Adaptive Reactive Power Optimization in Offshore Wind Farms Based on an Improved Particle Swarm Algorithm
Abstract
1. Introduction
- (1)
- An adaptive reactive power optimization model for OWFs is established, with the objectives of minimizing the sum of voltage deviations at WT terminals, minimizing active power network losses, and maximizing the reactive power margin. The weights of the three sub-objectives in the model are adaptively adjusted based on real-time operating conditions.
- (2)
- An improved PSO algorithm is proposed. The improvements include the utilization of a uniform initialization method for particle positions and the adaptive adjustment of particle inertia coefficients based on the fitness of particles.
2. Adaptive Reactive Power Optimization Model for OWFs
2.1. Optimization Objective Function
2.2. Constraints
2.2.1. Equational Constraint
2.2.2. Inequality Constraint
3. Improved PSO Algorithm
3.1. Basic PSO Algorithm
3.2. UAPSO Algorithm
3.2.1. Particle Velocity Update Method Based on Fitness Sorting
3.2.2. Uniform Initialization Method for Particle Swarm
4. The UAPSO Algorithm Solving Process
- 1.
- Input WF data and perform the first power flow calculation to obtain initial voltages at each node and calculate the initial reactive power reserve of WTs. Determine the weighting coefficients of the optimization objective function.
- 2.
- Uniformly initialize the particle swarm and perform the first strategy solution to determine the initial optimal position and best fitness of the population.
- 3.
- Calculate the average fitness of the population and the average fitness of excellent particles , and determine if the number of iterations has reached halfway. Calculate the inertia coefficient value of particle velocity, and update particle velocity and position.
- 4.
- Substitute particle positions into the power flow calculation to obtain fitness values and update the population’s optimal position and historical optimal position.
- 5.
- Determine if the maximum number of iterations has been reached. If yes, end the iteration; otherwise, return to step 3.
- 6.
- Output the optimal fitness and position of particles to obtain the reactive power optimization strategy for the WF.
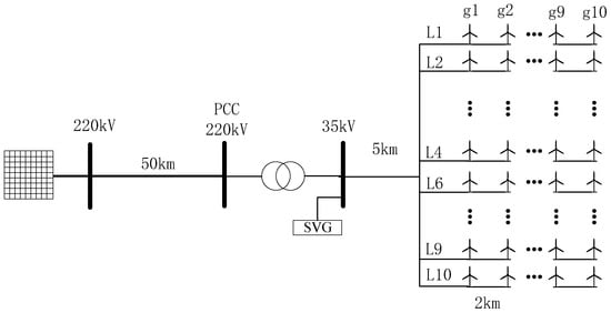
5. Case Analysis
5.1. Simulation Parameter Settings
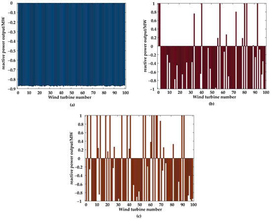
5.2. Comparison of the Optimization Effects of Different Algorithms
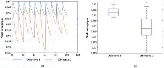
5.3. Comparison of Optimization Results for Different Optimization Objectives
5.4. Comparison of Optimization Effects of Different Multi-Objective Weighting Methods
5.5. Adaptability of Adaptive Reactive Power Optimization Strategies under Various Operating Conditions
5.5.1. Optimization Effect of Different Active Outputs of WT
5.5.2. Optimization Effect of Different Voltage References
6. Conclusions
- 1.
- The proposed method can reduce the voltage deviation and active power loss in OWFs, increase the reactive power reserve, and enhance the stability, economy, and robustness of WF operation.
- 2.
- The uniform initialization of particles in PSO broadens the search range, avoiding getting stuck in local optimal values, and adaptive inertia coefficients effectively accelerate the convergence speed of the particle swarm.
- 3.
- When the operating state of the WF changes, the weighting coefficients between optimization objectives can be adaptively adjusted based on real-time operating conditions, ensuring that important objectives under different conditions are prioritized and guaranteed.
