Combined Effects of Social and Behavioral Factors on Stress and Depression
Abstract
1. Introduction
2. Materials and Methods
2.1. Data Collection Procedures
2.2. National Health and Nutrition Examination Survey (NHANES) and Patient Health Questionnaire-9 (PHQ-9)
- 0–4: None (no action required).
- 5–9: Mild (monitor with a follow-up PHQ-9).
- 10–14: Moderate (treatment plan with potential counseling or medication).
- 15–19: Moderately Severe (active treatment plan with psychotherapy and/or medication).
- 20–27: Severe (immediate pharmacotherapy; if ineffective, referral to a mental health specialist).
2.3. Operationalizing Allostatic Load
2.4. Participants
2.5. Data Analysis
3. Results
3.1. Sample Characteristics and Descriptive Statistics
3.2. Correlation Analysis of Key Variables
3.3. Regression Analysis of Allostatic Load and Depressive Symptoms Across Ethnic Groups
3.4. Factor Analysis and Creation of Latent Variable for Combined Stress and Depressive Symptoms
3.5. Bayesian Kernel Machine Regression Analysis of Behavioral and Social Predictors of Combined Stress and Depression
3.5.1. Hierarchical BKMR Analysis of Behavioral and Social Predictors on Combined Stress and Depression
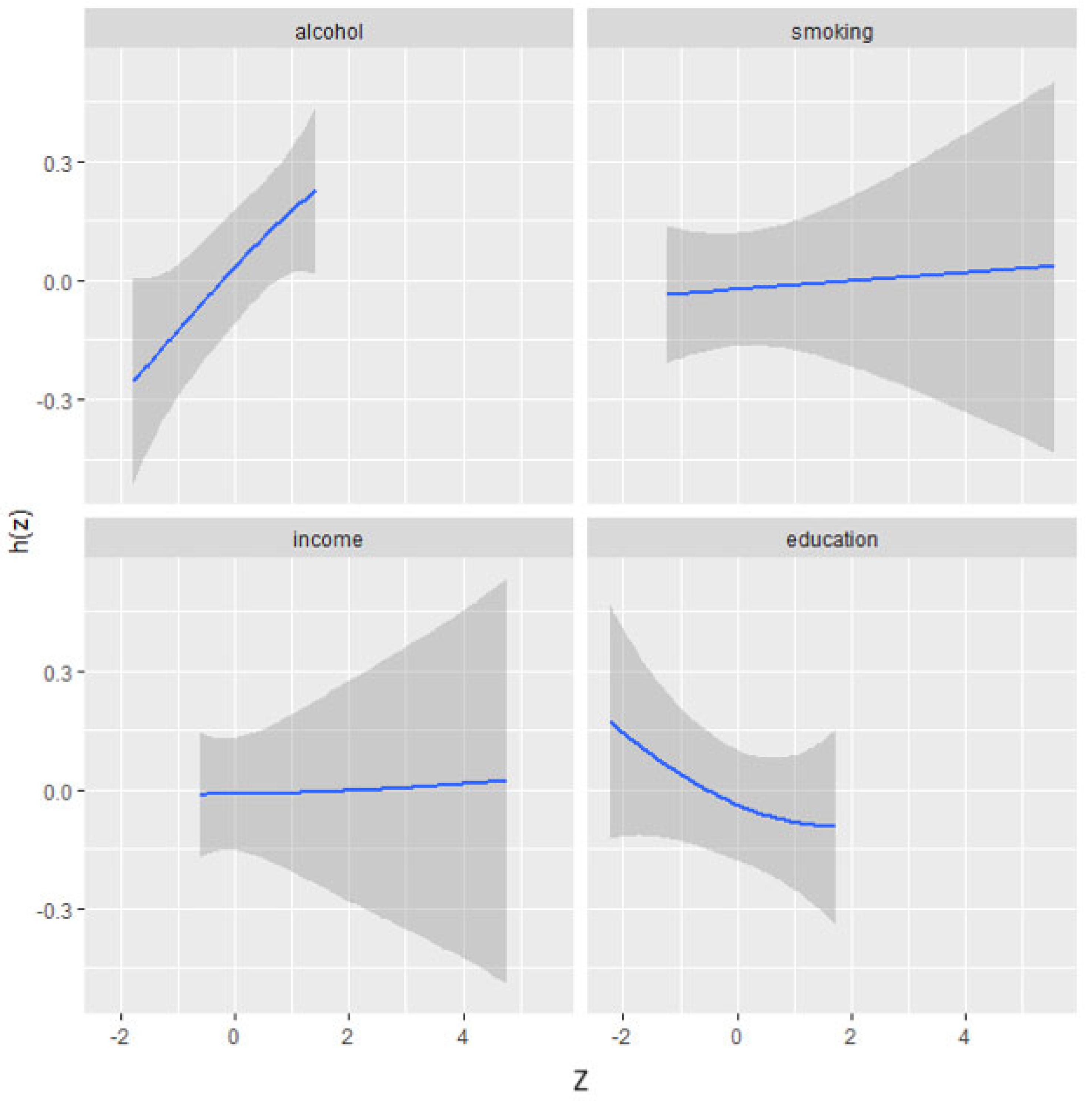
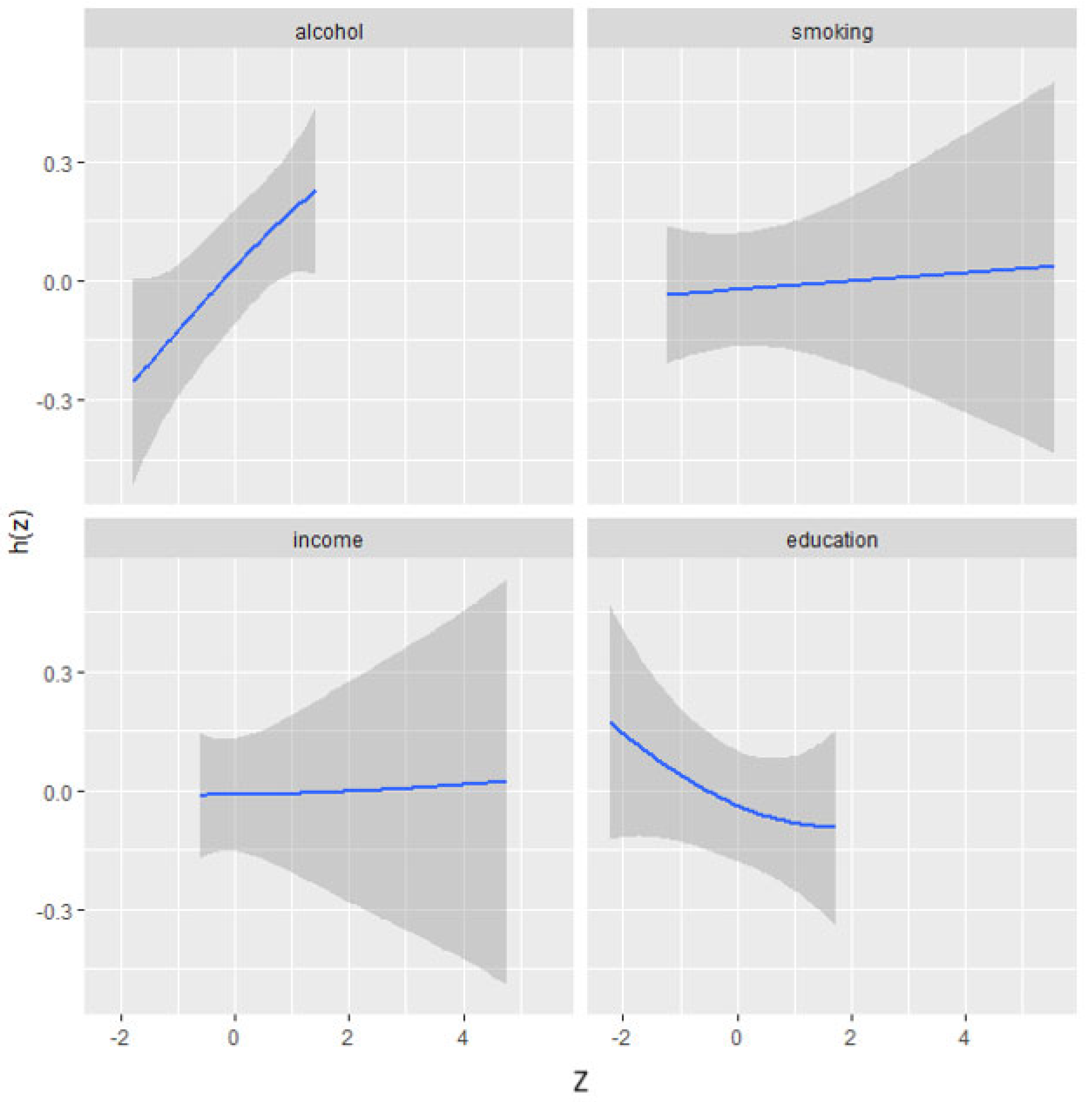
3.5.2. Univariate Effects of Behavioral and Social Factors on Combined Stress and Depression
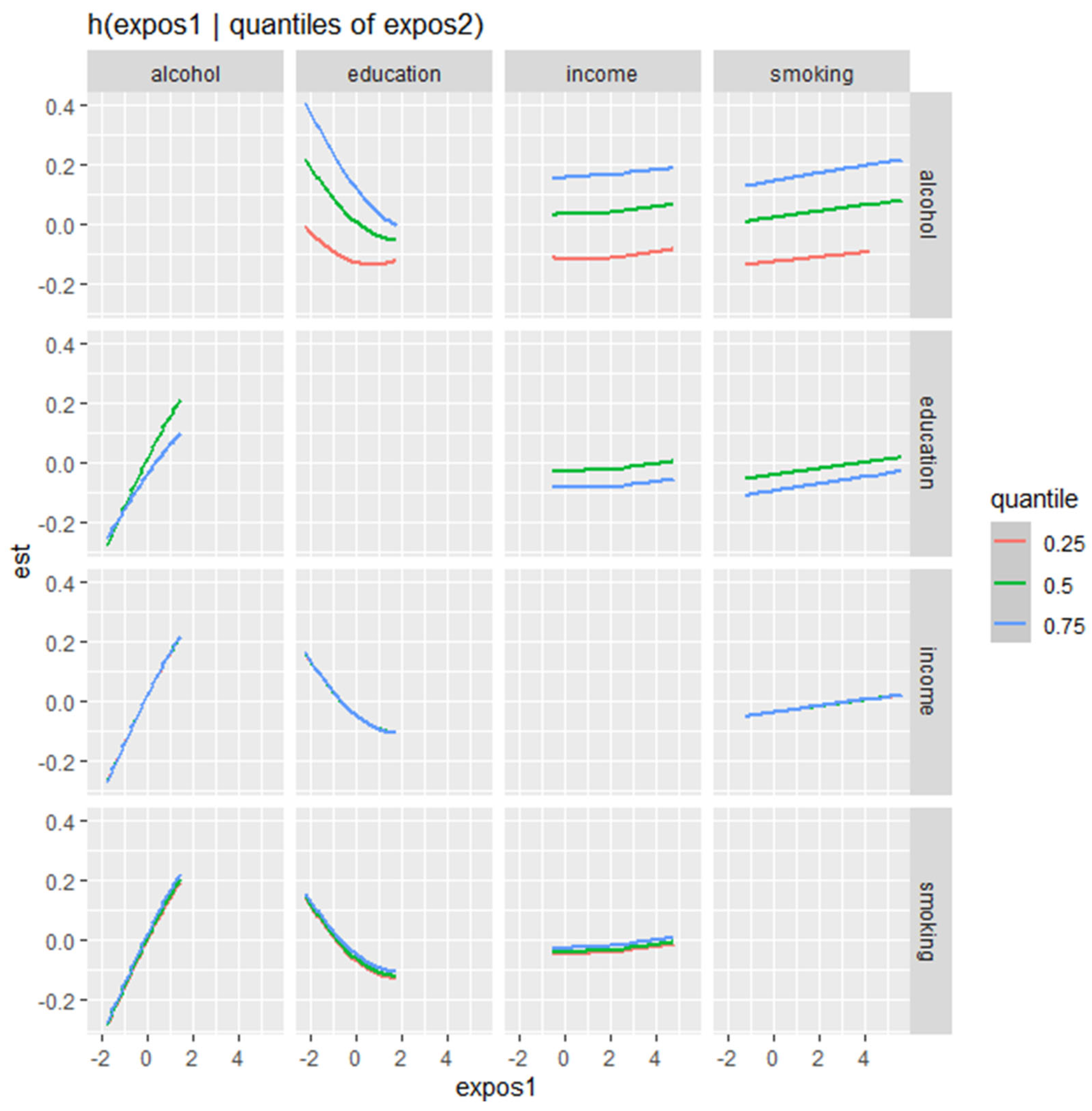
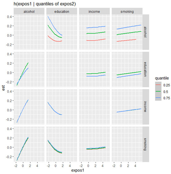
3.5.3. Bivariate Exposure–Response Analysis of Behavioral and Social Factors of Combined Stress and Depression
3.5.4. Quantile-Based Analysis of Combined Social and Behavioral Factors of Stress and Depressive Symptoms
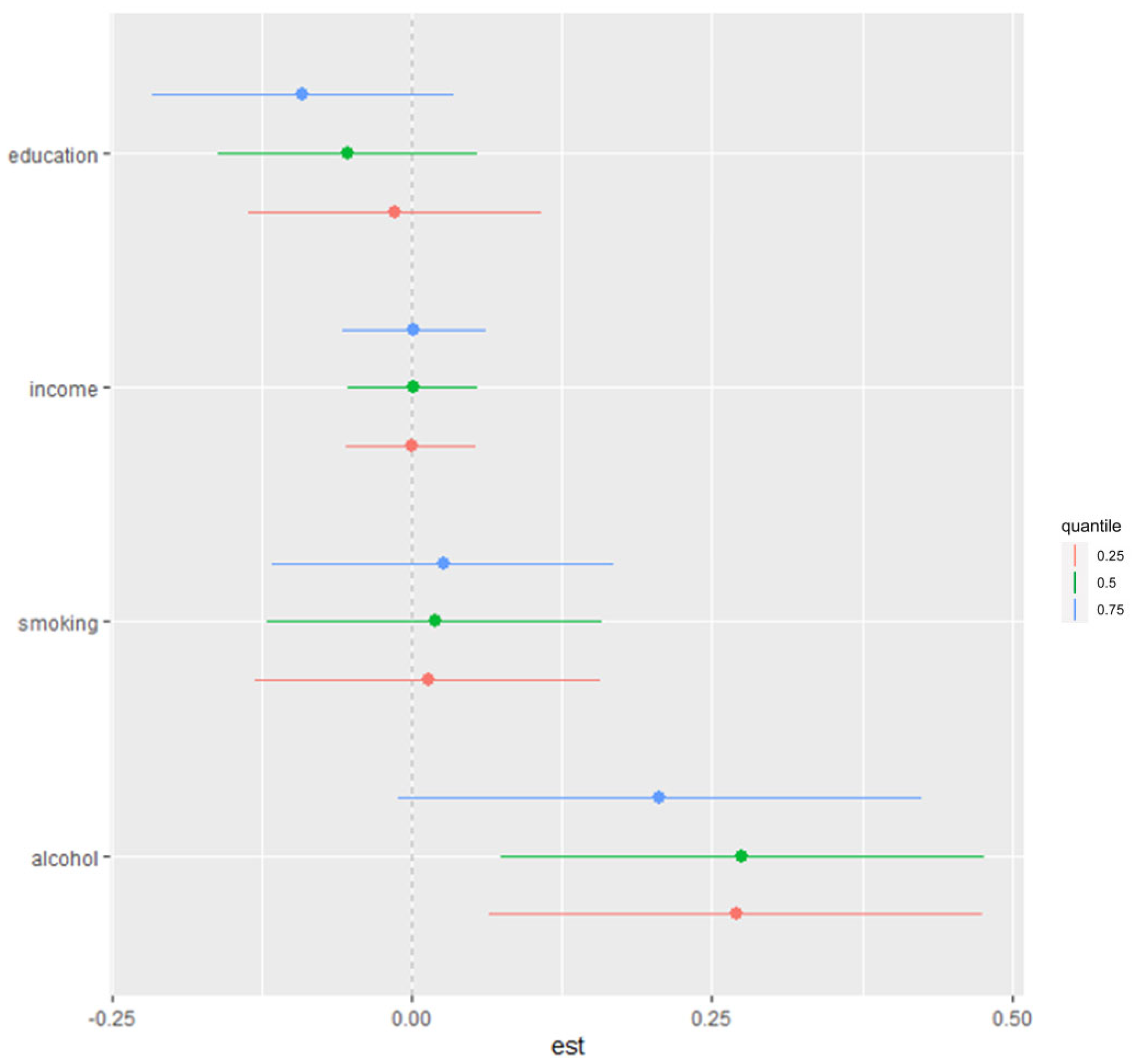
3.5.5. Impact of Individual Variables Within Mixture on Stress and Depressive Symptoms
4. Discussion
4.1. Insights into the Interplay of Social and Behavioral Factors of Stress and Depressive Symptoms
4.2. Limitations
5. Conclusions
Author Contributions
Funding
Institutional Review Board Statement
Informed Consent Statement
Data Availability Statement
Conflicts of Interest
References
