the behaviour of | φ 2 | pl ( q , α 0 ) for points close and far from the string. For points outside of the plate, z 0 , the VEV of the field squared on the string is finite and can be obtained directly by putting r = 0 in (54). In the opposite limit, i.e., for points far from string we need the asymptotic expression for large arguments of the function F ν D / 2 ( x ) . In the leading term, we have the approximate formula:
F ν D / 2 ( x ) 2 ν 1 / 2 π Γ ( ν ) Γ ( D / 2 ν ) x D / 2 + ν .
Therefore, for distant points from the string, r η , z , we can use the above asymptotic formula in (54), yielding
| φ | 2 pl ( q , α 0 ) δ ( J ) 2 2 ν D 1 Γ ( ν ) Γ ( D / 2 ν ) π D 2 + 1 a D 1 r p D 2 ν [ k = 1 [ q / 2 ] cos ( 2 π k α 0 ) s k D 2 ν q 2 π 0 d y c y ( D 2 ν ) h ( q , α 0 , y ) cosh ( q y ) cos ( q π ) ] .
We now turn to the behaviour of the field squared induced by the string and plate, regarding the limiting regions along the z-axis. On the surface of the plate, z = 0 , | φ | 2 pl ( q , α 0 ) is finite for points outside the string, r 0 . On the other hand, far from the plate location, z η , r , we can once again make use of (58), obtaining
| φ | 2 pl ( q , α 0 ) δ ( J ) 2 2 ν D 1 Γ ( ν ) Γ ( D / 2 ν ) π D 2 + 1 a D 1 z p D 2 ν [ k = 1 [ q / 2 ] cos ( 2 π k α 0 ) q 2 π 0 d y h ( q , α 0 , y ) cosh ( q y ) cos ( q π ) ] .
Finally, we consider the Minkowskian limit, a , with a fixed value of t. In this limit, the geometry under consideration is reduced to the geometry of a cosmic string in the background of ( D + 1 ) -dimensional Minkowski spacetime. For the analysis of this limit, the representation for the field squared given in (54) is not convenient. Thus, for this purpose, we return to the Wightman function representation induced by the plate given in (43). For the coordinate τ in the arguments of the modified Bessel function one has η | t a | . Also in this limit we have ν 1 , which is imaginary and, according to (15), is ν i m a . By making use of the uniform asymptotic expansion for the Macdonald function of imaginary order given in [65], replacing it in (43) and subsequently taking the coincidence limit, after some intermediate steps, we get
| φ | 2 pl ( q , α 0 ) , ( M ) = δ ( J ) 2 m D 1 ( 2 π ) D + 1 2 [ k = 1 [ q / 2 ] cos ( 2 π k α 0 ) f D 1 2 2 m r 2 s k 2 + z 2 q 2 π 0 d y h ( q , α 0 , y ) cosh ( q y ) cos ( q π ) f D 1 2 2 m r 2 c y 2 + z 2 ] ,
with the notation
f ν ( x ) = K ν ( x ) x ν .
Note that this result exactly coincides with the corresponding VEV of the field squared calculated in the ( D + 1 ) -dimensional Minkowskian bulk [64].
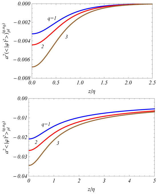
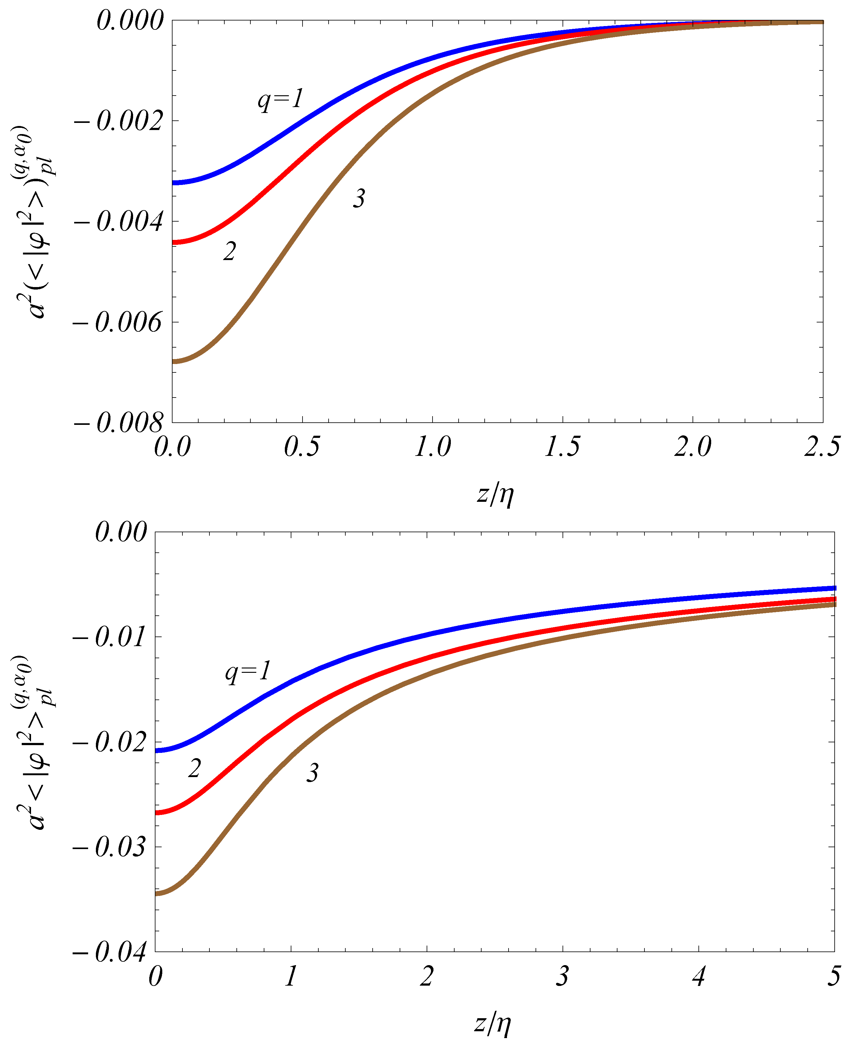
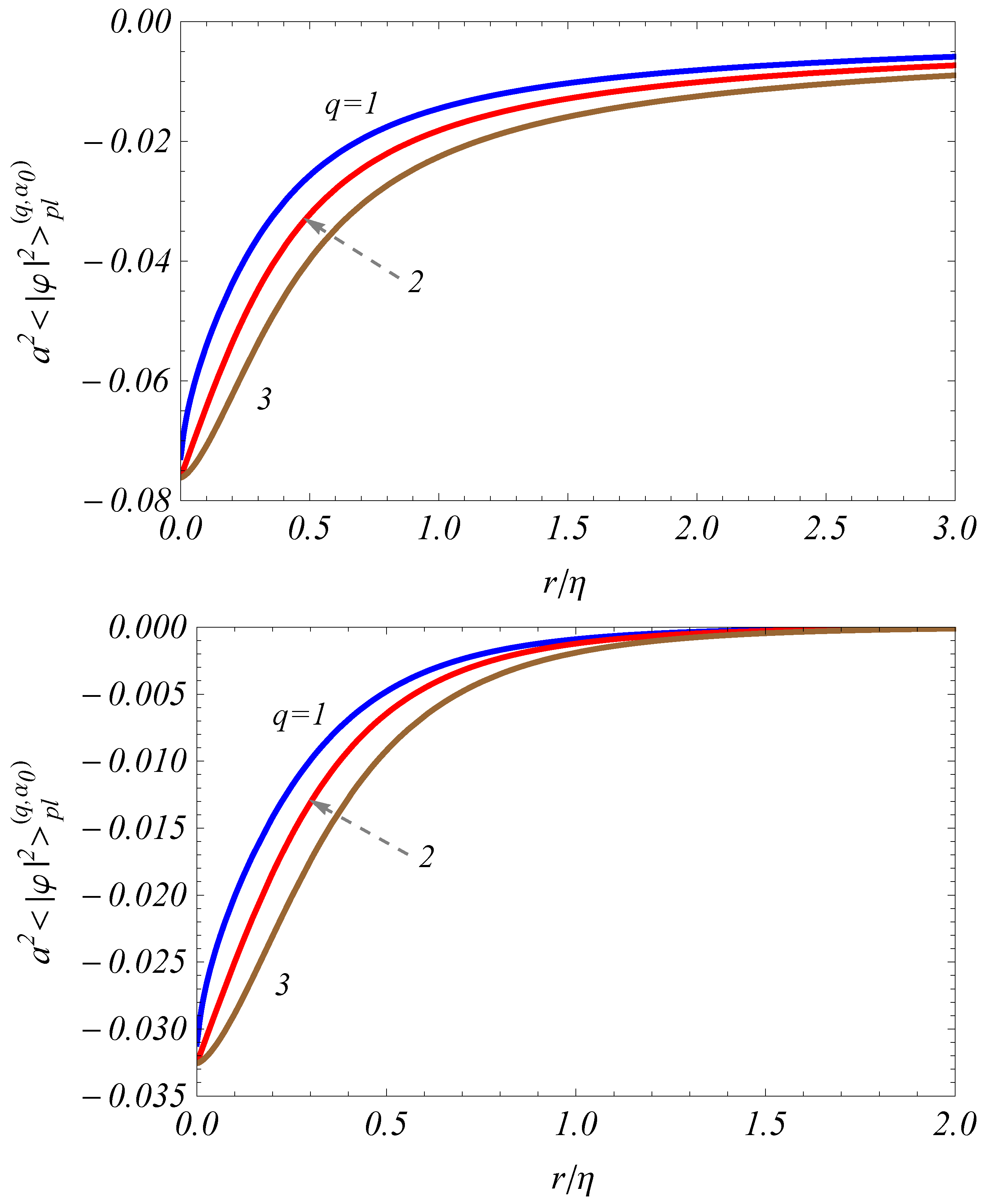
In Figure 1, we plot the behavior the field quared induced by the plate, | φ | 2 pl ( q , α 0 ) , as function of r / η for D = 3 , considering minimum coupling, ξ = 0 , and fixed parameters z / η = 0.5 and α 0 = 0.25 , for different values of the parameter q. In the top panel, we adopt m a = 1 (real ν ) and in the bottom panel m a = 2 (imaginary ν ). We note from these graphs that the VEV is finite on the cosmic string and goes to zero far from it. From these plots, we also note that the effect of the deficit angle due to the string is to enhance the intensity of the VEV of the field squared. Moreover, a comparison between the panels show that the intensity decreases with the mass.
In Figure 2, we present the behavior of (54) as function of proper distance from the plate in units of a, z / η , for D = 3 and fixed values r / η = 0.75 , α 0 = 0.25 and ξ = 0 , considering different values of q. In the top panel we assume m a = 1 , and in the bottom panel m a = 2 . These plots shows that the VEV of the field squared is finite on the plate and vanishes far from it.

