Abstract
This paper investigates the localization of mobile robots in both indoor and outdoor scenarios. A zonotopic set-membership approach is proposed to fuse global navigation satellite system and odometry data outdoors, and 2D laser and odometry data indoors. Seamless switching between indoor and outdoor scene localization is achieved through a comparison of the current global navigation satellite system signal’s covariance with a predefined threshold in the proposed approach. Firstly, the robot’s position information is characterized using the odometry model, and the set containing the true state of the robot is updated to obtain the current updated zonotope. In addition, the global navigation satellite system or laser observation equations are described as a strip region and intersected with the prediction zonotope to obtain the feasible set of the states. Choosing the zonotope with the smallest volume from a family that encompasses the intersection of the two serves as the outer boundary for the intersection, enabling the determination of the precise position. The algorithm proposed in this paper can estimate the position state of the mobile robot to achieve accurate localization. To validate the proposed approach, relevant data are presented in the simulation results and discussion.
1. Introduction
The widespread attention to intelligent mobile robots has grown alongside the advancements in robotics [1]. Single scene and indoor/outdoor switching localization have become challenges for mobile robot applications. Multi-sensor fusion methods such as Kalman filtering (KF) fusing data from global navigation satellite system (GNSS), inertial measurement unit (IMU) and ultra-wide band (UWB) have been typically used to solve the problem [2]. Recently, research on set-membership estimation has been continuously advancing and may become a new method for fusing sensor data to solve localization problems.
Due to its excellent performance, GNSS is often used for outdoor positioning. An adaptive Kalman filter was adopted to fuse IMU data and low sampling rate GNSS to enhance the precision of pose estimation. However, the signal may be interrupted in [3]. Shin and Jung fused UWB and global positioning system (GPS) data with KF, which overcame the limitations of GPS positioning to a certain extent [4]. Employing an Unscented Kalman filter with maximum likelihood estimation is aimed at enhancing the stability of GNSS, but it necessitates a high level of precision in the initial vector [5]. However, GNSS is no longer applicable in indoor scenarios. For indoor environments, IMU, encoder and laser radar were commonly utilized for mobile robot positioning [6,7]. Nevertheless, IMU positioning will drift with time and encoder positioning can be affected if the terrain is uneven or the vehicle is skidding. A time difference of arrival was introduced after receiving data by UWB to provide position information [8]. An IMU/ UWB/ odometry fusion localization algorithm based on graph optimization using an Extended Kalman filter was proposed. It improved the localization accuracy of UWB, but the method could degenerate when the UWB signal was lost or the ranging value was less than the threshold [9]. By fusing UWB and odometry, the positioning data were solved by the Gauss–Newton algorithm with adaptive weight. Compared with a single UWB positioning, this method is more accurate [10]. To address the issue of switching between indoor and outdoor localization, a navigation method with close coupling integration of UWB, GNSS and the inertial navigation system was introduced, which was better than the loosely coupled integrated system [11]. A switching location based on an adaptive federated filter in indoor and outdoor scenes was presented, integrating GNSS, IMU and indoor location, respectively [12]. GNSS, IMU and UWB localization technologies were utilized to achieve a dynamic positioning transition through the augmentation of the sub-filter factor distribution junction within the dual-stage filtering framework of the error state Kalman filter and the federated filter [13].
A GNSS signal is easy to degrade in complex environments, which leads to inaccurate positioning [14]. The observation noise and outliers of GNSS pseudo-range measurements are often represented by a zero mean Gaussian distribution, but this assumption lacks commonality in practical applications [15]. In recent years, attention has been paid to filtering methods such as filtering structures for stable systems [16] and set-membership estimation when the noise is non-Gaussian. Finally, in search and rescue tasks, robots may need to switch between indoor (such as collapsed buildings and caves) and outdoor (such as forests and mountains) environments. On construction sites or manufacturing sites, robots need to work together in indoor and outdoor environments. In these scenarios, the seamless switching of indoor and outdoor positioning is also a challenging problem.
In this paper, a GNSS/ laser/ odometry data fusion localization algorithm based on zonotopic set-membership estimation is presented for the localization of a mobile robot in the indoor and outdoor environment. Set-membership estimation is a state estimation approach. Assume that the system noise or disturbance is an unknown but bounded (UBB). The feature of set-membership estimation can effectively solve the problem in which the system noise distribution is non-Gaussian. Set-membership estimation is an interval estimation rather than a point estimation [17]. Based on the geometry of the acquired set, set-membership estimation primarily encompasses the following: ellipsoid [18], box, approximate or exact polyhedron, parallelotope [19], zonotope and interval [20]. Zonotopic set-membership state estimation is recursive and computationally intensive compared to other geometry. However, when the affine transformation matrix is a row-full-rank matrix, the result is a zonotope. It is evident that zonotopic set-membership estimation is more powerful than box and parallelotope estimation. At the same time, zonotopic set-membership estimation is less conservative and more accurate, and there is no numerical stability problem [21]. At the same time, in this paper, zonotopes for set-membership estimation are a better geometry for nonlinear motion models. The outer boundary of the zonotope is not smooth, which makes the robot positioning results less conservative and more accurate. In recent years, a recurrent neural network topology based on a metaheuristic optimization algorithm can also be used to handle nonlinear optimization problems of mobile robot models [22]. The purpose of [23] was to reduce the error of GNSS localization by a GNSS pseudorange vehicle localization method based on set-membership interval theory. Ifqir et al. proposed a fault-tolerant sensor fusion approach for flight navigation utilizing set-membership tools [24]. The problem of incomplete prior information on the noise covariance matrix in the Kalman filter is solved by set member estimation. In achieving the localization of automated guided vehicles, a distributed ellipsoidal set-membership estimation method was introduced which could obtain more accurate estimation results by ellipsoidal outer rectangles [25]. Zhu et al. presented a wireless sensor network-assisted localization algorithm with recursive set-membership estimation, which estimated the ellipsoidal set containing all possible states of the target [26]. García et al. compared the position estimation of quadrotor aircraft by two estimation methods: interval arithmetics and zonotopes [27]. Since the time of the continuous system is less than the sampling time of the discrete measurement GPS, there is uncertainty. The estimated position is corrected by only using GPS. Operating the system in an open loop can pose safety risks.
In this paper, the problem of intelligent mobile robots’ indoor and outdoor localization is considered. The accurate localization of the robot is achieved through the utilization of a set-membership estimation approach. Firstly, the mobile robot odometry model is developed. Then, the multi-sensor fusion approach that relies on set-membership estimation is presented. Several examples substantiate the effectiveness of the approach.
