Developing Efficient Discrete Simulations on Multicore and GPU Architectures
Abstract
1. Introduction
2. Related Work
3. Materials and Methods
3.1. Cellular Automaton Model for Laser Dynamics Simulation
- (a)
- A regular lattice in a two-dimensional space of cells. Each lattice position is labelled by the indices . In order to avoid boundary problems and to best simulate the properties of a macroscopic system, we use periodic boundary conditions.
- (b)
- The state variables associated with each node . In the case of a laser system, we need two variables: one for the lasing medium and the other for the number of laser photons . is a boolean variable: 1 represents the excited state of the electron in the lasing medium in cell and 0 is the ground state. For the photons, is an integer variable in the range , where M is an upper limit that represent, the number of laser photons in cell . The state variables and represent “bunches” of real photons and electrons, the values of which are obviously smaller than the real number of photons and electrons in the system and are connected to them by a normalization constant.
- (c)
- The neighborhood of a cell. In a cellular automata the state variables can change depending on the neighboring cells. In the laser model studied here [16], the Moore neighborhood is employed: the neighborhood of a cell consists of the cell itself and the eight cells around it at positions north, south, east, west, northeast, southeast, northwest, and southwest.
- (d)
- The evolution rules that specify the state variables at time as a function of their state at time t. From a microscopic point of view the physics of a laser can be described by five processes:
- (i)
- The pumping of the ground state of the laser medium to the excited state. In this way energy is supplied to the lasing medium. This process is considered to be probabilistic: If , then with a probability .
- (ii)
- The stimulated emission by which a new photon is created when an excited laser medium cell surrounded by one or more photons decays to the ground state: If and the sum of the values of the laser photons states in its neighboring cells is greater than 1, then and .
- (iii)
- The non-radiative decaying of the excited state. After a finite time , an excited laser medium cell will go to the ground state without the generation of any photon.
- (iv)
- The photon decay. After a given time , photons escape and their number is decreased by one unit .
- (v)
- Thermal noise. In a real laser system, there is a thermal noise of photons produced by spontaneous emissions, and they cause the initial start-up of the laser action. Therefore in our CA model, a small number of photons (less than ) are added at random positions at each time step.
3.2. Sequential Implementation of the Model
| Algorithm 1 Pseudo code description of the main program for the CA laser model. |
|
| Algorithm 2 Pseudo code diagram for the implementation of the noise photons rule. |
|
| Algorithm 3 Pseudo code diagram for the implementation of the photon and electron decay and evolution of temporal variables’ rules. |
|
| Algorithm 4 Pseudo code diagram for the implementation of the pumping and stimulated emission rules. |
|
3.3. Parallel Frameworks for Efficient CA Laser Dynamics Simulation
- -
- More than 80% of the mean execution time is spent in stimulated emission and pumping rules. What is more, their execution times have a considerable variance: minimum times are around five times lower than maximum times. This asserts the effect of random values and the difficult to predict evolution of different cell particles.
- -
- Random number computation supposes around the 70% of the pumping rule time.
- -
- The rest of time resides mainly in photon and electron decay. The oscillatory behavior of particle evolution during the stationary phase implies also a considerable variance in these times. This is even more exaggerated during transient evolution.
- -
- Noise photon rule timing is negligible, because this rule has a much smaller number of iterations than the other rules.
- -
- Of course, avoiding non re-entrant functions, such as simple random numbers generators. Even more, although generating a seed for each thread should be enough to make random generation independent among threads, the deep inner real data dependencies that random functions contain last in the mean longer than the rest of an iteration step. An implementation similar to that of the library is preferable; that is, a seed for each cell , which preserves a good random distribution while it accelerates each step around 40%.
- -
- As only one electron per cell is allowed, suppressing the matrix. Thus, it is considered that if is zero, the electron is not excited; and it is excited elsewhere.
- -
- Eliminating the refresh of c matrix (which supposes copying long matrices) with values of (line 9 of Algorithm 1), by using pointers to these two matrices and swapping these pointers at the end of each iteration step.