5. Energy-Momentum Tensor

We now turn to the calculation of the VEV of the energy–momentum tensor in the setup under consideration. For this purpose, we use the Formula [66]
T μ ν = lim x x ( D μ D ν + D μ D ν ) W ( x , x ) 2 [ ξ R μ ν + ξ μ ν ( ξ 1 / 4 ) g μ ν α α ] ] | φ | 2 ,
where R μ ν = D g μ ν / a 2 is the Ricci tensor for the dS spacetime and D μ = μ + i e A μ . Similarly to the VEV of the field squared, the VEV of the energy–momentum tensor can be decomposed as
T μ ν = T μ ν dS + T μ ν cs + T μ ν pl .
The first contribution on the right-hand side of the above equation, T μ ν dS , is induced in the pure dS spacetime and is a coordinate-independent quantity, due to the maximal symmetry of dS spacetime and the vacuum state under consideration. Additionally, this contribution is divergent and some renormalization scheme is needed to provide a finite result. This procedure has been considered in [14,15,17]. The second term on the right-hand side, T μ ν cs , is induced by the cosmic string and the magnetic flux along its core and it is finite away from the string.3 Here, we decided to omit this contribution for the sake of brevity, since our propose is to investigate the energy–momentum tensor induced by the plate only, T μ ν pl . The latter can be decomposed in two contributions:
T μ ν pl = T μ ν pl ( 0 ) + T μ ν pl ( q , α 0 ) ,
where the first contribution on the right-hand side is induced purely by the plate in dS spacetime and has been analyzed in [62]. The second term is a new contribution and is induced by the string and the plate. This contribution is finite away from the string or from the plate location, as will see below. In what follows, our analysis is constrained to the latter contribution.
The covariant d’Alembertian acting in (54) provides
| φ | 2 pl ( q , α 0 ) = 4 δ ( J ) ( 2 π ) D + 1 2 a D + 1 { k = 1 [ q / 2 ] cos ( 2 π k / q ) [ 1 + 2 γ 2 ( D + 2 ) ( s k 2 r p 2 + z p 2 ) × y F ν D / 2 ( y ) + 4 ( s k 4 r p 2 + z p 2 ) ( s k 2 r p 2 + z p 2 ) 2 2 y 2 F ν D / 2 ( y ) ] | y = w k q 2 π 0 d y h ( q , α 0 , y ) cosh ( q y ) cos ( q π ) [ 1 + 2 γ 2 ( D + 2 ) ( c y 2 r p 2 + z p 2 ) × y F ν D / 2 ( y ) + 4 ( c y 4 r p 2 + z p 2 ) ( c y 2 r p 2 + z p 2 ) 2 2 y 2 F ν D / 2 ( y ) ] | y = w y } ,
with w k and w y been given by (55).
For the geometry under consideration, only the η r , r z , η z and μ μ differential operators contribute when acting on the VEV of the field squared. The remaining contributions come from the electromagnetic covariant derivatives acting on the Wightman function. As for the azimuthal component, it is more convenient to act the D ϕ D ϕ operator in (43), and subsequently take the coincidence limit in all coordinates, including the angular one. Following this procedure, we obtain:
I ( q , α , y ) = n = q 2 ( n + α ) 2 I q | n + α | ( y ) ,
where y = 2 r r χ . This sum can be developed by using the differential equation obeyed by the modified Bessel function. Then we get,
I ( q , α , y ) = y 2 d 2 d y 2 + y d d y y 2 n = I q | n + α | ( y ) ,
where this last sum is given by [67]
n = I q | n + α | ( y ) = e y q + 2 q k = 1 [ q / 2 ] cos ( 2 π k α 0 ) e y cos ( 2 π k / q ) 1 π 0 d y e y cosh ( y ) f ( q , α 0 , y ) cosh ( q y ) cos ( q π ) .
Note that the first term on the right-hand side is induced purely by the plate in dS spacetime and accounts for the contribution T ν μ pl ( 0 ) only and, therefore, is not taken into account in further analysis.
The boundary induced contribution in the VEV of the energy-momentum tensor is calculated by making use of the corresponding parts in the Wightman function and VEV of the field squared. After long but straightforward steps, we get (no summation over μ )
T μ μ pl ( q , α 0 ) = 2 δ ( J ) ( 2 π ) D + 1 2 a D + 1 [ k = 1 [ q / 2 ] cos ( 2 π k α 0 ) G μ μ ( s k , r p , z p , w k ) q 2 π 0 d y h ( q , α 0 , y ) cosh ( q y ) cos ( q π ) G μ μ ( c y , r p , z p , w y ) ] ,
with the functions
