Design of Ultra-Wideband Low RCS Antenna Based on Polarization Conversion Metasurface
Abstract
1. Introduction
2. Antenna Unit Design and Simulation
2.1. PCM Unit
2.2. PCM Unit Performance
2.3. The Principle of RCS Reduction
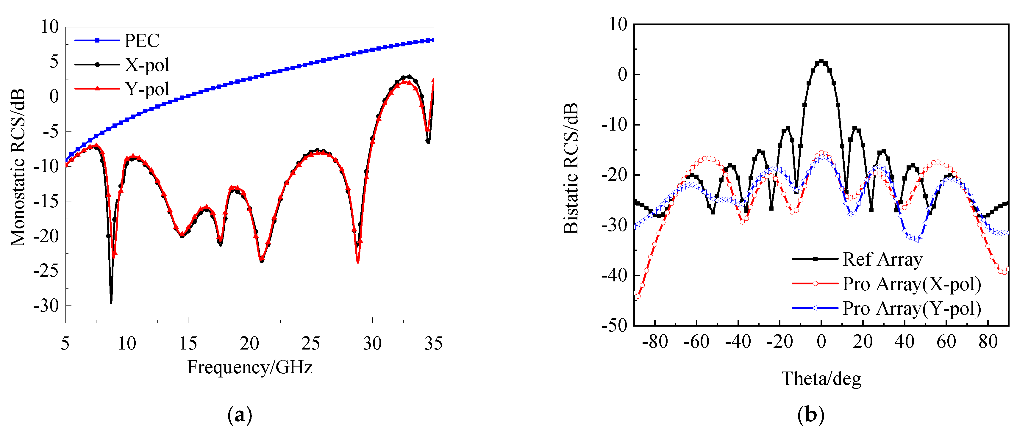
3. Antenna Scattering Performance
3.1. Antenna Array
3.2. Load a Low RCS Antenna for Polarization Conversion Metasurface
3.3. Physical Picture of the Antenna
4. Conclusions
Author Contributions
Funding
Data Availability Statement
Acknowledgments
Conflicts of Interest
References
- Xi, Y.; Jiang, W.; Hong, T.; Wei, K.; Gong, S. Wideband and wide-angle radar cross section reduction using a hybrid mechanism metasurface. Opt. Express 2021, 29, 22427–22441. [Google Scholar] [CrossRef] [PubMed]
- Fu, C.; Han, L.; Liu, C.; Sun, Z.; Lu, X. Dual-band polarization conversion metasurface for RCS reduction. IEEE Trans. Antennas Propag. 2020, 69, 3044–3049. [Google Scholar] [CrossRef]
- Knott, E.F.; Schaeffer, J.F.; Tulley, M.T. Radar Cross Section; SciTech Publishing: Raleigh, NC, USA, 2004. [Google Scholar]
- Xu, W.; Wang, J.; Chen, M.; Zhang, Z.; Li, Z. A novel microstrip antenna with composite patch structure for reduction of in-band RCS. IEEE Antennas Wirel. Propag. Lett. 2014, 14, 139–142. [Google Scholar] [CrossRef]
- Liu, Y.; Zhao, X. Perfect absorber metamaterial for designing low-RCS patch antenna. IEEE Antennas Wirel. Propag. Lett. 2014, 13, 1473–1476. [Google Scholar] [CrossRef]
- Genovesi, S.; Costa, F.; Monorchio, A. Low-profile array with reduced radar cross section by using hybrid frequency selective surfaces. IEEE Trans. Antennas Propag. 2012, 60, 2327–2335. [Google Scholar] [CrossRef]
- Kumar, A.; Padhi, J.; Reddy, G.S.; Narayan, S. FSS based Wide Band and Polarization-Insensitive EM Wave Absorber for RCS Reduction Application. In Proceedings of the 2023 IEEE Wireless Antenna and Microwave Symposium (WAMS), Ahmedabad, India, 7–10 June 2023; pp. 1–4. [Google Scholar]
- Cheng, Y.F.; Peng, F.; Liao, C.; Ding, X. Broadband Low-RCS Antenna Combining FSS Transmission and Metamaterial Absorption. In Proceedings of the 2021 International Conference on Microwave and Millimeter Wave Technology (ICMMT), Nanjing, China, 23–26 May 2021; pp. 1–3. [Google Scholar]
- El-Sewedy, M.F.; Abdalla, M.A. A monostatic and bistatic RCS reduction using artificial magnetic conductor metasurface. IEEE Trans. Antennas Propag. 2022, 71, 1988–1992. [Google Scholar] [CrossRef]
- Cheng, Y.F.; Feng, J.; Liao, C.; Ding, X. Analysis and design of wideband low-RCS wide-scan phased array with AMC ground. IEEE Antennas Wirel. Propag. Lett. 2020, 20, 209–213. [Google Scholar] [CrossRef]
- Jing, S.; Xu, L.; Su, X.; Wang, L.; Zhang, T. A Low RCS Microstrip Antenna Based on Chessboard AMC Structure in Ku-band. In Proceedings of the 2024 14th International Symposium on Antennas, Propagation and EM Theory (ISAPE), Hefei, China, 23–26 October 2024; pp. 1–4. [Google Scholar]
