A Miniaturized Eight-Port MIMO Antenna for 5G Ultra-Slim Smartphones
Abstract
1. Introduction
2. Antenna Geometry and Design
2.1. Antenna Element Design
2.2. Evolution of the Radiator of Antenna Elements
2.3. Decoupling Structure
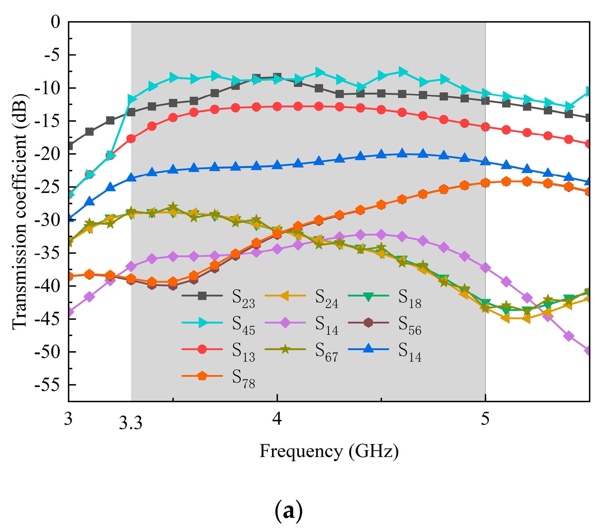
3. Antenna Analysis
3.1. Parameter Analysis
3.2. Assessment of Simulated Operational Scenarios
4. Experiment Results and Discussions
5. Conclusions
Author Contributions
Funding
Data Availability Statement
Conflicts of Interest
References
- Huang, J.; Cai, J.; Shi, X.; Chen, B.; Liu, G. Compact dual-band eight-element MIMO antenna for 5G operations in mobile handsets. Int. J. RF Microw. Comput.-Aided Eng. 2022, 32, e23544. [Google Scholar] [CrossRef]
- Raghavan, V.; Li, J. Evolution of physical-layer communications research in the post-5G era. IEEE Access 2019, 7, 10392–10401. [Google Scholar] [CrossRef]
- Yang, R.; Xi, S.; Cai, Q.; Chen, Z.; Wang, X.; Liu, G. A Compact Planar Dual-Band Multiple-Input and Multiple-Output Antenna with High Isolation for 5G and 4G Applications. Micromachines 2021, 12, 544. [Google Scholar] [CrossRef] [PubMed]
- Li, K.; Geng, H.; Guo, J.; Fan, J.; Luan, Y. Compact multi-band eight-element MIMO antenna with decoupled antenna pairs for 5G mobile terminal applications. Microw. Opt. Technol. Lett. 2024, 66, e34300. [Google Scholar] [CrossRef]
- Lee, H.; Jeon, J.; Park, D.; Shin, H.; Kim, H. MIMO antenna performance with isolator. Microw. Opt. Technol. Lett. 2022, 64, 946–952. [Google Scholar] [CrossRef]
- Dong, J.; Wang, S.; Mo, J. Design of a twelve-port MIMO antenna system for multi-mode 4G/5G smartphone applications based on characteristic mode analysis. IEEE Access 2020, 8, 90751–90759. [Google Scholar] [CrossRef]
- Chen, H.D.; Tsai, Y.C.; Kuo, C. Broadband eight-antenna array design f1or sub-6 GHz 5G NR bands metal-frame smartphone applications. IEEE Antennas Wirel. Propag. Lett. 2020, 19, 1078–1082. [Google Scholar] [CrossRef]
- Zhao, A.; Ren, Z. Size reduction of self-isolated MIMO antenna system for 5G mobile phone applications. IEEE Antennas Wirel. Propag. Lett. 2018, 18, 152–156. [Google Scholar] [CrossRef]
- Liu, H.Y.; Huang, C.J. Wideband MIMO antenna array design for future mobile devices operating in the 5G NR frequency bands n77/n78/n79 and LTE band 46. IEEE Antennas Wirel. Propag. Lett. 2019, 19, 74–78. [Google Scholar]
- Wang, H. Overview of future antenna design for mobile terminals. Engineering 2022, 11, 12–14. [Google Scholar] [CrossRef]
- Lin, C.C.; Cheng, S.H.; Chen, S.C.; Wei, C.S. Compact sub 6 GHz dual band twelve-element MIMO antenna for 5G metal-rimmed smartphone applications. Micromachines 2023, 14, 1399. [Google Scholar] [CrossRef]
- Jiang, J.Y.; Su, H.L. A Wideband eight-element MIMO antenna array in 5G NR n77/78/79 and WLAN-5GHz bands for 5G smartphone applications. Int. J. Antennas Propag. 2022, 2022, 8456936. [Google Scholar] [CrossRef]
- Agrawal, N.; Gupta, M.; Chouhan, S. Modified ground and slotted MIMO antennas for 5G sub-6 GHz frequency bands. Int. J. Microw. Wirel. Technol. 2023, 15, 817–825. [Google Scholar] [CrossRef]
- Muhsin, M.Y.; Ali, F.M.; Salim, A.J.; Mohammad, Z.F.; Ali, J.K. Isolation techniques in MIMO antennas for 5G mobile devices. Radioelectron. Commun. Syst. 2023, 66, 263–287. [Google Scholar] [CrossRef]