G 0 0 ( γ , u , v , y ) = D ξ F ν D / 2 ( y ) + 1 + ξ 1 ( 1 + 2 γ 2 ) D ξ 1 ( γ 2 u 2 + v 2 ) × y F ν D / 2 ( y ) + 4 ξ 1 ( γ 4 u 2 + v 2 ) 2 y 2 F ν D / 2 ( y ) , G 1 1 ( γ , u , v , y ) = D ξ F ν D / 2 ( y ) + 2 + 4 ξ ( 1 + γ 2 ) + 1 ( D + 1 ) ξ 1 ( γ 2 u 2 + v 2 ) × y F ν D / 2 ( y ) + 4 ξ 1 v 2 ( γ 2 u 2 + z 2 ) 2 2 y 2 F ν D / 2 ( y ) , G 2 2 ( γ , u , v , y ) = D ξ F ν D / 2 ( y ) + 1 + γ 2 + ξ 1 ( 1 + γ 2 ) + 1 ( D + 1 ) ξ 1 ( γ 2 u 2 + v 2 ) × y F ν D / 2 ( y ) + 4 ( 4 ξ γ 2 1 ) γ 2 u 2 + ξ 1 v 2 ( γ 2 u 2 + z 2 ) 2 2 y 2 F ν D / 2 ( y ) , G 3 3 ( γ , u , v , y ) = D ξ F ν D / 2 ( y ) + 2 ξ 1 γ 2 + 1 ( D + 1 ) ξ 1 ( γ 2 u 2 + v 2 ) × y F ν D / 2 ( y ) + 4 ξ 1 γ 4 u 2 ( γ 2 u 2 + z 2 ) 2 2 y 2 F ν D / 2 ( y ) , G i i ( γ , u , v , y ) = D ξ F ν D / 2 ( y ) + 1 + ξ 1 ( 1 + 2 γ 2 ) + 1 ( D + 1 ) ξ 1 ( γ 2 u 2 + v 2 ) × y F ν D / 2 ( y ) + 4 ξ 1 ( γ 4 u 2 + v 2 ) ( γ 2 u 2 + z 2 ) 2 2 y 2 F ν D / 2 ( y ) ,
with ξ 1 = 4 ξ 1 . In the notation of the equation above, the indexes 0, 1, 2, 3 correspond to the coordinates η , r, ϕ , z and i = 4 , , D correspond to the extra dimensions ones. Additionally, we have three off-diagonal components,
G 0 1 ( γ , u , v , y ) = u γ 2 ( ξ 1 1 ) y F ν D / 2 ( y ) + 4 ξ 1 ( u 2 γ 2 + v 2 ) 2 y 2 F ν D / 2 ( y ) ,
G 1 3 ( γ , u , v , y ) = 4 ξ 1 u v γ 2 2 y 2 F ν D / 2 ( y ) ,
G 0 3 ( γ , u , v , y ) = v ( ξ 1 1 ) y F ν D / 2 ( y ) + 4 ξ 1 ( u 2 γ 2 + v 2 ) 2 y 2 F ν D / 2 ( y ) .
Note that in (70) the term k = 0 is not included. As explained in the previous section, this is the boundary-induced term in the absence of the string and magnetic flux, which has been investigated in [62]. Therefore, we are not considering the analysis of that term.
At this point, we want to state that the above VEV of the energy-momentum tensor satisfies the trace relation:
T μ μ = 2 [ D ( ξ ξ c ) μ μ | φ | 2 + m 2 | φ | 2 ] .
In particular, this is zero for a conformal massless quantum scalar field. Moreover, due to the off-diagonal components, from the conservation condition, μ T ν μ = 0 , three non-trivial differential equations take place:
η T 0 0 + 1 η [ T μ μ ( D + 1 ) T 0 0 ] + 1 r r ( r T 0 1 ) + z T 0 3 = 0 , 1 r r ( r T 1 1 ) + η T 1 0 + z T 1 3 1 r T 2 2 ( D + 1 ) η T 1 0 = 0 , z T 3 3 + 1 r r ( r T 3 1 ) + η T 3 0 ( D + 1 ) η T 3 0 = 0 .
It can also be checked that these relations are satisfied by the components of the VEV of the energy–momentum tensor above.
Let us now investigate some special and asymptotic cases of the energy density. We start analysing the conformal massless scalar field case. In this situation, we have ν = 1 / 2 . Using the corresponding formula for the function F 1 / 2 D / 2 ( x ) given in (56), after some intermediate steps, we have:
T 0 0 pl ( q , α 0 ) = δ ( J ) 2 Γ ( D / 2 + 1 / 2 ) ( 4 π ) D + 1 2 D η a D + 1 [ k = 1 [ q / 2 ] cos ( 2 π k α 0 ) s k 2 [ 2 ( D 1 ) ( s k 2 1 ) ] r 2 + 2 z 2 ( r 2 s k 2 + z 2 ) ( D + 3 ) / 2 q 2 π 0 d y c y 2 h ( q , α 0 , y ) cosh ( q y ) cos ( q π ) [ 2 ( D 1 ) ( c y 2 1 ) ] r 2 + 2 z 2 ( r 2 c y 2 + z 2 ) ( D + 3 ) / 2 ] .
We turn now to the study of the asymptotic cases. Near the string, r η , z , for z 0 and q | α 0 | > 1 , the energy density is finite and we can directly put r = 0 . On the other hand, for q | α 0 | < 1 the energy density on the string diverges as T 0 0 pl ( q , α 0 ) 1 / r p 2 ( 1 q | α 0 | ) . Moreover, far from the string, r η , z , we proceed in the same way as we did with the VEV of the field squared. Thus, for the leading order term, we get
T 0 0 pl ( q , α 0 ) δ ( J ) 2 2 ν D 2 D [ 1 ξ 1 ( D 2 ν 1 ) ] Γ ( ν ) Γ ( D / 2 ν ) π D 2 + 1 a D + 1 r p D 2 ν × k = 1 [ q / 2 ] cos ( 2 π k α 0 ) s k D 2 ν q 2 π 0 d y c y ( D 2 ν ) h ( q , α 0 , y ) cosh ( q y ) cos ( q π ) .
On the plate, z = 0 , the VEV of the energy density induced by the string and plate is finite for points outside, r 0 . In the opposite limit, z η , r , the corresponding asymptotic expression, to the leading order, is