- Goodman, A.H.; Brooke Thomas, R.; Swedlund, A.C.; Armelagos, G.J. Biocultural perspectives on stress in prehistoric, historical, and contemporary population research. Am. J. Phys. Anthropol. 1988, 31, 169–202. [Google Scholar] [CrossRef]
- Chong, R.Y.; Uhart, M.; McCaul, M.E.; Johnson, E.; Wand, G.S. Whites have a more robust hypothalamic–pituitary–adrenal axis response to a psychological stressor than blacks. Psychoneuroendocrinology 2008, 33, 246–254. [Google Scholar] [CrossRef] [PubMed][Green Version]
- Murkey, J.A.; Watkins, B.-X.; Vieira, D.; Boden-Albala, B. Disparities in allostatic load, telomere length and chronic stress burden among African American adults: A systematic review. Psychoneuroendocrinology 2022, 140, 105730. [Google Scholar] [CrossRef] [PubMed]
- McEwen, B.S. Stress, adaptation, and disease: Allostasis and allostatic load. Ann. N. Y. Acad. Sci. 1998, 840, 33–44. [Google Scholar] [CrossRef]
- Obeng-Gyasi, E.; Obeng-Gyasi, B. Chronic stress and cardiovascular disease among individuals exposed to lead: A pilot study. Diseases 2020, 8, 7. [Google Scholar] [CrossRef]