- Kaur, P.; Malhotra, S.; Sharma, M. A review of isolation techniques for 5G MIMO antennas. J. Telecommun. Inf. Technol. 2024, 3, 43–49. [Google Scholar] [CrossRef]
- Raj, T.; Mishra, R.; Kumar, P.; Kapoor, A. Advances in MIMO antenna design for 5G: A comprehensive review. Sensors 2023, 23, 6329. [Google Scholar] [CrossRef]
- Mu, W.; Lin, H.; Wang, Z.; Li, C.; Yang, M.; Nie, W.; Wu, J. A flower-shaped miniaturized UWB-MIMO antenna with high isolation. Electronics 2022, 11, 2190. [Google Scholar] [CrossRef]
- Daghari, M.; Abdelhamid, C.; Sakli, H. High isolation with defected ground structures for MIMO elliptical multi-Antennas. In Proceedings of the 2019 16th International Multi-Conference on Systems, Signals & Devices (SSD), Istanbul, Turkey, 21–24 March 2019; pp. 509–513. [Google Scholar]
- Verulkar, S.M.; Khade, A.; Trimukhe, M.A.; Gupta, R.K. Compact wideband four elements MIMO antenna for 5G applications. Prog. Electromagn. Res. C 2023, 137, 199–209. [Google Scholar] [CrossRef]
- Sahu, N.K.; Das, G.; Gangwar, R.K. Circularly polarized offset-fed DRA elements & their application in compact MIMO antenna. Eng. Sci. Technol. Int. J. 2022, 28, 101015. [Google Scholar]
- Sun, L.; Li, Y.; Zhang, Z.; Wang, H. Self-decoupled MIMO antenna pair with shared radiator for 5G smartphones. IEEE Trans. Antennas Propag. 2020, 68, 3423–3432. [Google Scholar] [CrossRef]
- Khan, A.; He, Y.; He, Z.; Chen, Z.N. A compact quadruple-band circular polarized MIMO antenna with low mutual coupling. IEEE Trans. Circuits Syst. II Express Briefs 2022, 70, 501–505. [Google Scholar] [CrossRef]
- Tran, H.H.; Nguyen-Trong, N. Performance enhancement of MIMO patch antenna using parasitic elements. IEEE Access 2021, 9, 30011–30016. [Google Scholar] [CrossRef]
- Sanmugasundaram, R.; Natarajan, S.; Rajkumar, R. A compact MIMO antenna with electromagnetic bandgap structure for isolation enhancement. Prog. Electromagn. Res. C 2021, 107, 233–244. [Google Scholar] [CrossRef]
- Kumar, P.; Sinha, R.; Choubey, A.; Mahto, S.K. A novel metamaterial electromagnetic band gap (MM-EBG) isolator to reduce mutual coupling in low-profile MIMO antenna. J. Electron. Mater. 2022, 51, 626–634. [Google Scholar] [CrossRef]
- Hu, W.; Li, Q.; Wu, H.; Chen, C.; Wen, L.; Jiang, W.; Gao, S. Dual-band antenna pair with high isolation using multiple orthogonal modes for 5G smartphones. IEEE Trans. Antennas Propag. 2023, 71, 1949–1954. [Google Scholar] [CrossRef]
- Xu, Z.; Deng, C. High-isolated MIMO antenna design based on pattern diversity for 5G mobile terminals. IEEE Antennas Wirel. Propag. Lett. 2020, 19, 467–471. [Google Scholar] [CrossRef]
- Al-Azzawi, Z.F.; AbdulSattar, R.K.; Muhsin, M.Y.; Azeez, M.A.; Salim, A.J.; Ali, J.K. Designing eight-port antenna array for multi-band MIMO applications in 5G smartphones. J. Telecommun. Inf. Technol. 2023, 2023, 1–3. [Google Scholar]
- Moses, A.T.Z.; Moses, N.; Janapala, D.K. An electrically small 4-port self-decoupled MIMO antenna pairs operating in n78 5G NR band for smartphone applications. AEU-Int. J. Electron. Commun. 2022, 145, 154082. [Google Scholar] [CrossRef]
- Guo, J.; Cui, L.; Li, C.; Sun, B. Side-edge frame printed eight-port dual-band antenna array for 5G smartphone applications. IEEE Trans. Antennas Propag. 2018, 66, 7412–7417. [Google Scholar] [CrossRef]