T 0 0 pl ( q , α 0 ) δ ( J ) 2 2 ν D 2 D [ 1 ξ 1 ( D 2 ν 1 ) ] Γ ( ν ) Γ ( D / 2 ν ) π D 2 + 1 a D + 1 z p D 2 ν × k = 1 [ q / 2 ] cos ( 2 π k α 0 ) q 2 π 0 d y h ( q , α 0 , y ) cosh ( q y ) cos ( q π ) .
In the Minkowskian limit, a , we follow the same procedure described in the previous section. Therefore, in this limit the energy density is given by:
T 0 0 pl ( q , α 0 ) , ( M ) = δ ( J ) 2 m D 1 ( 2 π ) D + 1 2 { k = 1 [ q / 2 ] cos ( 2 π k α 0 ) [ 1 ξ 1 ( 1 + 2 γ 2 ) f D + 1 2 2 m s k 2 r 2 + z 2 + 4 ξ 1 f D + 3 2 2 m s k 2 r 2 + z 2 ] q 2 π 0 d y h ( q , α 0 , y ) cosh ( q y ) cos ( q π ) [ 1 ξ 1 ( 1 + 2 γ 2 ) × f D + 1 2 2 m c y 2 r 2 + z 2 + 4 ξ 1 f D + 3 2 2 m c y 2 r 2 + z 2 ] } ,
with the function f ν ( x ) defined in (62). Note that the expression above exactly coincides with the VEV calculated in ( D + 1 ) -dimensional Minkowkian bulk [64].
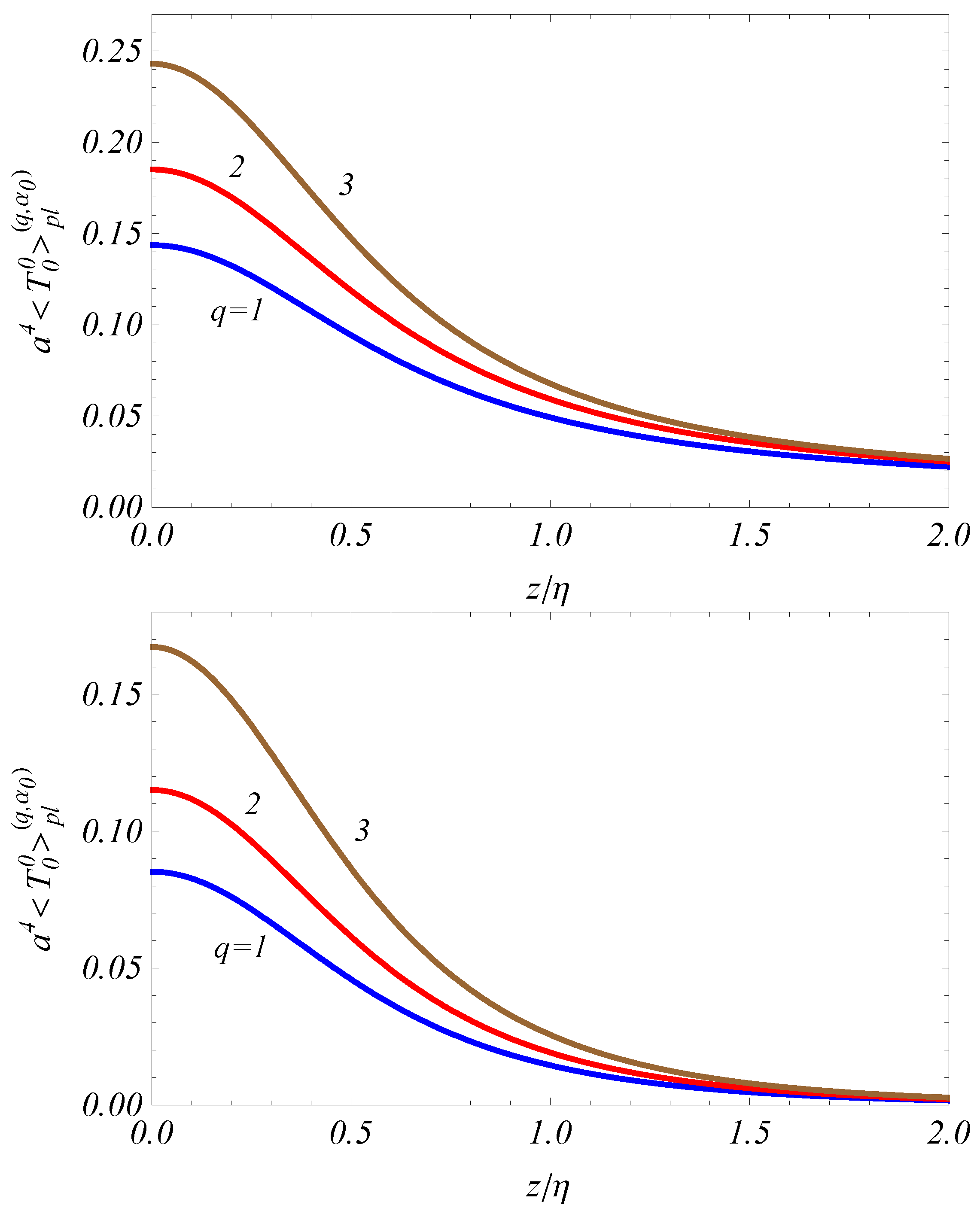
In Figure 3, we exhibit the behavior the energy density induced by the plate as function of r / η for D = 3 , considering minimum coupling, ξ = 0 , and fixed parameters z / η = 0.5 and α 0 = 0.45 , for different values of the parameter q. In the top panel we adopt m a = 1 (real ν ) and in the bottom panel m a = 2 (imaginary ν ). As we can see from these plots, the energy density is divergent on the string for q | α 0 | < 1 (curve with q = 1.5 ) and is finite for q | α 0 | > 1 (curve with q = 3.5 ). This is in accordance to our asymptotic analysis for points near the string. Moreover, similarly to the field squared, the comparison between the plots shows that the intensity of the energy density decreases with the mass.
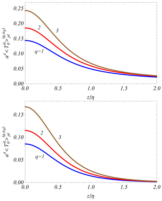
In Figure 4, we present the behavior of T 0 0 pl ( q , α 0 ) as function of proper distance from the plate in units of a, z / η , for D = 3 fixed values r / η = 0.75 , α 0 = 0.25 and ξ = 0 , considering different values of q. In the top panel, we assume m a = 1 , and in the bottom panel m a = 2 . These plots shows that the VEV of the energy density is finite on the plate and vanishes far from it.
The normal vacuum force acting on the plate is another interesting quantity present in the energy–momentum tensor given by (70). This quantity is given by the component T 3 3 pl ( q , α 0 ) at z = 0 and is finite for r 0 :
T 3 3 pl ( q , α 0 ) | z = 0 = 2 δ ( J ) ( 2 π ) D + 1 2 a D + 1 [ k = 1 [ q / 2 ] cos ( 2 π k α 0 ) G z ( s k , 2 s k 2 r p 2 1 ) q 2 π 0 d y h ( q , α 0 , y ) cosh ( q y ) cos ( q π ) G z ( c y , 2 c y 2 r p 2 1 ) ] ,
with
G z ( u , γ , y ) = D ξ F ν D / 2 ( y ) + 2 ξ 1 γ 2 + 1 ( D + 1 ) ξ 1 γ 2 u 2 × y F ν D / 2 ( y ) + 4 ξ 1 γ 4 u 2 ( 1 u 2 ) 2 y 2 F ν D / 2 ( y ) .
We see that even in the case of q = 1 , there is a pressure on the flat plate caused by the integral term, which is a consequence of the interaction between the field and the magnetic flux running along the string’s core.
For a conformally coupled massless field, the vacuum effective pressure on the plate, T 3 3 pl ( q , α 0 ) | z = 0 , can be even further simplified:
T 3 3 pl ( q , α 0 ) | z = 0 = δ ( J ) ( D 1 ) 2 ( 4 π ) D + 1 2 D η a r D + 1 [ k = 1 [ q / 2 ] cos ( 2 π k α 0 ) s k D 1 q 2 π 0 d y c y ( D 1 ) h ( q , α 0 , y ) cosh ( q y ) cos ( q π ) ] .
Additionally, in the absence of magnetic flux, α 0 = 0 , and integer q, the second term on the right-hand side of the above equation is absent, and for D = 3 , we have a simple expression,
T 3 3 pl ( q , α 0 ) | z = 0 = δ ( J ) 36 π 2 η a r 4 ( q 2 1 ) ,
which is conformally related with the one calculated in the Minkowskian bulk [52].
In Figure 5, the behavior of the vacuum effective pressure on the plate as function of the distance from the string is exhibited for a minimally coupled field, considering D = 3 and α 0 = 0.25 . In the top panel, we consider m a = 1 and in the bottom one, m a = 2 . The numbers near the curves are values of the angle deficit, q.

