Dual-Band Dual-Circularly Polarized Shared-Aperture Phased Array for S-/C-Band Satellite Communications
Abstract
1. Introduction
2. Configurations and Design Principles
2.1. Architecture of the Shared-Aperture CP Array
2.2. S-/C-Band Elements and Generation of CP
2.3. Array Design: Sequential Rotation
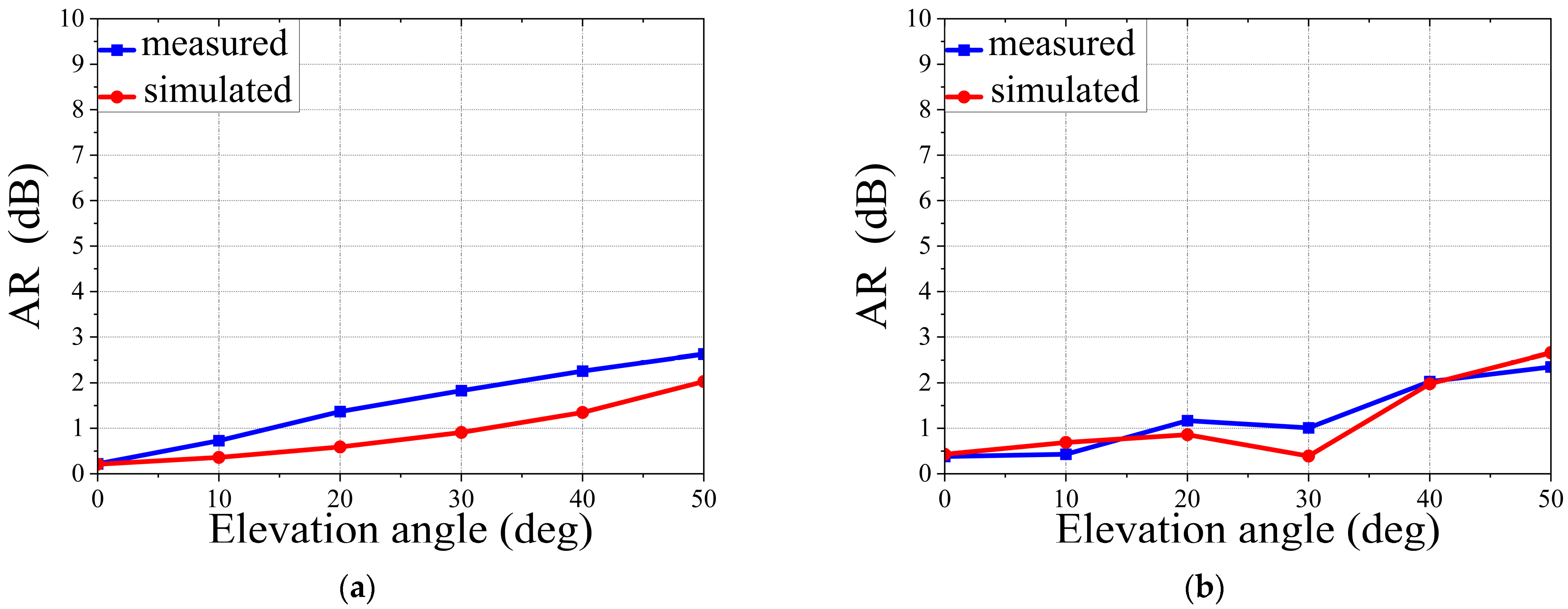
3. Results
3.1. Simulated Results
3.2. Antenna Prototype Fabrication and Measurement
4. Discussion
5. Conclusions
Author Contributions
Funding
Data Availability Statement
Conflicts of Interest
References
- Shafai, L.L.; Chamma, W.A.; Barakat, M.; Strickland, P.C.; Seguin, G. Dual-band dual-polarized perforated microstrip antennas for SAR applications. IEEE Trans. Antennas Propag. 2000, 48, 58–66. [Google Scholar] [CrossRef]
- Sung, Y. Dual-Band Circularly Polarized Pentagonal Slot Antenna. IEEE Antennas Wirel. Propag. Lett. 2011, 10, 259–261. [Google Scholar] [CrossRef]
- Ko, S.T.; Park, B.C.; Lee, J.H. Dual-Band Circularly Polarized Patch Antenna with First Positive and Negative Modes. IEEE Antennas Wirel. Propag. Lett. 2013, 12, 1165–1168. [Google Scholar] [CrossRef]
- Imbriale, W.A.; Boccia, L. Space Antenna Handbook; Wiley Online Library: Hoboken, NJ, USA, 2012. [Google Scholar]
- Li, B.; Yin, Y.Z.; Hu, W.; Ding, Y.; Zhao, Y. Wideband Dual-Polarized Patch Antenna with Low Cross Polarization and High Isolation. IEEE Antennas Wirel. Propag. Lett. 2012, 11, 427–430. [Google Scholar]
- Bai, C.X.; Cheng, Y.J.; Ding, Y.R.; Zhang, J.F. A Metamaterial-Based S/X-Band Shared-Aperture Phased-Array Antenna with Wide Beam Scanning Coverage. IEEE Trans. Antennas Propag. 2020, 68, 4283–4292. [Google Scholar] [CrossRef]
- Peng, W.F.; Ye, W.J.; He, S.H. A novel dual-band and dual circular-polarization feed for paraboloidal reflector antenna. In Proceedings of the 2012 International Conference on Microwave and Millimeter Wave Technology (ICMMT), Shenzhen, China, 5–8 May 2012; pp. 1–3. [Google Scholar]
- Sarkar, S.; Gupta, B. A Dual-Band Circularly Polarized Antenna with a Dual-Band AMC Reflector for RFID Readers. IEEE Antennas Wirel. Propag. Lett. 2020, 19, 796–800. [Google Scholar] [CrossRef]
- Mao, C.X.; Gao, S.; Wang, Y.; Chu, Q.X.; Yang, X.X. Dual-Band Circularly Polarized Shared-Aperture Array for C-/X -Band Satellite Communications. IEEE Trans. Antennas Propag. 2017, 65, 5171–5178. [Google Scholar] [CrossRef]
