Two-Degree-of-Freedom Proportional Integral Controllers for Stability Enhancement of Power Electronic Converters in Weak Grids: Inverter and Rectifier Operating Modes
Abstract
1. Introduction
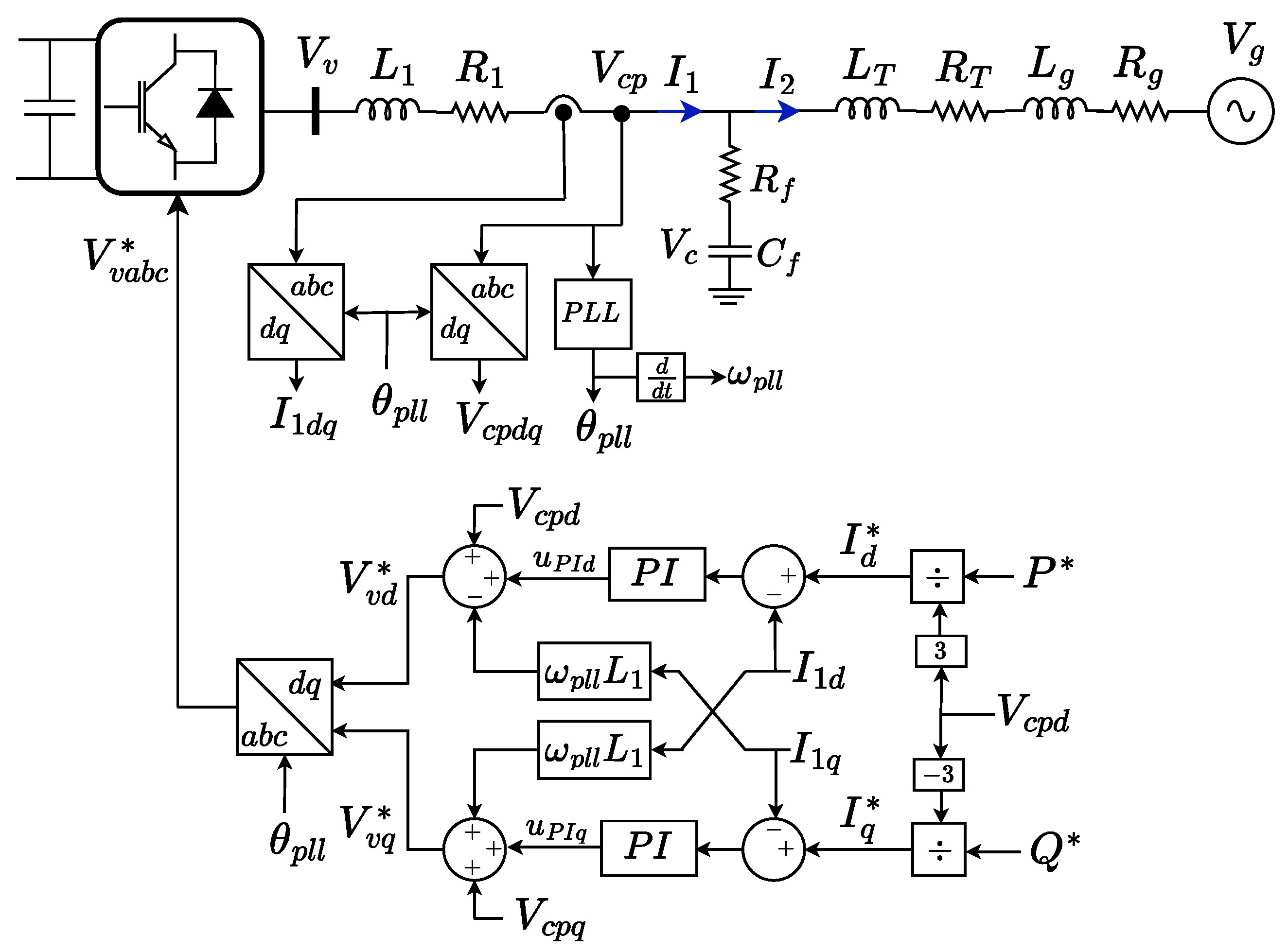
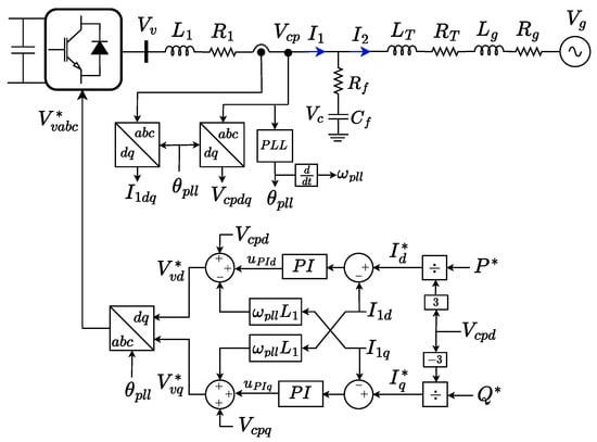
2. System Description
3. Small-Signal Model
3.1. State-Space Representation
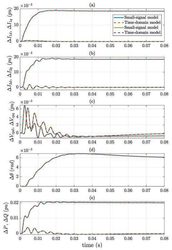
3.2. Model Validation
4. System Stability
4.1. PLL Bandwidth
4.1.1. Inverter Mode
4.1.2. Rectifier Mode
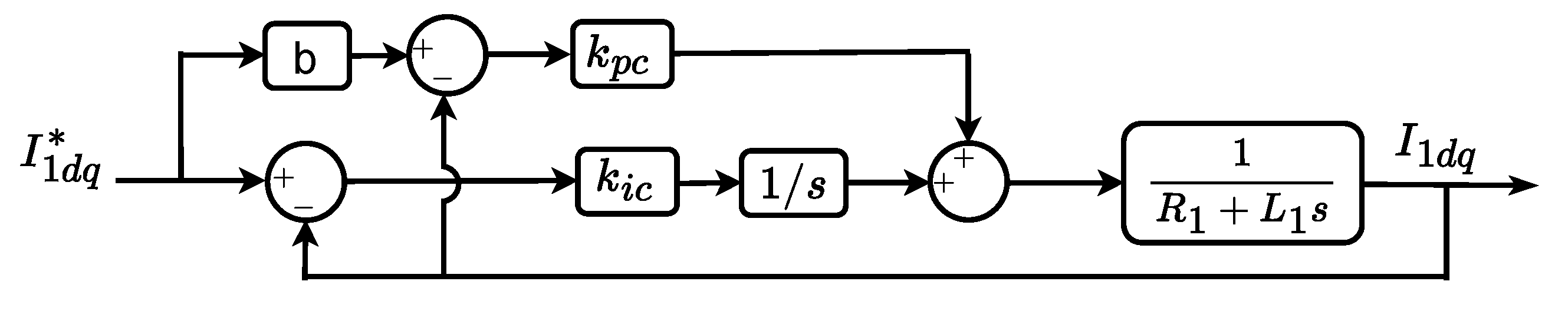
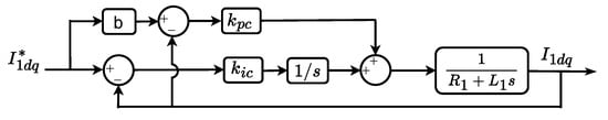
4.2. Current Controllers
4.3. Weighting Factor b of Current Controllers
5. Robustness and Performance Analysis
6. Conclusions
- During inverter operation, a low PLL bandwidth improves the system stability, enabling the connection of VSCs to weaker grids. Conversely, during rectifier operation, a high PLL bandwidth enhances the system stability.
- The settling time of the inner current control loops has a minor impact on the stability during inverter operation, with faster current controls only marginally increasing the stability. Conversely, faster current control loops significantly reduce the stability margins during rectifier operation, potentially leading to system instability.
- The reference weighting factor b of the 2DOF-PI used in the current loops has a minor impact on the stability during inverter operation, with smaller values of b worsening the stability. On the contrary, lower values of b improve the system stability during rectifier operation, with b having a significant impact.
- During rectifier operation, although a lower value of the parameter b reduces the stability limits, it enhances system performance for typical PLL and current controller design parameters by increasing the damping, consequently reducing oscillations.
Author Contributions
Funding
Data Availability Statement
Conflicts of Interest
Abbreviations
| 2DOF-PI | Two-Degree-of-Freedom Proportional Integral |
| GFL | Grid Following |
| GFM | Grid Forming |
| PI | Proportional Integral |
| PCC | Point of common coupling |
| PLL | Phase-Locked Loop |
| SCR | Short circuit ratio |
| VCC | Vector current control |
| VSC | Voltage Source Converter |
Appendix A


References
- Official Journal of the European Union. DIRECTIVE (EU) 2023/2413 Amending Directive (EU) 2018/2001, Regulation (EU) 2018/1999 and Directive 98/70/EC as Regards the Promotion of Energy from Renewable Sources. Available online: https://eur-lex.europa.eu/legal-content/EN/TXT/PDF/?uri=OJ:L_202302413 (accessed on 18 February 2025).