The main contributions of this paper are briefly summarized as follows:
- •
- A multi-sensor information fusion algorithm with zonotopic set-membership estimation is presented. All possible positions of the mobile robot at the next moment are put into a zonotopic set according to the current position from the odometry. Next, the GNSS measurements are depicted as a strip region to correct the zonotopic set in an outdoor scene. Similarly, the measurements of the 2D laser scanner are applied when the robot moves to an indoor environment. Eventually, the more accurate positions obtained by correction are all contained in a zonotope.
- •
- The covariance of the current GNSS signal is compared to the one when the signal is good and then switches to indoor positioning when it exceeds the threshold. The previous switching is utilized as the initial value for the indoor location.
The structure of the following sections of this paper is outlined below. The mathematical models for a mobile robot, and indoor and outdoor positioning are developed in Section 2. GNSS/ laser-aided odometry fusion for a mobile robot indoor–outdoor localization algorithm based on the zonotopic set-membership estimation method is introduced in Section 3. Section 4 contains illustrative examples aimed at substantiating the feasibility and validity of the formulated algorithm. Finally, Section 5 concludes this paper.
2. Materials and Methods
2.1. Odometry Model
The localization of a mobile robot is crucial in both outdoor and indoor environments. Considering the two-dimensional plane, the state of the mobile robot comprises two components: position and orientation. At moment k, , the state vector of the mobile robot is defined as follows:
where represents the position of the mobile robot in world coordinates, and signifies its orientation, as illustrated in Figure 1.
where is the linear velocity of the mobile robot at moment k, is the angular jerk, and denotes the time interval. The original wheel speed information is obtained in the odometry model, and obtaining the linear and angular jerk involves utilizing the two-wheel differential speed model:
Figure 1.
The odometry model of mobile robot.
In (3), and denote the angular velocities of the left and right wheels, r represents the wheel radius, and L is the separation between the two wheels.
2.2. GNSS Positioning Model
GNSS can offer comprehensive, all-weather, round-the-clock, and global navigation services, making accurate satellite-based positioning outdoors a straightforward task. This paper leverages GNSS for the outdoor localization of the mobile robot.
The core concept of GNSS satellite positioning is based on considering high-altitude satellites as fixed reference points overhead. By leveraging the foundational principles of GNSS technology, the real-time positions of individual GNSS satellites are computed and conveyed through satellite signals to GNSS receivers located on the Earth’s surface. When a ground-based GNSS receiver simultaneously receives signals from at least four satellites, it can determine its spatial coordinates through a process akin to triangulation.
GNSS positioning coordinates can be calculated by satellite and base station data [1].
where denotes the pseudorange of number satellite to receiver k. and , respectively, denote ionospheric and tropospheric delay. In addition, the system contains a number of other errors such as satellite orbit estimation errors , clock offset errors and diffuse multipath error .
2.3. Two-Dimensional Laser Scanners Positioning Model
The 2D laser scanners are commonly used for indoor positioning as they are able to accurately scan points in different lighting conditions [28]. The current position of the mobile robot is obtained by extracting scanning points as waypoints or placing waypoints with known locations in the room. Therefore, the mathematical model of 2D laser scanning is as follows:
where is the coordinate of a known waypoint , is coordinates of the robot at the current moment k, and is measurement noise.
2.4. Problem Formulation
The following steps outline the division of zonotopic set-membership estimation:
(1) State prediction: An extended odometry measurement model leveraging interval computation is employed to identify a zonotope inclusion as the predictive estimate for the mobile robot’s position.
(2) Measurement update: The GNSS model is utilized for outdoor positioning, while the laser scanner model is applied to the indoor environment to refine the predicted location information, thereby enhancing the positional accuracy.
(3) In the event of signal degradation in GNSS, a transition to laser scanner localization is initiated. At this juncture, the initial position for laser scanner-based localization is determined using undegraded position information from the previous moment’s data.
3. Methodology and Analysis
In this section, a multi-sensor fusion algorithm for indoor and outdoor localization with set-membership estimation is introduced, and encompasses the subsequent prediction and update steps.
Firstly, some characters used in this section are explained.
Notation: The closed interval is denoted by . indicates an unit interval, . is used to signify the set consisting of all real intervals , where . A vector consisting of n intervals is a box of the form , the center of the box is , and the radius is . The interval operation and its properties are also applicable in intervals. The operation op is defined as . represents a natural interval expansion of the function f, which replaces the variables in function f with intervals. When f is a continuous function, is described as , . The Minkowski sum is indicated by ⊕. ⋄ is an inclusion of a shape.
3.1. State Prediction
The relevant definition of a zonotope is first given before state prediction.
Definition 1.
(Zonotope [29]) A zonotope belongs to a specific type of polytope that is convex. A zonotope of the m-order is described in the following way,
in which denotes m unitary boxes composed of unitary intervals. By affine projection of a hypercube with as the central coordinate and as the generator matrix, the m-order zonotope has been clarified.
Property 1.
([30]) Given two Zonotopes and , the Minkowski sum is still a Zonotope.
The odometry mathematical model of the mobile robot has been developed in (2). It is significant to note that deviations in odometry measurements due to skidding or uneven road surfaces during movement cannot be considered Gaussian noise. In this paper, the process noises are regarded as UBB noise, restricted to a zonotope. The position () and angle () in the odometry model at moment k are expressed as variables, respectively. The final mathematical model is as follows:
where is the process noise, confined to the zonotope with center .
For the given nonlinear system (8), assume and a zonotope at k. Firstly, given a zonotope satisfies . The Theorems 1 and 2 proven in [31] are then introduced to calculate the interval matrix .
Theorem 1.
(Natural interval extension) of a continuous function over a box ensures that is contained within .
Theorem 2.
(Mean value extension ) There are and f, for real vector :
where is the natural interval extension of function f after calculating the gradient.
Secondly, obtain the zonotope inclusion by Theorem 3.
Theorem 3.
(Zonotope inclusion) Given a zonotope , where is a vector and , is an generator matrix and .
is a diagonal matrix , .
Finally, the prediction zonotope is , where and the .
Proof.
Given two relevant formulas by the Intermediate Value Theorem: , . Then,
where . □
Due to the increase in computational order during zonotope computation, which results in slow computation, the reduced order theorem is necessary.
Theorem 4.
(Reduce order) Consider a zonotope and . Arrange the column vectors of according to the magnitude of the Euclidean norm, satisfying . Should an integer t exist such that , then
where Q is a diagonal matrix, .