Author Contributions
Funding
Data Availability Statement
Conflicts of Interest
References
- Yan, P.Q.; Wang, Z.P.; Chen, Z.X.R. Reactive power optimization for wind farm considering impact of topology. Power Syst. Prot. Control 2016, 44, 76–82. [Google Scholar]
- Fu, Y.; Pan, X.L.; Huang, L.L. Reactive power optimization for offshore wind farm considering reactive power regulation capability of doubly-fed induction generators. Power Syst. Technol. 2014, 38, 2168–2173. [Google Scholar]
- Zhang, L.; Jiang, Z.Q.; Ni, J.H.; Zhou, H.; Lu, Y.U.; Xiang, J. Internal reactive power optimization of offshore wind farms using second-order cone convex relaxation. Electr. Power Constr. 2024, 1, 92–101. [Google Scholar]
- Wang, Y.; Wang, T.; Zhou, K.P.; Cao, K.; Cai, D.F.; Liu, H.G.; Zhou, C. Reactive power optimization of wind farm considering reactive power regulation capacity of wind generators. In Proceedings of the IEEE PES Innovative Smart Grid Technologies Asia, Chengdu, China, 21–24 May 2019. [Google Scholar]
- Ma, M.; Du, W.L.; Tao, R.; Wang, M.; Liao, K. Hierarchical Voltage Optimal Control Strategy of Wind Farms Based on Robust Optimization. J. Tianjin Univ. (Sci. Technol.) 2021, 54, 1309–1316. [Google Scholar]
- Wu, X.; Liu, T.Y.; Jiang, X.C.; Sheng, G.H. Research on reactive power optimization of offshore wind farm based on improved genetic algorithm. Electr. Meas. Instrum. 2020, 57, 108–113. [Google Scholar]
- Xing, Z.; Yan, N.; Xiao, W.Q.; Li, W. Multi-timescale multi-objective reactive power optimization of dispersed wind farm. Electr. Mach. Control 2016, 20, 46–52. [Google Scholar]
- Niu, T.; Guo, Q.L.; Sun, H.B.; Liu, H.T.; Zhang, B.M.; Du, Y.L. Dynamic reactive power reserve optimization in wind power integration areas. IET Gener. Transm. Distrib. 2018, 12, 507–517. [Google Scholar] [CrossRef]
- Ma, H.; Ma, L.L.; Zhang, Z.X.; Zhu, Y.Z.; Li, G.H.; Wang, Y.Q. Optimal reactive power allocation of a wind farm with SVG for voltage stability enhancement. In Proceedings of the International Conference on Power System Technology, Jinan, China, 21–22 September 2023. [Google Scholar]
- Ni, F.Y.; Qin, X.H.; Huang, Z.H.; Yang, Y.X.; Niu, Z.B.; Zuo, W.L. Optimal control strategy of reactive power and voltage for wind farm based on LinWPSO algorithm. In Proceedings of the Asia Conference on Energy and Electrical Engineering, Chengdu, China, 21–23 July 2023. [Google Scholar]
- Xiao, Y.Q.; Wang, Y.; Sun, Y.P. Reactive power optimal control of a wind farm for minimizing collector system losses. Energies 2018, 11, 3177. [Google Scholar] [CrossRef]
- Wang, D.S.; Tan, D.P.; Liu, L. Particle swarm optimization algorithm: An overview. Soft Comput. 2017, 22, 387–408. [Google Scholar] [CrossRef]
- Zishan, F.; Akbari, E.; Montoya, O.D.; Giral-Ramírez, D.A.; Molina-Cabrera, A. Efficient PID control design for frequency regulation in an independent microgrid based on the hybrid PSO-GSA algorithm. Electronics 2022, 11, 3886. [Google Scholar] [CrossRef]
- Kandati, D.R.; Gadekallu, T.R. Federated learning approach for early detection of chest lesion caused by COVID-19 infection using particle swarm optimization. Electronics 2023, 12, 710. [Google Scholar] [CrossRef]
- Xu, Q.H.; Lan, Y. Reactive power optimization of distribution network with distributed power based on MOPSO algorithm. In Proceedings of the International Conference on Clean Energy and Power Generation Technology, Zhenjiang, China, 9–11 December 2022. [Google Scholar]
- Li, J.H.; Huang, H.Y.; Lou, B.L.; Peng, Y.; Huang, Q.X.; Xia, K. Wind farm reactive power and voltage control strategy based on adaptive discrete binary particle swarm optimization algorithm. In Proceedings of the Asia Power and Energy Engineering Conference, Chengdu, China, 29–31 March 2019. [Google Scholar]