- Seeman, T.E.; Singer, B.H.; Rowe, J.W.; Horwitz, R.I.; McEwen, B.S. Price of adaptation—Allostatic load and its health consequences: MacArthur studies of successful aging. Arch. Intern. Med. 1997, 157, 2259–2268. [Google Scholar] [CrossRef]
- McEwen, B.S.; Seeman, T. Protective and damaging effects of mediators of stress: Elaborating and testing the concepts of allostasis and allostatic load. Ann. N. Y. Acad. Sci. 1999, 896, 30–47. [Google Scholar] [CrossRef]
- Gustafsson, P.E.; San Sebastian, M.; Janlert, U.; Theorell, T.; Westerlund, H.; Hammarström, A. Life-course accumulation of neighborhood disadvantage and allostatic load: Empirical integration of three social determinants of health frameworks. Am. J. Public Health 2014, 104, 904–910. [Google Scholar] [CrossRef]
- Gatchel, R.J.; Ray, C.T.; Kishino, N.; Brindle, A. The biopsychosocial model. In The Wiley Encyclopedia of Health Psychology; Wiley: Hoboken, NJ, USA, 2020; pp. 1–8. [Google Scholar]
- McGonagle, K.A.; Kessler, R.C. Chronic stress, acute stress, and depressive symptoms. Am. J. Community Psychol. 1990, 18, 681–706. [Google Scholar] [CrossRef]