Proof.
is the smallest box with . Therefore, . □
3.2. Measurement Update
The general model of GNSS pseudorange is (4), but in this paper, only the two-dimensional case is considered. The measurement noise is also UBB noise:
where is restricted to the noises and errors zonotope . Here, the angle is calculated using a four-quadrant inverse tangent.
From (12), it can be observed that a minimum of four satellite base stations are required to obtain accurate GNSS localization. However, the signal of the GNSS will degenerate when the mobile robot moves to an indoor scene. The switching mechanism of [32] compares the covariance of the current GNSS signal with the covariance of the good signal. In cases where (13) is not satisfied, the GNSS data from the previous time step are employed as the initial value for subsequent localization. The iterative feature of the set-membership estimation facilitates seamless switching.
is the covariance of GNSS at this moment in time and represents the upper limit for covariance when the GNSS signal is strong.
To avoid the frequent switching caused by temporary GNSS signal degradation, a pre-switching step and Horizontal Dilution of Precision (HDOP) are introduced into the system. When the covariance of the GNSS signal exceeds the set threshold , the system enters the pre-switching state and begins monitoring the HDOP value. If the HDOP remains greater than 7 for a sustained period, the system deems the signal quality unstable and switches to indoor localization mode. If the HDOP value only briefly exceeds 7 and quickly falls back below, satisfying (14), the GNSS signal is considered to have experienced a temporary degradation, and the pre-switching is canceled, maintaining the current state.
Similarly, indoor laser localization with measurement noise is modeled as follows:
where .
The mobile robot measurement equation can be written as follows:
where is the th component of and is a measurement noise zonotope.
The measurement update is to find the set of components that is consistent with the measured value followed by describing the intersection of this set with . Two relevant definitions are given below.
Definition 2.
(Consistent state set) The set of states that maintain consistency with the measured output is defined as follows:
where indicates ith component of and denotes the region of jth consistent state set.
Definition 3.
(Exact uncertain state set) The exact uncertain state set is denoted as the intersection of the consistent state set and .
in a strip that intersects with so that a family of zonotopes containing intersecting parts can be found.
During the measurement update, the computation of the strip requires a vector and an interval. The relevant theorem supporting this has been established and proven in [33].
Theorem 5.
(Measurement update) For the given and , the vector , and scalars .
Definition 4.
(Strip) The measured output of the system is known .
Then, .
The overlap between the zonotope and the strip can be used as a zonotope set-membership estimate. It is clear that the outer boundaries of this intersection need to be obtained in order to complete the final estimate of the zonotope.
Theorem 6.
(External bound) Given strip , the zonotope and the vector ε, then
the estimated zonotope is .
Proof.
Given a state prediction zonotope , . There is ,
add and subtract to this equation.
□
The volume of zonotope is determined by its generating matrix . This paper uses the method in [34] to find an optimal to minimize the Frobenius norm of the generating matrix . In Theorem 6 , it can be rewritten as , and ,
then .
The determination of the upper and lower limits for zonotope in this paper proposes a drawing method similar to the outer boundaries of an ellipsoid. The shape of a zonotope is determined by the generating matrix , and the center c. The eigenvalues and eigenvectors are ,
Then find the point furthest from the center point of X,
Determine the rotation angle of X.
Finally, calculate the vertex coordinates:
The upper and lower limits of X are represented as follows:
where C is a suitable constant.
An indoor and outdoor localization algorithm based on zonotope set-membership estimation is given in Algorithm 1.
| Algorithm 1: An indoor and outdoor localization algorithm based on zonotope set-membership estimation |
|
4. Simulation Results and Discussion
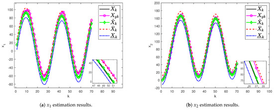
The simulation considers a differential motion model for a mobile robot (8) moving in a 2D plane, with several known landmark positions, including (10, 10) and (0, 0). In simulation, we assumed ideal conditions where the robot could continuously detect landmarks. The precise positions of each landmark are measured using a total station and serve as global reference points. During the robot’s movement, it continuously identifies these landmarks in real time and performs localization based on the globally known data obtained from the laser radar.
The initial velocity of a mobile robot is 0, the angle of motion is 0 and the speed of motion is 3 m/s. (12) and (15) are the GNSS and laser models, respectively. is the initial zonotope in Algorithm 1, where and . is the maximum value of the iteration step k and is the angle. The process noise is , the measurement noises are and , respectively. In the simulation results, denotes the true position of the robot motion at moment k, denotes the position measured by the sensor without algorithmic fusion, and is the position estimated using the Algorithm 1. The estimated zonotope’s upper and lower bounds are denoted as and . The robot’s coordinates along the x-axis and y-axis are denoted as and , respectively. Then, the robot is simulated to obtain the real movement trajectory based on the simulation results at this moment. Finally, the mobile robot passes through three scenarios: outdoor, indoor, and outdoor to simulate the trajectory in the real environment.
Figure 2 and Figure 3 illustrate the position coordinates of the mobile robot in outdoor and indoor scenarios, respectively. In the simulations above, only separate outdoor and indoor positioning scenarios were considered, without addressing the issue of positioning during scene transitions. The estimated position of the mobile robot is derived from the center of the generated zonotope. Both the true and estimated values lie within the bounds. As shown in Figure 2, at time k, the position of the mobile robot estimated by the fusion algorithm is represented by a green diamond-shaped solid line, and the result is closer to the true value. In contrast, the position estimated by the single sensor without fusion is represented by a solid line with circles, showing a larger deviation. In Figure 2 and Figure 3, when the value of k is small, the estimated value is very close to the true value. As k increases, the error gradually increases. The state estimation errors of outdoor and indoor are shown in Table 1, where MAX is the maximum error, and MIN is the minimum. The Mean Relative Error (MRE) is expressed as . The MRE for both indoor and outdoor state estimations is below 10%, indicating a decent level of accuracy. However, since it standardizes the error through normalization, its value may not fully reflect measurement accuracy when the actual values are large. Therefore, in practical applications, it is necessary to combine other error metrics for comprehensive analysis in order to more accurately assess the reliability of measurement results. The Mean Absolute Error (MAE) is relatively large, primarily due to the simulation design being implemented under sparse landmark conditions. Additionally, the error is influenced by the placement of edge landmarks and the configuration of a relatively large zonotope noise matrix. However, for scenarios where high precision is not critical, such as warehouse navigation and open-space localization, this level of error may be acceptable. However, certain data points exhibit more significant errors. The Standard Deviation (STD) values are all below 0.2, indicating minimal fluctuations in the estimation results and demonstrating good stability.