3.3.1. OpenMP Framework
- -
- After a deeper examination of laser dynamics evolution, it was detected that very few cells contained more than one photon during the stationary evolution. Thus, the habitual matrix arrangement of variable ; that is, when consecutively storing the M values for each cell, is switched by the following one. All the cells are stored consecutively for each of the M possible photons. In terms of the C++ code, this three-dimensional matrix is represented by: (see matrix in the code). The new arrangement implies that all elements of are continuously used and then cached, but the rest of elements are scarcely used, so they do not consume precious cache lines. On the contrary, if the habitual matrix arrangement had been used, it would have wasted many cache bytes (almost only 1 of each M element would have been really used during the stationary period). The rest of code pieces where this matrix is manipulated are not decelerated by the new arrangement; e.g., very few cells generate a shifting from to , (), when a photon decays.
- -
- While previous improvement avoids cache line wasting, memory consumption is another fundamental issue. The analysis of real values of the large matrices leads to the conclusion that maximum values are small for most physical variables. Thus, instead of 32 bits per element ( variables in C++), real sizes in the optimized version have been reduced to unsigned short int and unsigned char whenever possible. More exactly, this supposed reducing memory size from: to (see matrices in the optimized code).
- -
- In order to promote loop vectorization, some conditional branches have been transformed into simple functions. For example, those conditional sentences that increment a counter q when a certain condition p is true have been written like . This eases the task of the compiler when introducing SIMD instructions and predicative-like code and prevents many BTB (branch target buffer) misprediction penalties, because these conditions are difficult to predict (due to the stochastic nature of particle state evolution).
- -
- Loop splitting is another classical technique that reduces execution time when memory consumption is huge, and the loop manages much disjointed data. This occurs in the case of photon and electron decay rules, which have been separated into two different loops in the optimized version. This way, caches are not struggled with by several matrixes, thereby preventing many conflict misses on them.
3.3.2. CUDA Framework
4. Results
4.1. Multicore Architecture
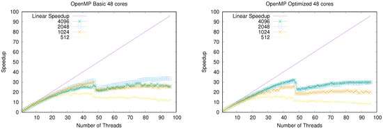
4.1.1. High-End Multicore CPUs (48 Cores)
4.1.2. Consumer-Oriented Multicore CPU (Eight Cores)
4.2. GPU Architecture
4.2.1. High-End GPU Chip
4.2.2. Consumer-Oriented GPU Chip
4.3. Performance and Scalability Results
5. Conclusions and Future Lines
Author Contributions
Funding
Conflicts of Interest
References
- Talia, D.; Naumov, N. Parallel cellular programming for emergent computation. In Simulating Complex Systems by Cellular Automata; Springer: Berlin/Heidelberg, Germany, 2010; pp. 357–384. [Google Scholar]
- Bandini, S.; Mauri, G.; Serra, R. Cellular automata: From a theoretical parallel computational model to its application to complex systems. Parallel Comput. 2001, 27, 539–553. [Google Scholar] [CrossRef]
- Wolfram, S. Cellular Automata and Complexity; Addison-Wesley: Reading, MA, USA, 1994. [Google Scholar]
- Ilachinski, A. Cellular Automata: A Discrete Universe; World Scientific: Singapore, 2001; p. 808. [Google Scholar]
- Sayama, H. Introduction to the Modeling and Analysis of Complex Systems; Open SUNY Textbooks. 14: Geneseo, NY, USA, 2015. [Google Scholar]
- Chopard, B.; Droz, M. Cellular Automata Modeling of Physical Systems; Cambridge University Press: Cambridge, MA, USA, 1998. [Google Scholar]