- Nayeri, P.; Lee, K.F.; Elsherbeni, A.Z.; Yang, F. Dual-Band Circularly Polarized Antennas Using Stacked Patches with Asymmetric U-Slots. IEEE Antennas Wirel. Propag. Lett. 2011, 10, 492–495. [Google Scholar] [CrossRef]
- Ye, S.; Geng, J.; Liang, X.; Guo, Y.J.; Jin, R. A Compact Dual-Band Orthogonal Circularly Polarized Antenna Array with Disparate Elements. IEEE Trans. Antennas Propag. 2015, 63, 1359–1364. [Google Scholar] [CrossRef]
- Shavit, R.; Pazin, L.; Israeli, Y.; Sigalov, M.; Leviatan, Y. Dual frequency and dual circular polarization microstrip nonresonant array pin-fed from a radial line. IEEE Trans. Antennas Propag. 2005, 53, 3897–3905. [Google Scholar] [CrossRef]
- Jou, C.F.; Wu, J.W.; Wang, C.J. Novel Broadband Monopole Antennas with Dual-Band Circular Polarization. IEEE Trans. Antennas Propag. 2009, 57, 1027–1034. [Google Scholar] [CrossRef]
- Ferrando-Rocher, M.; Herranz-Herruzo, J.I.; Valero-Nogueira, A.; Baquero-Escudero, M. Dual-Band Single-Layer Slot Array Antenna Fed by K/Ka-Band Dual-Mode Resonators in Gap Waveguide Technology. IEEE Antennas Wirel. Propag. Lett. 2021, 20, 416–420. [Google Scholar] [CrossRef]
- Zhang, J.D.; Wu, W.; Fang, D.G. Dual-Band and Dual-Circularly Polarized Shared-Aperture Array Antennas with Single-Layer Substrate. IEEE Trans. Antennas Propag. 2016, 64, 109–116. [Google Scholar] [CrossRef]
- Sandhu, A.I.; Arnieri, E.; Amendola, G.; Boccia, L.; Meniconi, E.; Ziegler, V. Radiating Elements for Shared Aperture Tx/Rx Phased Arrays at K/Ka Band. IEEE Trans. Antennas Propag. 2016, 64, 2270–2282. [Google Scholar] [CrossRef]
- Jackson, D.R.; Alexopoulos, N.G. Simple approximate formulas for input resistance, bandwidth, and efficiency of a resonant rectangular patch. IEEE Trans. Antennas Propag. 1991, 39, 407–410. [Google Scholar] [CrossRef]
- Chang, X.; Wang, H.B.; Li, T.J.; Jin, S.C.; Liu, D.G.; Cheng, Y.J. Shared-Aperture Phased Array Antenna with Codesigned Near-Field Coupled Circular Polarizer Loaded for K/Ka-Band Wide-Angle Satellite Communication. IEEE Trans. Antennas Propag. 2022, 70, 7478–7490. [Google Scholar] [CrossRef]
- Liu, W.; Cao, Y.; Chen, J.; Yan, S. Design of a Low-Profile Dual-Band Shared-Aperture Circularly Polarized Phased Array. IEEE Antennas Wirel. Propag. Lett. 2024, 23, 543–547. [Google Scholar] [CrossRef]