- Singh, N.; Sharma, A.K.; Tiwari, M.; Jasinski, M.; Leonowicz, Z.; Rusek, S.; Gono, R. Robust control of SEDCM by Fuzzy-PSO. Electronics 2023, 12, 335. [Google Scholar] [CrossRef]
- Song, Y.J.; Liu, Y.; Chen, H.Y.; Deng, W. A multi-strategy adaptive particle swarm optimization algorithm for solving optimization problem. Electronics 2023, 12, 491. [Google Scholar] [CrossRef]
- Hsieh, F.S. Comparison of a hybrid firefly–Particle swarm optimization algorithm with six hybrid firefly–Differential evolution algorithms and an effective cost-saving allocation method for ridesharing recommendation systems. Electronics 2024, 13, 324. [Google Scholar] [CrossRef]
- Jiang, F.; Li, T.; Cui, D.; Zhang, C.L.; Xiao, H.F. Reactive power optimization strategy of wind farm based on particle swarm optimization algorithm. In Proceedings of the 2022 IEEE Transportation Electrification Conference and Expo, Asia-Pacific, Haining, China, 28–31 October 2022. [Google Scholar]










| Cable Class | Unit Reactance Ω/km | Unit Capacitance µF/km | 
|---|---|---|
| 220 kV | 0.0735 | 0.1509 | 
| 35 kV | 0.129 | 0.326 | 
| Parameters | Value | 
|---|---|
| rated power Pn/kW | 3000 | 
| rated apparent power Sn/kVA | 3160 | 
| rated voltage Un/V | 690 | 
| rated current In/A | 2644 | 
| rated frequency fn/Hz | 50 | 
| rated wind speed vn/(m/s) | 10.5 | 
| PSO | DPSO | UAPSO | |
|---|---|---|---|
| Solution duration/s | 275.77 | 276.65 | 244.72 | 
| Weight Combination | Value | Reactive Power Margin (MW) | 
|---|---|---|
| combination 1 | [0.2, 0.6, 0.2] | 0.1319 | 
| combination 2 | [0.4, 0.4, 0.2] | 0.1312 | 
| combination 3 | [0.8, 0.1, 0.1] | 0.1308 | 
| adaptive | [0.7, 0.1, 0.2] | 0.1309 | 
| Conditions (Active Output/MW) | Weighting Factor | Reactive Power Margin (MW) | 
|---|---|---|
| 0.4 | [0.40, 0.55, 0.05] | 2.6946 | 
| 1.5 | [0.54, 0.40, 0.06] | 2.2283 | 
| 2.2 | [0.61, 0.31, 0.08] | 1.6534 | 
| 2.8 | [0.66, 0.14, 0.20] | 0.0625 | 
| Uref/p.u. | Weighting Factor | Reactive Power Margin/MW | 
|---|---|---|
| 0.97 | [0.70, 0.10, 0.20] | 0.1306 | 
| 1 | [0.66, 0.14, 0.20] | 0.0625 | 
| 1.03 | [0.36, 0.44, 0.20] | 0.9459 | 
| Disclaimer/Publisher’s Note: The statements, opinions and data contained in all publications are solely those of the individual author(s) and contributor(s) and not of MDPI and/or the editor(s). MDPI and/or the editor(s) disclaim responsibility for any injury to people or property resulting from any ideas, methods, instructions or products referred to in the content. | 
© 2024 by the authors. Licensee MDPI, Basel, Switzerland. This article is an open access article distributed under the terms and conditions of the Creative Commons Attribution (CC BY) license (https://creativecommons.org/licenses/by/4.0/).
Share and Cite
Fu, C.; Liu, J.; Zeng, J.; Ma, M. Adaptive Reactive Power Optimization in Offshore Wind Farms Based on an Improved Particle Swarm Algorithm. Electronics 2024, 13, 1637. https://doi.org/10.3390/electronics13091637
Fu C, Liu J, Zeng J, Ma M. Adaptive Reactive Power Optimization in Offshore Wind Farms Based on an Improved Particle Swarm Algorithm. Electronics. 2024; 13(9):1637. https://doi.org/10.3390/electronics13091637
Chicago/Turabian StyleFu, Chuanming, Junfeng Liu, Jun Zeng, and Ming Ma. 2024. "Adaptive Reactive Power Optimization in Offshore Wind Farms Based on an Improved Particle Swarm Algorithm" Electronics 13, no. 9: 1637. https://doi.org/10.3390/electronics13091637
APA StyleFu, C., Liu, J., Zeng, J., & Ma, M. (2024). Adaptive Reactive Power Optimization in Offshore Wind Farms Based on an Improved Particle Swarm Algorithm. Electronics, 13(9), 1637. https://doi.org/10.3390/electronics13091637
 
        




 
       