6. Conclusions

In this paper, we investigated the effects on the bosonic vacuum induced by a flat boundary in a ( 1 + D ) -dimensional dS background in the presence of cosmic string orthogonal to the plate. Specifically, we calculated the VEVs of the field squared and the energy–momentum tensor. In order to achieve this, we first had to obtain the complete set of normalized positive frequency solutions of the Klein–Gordon equation compatible with the boundary condition imposed on the field at the plate, located at z = 0 . Having obtained this set of solutions, we constructed the Wightman function given by the sum over these modes. This function was expressed as the sum of a contribution associated with the dS space in the presence of a cosmic string without boundary, plus a contribution induced by the plate. Unfortunately, we could not obtain the latter in a closed form for arbitrary values of the β parameter present in (5), so we decided to consider the field obeying Dirichlet and Neumann boundary conditions separately in our analysis. The corresponding formulas for the VEVs of the field squared and the energy–momentum tensor differ only by an overall sign. Because analyses of the VEVs associated with real scalar fields in higher-dimensional dS in the presence of a cosmic string spacetime have been developed in the literature, in this paper we focused our investigation on the contribution induced by the boundary.
In Section 4, we developed the calculation of the VEV of the field squared induced by the flat boundary, | φ | 2 pl . There, we have shown that this quantity is decomposed into two parts, the first, | φ | 2 pl ( 0 ) , corresponds to the contribution induced by the plate in absence of the cosmic string, and the second induced by the cosmic string considering the interaction of the charged bosonic field with the magnetic flux, | φ | 2 pl ( q , α 0 ) . Because the contribution induced purely by the plate has been investigated in the literature [62], we focus only on the second part. In this way, we have investigated this observable interaction in some asymptotic regions of the space. For r η , z , we found (59); on the other hand for z η , r , the asymptotic expression is given by (60). We can see that both results go to zero with the inverse of the corresponding proper distance at the power D 2 ν . In the Minkowskian limit, i.e, considering a and fixing the value of t, the corresponding VEV was provided in (61). Moreover, two figures exhibit the behavior of | φ | 2 pl ( q , α 0 ) , as function of r / η and z / η for different values of the parameter q and m a . These are Figure 1 and Figure 2, respectively.
In Section 5, we have calculated all components of the VEV of the energy-momentum tensor, T ν μ pl , induced by the flat plate in dS spacetime in the presence of a cosmic string. We have obtained, besides diagonal components, three off-diagonal ones.4 As in the case of VEV of the field squared, this observable is decomposed in a part induced by the boundary only in dS, T ν μ pl ( 0 ) , plus the part induced by the presence of the cosmic string, T ν μ pl ( q , α 0 ) . In the aforementioned section, we analyze only the part induced in the presence of the string. In fact, this contribution takes into account, besides the presence of the flat plate in dS, the interaction of the charged scalar field with the magnetic flux running along the string’s core and with the non-trivial topology of the space. Regarding the magnetic interaction, it provides corrections in the two terms in (70). The first one associated with the sum over the k, and the other associated with the integral. Moreover, we observe that both corrections depend only on the fractional part of the ratio of the magnetic flux by the quantum one, α 0 . So the correction corresponds to a Aharonov–Bohm effect. In this section, we have proved that the VEV of the energy–momentum tensor satisfies the trace relation, Equation (75), and the conservation condition, Equation (76). Special attention has been given to the energy density, T 0 0 pl ( q , α 0 ) . We have investigated its behavior in some limiting cases. For a massless field conformally coupled with the geometry, this VEV is given by Equation (77). Moreover, the energy density is finite on the string for z 0 , and far from it, r η , z , its asymptotic behavior is given by (78). On the surface of the plate, z = 0 , the energy density is finite for r 0 , and in the opposite limit is given by (79). As we can see in both cases, the energy-density decays with the inverse of the corresponding proper distance. The Minkowskian limit of the energy-density is given by (80). In order to exhibit the behavior of the energy density as function of r / η and z / η , the proper distances from the string and the plate, respectively, measured in the units of dS curvature radius, a, we provide, for D = 3 , the Figure 3 and Figure 4, considering different values of q and m a . As our final remark we present the pressure on the flat boundary. This quantity is given by the evaluation of the ( 3 3 ) component of the energy–momentum tensor evaluated at z = 0 . The corresponding expression is given in (81). For conformally coupled massless field, the pressure is given by (83). Considering the absence of magnetic flux and for integer q, the pressure reads, (84). The numerical behaviors of the pressure, considering D = 3 , and different values of q and m a , as function of r / η are given in the plots of Figure 5.
As we can see, all figures presented in this paper exhibit the behaviours of the corresponding observables considering ν real ( m a = 1 ) and ν imaginary ( m a = 2 ). From these figures, we observe that the general behaviour of the observables are essentially the same.
As a final remark, we would like to state that the present work may have an important role in the future investigation of vacuum polarization effects in dS spacetime [68]. In fact, it is of our particular interest to analyze the Casimir effect induced by a cosmic string orthogonal to two plates in this background geometry.