- Zhang, J.D.; Zhu, L.; Liu, N.W.; Wu, W. Dual-Band and Dual-Circularly Polarized Single-Layer Microstrip Array Based on Multiresonant Modes. IEEE Trans. Antennas Propag. 2017, 65, 1428–1433. [Google Scholar] [CrossRef]















| Operating Frequency | S @ 1.975 GHz | C @ 3.55 GHz |
|---|---|---|
| Bandwidth (GHz) | 1.93–2.03 (5.3%) | 3.36–3.75 (11%) |
| Polarization | RHCP | LHCP |
| Element Spacing | 0.58 λ | 0.52 λ |
| Boresight Gain of 64-Elements Array (dB) | 23.57 | 23.34 |
| Scanning Range | ±50° | ±50° |
| θ = 50° Side Lobe Level (dB) | −12.5 | −13.1 |
| Works | Operation Bands | Frequency Ratio | Structure | Element Spacing | Scanning Range |
|---|---|---|---|---|---|
| [18] | K/Ka | 1:1.5 | Multi-layer | 0.49 λ/0.53 λ | 55°/60° |
| [19] | Ku/K | 1:1.5 | Multi-layer | 0.63 λ/0.62 λ | 26°/30° |
| [15] | X/Ku | 1:1.46 | Single-layer | 0.67 λ/0.95 λ | - |
| [20] | S/C | 1:1.45 | Single-layer | 0.57 λ/0.81 λ | - |
| Our work | S/C | 1:1.8 | Single-layer | 0.58 λ/0.52 λ | 50°/50° |
Disclaimer/Publisher’s Note: The statements, opinions and data contained in all publications are solely those of the individual author(s) and contributor(s) and not of MDPI and/or the editor(s). MDPI and/or the editor(s) disclaim responsibility for any injury to people or property resulting from any ideas, methods, instructions or products referred to in the content. |
© 2025 by the authors. Licensee MDPI, Basel, Switzerland. This article is an open access article distributed under the terms and conditions of the Creative Commons Attribution (CC BY) license (https://creativecommons.org/licenses/by/4.0/).
Share and Cite
Xiao, Y.; He, L.; Wei, X. Dual-Band Dual-Circularly Polarized Shared-Aperture Phased Array for S-/C-Band Satellite Communications. Electronics 2025, 14, 387. https://doi.org/10.3390/electronics14020387
Xiao Y, He L, Wei X. Dual-Band Dual-Circularly Polarized Shared-Aperture Phased Array for S-/C-Band Satellite Communications. Electronics. 2025; 14(2):387. https://doi.org/10.3390/electronics14020387
Chicago/Turabian StyleXiao, Yuanming, Lianxing He, and Xiaoli Wei. 2025. "Dual-Band Dual-Circularly Polarized Shared-Aperture Phased Array for S-/C-Band Satellite Communications" Electronics 14, no. 2: 387. https://doi.org/10.3390/electronics14020387
APA StyleXiao, Y., He, L., & Wei, X. (2025). Dual-Band Dual-Circularly Polarized Shared-Aperture Phased Array for S-/C-Band Satellite Communications. Electronics, 14(2), 387. https://doi.org/10.3390/electronics14020387