- Spanish Government. Plan Nacional Integrado de Energía y Clima (PNIEC) 2021–2030. Actualización del PNIEC 2023–2030. Available online: https://www.miteco.gob.es/content/dam/miteco/es/energia/files-1/_layouts/15/Borrador%20para%20la%20actualizaci%C3%B3n%20del%20PNIEC%202023-2030-64347.pdf (accessed on 18 February 2025).
- Kong, L.; Xue, Y.; Qiao, L.; Wang, F. Review of Small-Signal Converter-Driven Stability Issues in Power Systems. IEEE Open Access J. Power Energy 2022, 9, 29–41. [Google Scholar] [CrossRef]
- Chen, X.; Huang, T.; Zhang, D. Modeling, Control and Stability Analysis of Power Systems Dominated by Power Electronics. Energies 2022, 15, 6041. [Google Scholar] [CrossRef]
- Peng, Q.; Jiang, Q.; Yang, Y.; Liu, T.; Wang, H.; Blaabjerg, F. On the Stability of Power Electronics-Dominated Systems: Challenges and Potential Solutions. IEEE Trans. Ind. Appl. 2019, 55, 7657–7670. [Google Scholar] [CrossRef]
- Qays, M.O.; Ahmad, I.; Habibi, D.; Aziz, A.; Mahmoud, T. System strength shortfall challenges for renewable energy-based power systems: A review. Renew. Sustain. Energy Rev. 2023, 183, 113447. [Google Scholar] [CrossRef]
- Huang, Y.; Ma, R.; Zhan, M. Stability Analysis and Subsynchronous Oscillation of Grid-Tied VSC Under Different Grid Strengths. In Proceedings of the 2021 IEEE 4th International Electrical and Energy Conference (CIEEC), Wuhan, China, 28–30 May 2021; pp. 1–6. [Google Scholar] [CrossRef]
- Shakerighadi, B.; Johansson, N.; Eriksson, R.; Mitra, P.; Bolzoni, A.; Clark, A.; Nee, H.P. An overview of stability challenges for power-electronic-dominated power systems: The grid-forming approach. IET Gener. Transm. Distrib. 2023, 17, 284–306. [Google Scholar] [CrossRef]
- Blaabjerg, F. Control of Power Electronic Converters and Systems; Academic Press: Cambridge, MA, USA, 2021. [Google Scholar]
- Gao, X.; Zhou, D.; Anvari-Moghaddam, A.; Blaabjerg, F. Stability Analysis of Grid-Following and Grid-Forming Converters Based on State-Space Modelling. IEEE Trans. Ind. Appl. 2024, 60, 4910–4920. [Google Scholar] [CrossRef]
- Wu, X.; Du, Z.; Yuan, X.; Li, Y. Analytical investigation of factors affecting small-signal stability of grid-connected VSC. Int. J. Electr. Power Energy Syst. 2023, 153, 109347. [Google Scholar] [CrossRef]
- Wu, G.; Sun, H.; Zhang, X.; Egea-Àlvarez, A.; Zhao, B.; Xu, S.; Wang, S.; Zhou, X. Parameter Design Oriented Analysis of the Current Control Stability of the Weak-Grid-Tied VSC. IEEE Trans. Power Deliv. 2021, 36, 1458–1470. [Google Scholar] [CrossRef]
- Wu, X.; Du, Z.; Li, Y.; Yuan, X. Stability Analysis of Grid-Connected VSC Dominated by PLL Using Electrical Torque Method. IEEE Trans. Energy Convers. 2022, 37, 1864–1874. [Google Scholar] [CrossRef]
- Kocewiak, L.; Blasco-Gimenez, R.; Buchhagen, C.; Kwon, J.B.; Larsson, M.; Trevisan, A.S.; Sun, Y.; Wang, X. Instability mitigation methods in modern converter-based power systems. In Proceedings of the 20th International Workshop on Large-Scale Integration of Wind Power into Power Systems as well as on Transmission Networks for Offshore Wind Power Plants (WIW 2021), Berlin, Germany, 29–30 September 2021; pp. 464–480. [Google Scholar] [CrossRef]
- Morris, J.F.; Ahmed, K.H.; Egea-Àlvarez, A. Analysis of Controller Bandwidth Interactions for Vector-Controlled VSC Connected to Very Weak AC Grids. IEEE J. Emerg. Sel. Top. Power Electron. 2021, 9, 7343–7354. [Google Scholar] [CrossRef]