Author Contributions

Conceptualization, W.O.d.S. and E.R.B.d.M.; Methodology, W.O.d.S. and E.R.B.d.M.; Software, W.O.d.S.; Formal analysis, W.O.d.S. and E.R.B.d.M.; Investigation, W.O.d.S. and E.R.B.d.M.; Writing—original draft, W.O.d.S. and E.R.B.d.M.; Writing—review and editing, W.O.d.S. and E.R.B.d.M.; Supervision, E.R.B.d.M.; Funding acquisition, W.O.d.S. and E.R.B.d.M. All authors have read and agreed to the published version of the manuscript.

Funding

W.O.d.S. is supported under grant 2022/2008, Paraíba State Research Foundation (FAPESQ). E.R.B.d.M. is partially supported by CNPq under Grant no 301.783/2019-3.

Data Availability Statement

No new data were created or analyzed in this study. Data sharing is not applicable to this article.

Acknowledgments

W.O.d.S. thanks Paraíba State Research Foundation (FAPESQ) and E.R.B.d.M. thanks National Council for Scientific and Technological Development (CNPq) for the financial support.

Conflicts of Interest

The authors declare no conflict of interest.

Notes

1
The Wightman function associated to a single plate in dS spacetime was studied in [62].
2
This contribution considering a real bosonic field has been analyzed in Ref. [54].
3
For the case of real scalar field, this VEV has been calculated in [54].
4
In the case of absence of a flat boundary anlyzed in [54], that only one off-diagonal component takes place.