- George, L.K.; Lynch, S.M. Race differences in depressive symptoms: A dynamic perspective on stress exposure and vulnerability. J. Health Soc. Behav. 2003, 44, 353–369. [Google Scholar] [CrossRef]
- Hirschfeld, R.; Montgomery, S.A.; Keller, M.B.; Kasper, S.; Schatzberg, A.F.; Hans-Jurgen, M.; Healy, D.; Baldwin, D.; Humble, M.; Versiani, M. Social functioning in depression: A review. J. Clin. Psychiatry 2000, 61, 268–275. [Google Scholar] [CrossRef] [PubMed]
- McEwen, B.S. Mood disorders and allostatic load. Biol. Psychiatry 2003, 54, 200–207. [Google Scholar] [CrossRef] [PubMed]
- Druss, B.G.; Satcher, D. Bridging mental health and public health. Prev. Chronic Dis. 2010, 7, A03. [Google Scholar]
- Bey, G.S.; Jesdale, B.M.; Ulbricht, C.M.; Mick, E.O.; Person, S.D. Allostatic load biomarker associations with depressive symptoms vary among US black and white women and men. Healthcare 2018, 6, 105. [Google Scholar] [CrossRef]
- Centers-for-Disease-Control-and-Prevention-(NHANES). NHANES 2017–2018. Available online: https://wwwn.cdc.gov/nchs/nhanes/continuousnhanes/default.aspx?BeginYear=2017 (accessed on 12 December 2024).