Figure 2.
Outdoor position state estimation.
Figure 3.
Indoor position state estimation.
Table 1.
Outdoor and indoor state estimation errors.
Overall, the fusion estimation algorithm exhibits satisfactory performance in both indoor and outdoor environments. In environments with confined spaces and dense obstacles, higher precision may be required to ensure safe and reliable navigation. Due to the relatively conservative design of the current method, its performance (e.g., an MAE of 0.88 m) may fall short of meeting the demands of such scenarios. In practical applications, positioning accuracy can be further improved by appropriately increasing the number of landmarks or optimizing their placement.
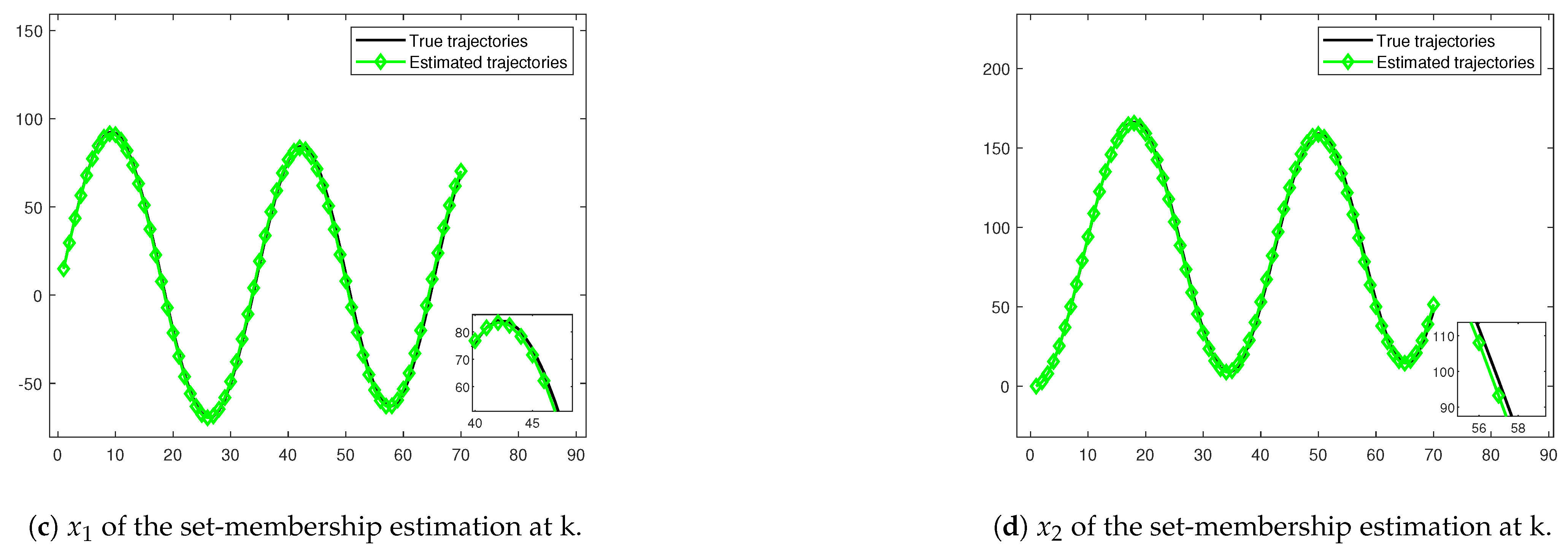
Figure 4 and Figure 5 represent the movement trajectory of the mobile robot outdoors and indoors, respectively, corresponding to Figure 2 and Figure 3. Solid dots denote the positions of the mobile robot at time step k. Figure 4 and Figure 5 compare the trajectory estimated by the fusion algorithm represented by green solid circles, with the trajectory estimated by the standalone sensor represented by blue dashed lines. It is clear that the fused trajectory is closer to the true trajectory, as shown by the black solid line.