References

  1. Linde, A.D. Particle Physics and Inflationary Cosmology; Harwood Acadenkowskianc Publishers: Chur, Switzerland, 1990. [Google Scholar]
  2. Riess, A.G.; Strolger, L.G.; Casertano, S.; Ferguson, H.C.; Mobasher, B.; Gold, B.; Challis, P.J.; Filippenko, A.V.; Jha, S.; Li, W.; et al. New Hubble Space Telescope Discoveries of Type Ia Supernovae at z>=1: Narrowing Constraints on the Early Behavior of Dark Energy. Astrophys. J. 2007, 659, 98. [Google Scholar] [CrossRef]
  3. Spergel, D.N. Wilkinson Microwave Anisotropy Probe (WMAP) three year results: Implications for cosmology. Astrophys. J. Suppl. Ser. 2007, 170, 377. [Google Scholar] [CrossRef]
  4. Seljak, U.; Slosar, A.; McDonald, P. Cosmological parameters from combining the Lyman-alpha forest with CMB, galaxy clustering and SN constraints. J. Cosmol. Astropart. Phys. 2006, 10, 14. [Google Scholar] [CrossRef]
  5. Kibble, T.W. Topology of Cosmic Domains and Strings. J. Phys. A 1976, 9, 1387. [Google Scholar] [CrossRef]
  6. Vilenkin, A.; Shellard, E.P.S. Cosmic Strings and Other Topological Defects; Cambridge University Press: Cambridge, UK, 1994. [Google Scholar]
  7. Nielsen, N.B.; Olesen, P. Vortex Line Models for Dual Strings. Nucl. Phys. B 1973, 61, 45. [Google Scholar] [CrossRef]
  8. Garfinkle, D. General Relativistic Strings. Phys. Rev. D 1985, 32, 1323. [Google Scholar] [CrossRef]
  9. Linet, B. A Vortex Line Model for Infinite Straight Cosmic Strings. Phys. Lett. A 1987, 124, 240. [Google Scholar] [CrossRef]
  10. Cohen, A.G.; Kaplan, D.B. Solving the hierarchy problem with noncompact extra dimensions. Phys. Lett. B 1999, 470, 52. [Google Scholar] [CrossRef]
  11. Gregory, R. Nonsingular global string compactifications. Phys. Rev. Lett. 2000, 84, 2564. [Google Scholar] [CrossRef]
  12. Chernikov, N.A.; Tagirov, E.A. Quantum theory of scalar fields in de Sitter space-time. Ann. Inst. Henri Poincaré 1968, 9, 109. [Google Scholar]
  13. Tagirov, E.A. Consequences of field quantization in de Sitter type cosmological models. Ann. Phys. 1973, 76, 561. [Google Scholar] [CrossRef]
  14. Candelas, P.; Raine, D.J. General Relativistic Quantum Field Theory-An Exactly Soluble Model. Phys. Rev. D 1975, 12, 965. [Google Scholar] [CrossRef]
  15. Dowker, J.S.; Critchley, R. Scalar Effective Lagrangian in de Sitter Space. Phys. Rev. D 1976, 13, 224. [Google Scholar] [CrossRef]
  16. Dowker, J.S.; Critchley, R. Effective Lagrangian and Energy Momentum Tensor in de Sitter Space. Phys. Rev. D 1976, 13, 3224. [Google Scholar] [CrossRef]
  17. Bunch, T.S.; Davies, P.C.W. Quantum Field Theory in de Sitter Space: Renormalization by Point Splitting. Proc. R. Soc. Lond. A 1978, 360, 117. [Google Scholar]
  18. Birrell, N.D. Stress tensor conformal anomaly for weinberg type fields in curved space-times. J. Phys. A 1979, 12, 337. [Google Scholar] [CrossRef]
  19. Mamaev, S.G. Quantum Effects in Cosmological Models With Singularities. Sov. Phys. J. 1981, 24, 63. [Google Scholar] [CrossRef]
  20. Vilenkin, A.; Ford, L.H. Gravitational Effects upon Cosmological Phase Transitions. Phys. Rev. D 1982, 26, 1231. [Google Scholar] [CrossRef]
  21. Allen, B. Phase Transitions in de Sitter Space. Nucl. Phys. B 1983, 226, 228. [Google Scholar] [CrossRef]
  22. Allen, B. The SU(5) Potential in De Sitter Space. Ann. Phys. 1985, 161, 152. [Google Scholar] [CrossRef][Green Version]
  23. Ford, L.H. Quantum Instability of De Sitter Space-time. Phys. Rev. D 1985, 31, 710. [Google Scholar] [CrossRef] [PubMed]
  24. Kirsten, K.; Garriga, J. Massless minimally coupled fields in de Sitter space: O(4) symmetric states versus de Sitter invariant vacuum. Phys. Rev. D 1993, 48, 567. [Google Scholar] [CrossRef] [PubMed]
  25. Esposito, G.; Miele, G.; Rosa, L. One loop effective potential for SO(10) GUT theories in de Sitter space. Class. Quantum Gravity 1994, 11, 2031. [Google Scholar] [CrossRef][Green Version]
  26. Prokopec, T.; Woodard, R.P. Production of massless fermions during inflation. J. High Energy Phys. 2003, 10, 059. [Google Scholar] [CrossRef]
  27. Prokopec, T.; Tornkvist, O.; Woodard, R.P. One loop vacuum polarization in a locally de Sitter background. Ann. Phys. 2003, 303, 251. [Google Scholar] [CrossRef]
  28. Prokopec, T.; Woodard, R.P. Dynamics of superhorizon photons during inflation with vacuum polarization. Ann. Phys. 2004, 312, 1. [Google Scholar] [CrossRef]
  29. Prokopec, T.; Puchwein, E. Photon mass generation during inflation: De Sitter invariant case. J. Cosmol. Astropart. Phys. 2004, 4, 007. [Google Scholar] [CrossRef][Green Version]
  30. Cognola, G.; Elizalde, E.; Nojiri, S.; Odintsov, S.D.; Zerbini, S. One-loop f(R) gravity in de Sitter universe. J. Cosmol. Astropart. Phys. 2005, 2, 10. [Google Scholar] [CrossRef]
  31. Finelli, F.; Marozzi, G.; Vacca, G.P.; Venturi, G. Adiabatic regularization of the graviton stress-energy tensor in de Sitter space-time. Phys. Rev. D 2005, 71, 023522. [Google Scholar] [CrossRef]
  32. Dolgov, A.; Pelliccia, D.N. Scalar field instability in de Sitter space-time. Nucl. Phys. B 2006, 734, 208. [Google Scholar] [CrossRef]
  33. Saharian, A.A.; Setare, M.R. Casimir effect in de Sitter spacetime with compactified dimension. Phys. Let B 2008, 659, 367. [Google Scholar] [CrossRef]
  34. Bezerra de Mello, E.R.; Saharian, A.A. Fermionic vacuum densities in higher-dimensional de Sitter spacetime. J. High Energy Phys. 2008, 12, 081. [Google Scholar] [CrossRef]
  35. Linet, B. Quantum Field Theory in the Space-time of a Cosmic String. Phys. Rev. D 1987, 35, 536. [Google Scholar] [CrossRef] [PubMed]
  36. Smith, A.G. Symposium on the Formation and Evolution of Cosmic String; Gibbons, G.W., Hawking, S.W., Vachaspati, T., Eds.; Cambridge University Press: Cambridge, UK, 1989. [Google Scholar]
  37. Davies, P.C.; Sahni, V. Quantum gravitational effects near cosmic strings. Class. Quantum Gravity 1988, 5, 1. [Google Scholar] [CrossRef]
  38. Souradeep, T.; Sahni, V. Quantum effects near a point mass in (2 + 1)-Dimensional gravity. Phys. Rev. D 1992, 46, 1616. [Google Scholar] [CrossRef] [PubMed]
  39. Guimarães, M.E.X.; Linet, B. Selfinteraction and quantum effects near a point mass in three-dimensional gravitation. Class. Quantum Gravity 1993, 10, 1665. [Google Scholar] [CrossRef]
  40. Frolov, V.P.; Serebriany, E.M. Vacuum Polarization in the Gravitational Field of a Cosmic String. Phys. Rev. D 1987, 35, 3779. [Google Scholar] [CrossRef] [PubMed]
  41. Linet, B. Euclidean spinor Green’s functions in the space-time of a straight cosmic string. J. Math. Phys. 1995, 36, 3694. [Google Scholar] [CrossRef]
  42. Moreira, E.S., Jr. Massive quantum fields in a conical background. Nucl. Phys. B 1995, 451, 365. [Google Scholar] [CrossRef]
  43. Bezerra, V.B.; Khusnutdinov, N.R. Vacuum expectation value of the spinor massive field in the cosmic string space-time. Class. Quantum Gravity 2006, 23, 3449. [Google Scholar] [CrossRef][Green Version]
  44. Spinelly, J.; Bezerra de Mello, E.R. Spinor Green function in higher-dimensional cosmic string space-time in the presence of magnetic flux. J. High Energy Phys. 2008, 09, 005. [Google Scholar] [CrossRef]
  45. Bezerra de Mello, E.R.; Bezerra, B.V.; Saharian, A.A.; Tarloyan, A.S. Vacuum polarization induced by a cylindrical boundary in the cosmic string spacetime. Phys. Rev. D 2006, 74, 025017. [Google Scholar] [CrossRef]
  46. Brevik, I.H.; Toverud, T. Electromagnetic energy density around a perfectly conducting cosmic string. Class. Quantum Gravity 1995, 12, 1229–1243. [Google Scholar] [CrossRef]
  47. Bezerra de Mello, E.R.V.; Bezerra, B.; Saharian, A.A.; Tarloyan, A.S. Fermionic vacuum polarization by a cylindrical boundary in the cosmic string spacetime. Phys. Rev. D 2008, 78, 105007. [Google Scholar] [CrossRef][Green Version]
  48. Bordag, M. On the vacuum interaction of two parallel cosmic strings. Ann. Phys. 1990, 47, 93. [Google Scholar] [CrossRef]
  49. Muñoz-Castañeda, J.M.; Bordag, M. Quantum vacuum interaction between two cosmic strings revisited. Phys. Rev. D 2014, 89, 065034. [Google Scholar] [CrossRef]
  50. Grats, Y.V.; Spirin, P. Casimir interaction of finite-width strings. Phys. Rev. D 2023, 108, 045001. [Google Scholar] [CrossRef]