- Obeng-Gyasi, E.; Ferguson, A.C.; Stamatakis, K.A.; Province, M.A. Combined effect of lead exposure and allostatic load on cardiovascular disease mortality—A preliminary study. Int. J. Environ. Res. Public Health 2021, 18, 6879. [Google Scholar] [CrossRef]
- Haruna, I.; Obeng-Gyasi, E. Association of Combined Per-and Polyfluoroalkyl Substances and Metals with Chronic Kidney Disease. Int. J. Environ. Res. Public Health 2024, 21, 468. [Google Scholar] [CrossRef]
- Whelan, E.; O’Shea, J.; Hunt, E.; Dockray, S. Evaluating measures of allostatic load in adolescents: A systematic review. Psychoneuroendocrinology 2021, 131, 105324. [Google Scholar] [CrossRef]
- Carbone, J.T.; Clift, J.; Alexander, N. Measuring allostatic load: Approaches and limitations to algorithm creation. J. Psychosom. Res. 2022, 163, 111050. [Google Scholar] [CrossRef]
- Bobb, J.F.; Valeri, L.; Claus Henn, B.; Christiani, D.C.; Wright, R.O.; Mazumdar, M.; Godleski, J.J.; Coull, B.A. Bayesian kernel machine regression for estimating the health effects of multi-pollutant mixtures. Biostatistics 2015, 16, 493–508. [Google Scholar] [CrossRef]
- Ross, R.A.; Foster, S.L.; Ionescu, D.F. The role of chronic stress in anxious depression. Chronic Stress 2017, 1, 2470547016689472. [Google Scholar] [CrossRef]
- Williams, D.R.; Gonzalez, H.M.; Neighbors, H.; Nesse, R.; Abelson, J.M.; Sweetman, J.; Jackson, J.S. Prevalence and distribution of major depressive disorder in African Americans, Caribbean blacks, and non-Hispanic whites: Results from the National Survey of American Life. Arch. Gen. Psychiatry 2007, 64, 305–315. [Google Scholar] [CrossRef] [PubMed]
- Assari, S. Hostility, anger, and cardiovascular mortality among Blacks and Whites. Res. Cardiovasc. Med. 2017, 6, 1–9. [Google Scholar] [CrossRef]
- Kim, H.J.; Park, E.; Storr, C.L.; Tran, K.; Juon, H.-S. Depression among Asian-American adults in the community: Systematic review and meta-analysis. PLoS ONE 2015, 10, e0127760. [Google Scholar] [CrossRef] [PubMed]
- Reid Marks, L.; Thurston, I.B.; Kamody, R.C.; Schaeffer-Smith, M. The role of multiracial identity integration in the relation between racial discrimination and depression in multiracial young adults. Prof. Psychol. Res. Pract. 2020, 51, 317. [Google Scholar] [CrossRef]
- Christophe, N.K.; Atkin, A.L.; Stein, G.L.; Chan, M.; The LOVING Study Collaborative; Abidog, C.; Gabriel, A.K.; Lee, R.M.; Wu, C.S.; Yoo, H.C. Examining multiracial pride, identity-based challenges, and discrimination: An exploratory investigation among biracial emerging adults. Race Soc. Probl. 2021, 14, 22–38. [Google Scholar] [CrossRef]
- Barr, D.A. Health Disparities in the United States: Social Class, Race, Ethnicity, and the Social Determinants of Health; JHU Press: Baltimore, MD, USA, 2019. [Google Scholar]
- Braveman, P. The Social Determinants of Health and Health Disparities; Oxford University Press: New York, NY, USA, 2023. [Google Scholar]