- Diaz-Sanahuja, C.; Peñarrocha-Alós, I.; Vidal-Albalate, R. Multivariable phase-locked loop free strategy for power control of grid-connected voltage source converters. Electric Power Syst. Res. 2022, 210, 108084. [Google Scholar] [CrossRef]
- Yin, R.; Sun, Y.; Wang, S.; Zhao, B.; Wu, G.; Qin, S.; Yu, L.; Zhao, Y. Modeling and stability analysis of grid-tied VSC considering the impact of voltage feed-forward. Int. J. Electr. Power Energy Syst. 2022, 135, 107483. [Google Scholar] [CrossRef]
- Liu, A.; Liu, J. Stability analysis and improved control of voltage source converters based on impedance models in weak grids. Electr. Eng. 2025, 107, 1265–1280. [Google Scholar] [CrossRef]
- Wang, W.; Li, K.; Sun, K.; Wang, J. Operation Zone Analysis of the Voltage Source Converter Based on the Influence of Different Grid Strengths. Symmetry 2022, 14, 153. [Google Scholar] [CrossRef]
- Burgos-Mellado, C.; Costabeber, A.; Sumner, M.; Cárdenas-Dobson, R.; Sáez, D. Small-Signal Modelling and Stability Assessment of Phase-Locked Loops in Weak Grids. Energies 2019, 12, 1227. [Google Scholar] [CrossRef]
- Dimitropoulos, D.; Wang, X.; Blaabjerg, F. Stability Analysis in Multi-VSC (Voltage Source Converter) Systems of Wind Turbines. Appl. Sci. 2024, 14, 3519. [Google Scholar] [CrossRef]
- Zhang, L.; Harnefors, L.; Nee, H.P. Power-Synchronization Control of Grid-Connected Voltage-Source Converters. IEEE Trans. Power Syst. 2010, 25, 809–820. [Google Scholar] [CrossRef]
- Liu, A.; Cao, H.; Liu, J. Enhancing stability control of Phase-Locked loop in weak power grids. Int. J. Electr. Power Energy Syst. 2024, 161, 110145. [Google Scholar] [CrossRef]
- Ling, Z.; Xu, J.; Wu, Y.; Hu, Y.; Xie, S. Adaptive Tuning of Phase-Locked Loop Parameters for Grid-Connected Inverters in Weak Grid Cases. In Proceedings of the 2021 IEEE 16th Conference on Industrial Electronics and Applications (ICIEA), Chengdu, China, 1–4 August 2021. [Google Scholar] [CrossRef]
- Wang, M.; Milanović, J.V. The Impacts of Demand Side Management on Combined Frequency and Angular Stability of the Power System. IEEE Trans. Power Syst. 2023, 38, 3775–3786. [Google Scholar] [CrossRef]
- Song, M.; Amelin, M.; Shayesteh, E.; Hilber, P. Impacts of flexible demand on the reliability of power systems. In Proceedings of the 2018 IEEE Power & Energy Society Innovative Smart Grid Technologies Conference (ISGT), Washington, DC, USA, 19–22 February 2018; pp. 1–5, ISSN 2472-8152. [Google Scholar] [CrossRef]
- Taguchi, H.; Araki, M. Two-Degree-of-Freedom PID Controllers — Their Functions and Optimal Tuning. IFAC Proc. Vol. 2000, 33, 91–96. [Google Scholar] [CrossRef]
- Brantsæter, H.; Kocewiak, L.; Ardal, A.R.; Tedeschi, E. Passive Filter Design and Offshore Wind Turbine Modelling for System Level Harmonic Studies. Energy Procedia 2015, 80, 401–410. [Google Scholar] [CrossRef]
- IEEE Std 1547-2018; IEEE Standard for Interconnection and Interoperability of Distributed Energy Resources with Associated Electric Power Systems Interfaces. Institute of Electrical and Electronics Engineers: Piscataway, NJ, USA, 2018. Available online: https://standards.ieee.org/ieee/1547/5915/ (accessed on 8 April 2025).
- IEEE Std 2800-2022; IEEE Standard for Interconnection and Interoperability Requirements for Inverter-Based Resources Interconnecting with Associated Transmission Electric Power Systems. Institute of Electrical and Electronics Engineers: Piscataway, NJ, USA, 2022. Available online: https://standards.ieee.org/ieee/2800/10453/ (accessed on 8 April 2025).