  51. Grats, Y.V.; Spirin, P. Vacuum Interaction of Topological Strings at Short Distances. Physics 2023, 5, 1163. [Google Scholar] [CrossRef]
  52. Bezerra de Mello, E.R.; Saharian, A.A. Vacuum polarization by a flat boundary in cosmic string spacetime. Class. Quantum Gravity 2011, 28, 145008. [Google Scholar] [CrossRef]
  53. Bezerra de Mello, E.R.; Saharian, A.A.; Abajyan, S.V. Fermionic vacuum polarization by a flat boundary in cosmic string spacetime. Class. Quantum Gravity 2013, 30, 015002. [Google Scholar] [CrossRef]
  54. Bezerra de Mello, E.R.; Saharian, A.A. Vacuum polarization by a cosmic string in de Sitter spacetime. J. High Energy Phys. 2009, 4, 46. [Google Scholar] [CrossRef]
  55. Bezerra de Mello, E.R.; Saharian, A.A. Fermionic vacuum polarization by a cosmic string in de Sitter spacetime. J. High Energy Phys. 2010, 8, 38. [Google Scholar] [CrossRef]
  56. Gradshteyn, I.S.; Ryzhik, I.M. Table of Integrals, Series and Products; Academic Press: New York, NY, USA, 1980. [Google Scholar]
  57. Mottola, E. Particle Creation in de Sitter Space. Phys. Rev. D 1985, 31, 754. [Google Scholar] [CrossRef]
  58. Allen, B. Vacuum States in de Sitter Space. Phys. Rev. D 1985, 32, 3136. [Google Scholar] [CrossRef] [PubMed]
  59. Goldstein, K.; Lowe, D.A. Initial state effects on the cosmic microwave background and transPlanckian physics. Phys. Rev. D 2003, 67, 063502. [Google Scholar] [CrossRef]
  60. Abramowitz, M.; Stegun, I.A. Handbook of Mathematical Functions; Dover: New York, NY, USA, 1972. [Google Scholar]
  61. Watson, G.N. A Treatise on the Theory of Bessel Functions; Cambridge University Press: Cambridge, UK, 1944. [Google Scholar]
  62. Saharian, A.A.; Vardanyan, T.A. Casimir densities for a plate in de Sitter spacetime. Class. Quantum Gravity 2009, 26, 195004. [Google Scholar] [CrossRef][Green Version]
  63. Bezerra de Mello, E.R.; Bezerra, V.B.; Saharian, A.A.; Harutyunyan, H.H. Vacuum currents induced by a magnetic flux around a cosmic string with finite core. Phys. Rev. D 2015, 91, 064034. [Google Scholar] [CrossRef]
  64. Bragança, E.A.F.; Bezerra de Mello, E.R. Vacuum current and polarization induced by magnetic flux in a higher-dimensional cosmic string in the presence of a flat boundary. Eur. Phys. J. Plus 2021, 136, 50. [Google Scholar] [CrossRef]
  65. Balogh, C.B. Asymptotic Expansions of the Modified Bessel Function of the Third Kind of Imaginary Order. SIAM J. Appl. Math. 1967, 15, 1315–1323. [Google Scholar] [CrossRef]
  66. Oliveira dos Santos, W.; Bezerra de Mello, E.R.; Mota, H.F. Vacuum polarization in high-dimensional AdS space-time in the presence of a cosmic string and a compactified extra dimension. Eur. Phys. J. Plus 2020, 135, 27. [Google Scholar] [CrossRef]
  67. Bragança, E.A.F.; Santana Mota, H.F.; Bezerra de Mello, E.R. Induced vacuum bosonic current by magnetic flux in a higher dimensional compactified cosmic string spacetime. Int. J. Mod. Phys. D 2015, 24, 1550055. [Google Scholar] [CrossRef]
  68. Elizalde, E.; Saharian, A.A.; Vardanyan, T.A. Casimir effect for parallel plates in de Sitter spacetime. Phys. Rev. D 2010, 81, 124003. [Google Scholar] [CrossRef]
Figure 1. The VEV of the complex scalar field squared induced by the plate for D = 3 , Equation (54), is plotted in terms of the proper distance from the cosmic string in units of a, r / η , for z / η = 0.5 α 0 = 0.25 , ξ = 0 and q = 1 , 2 and 3. The plot on the top is for m a = 1 , while the plot on the bottom is for m a = 2 . The numbers near the curves are the values of q.
Figure 1. The VEV of the complex scalar field squared induced by the plate for D = 3 , Equation (54), is plotted in terms of the proper distance from the cosmic string in units of a, r / η , for z / η = 0.5 α 0 = 0.25 , ξ = 0 and q = 1 , 2 and 3. The plot on the top is for m a = 1 , while the plot on the bottom is for m a = 2 . The numbers near the curves are the values of q.
Universe 10 00020 g001
Figure 2. The VEV of the field squared induced by the plate, Equation (54), is plotted for D = 3 as function of z / η , for fixed ξ = 0 , α 0 = 0.25 and r / η = 0.75 . The numbers near the curves correspond to the values of deficit angle parameter, q. The top panel corresponds to m a = 1 and the bottom panel to m a = 2 . Numbers near the curves are the values of q.
Figure 2. The VEV of the field squared induced by the plate, Equation (54), is plotted for D = 3 as function of z / η , for fixed ξ = 0 , α 0 = 0.25 and r / η = 0.75 . The numbers near the curves correspond to the values of deficit angle parameter, q. The top panel corresponds to m a = 1 and the bottom panel to m a = 2 . Numbers near the curves are the values of q.
Universe 10 00020 g002
Figure 3. The energy density induced by the plate for D = 3 is plotted in terms of the proper distance from the cosmic string, r / η , for z / η = 0.5 α 0 = 0.45 , ξ = 0 and q = 1 , 2 and 3. The plot on the top is for m a = 1 , while the plot on the bottom is for m a = 2 . The numbers near the curves are the values of q.
Figure 3. The energy density induced by the plate for D = 3 is plotted in terms of the proper distance from the cosmic string, r / η , for z / η = 0.5 α 0 = 0.45 , ξ = 0 and q = 1 , 2 and 3. The plot on the top is for m a = 1 , while the plot on the bottom is for m a = 2 . The numbers near the curves are the values of q.
Universe 10 00020 g003
Figure 4. The VEV of the energy density induced by the plate is plotted for D = 3 as function of z / η , for fixed ξ = 0 , α 0 = 0.25 and r / η = 0.75 . The numbers near the curves correspond to the values of deficit angle parameter, q. The top panel corresponds to m a = 1 and the bottom panel to m a = 2 . Numbers near the curves are the values of q.
Figure 4. The VEV of the energy density induced by the plate is plotted for D = 3 as function of z / η , for fixed ξ = 0 , α 0 = 0.25 and r / η = 0.75 . The numbers near the curves correspond to the values of deficit angle parameter, q. The top panel corresponds to m a = 1 and the bottom panel to m a = 2 . Numbers near the curves are the values of q.
Universe 10 00020 g004
Figure 5. The vacuum normal force on the plate for a minimal coupling and D = 3 is plotted in terms r / η , considering α 0 = 0.25 and q = 1 , 2 and 3. The plot on the top is for m a = 1 , while the plot on the bottom is for m a = 2 . The numbers near the curves are the values of q.
Figure 5. The vacuum normal force on the plate for a minimal coupling and D = 3 is plotted in terms r / η , considering α 0 = 0.25 and q = 1 , 2 and 3. The plot on the top is for m a = 1 , while the plot on the bottom is for m a = 2 . The numbers near the curves are the values of q.
Universe 10 00020 g005
Disclaimer/Publisher’s Note: The statements, opinions and data contained in all publications are solely those of the individual author(s) and contributor(s) and not of MDPI and/or the editor(s). MDPI and/or the editor(s) disclaim responsibility for any injury to people or property resulting from any ideas, methods, instructions or products referred to in the content.

Share and Cite

MDPI and ACS Style

dos Santos, W.O.; Bezerra de Mello, E.R. Vacuum Effects Induced by a Plate in de Sitter Spacetime in the Presence of a Cosmic String. Universe 2024, 10, 20. https://doi.org/10.3390/universe10010020

AMA Style

dos Santos WO, Bezerra de Mello ER. Vacuum Effects Induced by a Plate in de Sitter Spacetime in the Presence of a Cosmic String. Universe. 2024; 10(1):20. https://doi.org/10.3390/universe10010020

Chicago/Turabian Style

dos Santos, Wagner Oliveira, and Eugenio R. Bezerra de Mello. 2024. "Vacuum Effects Induced by a Plate in de Sitter Spacetime in the Presence of a Cosmic String" Universe 10, no. 1: 20. https://doi.org/10.3390/universe10010020

APA Style

dos Santos, W. O., & Bezerra de Mello, E. R. (2024). Vacuum Effects Induced by a Plate in de Sitter Spacetime in the Presence of a Cosmic String. Universe, 10(1), 20. https://doi.org/10.3390/universe10010020

Note that from the first issue of 2016, this journal uses article numbers instead of page numbers. See further details here.

Article Metrics

Back to TopTop