- Keyes, K.; Hatzenbuehler, M.; Grant, B.F.; Hasin, D.S. Stress and alcohol: Epidemiologic evidence. Alcohol Res. Curr. Rev. 2012, 34, 391. [Google Scholar]
- Guinle, M.I.B.; Sinha, R. The role of stress, trauma, and negative affect in alcohol misuse and alcohol use disorder in women. Alcohol Res. Curr. Rev. 2020, 40, 5. [Google Scholar] [CrossRef]
- Schuller, T.; Preston, J.; Hammond, C.; Brassett-Grundy, A.; Bynner, J. The Benefits of Learning: The Impact of Education on Health, Family Life and Social Capital; Routledge: London, UK, 2004. [Google Scholar]
- Allen, D. Education and Equality; University of Chicago Press: Chicago, IL, USA, 2020. [Google Scholar]
- Gilligan, R. Adversity, resilience and the educational progress of young people in public care. Emot. Behav. Difficulties 2007, 12, 135–145. [Google Scholar] [CrossRef]
- Maiztegui-Oñate, C.; Santibáñez-Gruber, R. Access to education and equity in plural societies. Intercult. Educ. 2008, 19, 373–381. [Google Scholar] [CrossRef]
- Mahmoud, J.S.R.; Staten, R.T.; Hall, L.A.; Lennie, T.A. The relationship among young adult college students’ depression, anxiety, stress, demographics, life satisfaction, and coping styles. Issues Ment. Health Nurs. 2012, 33, 149–156. [Google Scholar] [CrossRef]
- Sellers, R.M.; Caldwell, C.H.; Schmeelk-Cone, K.H.; Zimmerman, M.A. Racial identity, racial discrimination, perceived stress, and psychological distress among African American young adults. J. Health Soc. Behav. 2003, 44, 302–317. [Google Scholar] [CrossRef] [PubMed]
- Woods-Giscombé, C.L.; Lobel, M. Race and gender matter: A multidimensional approach to conceptualizing and measuring stress in African American women. Cult. Divers. Ethn. Minor. Psychol. 2008, 14, 173. [Google Scholar] [CrossRef] [PubMed]
- Cobb, S. Social support as a moderator of life stress. Psychosom. Med. 1976, 38, 300–314. [Google Scholar] [CrossRef] [PubMed]
- Mann, C. Observational research methods. Research design II: Cohort, cross sectional, and case-control studies. Emerg. Med. J. 2003, 20, 54–60. [Google Scholar] [CrossRef]
- Emerson, E.; Fortune, N.; Llewellyn, G.; Stancliffe, R. Loneliness, social support, social isolation and wellbeing among working age adults with and without disability: Cross-sectional study. Disabil. Health J. 2021, 14, 100965. [Google Scholar] [CrossRef]





| Ethnicity | Mean Allostatic Load | SE Allostatic Load | CI Allostatic Load | Mean PHQ | SE PHQ | CI PHQ |
|---|---|---|---|---|---|---|
| Mexican American | 4.2296 | 0.2862 | 3.6196, 4.8396 | 5.0682 | 0.7371 | 3.4972, 6.6391 |
| Other Hispanic | 3.6062 | 0.5801 | 2.3687, 4.8438 | 5.876 | 1.2775 | 3.1532, 8.5988 |
| Non-Hispanic White | 3.5735 | 0.1775 | 3.1952, 3.9518 | 4.967 | 0.5938 | 3.7014, 6.2325 |
| Non-Hispanic Black | 2.9964 | 0.2148 | 2.5387, 3.4542 | 4.4955 | 0.5053 | 3.4186, 5.5724 |
| Non-Hispanic Asian | 3.3493 | 0.3598 | 2.5824, 4.1163 | 1.7706 | 0.4471 | 0.8177, 2.7235 |