Figure 4.
Outdoor simulation trajectory of the mobile robot.
Figure 5.
Indoor simulation trajectory of the mobile robot.
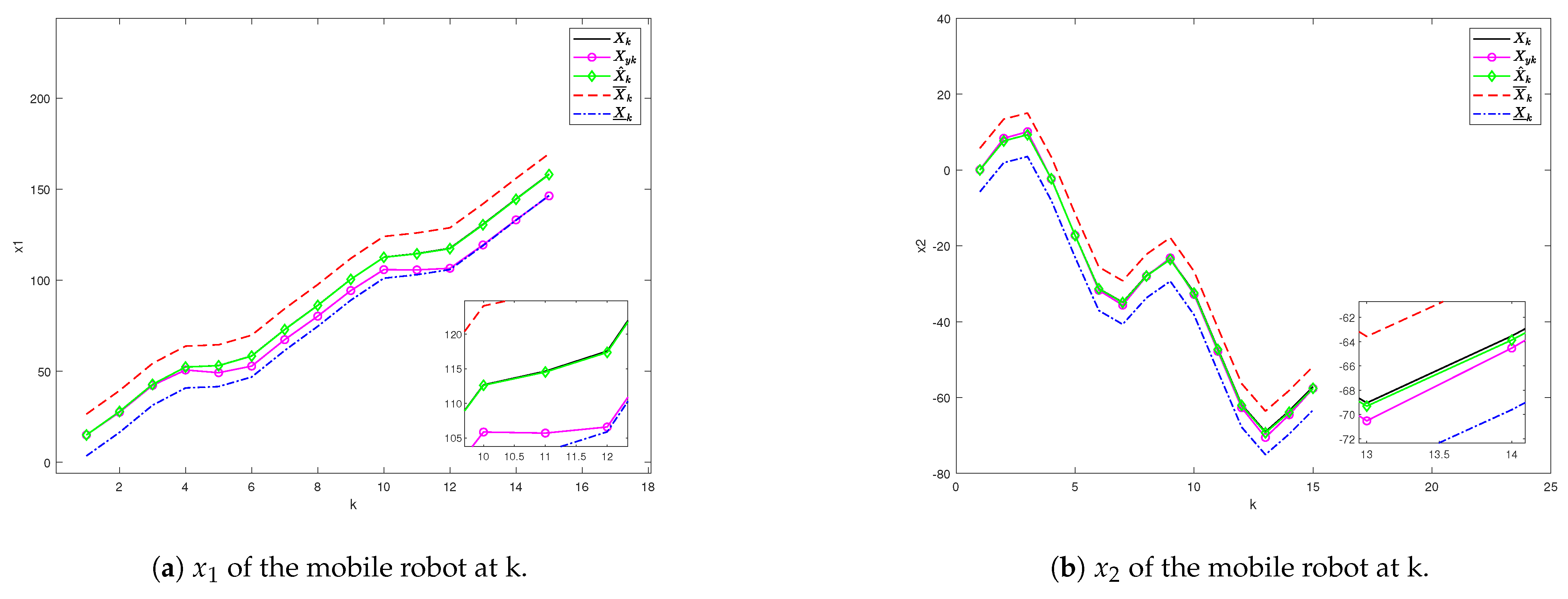
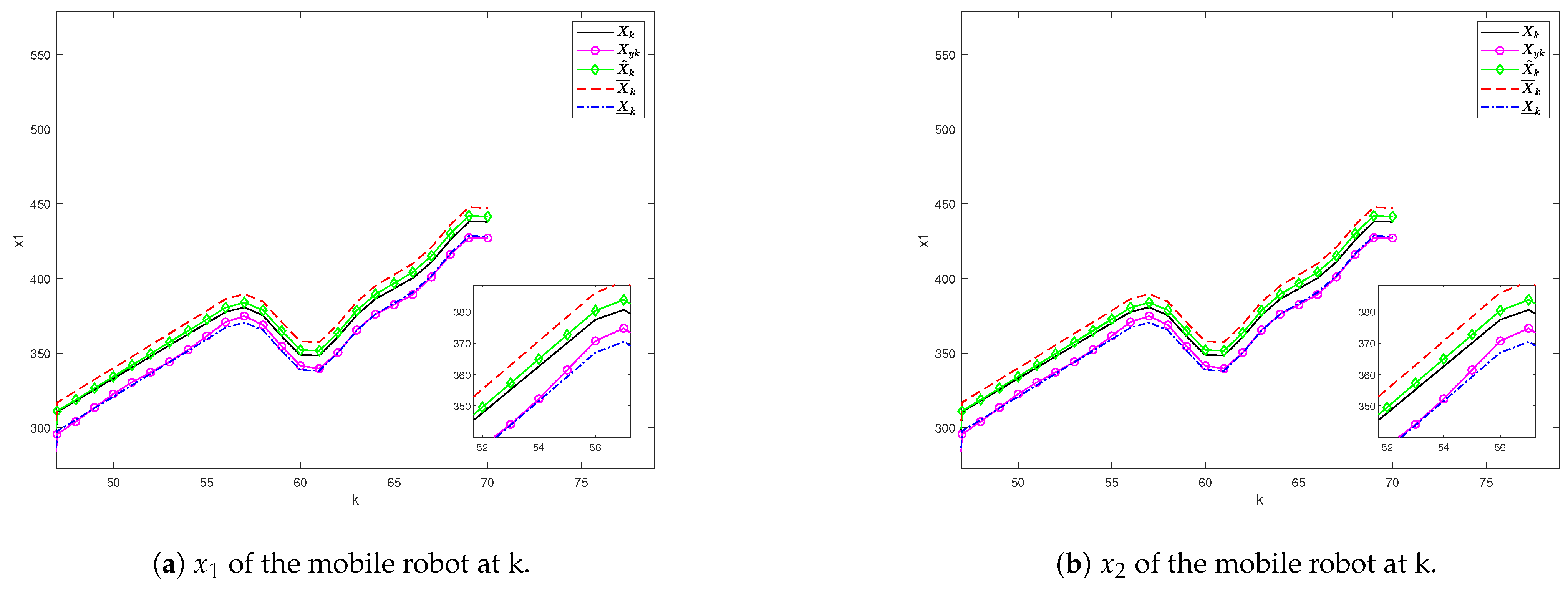
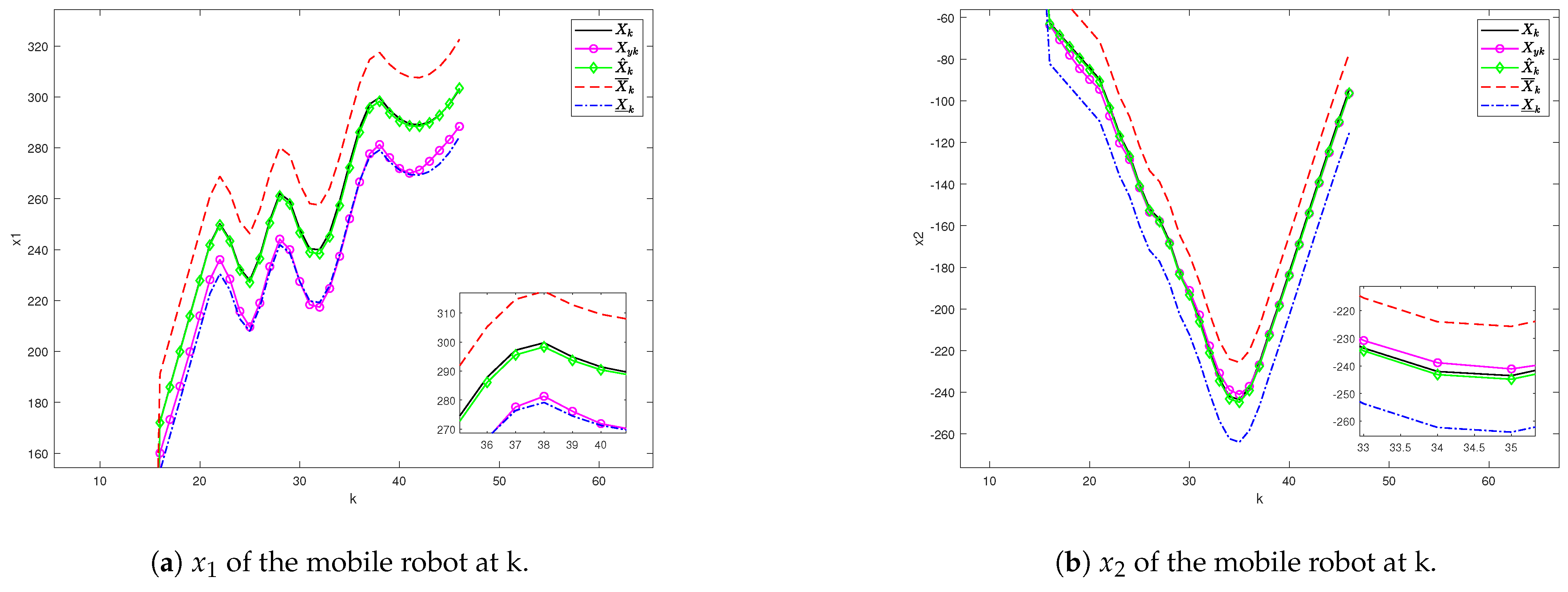
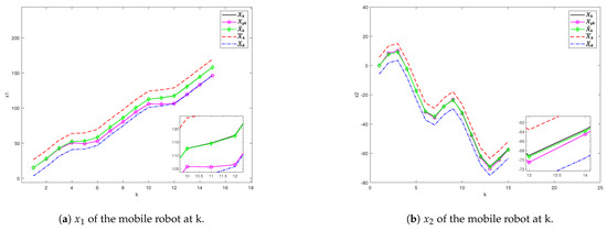
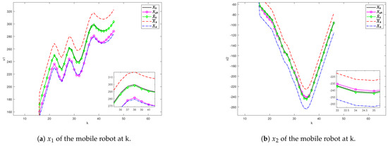
Next, we will consider the indoor-outdoor switching localization problem, with noise settings and initial conditions remaining unchanged. The switching mechanism has been described in detail earlier, as shown in Equation (16). Due to the complexity of the robot’s motion trajectory in both indoor and outdoor environments, its motion angle is adjusted to different values. Specifically, in the outdoor environment, the mobile robot’s motion angle is set to . When transitioning indoors, the motion angle for the first five positions is , for the middle nine positions it is , for the next seven positions it is , and finally . When switching back to the outdoor environment, the motion angle is first set to 0 and then adjusted to .