- Zhu, L.; Sun, J.; Hao, Z.; Kuai, X.; Zhang, H.; Cao, Q. A broadband low-RCS antenna based on hybrid mechanism metasurface. IEEE Antennas Wirel. Propag. Lett. 2022, 22, 975–979. [Google Scholar] [CrossRef]
- Wang, B.; Lin, X.Q.; Kang, Y.X.; Hu, R.X. Low-RCS broadband phased array using polarization selective metamaterial surface. IEEE Antennas Wirel. Propag. Lett. 2021, 21, 94–98. [Google Scholar] [CrossRef]
- Baghel, A.K.; Kulkarni, S.S.; Nayak, S.K. Linear-to-cross-polarization transmission converter using ultrathin and smaller periodicity metasurface. IEEE Antennas Wirel. Propag. Lett. 2019, 18, 1433–1437. [Google Scholar] [CrossRef]
- Wang, H.B.; Cheng, Y.J.; Chen, Z.N. Wideband and wide-angle single-layered-substrate linear-to-circular polarization metasurface converter. IEEE Trans. Antennas Propag. 2019, 68, 1186–1191. [Google Scholar] [CrossRef]
- Li, Y.; Yang, H. Low-RCS Low-Profile Patch Antenna Using Polarization Conversion Metasurface. In Proceedings of the 2023 International Applied Computational Electromagnetics Society Symposium (ACES-China), Hangzhou, China, 15–18 August 2023; pp. 1–3. [Google Scholar]
- Su, Q.; Cheng, Y.; Yin, P.; Cheng, Y.; Chen, L. A Broadband Low RCS Antenna Based on Polarization Conversion Metasurface. In Proceedings of the 2023 IEEE International Symposium on Antennas and Propagation (ISAP), Kuala Lumpur, Malaysia, 30 October–2 November 2023; pp. 1–2. [Google Scholar]
- Gao, K.; Cao, X.; Gao, J.; Li, T.; Yang, H.; Li, S. Low-RCS metasurface antenna array design with improved radiation performance using odd-and even-mode analysis. IEEE Antennas Wirel. Propag. Lett. 2021, 21, 421–425. [Google Scholar] [CrossRef]
- Zhu, L.; Sun, J.; Xu, G.; Hao, Z.; Cao, Q. An integrated antenna array with broadband, low-RCS, and high-gain characteristics. IEEE Trans. Antennas Propag. 2024, 72, 5408–5413. [Google Scholar] [CrossRef]
- Gao, X.; He, L.Y.; Yin, S.J.; Xue, C.H.; Wang, G.F.; Xie, X.M.; Xiong, H.; Cheng, Q.; Cui, T.J. Ultra-wideband low-RCS circularly polarized antennas realized by bilayer polarization conversion metasurfaces and novel feeding networks. IEEE Trans. Antennas Propag. 2023, 72, 1959–1964. [Google Scholar] [CrossRef]
- Gao, X.; Yin, S.; Wang, G.; Xue, C.; Xie, X. Broadband low-RCS circularly polarized antenna realized by nonuniform metasurface. IEEE Antennas Wirel. Propag. Lett. 2022, 21, 2417–2421. [Google Scholar] [CrossRef]
- Sun, S.; Jiang, W.; Li, X.; Liu, P.; Gong, S. Ultrawideband high-efficiency 2.5-dimensional polarization conversion metasurface and its application in RCS reduction of antenna. IEEE Antennas Wirel. Propag. Lett. 2019, 18, 881–885. [Google Scholar] [CrossRef]
- Liu, J.; Li, J.Y.; Chen, Z.N. Broadband polarization conversion metasurface for antenna RCS reduction. IEEE Trans. Antennas Propag. 2021, 70, 3834–3839. [Google Scholar] [CrossRef]