- Penmatsa, K.K.V.; Narayanaswamy, N.K.; Dwivedi, A.K.; Singh, V.; Patel, K.S.V. Quad port MIMO circularly polarized antenna for n77/n78 5G coverage with spatial and polarization diversity. Wirel. Pers. Commun. 2024, 135, 1–20. [Google Scholar] [CrossRef]
- Huang, J.; Shen, L.; Xiao, S.; Shi, X.; Liu, G. A miniature eight-port antenna array based on split-ring resonators for 5G sub-6 GHz handset applications. Sensors 2023, 23, 9734. [Google Scholar] [CrossRef] [PubMed]
- Kiani, S.H.; Khan, M.A.; Rafique, U.; Marey, M.; Alharbi, A.G.; Mostafa, H.; Khan, M.A.; Abbas, S.M. High performance eight-port dual-band MIMO antenna system for 5G devices. Micromachines 2022, 13, 959. [Google Scholar] [CrossRef] [PubMed]
- Zhang, X.; Li, Y.; Wang, W.; Shen, W. Ultra-wideband 8-port MIMO antenna array for 5G metal-frame smartphones. IEEE Access 2019, 7, 72273–72282. [Google Scholar] [CrossRef]






















| Parameter | Value | Parameter | Value | Parameter | Value |
|---|---|---|---|---|---|
| W1 | 6.2 | W8 | 6.2 | L4 | 1.5 |
| W2 | 1.0 | W9 | 0.6 | L5 | 0.7 |
| W3 | 1.5 | W10 | 0.7 | L6 | 1.0 |
| W4 | 1.0 | W11 | 7.0 | L7 | 0.3 |
| W5 | 1.5 | L1 | 1.0 | L8 | 1.0 |
| W6 | 2.0 | L2 | 0.8 | L9 | 4.0 |
| W7 | 2.2 | L3 | 1.7 |
| Ref | Operating Bands (GHz) | Total Size (mm2) | Dimension of Single Antenna Element (mm3) | Isolation (dB) | ECC | Max Efficiency |
|---|---|---|---|---|---|---|
| [28] | 3.445–4.2 (−10 dB) | 150 × 75 × 0.8 | 11.57 × 17.95 × 0.8 | >10 | <0.3 | 84 |
| [30] | 3.4–3.6 and 4.8–5.1 (−10 dB) | 150 × 75 × 7 | 15 × 3.1 × 0.8 | >11.5 | <0.08 | 79 |
| [31] | 3.4–4.7 (−10 dB) | 37 × 30 × 0.8 | 17 × 8 × 0.8 | >15 | <0.005 | 95 |
| [32] | 3.3–5 (−10 dB) | 150 × 75 × 0.8 | 6.8 × 7 × 1 | >12 | <0.12 | 82 |
| [33] | 3.3–5 (−10 dB) | 150 × 75 × 0.8 | 15.5 × 17 × 0.8 | >10 | <0.1 | 72 |
| [34] | 3.3–6 (−6 dB) | 150 × 75 × 7 | 15 × 13 × 0.8 | >10 | <0.12 | 71 |
| This work | 3.3–5 (−10 dB) | 150 × 75 × 7 | 6.8 × 7 × 0.8 | >16 | <0.09 | 95 |
Disclaimer/Publisher’s Note: The statements, opinions and data contained in all publications are solely those of the individual author(s) and contributor(s) and not of MDPI and/or the editor(s). MDPI and/or the editor(s) disclaim responsibility for any injury to people or property resulting from any ideas, methods, instructions or products referred to in the content. |
© 2025 by the authors. Licensee MDPI, Basel, Switzerland. This article is an open access article distributed under the terms and conditions of the Creative Commons Attribution (CC BY) license (https://creativecommons.org/licenses/by/4.0/).
Share and Cite
Miao, Y.; He, L.; Liu, G. A Miniaturized Eight-Port MIMO Antenna for 5G Ultra-Slim Smartphones. Electronics 2025, 14, 566. https://doi.org/10.3390/electronics14030566
Miao Y, He L, Liu G. A Miniaturized Eight-Port MIMO Antenna for 5G Ultra-Slim Smartphones. Electronics. 2025; 14(3):566. https://doi.org/10.3390/electronics14030566
Chicago/Turabian StyleMiao, Youming, Lei He, and Gui Liu. 2025. "A Miniaturized Eight-Port MIMO Antenna for 5G Ultra-Slim Smartphones" Electronics 14, no. 3: 566. https://doi.org/10.3390/electronics14030566
APA StyleMiao, Y., He, L., & Liu, G. (2025). A Miniaturized Eight-Port MIMO Antenna for 5G Ultra-Slim Smartphones. Electronics, 14(3), 566. https://doi.org/10.3390/electronics14030566