- Sloot, P.; Hoekstra, A. Modeling Dynamic Systems with Cellular Automata. In Handbook of Dynamic System Modeling; Fishwick, P., Ed.; Chapman & Hall/CRC: London, UK, 2007. [Google Scholar]
- Hoekstra, A.G.; Kroc, J.; Sloot, P.M. (Eds.) Simulating Complex Systems by Cellular Automata; Springer: Berlin/Heidelberg, Germany, 2010. [Google Scholar]
- Gounaridis, D.; Chorianopoulos, I.; Koukoulas, S. Exploring prospective urban growth trends under different economic outlooks and land-use planning scenarios: The case of Athens. Appl. Geogr. 2018, 90, 134–144. [Google Scholar] [CrossRef]
- Aburas, M.M.; Ho, Y.M.; Ramli, M.F.; Ash’aari, Z.H. The simulation and prediction of spatio-temporal urban growth trends using cellular automata models: A review. Int. J. Appl. Earth Obs. Geoinf. 2016, 52, 380–389. [Google Scholar] [CrossRef]
- Liu, X.; Liang, X.; Li, X.; Xu, X.; Ou, J.; Chen, Y.; Li, S.; Wang, S.; Pei, F. A future land use simulation model (FLUS) for simulating multiple land use scenarios by coupling human and natural effects. Landsc. Urban Plan. 2017, 168, 94–116. [Google Scholar] [CrossRef]
- Qiang, S.; Jia, B.; Huang, Q.; Jiang, R. Simulation of free boarding process using a cellular automaton model for passenger dynamics. Nonlinear Dyn. 2018. [Google Scholar] [CrossRef]
- Tang, T.Q.; Luo, X.F.; Zhang, J.; Chen, L. Modeling electric bicycle’s lane-changing and retrograde behaviors. Phys. A Stat. Mech. Its Appl. 2018, 490, 1377–1386. [Google Scholar] [CrossRef]
- Monteagudo, A.; Santos, J. Treatment Analysis in a Cancer Stem Cell Context Using a Tumor Growth Model Based on Cellular Automata. PLoS ONE 2015, 10, e0132306. [Google Scholar] [CrossRef]
- Burkhead, E.; Hawkins, J. A cellular automata model of Ebola virus dynamics. Phys. A Stat. Mech. Appl. 2015, 438, 424–435. [Google Scholar] [CrossRef]
- Guisado, J.; Jiménez-Morales, F.; Guerra, J. Cellular automaton model for the simulation of laser dynamics. Phys. Rev. E 2003, 67, 66708. [Google Scholar] [CrossRef]
- Guisado, J.; Jiménez-Morales, F.; Guerra, J. Computational simulation of laser dynamics as a cooperative phenomenon. Phys. Scr. 2005, T118, 148–152. [Google Scholar] [CrossRef]
- Guisado, J.; Jiménez-Morales, F.; Guerra, J. Simulation of the dynamics of pulsed pumped lasers based on cellular automata. Lect. Notes Comput. Sci. 2004, 3305, 278–285. [Google Scholar]
- Kroc, J.; Jimenez-Morales, F.; Guisado, J.L.; Lemos, M.C.; Tkac, J. Building Efficient Computational Cellular Automata Models of Complex Systems: Background, Applications, Results, Software, and Pathologies. Adv. Complex Syst. 2019, 22, 1950013. [Google Scholar] [CrossRef]
- Guisado, J.; Fernández-de Vega, F.; Jiménez-Morales, F.; Iskra, K. Parallel implementation of a cellular automaton model for the simulation of laser dynamics. Lect. Notes Comput. Sci. 2006, 3993, 281–288. [Google Scholar] [CrossRef]
- Guisado, J.; Jiménez-Morales, F.; Fernández-de Vega, F. Cellular automata and cluster computing: An application to the simulation of laser dynamics. Adv. Complex Syst. 2007, 10, 167–190. [Google Scholar] [CrossRef]
- Guisado, J.; Fernandez-de Vega, F.; Iskra, K. Performance analysis of a parallel discrete model for the simulation of laser dynamics. In Proceedings of the International Conference on Parallel Processing Workshops, Columbus, OH, USA, 14–18 August 2006; pp. 93–99. [Google Scholar]
- Guisado, J.; Fernández de Vega, F.; Jiménez-Morales, F.; Iskra, K.; Sloot, P. Using cellular automata for parallel simulation of laser dynamics with dynamic load balancing. Int. J. High Perform. Syst. Archit. 2008, 1, 251–259. [Google Scholar] [CrossRef]
- GPGPU. General-Purpose Computation on Graphics Hardware. Available online: https://web.archive.org/web/20181109070804/http://gpgpu.org/ (accessed on 9 November 2018).