- Yao, W.; Gao, H.; Tian, Y.; Wu, J.; Guo, L.; Huang, X. Wideband low-RCS linear polarized array based on miniaturized polarization conversion metasurface. IEEE Trans. Antennas Propag. 2023, 71, 5663–5674. [Google Scholar] [CrossRef]
- Zheng, Q.; Liu, W.; Zhao, Q.; Kong, L.; Ren, Y.; Yang, X. Broadband RCS reduction, antenna miniaturization and bandwidth enhancement by combining reactive impedance surface and polarization conversion metasurface. IEEE Trans. Antennas Propag. 2024, 72, 7395–7400. [Google Scholar] [CrossRef]















| Parameters | a | b | r1 | r2 | r3 | l1 | L | h | h1 |
|---|---|---|---|---|---|---|---|---|---|
| Value | 1.6 | 0.8 | 2.6 | 2.17 | 0.27 | 3.1 | 6.2 | 0.5 | 2.7 |
| Refs | Configuration | Impedance BW (GHz) | Enhanced Gain (dB) | RCS Reduction BW (GHz) | Methods | |
|---|---|---|---|---|---|---|
| [22] | 1.67 × 1.67 × 0.1 | 14 × 14 | 4.01–5.07 | 0.3 | 4.4–13.5 (100% > 5 dB) | Patch antenna and PCM |
| [23] | 1.76 × 1.76 × 0.18 | 12 × 12 | 6.06–6.75 | 1 | 9.6–33.1 (110% > 10 dB) | Slot antenna and PCM |
| [24] | 1.15 × 1.15 × 0.13 | 8 × 8 | 4.8–6.0 | Not Given | 4.3–13.5 (103.37% > 7 dB) | Slot antenna and PCM |
| [25] | 3.74 × 3.74 × 0.10 | 24 × 24 | 6.53–18.63 | 2.94 | 6.1–18.9 (106% > 6 dB) | Patch antenna, MS |
| This Work | 3.84 × 3.84 × 0.20 | 12 × 12 | 8.5–30.2 | 2.8 | 8.3–31.7 (117% > 6 dB) | Patch antenna and PCM |
Disclaimer/Publisher’s Note: The statements, opinions and data contained in all publications are solely those of the individual author(s) and contributor(s) and not of MDPI and/or the editor(s). MDPI and/or the editor(s) disclaim responsibility for any injury to people or property resulting from any ideas, methods, instructions or products referred to in the content. |
© 2025 by the authors. Licensee MDPI, Basel, Switzerland. This article is an open access article distributed under the terms and conditions of the Creative Commons Attribution (CC BY) license (https://creativecommons.org/licenses/by/4.0/).
Share and Cite
Guo, H.; Zhao, Y.; Li, J.; Gao, R.; He, Z.; Yang, Z. Design of Ultra-Wideband Low RCS Antenna Based on Polarization Conversion Metasurface. Electronics 2025, 14, 2204. https://doi.org/10.3390/electronics14112204
Guo H, Zhao Y, Li J, Gao R, He Z, Yang Z. Design of Ultra-Wideband Low RCS Antenna Based on Polarization Conversion Metasurface. Electronics. 2025; 14(11):2204. https://doi.org/10.3390/electronics14112204
Chicago/Turabian StyleGuo, Haiqing, Ye Zhao, Jiangwei Li, Rui Gao, Zhihui He, and Zhimin Yang. 2025. "Design of Ultra-Wideband Low RCS Antenna Based on Polarization Conversion Metasurface" Electronics 14, no. 11: 2204. https://doi.org/10.3390/electronics14112204
APA StyleGuo, H., Zhao, Y., Li, J., Gao, R., He, Z., & Yang, Z. (2025). Design of Ultra-Wideband Low RCS Antenna Based on Polarization Conversion Metasurface. Electronics, 14(11), 2204. https://doi.org/10.3390/electronics14112204