- Skogestad, S.; Postlethwaite, I. Multivariable Feedback Control: Analysis and Design, 2nd ed.; Wiley: Chichester, UK, 2005. [Google Scholar]
- Kaspirek, M.; Mikulas, L.; Mezera, D.; Prochazka, K.; Santarius, P.; Krejci, P. Analysis of voltage quality parameters in MV distribution grid. In Proceedings of the 24th International Conference & Exhibition on Electricity Distribution (CIRED), Glasgow, UK, 12–15 June 2017; Volume 2017, pp. 517–521. [Google Scholar] [CrossRef][Green Version]




















| Description | Parameter | Value |
|---|---|---|
| Transformer leakage inductance | 112.7 mH | |
| Transformer copper resistance | 1.416 | |
| Filter capacitance | 0.623 F | |
| Damping resistance of the filter | 104.1 | |
| Filter inductance | 150.7 mH | |
| Filter copper resistance | 1.890 | |
| Line-to-ground grid voltage | 38.11 kV | |
| Converter rated active power | P | 8 MW |
| Grid angular frequency | rad/s |
| Description | Parameter | Value |
|---|---|---|
| Grid SCR | 4 | |
| Grid ratio | 10 | |
| Proportional gain of the current PI controllers | 57 V/A | |
| Integral gain of the current PI controllers | 7100 V/As | |
| Reference weighting factor for the current PI controllers | b | |
| Proportional gain of the PLL PI controller | 125 rad/s | |
| Integral gain of the PLL PI controller | 4000 rad/s2 |
| Variable | (A) | (A) | (A) | (A) | (kV) | (rad) |
| Value | 47.467 | −15.457 | 47.299 | −24.066 | 42.117 | 0.204 |
| Settling Time (ms) | b | ||
|---|---|---|---|
| 5 | 239.2 | 1.12 × | 0.75 |
| 10 | 118.7 | 2.78 × | 0.75 |
| 15 | 78.5 | 1.24 × | 0.75 |
| 20 | 58.4 | 6.97 × | 0.75 |
| 20 | 46.3 | 4.46 × | 0.75 |
| 30 | 38.3 | 3.10 × | 0.75 |
| Controller | (Hz) | (Hz) | b |
|---|---|---|---|
| C1 | 10 | 25.5 | 0.25 |
| C2 | 40 | 25.5 | 0.25 |
| C3 | 10 | 25.5 | 1 |
| C4 | 40 | 25.5 | 1 |
Disclaimer/Publisher’s Note: The statements, opinions and data contained in all publications are solely those of the individual author(s) and contributor(s) and not of MDPI and/or the editor(s). MDPI and/or the editor(s) disclaim responsibility for any injury to people or property resulting from any ideas, methods, instructions or products referred to in the content. |
© 2025 by the authors. Licensee MDPI, Basel, Switzerland. This article is an open access article distributed under the terms and conditions of the Creative Commons Attribution (CC BY) license (https://creativecommons.org/licenses/by/4.0/).
Share and Cite
Vidal-Albalate, R.; Tejedor Bomboi, J.J.; Díaz-Sanahuja, C.; Peñarrocha-Alós, I. Two-Degree-of-Freedom Proportional Integral Controllers for Stability Enhancement of Power Electronic Converters in Weak Grids: Inverter and Rectifier Operating Modes. Electronics 2025, 14, 1565. https://doi.org/10.3390/electronics14081565
Vidal-Albalate R, Tejedor Bomboi JJ, Díaz-Sanahuja C, Peñarrocha-Alós I. Two-Degree-of-Freedom Proportional Integral Controllers for Stability Enhancement of Power Electronic Converters in Weak Grids: Inverter and Rectifier Operating Modes. Electronics. 2025; 14(8):1565. https://doi.org/10.3390/electronics14081565
Chicago/Turabian StyleVidal-Albalate, Ricardo, José Jesús Tejedor Bomboi, Carlos Díaz-Sanahuja, and Ignacio Peñarrocha-Alós. 2025. "Two-Degree-of-Freedom Proportional Integral Controllers for Stability Enhancement of Power Electronic Converters in Weak Grids: Inverter and Rectifier Operating Modes" Electronics 14, no. 8: 1565. https://doi.org/10.3390/electronics14081565
APA StyleVidal-Albalate, R., Tejedor Bomboi, J. J., Díaz-Sanahuja, C., & Peñarrocha-Alós, I. (2025). Two-Degree-of-Freedom Proportional Integral Controllers for Stability Enhancement of Power Electronic Converters in Weak Grids: Inverter and Rectifier Operating Modes. Electronics, 14(8), 1565. https://doi.org/10.3390/electronics14081565