Initially, the robot operates in the outdoor environment, fusing only GNSS and odometry data. A switching mechanism is introduced in this scenario, and the simulation sets the GNSS mean value below the normal threshold at , prompting the system to evaluate whether to switch. However, since the HDOP value meets the condition at this point, no switch is triggered. At , the signals are set to no longer satisfy the switching mechanism’s conditions, causing the system to switch to the indoor environment. In the indoor environment, localization is performed by fusing a laser scanner and odometry data with coordinate positions at (215, −250) and (260, −100). When the mobile robot moves toward the outdoor environment and is able to receive signals that satisfy the switching mechanism, the system switches back to the outdoor environment. As shown in Figure 6, the mobile robot first moves in the outdoor environment, then transitions to the indoor environment, and finally returns to the outdoor environment. During the indoor–outdoor switching process, the estimated value obtained at the previous time step is used as the initial value for the robot’s position estimation after the switch.
Figure 6.
Indoor and outdoor switching positioning trajectory diagram.
Figure 7, Figure 8 and Figure 9 correspond to the robot’s positions in the three scenarios depicted in Figure 6. Algorithm 1 consistently achieves accurate position estimation in complex environments and diverse motion angles.
Figure 7.
Outdoor position state estimation in .
Figure 8.
Indoor position state estimation in .
Figure 9.
Outdoor position state estimation in .
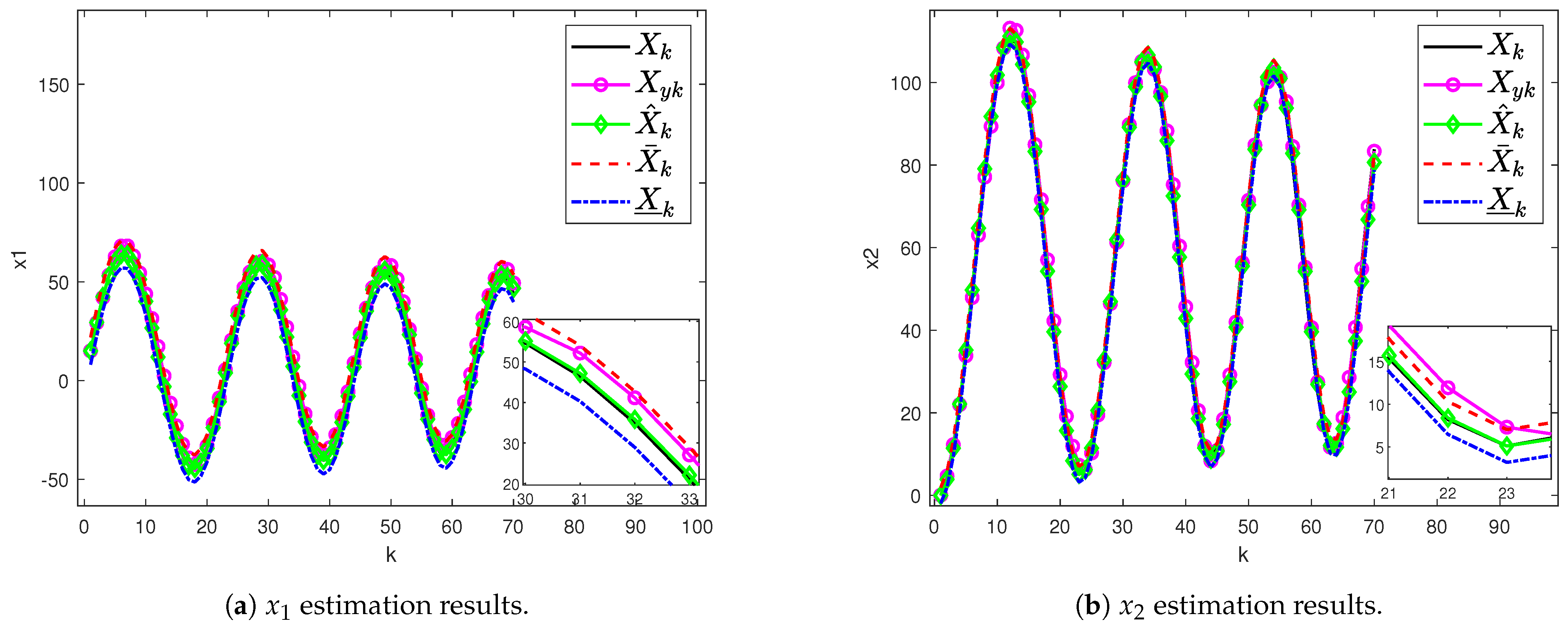
Additionally, the proposed method in this paper is compared with the Extended Kalman Filter (EKF) approach. The process noise and observed noise covariance matrix of the extended Kalman filter is and . In order to effectively compare the EKF with the methods in the manuscript, the noise zonotope matrix is set up according to the normally distributed principle, and . The accuracy of the two algorithms is compared by calculating the average Euclidean distance error , where is the number of Monte Carlo experiments. The three landmark positions in the algorithm are (−20,80), (10,40) and (60,60).