- Lopez-Torres, M.; Guisado, J.; Jimenez-Morales, F.; Diaz-del Rio, F. GPU-based cellular automata simulations of laser dynamics. In Proceedings of the XXIII Jornadas de Paralelismo, Elche, Spain, 19–21 September 2012; pp. 261–266. [Google Scholar]
- Gobron, S.; Devillard, F.; Heit, B. Retina simulation using cellular automata and GPU programming. Mach. Vis. Appl. J. 2007, 18, 331–342. [Google Scholar] [CrossRef]
- Rybacki, S.; Himmelspach, J.; Uhrmacher, A. Experiments With Single Core, Multi Core, and GPU-based Computation of Cellular Automata. In Proceedings of the 2009 First International Conference on Advances in System Simulation, Porto, Portugal, 20–25 September 2009. [Google Scholar]
- Bajzát, T.; Hajnal, E. Cell Automaton Modelling Algorithms: Implementation and Testing in GPU Systems. In Proceedings of the 2011 15th IEEE International Conference on Intelligent Engineering Systems, Poprad, Slovakia, 23–25 June 2011. [Google Scholar]
- Balasalle, J.; Lopez, M.; Rutherford, M. Optimizing Memory Access Patterns for Cellular Automata on GPUs. In GPU Computing Gems Jade Edition; Elsevier: Burlington, MA, USA, 2011; pp. 67–75. [Google Scholar]
- Geist, R.; Westall, J. Lattice-Boltzmann Lighting Models. In GPU Computing Gems, Emerald Edition; Elsevier: Burlington, MA, USA, 2011; pp. 381–399. [Google Scholar]
- Gibson, M.J.; Keedwell, E.C.; Savić, D.A. An investigation of the efficient implementation of cellular automata on multi-core CPU and GPU hardware. J. Parallel Distrib. Comput. 2015, 77, 11–25. [Google Scholar] [CrossRef]
- Jongerius, R.; Anghel, A.; Dittmann, G. Analytic Multi-Core Processor Model for Fast Design-Space Exploration. IEEE Trans. Comput. 2018, 67, 755–770. [Google Scholar] [CrossRef]
- NVIDIA. CUDA C Best Practices Guide Version. Available online: http://developer.nvidia.com/ (accessed on 10 December 2019).
- O’Neill, M.E. PCG: A Family of Simple Fast Space-Efficient Statistically Good Algorithms for Random Number Generation; Technical Report HMC-CS-2014-0905; Harvey Mudd College: Claremont, CA, USA, 2014. [Google Scholar]
- Williams, S.; Waterman, A.; Patterson, D. Roofline: An insightful visual performance model for multicore architectures. Commun. ACM 2009, 52, 65–76. [Google Scholar] [CrossRef]
- Hennessy, J.; Patterson, D. Computer Architecture: A Quantitative Approach, 6th ed.; Elsevier: Burlington, MA, USA, 2017; Volume 19. [Google Scholar]
- Guyeux, C.; Couturier, R.; Héam, P.C.; Bahi, J.M. Efficient and cryptographically secure generation of chaotic pseudorandom numbers on GPU. J. Supercomput. 2015, 71, 3877–3903. [Google Scholar] [CrossRef]
- Wang, L.; Cheng, H. Pseudo-Random Number Generator Based on Logistic Chaotic System. Entropy 2019, 21, 960. [Google Scholar] [CrossRef]







© 2020 by the authors. Licensee MDPI, Basel, Switzerland. This article is an open access article distributed under the terms and conditions of the Creative Commons Attribution (CC BY) license (http://creativecommons.org/licenses/by/4.0/).
Share and Cite
Cagigas-Muñiz, D.; Diaz-del-Rio, F.; López-Torres, M.R.; Jiménez-Morales, F.; Guisado, J.L. Developing Efficient Discrete Simulations on Multicore and GPU Architectures. Electronics 2020, 9, 189. https://doi.org/10.3390/electronics9010189
Cagigas-Muñiz D, Diaz-del-Rio F, López-Torres MR, Jiménez-Morales F, Guisado JL. Developing Efficient Discrete Simulations on Multicore and GPU Architectures. Electronics. 2020; 9(1):189. https://doi.org/10.3390/electronics9010189
Chicago/Turabian StyleCagigas-Muñiz, Daniel, Fernando Diaz-del-Rio, Manuel Ramón López-Torres, Francisco Jiménez-Morales, and José Luis Guisado. 2020. "Developing Efficient Discrete Simulations on Multicore and GPU Architectures" Electronics 9, no. 1: 189. https://doi.org/10.3390/electronics9010189
APA StyleCagigas-Muñiz, D., Diaz-del-Rio, F., López-Torres, M. R., Jiménez-Morales, F., & Guisado, J. L. (2020). Developing Efficient Discrete Simulations on Multicore and GPU Architectures. Electronics, 9(1), 189. https://doi.org/10.3390/electronics9010189