| Other Race—Including Multi-Racial | 4.6127 | 0.4111 | 3.7366, 5.4889 | 6.0197 | 0.9326 | 4.0319, 8.0074 |
| Variable | Coefficient | Std. Err. | p-Value | 95% Conf. Interval |
|---|---|---|---|---|
| Allostatic Load | 1.1214 | 0.4831 | 0.035 | 0.0916, 2.1512 |
| Other Hispanic | 1.2791 | 3.2537 | 0.7 | −5.656, 8.2142 |
| Non-Hispanic White | 4.8 | 3.0224 | 0.133 | −1.6421, 11.242 |
| Non-Hispanic Black | 4.0182 | 2.4749 | 0.125 | −1.257, 9.2934 |
| Non-Hispanic Asian | −1.0839 | 2.3677 | 0.654 | −6.1306, 3.9628 |
| Other Race—Including Multi-Racial | 5.2123 | 2.726 | 0.075 | −0.5981, 11.0226 |
| Allostatic Load × Other Hispanic | 0.0631 | 0.7564 | 0.935 | −1.5492, 1.6755 |
| Allostatic Load × Non-Hispanic White | −1.1656 | 0.655 | 0.099 | −2.5617, 0.2304 |
| Allostatic Load × Non-Hispanic Black | −0.1068 | 0.5641 | 0.851 | −1.2072, 0.9937 |
| Allostatic Load × Non-Hispanic Asian | −0.3663 | 0.4949 | 0.463 | −1.4212, 0.6887 |
| Allostatic Load × Other Race—Including Multi-Racial | −1.0168 | 0.6237 | 0.119 | −2.3462, 0.3125 |
| (a) | ||||||
| Factor | Eigenvalue | Difference | Proportion | Cumulative | ||
| Factor1 | 1.0956 | 0.1912 | 0.5478 | 0.5478 | ||
| Factor2 | 0.9044 | 0.4522 | 1.0 | |||
| (b) | ||||||
| Variable | Factor1 Loading | Uniqueness | ||||
| Allostatic Load | 0.7401 | 0.4522 | ||||
| PHQ | 0.7401 | 0.4522 | ||||
| Variable | Group | groupPIP | condPIP |
|---|---|---|---|
| alcohol | 1 | 0.8992 | 0.9575 |
| smoking | 1 | 0.8992 | 0.0425 |
| income | 2 | 0.5118 | 0.2575 |
| education | 2 | 0.5118 | 0.7425 |
Disclaimer/Publisher’s Note: The statements, opinions and data contained in all publications are solely those of the individual author(s) and contributor(s) and not of MDPI and/or the editor(s). MDPI and/or the editor(s) disclaim responsibility for any injury to people or property resulting from any ideas, methods, instructions or products referred to in the content. |
© 2025 by the authors. Licensee MDPI, Basel, Switzerland. This article is an open access article distributed under the terms and conditions of the Creative Commons Attribution (CC BY) license (https://creativecommons.org/licenses/by/4.0/).
Share and Cite
Obeng-Gyasi, E.; Parker, S. Combined Effects of Social and Behavioral Factors on Stress and Depression. Diseases 2025, 13, 46. https://doi.org/10.3390/diseases13020046
Obeng-Gyasi E, Parker S. Combined Effects of Social and Behavioral Factors on Stress and Depression. Diseases. 2025; 13(2):46. https://doi.org/10.3390/diseases13020046
Chicago/Turabian StyleObeng-Gyasi, Emmanuel, and Sonya Parker. 2025. "Combined Effects of Social and Behavioral Factors on Stress and Depression" Diseases 13, no. 2: 46. https://doi.org/10.3390/diseases13020046
APA StyleObeng-Gyasi, E., & Parker, S. (2025). Combined Effects of Social and Behavioral Factors on Stress and Depression. Diseases, 13(2), 46. https://doi.org/10.3390/diseases13020046