The simulation experiment is divided into three cases, which are as follows: 1. Only Gaussian noise is considered. 2. Consider the large error and Gaussian noise of the odometer in certain steps. At time steps and , a significant offset is introduced to simulate the deviation caused by odometer slippage, with the introduced offsets being 0.005, respectively. 3. Consider that each moment k generates a small offset 0.002 and Gaussian noise. The comparison between the true values and estimated values under the three cases is illustrated in Figure 10, Figure 11, Figure 12 and Figure 13.
Figure 10.
Estimated values of the two algorithm under Case 1.
Figure 11.
Estimated values of the two algorithms under Case 2.

Figure 12.
Estimated values of the two algorithms under Case 3.

Figure 13.
The positioning trajectory diagram under three cases.
In each of the above three cases, we performed a Monte Carlo experiment of in Table 2. Among the three cases, the proposed method demonstrates smaller distance errors and higher accuracy than the EKF in Case 2 and Case 3, while its accuracy is slightly lower than the EKF in Case 1. By comparing the experimental results under different conditions, it can be observed that the set-membership estimation method is less affected by changes in noise statistical characteristics, whereas EKF exhibits relatively higher sensitivity. Based on these findings, it can be concluded that the set-membership estimation method achieves higher localization accuracy than EKF when the noise contains certain offsets.
Table 2.
Comparison of positioning accuracy between the proposed method and EKF.
5. Conclusions
In this paper, a GNSS, laser scanning and odometry sensors fusion localization algorithm based on zonotopic set-membership estimation is proposed for indoor and outdoor localization of mobile robots. The error analysis and comparison charts of localization accuracy between single sensors and multi-sensor fusion provided during the simulation validation demonstrate that the fusion method achieves greater accuracy in localization. Since the prior knowledge of the noise probability distribution is not easy to obtain in real systems, it is assumed to be UBB in the proposed localization algorithm. Furthermore, the proposed switching mechanism in this paper effectively enhances the localization accuracy in both indoor and outdoor scenarios.
Future research should focus on transitioning from simulation to real-world testing to validate algorithm performance. Key efforts include addressing sensor inaccuracies, real-time processing, and environmental uncertainties. Establishing an experimental platform with mobile robots, using ROS for consistency, and implementing data acquisition systems are essential. Tests should cover indoor and outdoor scenarios to ensure robustness. For example, Mobile robots working in warehouses or factories need to cope with the transition between indoor (such as aisles, and shelves) and outdoor (such as loading platforms, and between different buildings) environments. Additionally, error analysis and parameter optimization will further improve accuracy. Industrial applications, such as autonomous driving and logistics, can be explored to enhance practical value.
Author Contributions
Conceptualization, methodology, investigation, formal analysis and writing—reviewing, Y.Z. and X.F.; data curation, visualization, writing—original draft preparation, X.F.; resources, supervision, C.L. All authors have read and agreed to the published version of the manuscript.
Funding
This research received no external funding.
Data Availability Statement
A comprehensive elucidation of the analyzed research results is included within the submitted manuscript. Furthermore, upon reasonable request from the corresponding author, detailed explanations and data will be provided.
Conflicts of Interest
The authors did not report any potential conflicts of interest in their competing interests disclosure.
References
- Hu, X.; Zhu, L.; Wang, P.; Yang, H.; Li, X. Improved ORB-SLAM2 mobile robot vision algorithm based on multiple feature fusion. IEEE Access 2023, 11, 100659–100671. [Google Scholar] [CrossRef]
- Nguyen, T.T.; Ngo, D.H.; Nguyen, Q.T.; Tran, D.T.; Dang, B.X. Indoor mobile robot positioning using sensor fusion. In Proceedings of the 6th International Conference on Green Technology and Sustainable Development (GTSD), Nha Trang City, Vietnam, 29–30 July 2022; pp. 884–890. [Google Scholar]
- Xiong, L.; Xia, X.; Lu, Y.S.; Liu, W.; Gao, L.T.; Song, S.H. IMU-based automated vehicle body sideslip angle and attitude estimation aided by GNSS using parallel adaptive kalman filters. IEEE Trans. Veh. Technol. 2020, 69, 10668–10680. [Google Scholar] [CrossRef]
- Shin, J.; Jung, H. UWB/GPS sensor fusion using kalman filter for outdoor autonomous robot. In Proceedings of the 22nd International Conference on Control, Automation and Systems (ICCAS), Jeju, Republic of Korea, 27 November–1 December 2022; pp. 448–451. [Google Scholar]
- Yang, C.; Shi, W.; Chen, W. Robust M–M unscented kalman filtering for GPS/IMU navigation. J. Geod. 2019, 93, 1093–1104. [Google Scholar] [CrossRef]
- Morales, J.; Khalife, J.; Kassas, Z. Event-based communication strategies for collaborative inertial radio SLAM. IEEE Trans. Aerosp. Electron. Syst. 2023, 59, 1624–1642. [Google Scholar] [CrossRef]
- Zhou, B.D.; Wu, Z.Q.; Chen, Z.P.; Liu, X.; Li, Q.Q. Wi-Fi RTT/encoder/INS-based robot indoor localization using smartphones. IEEE Trans. Veh. Technol. 2023, 72, 6683–6694. [Google Scholar] [CrossRef]
- Santoro, L.; Nardello, M.; Brunelli, D.; Fontanelli, D. UWB-based indoor positioning system with infinite scalability. IEEE Trans. Instrum. Meas. 2023, 72, 1–11. [Google Scholar] [CrossRef]
- Wang, X.Y.; Li, Z.Q.; Ma, S.G.; Chen, Y.Z.; Liu, Z.F. A navigation and positioning method for indoor mobile robots. In Proceedings of the international Conference on Sensing, Measurement & Data Analytics in the Era of Artificial Intelligence (ICSMD), Nanjing, China, 21–23 October 2021; pp. 1–6. [Google Scholar]
- Li, Z.L.; Zheng, T.J.; Chen, Y.K.; An, Y.F.; Xu, Y.S.; Li, H.M. Fusion positioning method of UWB and odometry based on graph optimization. In Proceedings of the IEEE 18th Conference on Industrial Electronics and Applications (ICIEA), Ningbo, China, 18–22 August 2023; pp. 1384–1388. [Google Scholar]
- Jiang, W.; Cao, Z.; Cai, B.; Li, B.; Wang, J. Indoor and outdoor seamless positioning method using UWB enhanced multi-sensor tightly-coupled integration. IEEE Trans. Veh. Technol. 2021, 70, 10633–10645. [Google Scholar] [CrossRef]
- Liu, Y.; Wang, S.; Zuo, W.; Ming, C. Indoor and outdoor seamless positioning method for open environment. In Proceedings of the 33rd Chinese Control and Decision Conference (CCDC), Kunming, China, 22–24 May 2021; pp. 3206–3211. [Google Scholar]
- Zhao, L.L.; Guo, X.C.; Zhu, B.; Ge, J.; Tian, G. Two-stage weighted filtering algorithm for seamless positioning in indoor–outdoor crossover areas. IEEE Sensors J. 2023, 23, 21718–21727. [Google Scholar] [CrossRef]
- Causa, F.; Fasano, G. Improving navigation in GNSS-challenging environments: Multi-UAS cooperation and ceneralized dilution of precision. IEEE Trans. Aerosp. Electron. Syst. 2021, 57, 1462–1479. [Google Scholar] [CrossRef]
- Yang, X.; Liu, J.; Cai, B.G.; Wang, J.; Lu, D.B. Detection and exclusion of incipient fault for GNSS-based train positioning under non-gaussian assumption. In Proceedings of the IEEE 95th Vehicular Technology Conference: (VTC2022-Spring), Helsinki, Finland, 19–22 June 2022; pp. 1–7. [Google Scholar]
- Talebi, S.P.; Godsill, S.J.; Mandic, D.P. Filtering Structures for α-Stable Systems. IEEE Control. Syst. Lett. 2023, 7, 553–558. [Google Scholar] [CrossRef]
- Zhang, Y.L.; Xia, N.; Han, Q.L.; Yang, F.W. Set-membership global estimation of networked systems. IEEE Trans. Cybern. 2022, 52, 1454–1464. [Google Scholar] [CrossRef]
- Chernousko, F. Ellipsoidal state estimation for dynamical systems. Nonlinear Anal. Theory Methods Appl. 2005, 63, 872–879. [Google Scholar] [CrossRef]
- Wan, J.; Sharma, S.; Sutton, R. Guaranteed state estimation for nonlinear discrete-time systems via indirectly implemented polytopic set computation. IEEE Trans. Autom. Control. 2018, 63, 4317–4322. [Google Scholar] [CrossRef]
- Efimov, D.; Raïssi, T.; Chebotarev, S.; Zolghadri, A. Interval state observer for nonlinear time varying systems. Automatica 2013, 49, 200–205. [Google Scholar] [CrossRef]
- Raghuraman, V.; Koeln, J. Set operations and order reductions for constrained zonotopes. Automatica 2022, 139, 110204. [Google Scholar] [CrossRef]
- Khan, A.M.; Li, S.; Chen, D.C.; Liao, L.F. Tracking control of redundant mobile manipulator: An RNN based metaheuristic approach. Neurocomputing 2020, 400, 272–284. [Google Scholar] [CrossRef]
- Bento, L.; Bonnifait, P.; Nunes, U. Set-membership position estimation with GNSS pseudorange error mitigation using lane-boundary measurements. IEEE Trans. Intell. Transp. Syst. 2019, 20, 185–194. [Google Scholar] [CrossRef]
- Ifqir, S.; Combastel, C.; Zolghadri, A.; Alcalay, G.; Goupil, P.; Merlet, S. Fault tolerant multi-sensor data fusion for autonomous navigation in future civil aviation operations. Control. Eng. Pract. 2022, 123, 105132. [Google Scholar] [CrossRef]
- Yang, H.; Zhang, Y.L.; Gu, W.; Yan, H.C.; Yang, F.W. A novel global set-membership filtering approach for localization of automatic guided vehicles. IEEE Trans. Ind. Inform. 2023, 19, 3219–3228. [Google Scholar] [CrossRef]
- Zhu, H.B.; Luo, J.X.; Luo, M.Z.; Minane, J. A recursive robust set-membership estimator for WSN-assisted moving targets tracking with UBB anchor location uncertainty. IEEE Trans. Veh. Technol. 2023, 72, 6547–6557. [Google Scholar] [CrossRef]
- Garcia, R.A.; Raffo, G.V.; Ortega, M.G.; Rubio, F.R. Guaranteed quadrotor position estimation based on GPS refreshing measurements. IFAC PapersOnLine 2015, 48, 67–72. [Google Scholar] [CrossRef]
- Memon, E.; Jafri, G.; Ali, S. A rover team based 3D map building using low cost 2D laser scanners. IEEE Access 2022, 10, 1790–1801. [Google Scholar] [CrossRef]
- Yang, L.; Zhang, H.; Jeannin, J.B.; Ozay, N. Efficient backward reachability using the minkowski difference of constrained zonotopes. IEEE Trans. -Comput.-Aided Des. Integr. Circuits Syst. 2022, 41, 3969–3980. [Google Scholar] [CrossRef]
- Scott, J.K.; Raimondo, D.M.; Marseglia, G.R.; Braatz, R.D. Constrained zonotopes: A new tool for set-based estimation and fault detection. Automatica 2023, 69, 126–136. [Google Scholar] [CrossRef]
- Alefeld, G.; Mayer, G. Interval analysis: Theory and applications. J. Comput. Appl. Math. 2000, 121, 421–464. [Google Scholar] [CrossRef]
- Luo, J.; Yin, Z.S.; Gui, L.Q.; Yang, X. Accurate localization for indoor and outdoor scenario by GPS and UWB fusion. In Proceedings of the 9th International Conference on Control, Automation and Robotics (ICCAR), Beijing, China, 21–23 April 2023; pp. 411–416. [Google Scholar]
- Kühn, W. Rigorously computed orbits of dynamical systems without the wrapping effect. Computing 1998, 61, 47–67. [Google Scholar] [CrossRef]
- Alamo, T.; Bravo, J.; Camacho, E. Guaranteed state estimation by zonotopes. In Proceedings of the 42nd IEEE International Conference on Decision and Control (IEEE Cat. No.03CH37475), Maui, HI, USA, 9–12 December 2003; pp. 5831–5836. [Google Scholar]
Disclaimer/Publisher’s Note: The statements, opinions and data contained in all publications are solely those of the individual author(s) and contributor(s) and not of MDPI and/or the editor(s). MDPI and/or the editor(s) disclaim responsibility for any injury to people or property resulting from any ideas, methods, instructions or products referred to in the content. |
© 2025 by the authors. Licensee MDPI, Basel, Switzerland. This article is an open access article distributed under the terms and conditions of the Creative Commons Attribution (CC BY) license (https://creativecommons.org/licenses/by/4.0/).