Advanced Interference Mitigation Method Based on Joint Direction of Arrival Estimation and Adaptive Beamforming for L-Band Digital Aeronautical Communication System
Abstract
1. Introduction
2. System Model
2.1. Signal Model
2.2. Array Model
3. DOA Estimation Based on Cyclostationary Characteristics
3.1. Cyclostationary Properties of OFDM Signals
3.2. DOA Estimation Based on the Cyclic-MUSIC Algorithm
4. Beamforming Based on INCM Reconstruction
4.1. Steering Vector Estimation
4.2. INCM Reconstruction
4.3. Weight Vector Calculation
- (1)
- Construct the dimensional data matrix using Equation (11) and the pseudo data matrix using Equation (12);
- (2)
- Perform singular value decomposition or eigenvalue decomposition on to obtain the signal and noise subspace. Then, use the MUSIC algorithm for DOA estimation to determine the directions of signals;
- (3)
- Based on the preliminary SVs obtained in step (2), construct the corresponding error neighborhood (19), and perform the Capon spectral peak search within the neighborhood to obtain the corrected SVs of each signal;
- (4)
- Directly reconstruct the ICM using Equation (25), then use the least squares method to obtain the signal and noise vectors, reconstruct the NCM, and combine ICM and NCM to obtain the reconstructed INCM;
- (5)
- Calculate the weight vector using the OFDM signal SV obtained in step (3) and the reconstructed INCM obtained in step (4).
4.4. Complexity Analysis of Beamforming
5. Simulation and Analysis
5.1. LDACS System Parameters
5.2. DOA Estimation Performance
5.3. INCM Beamforming Performance
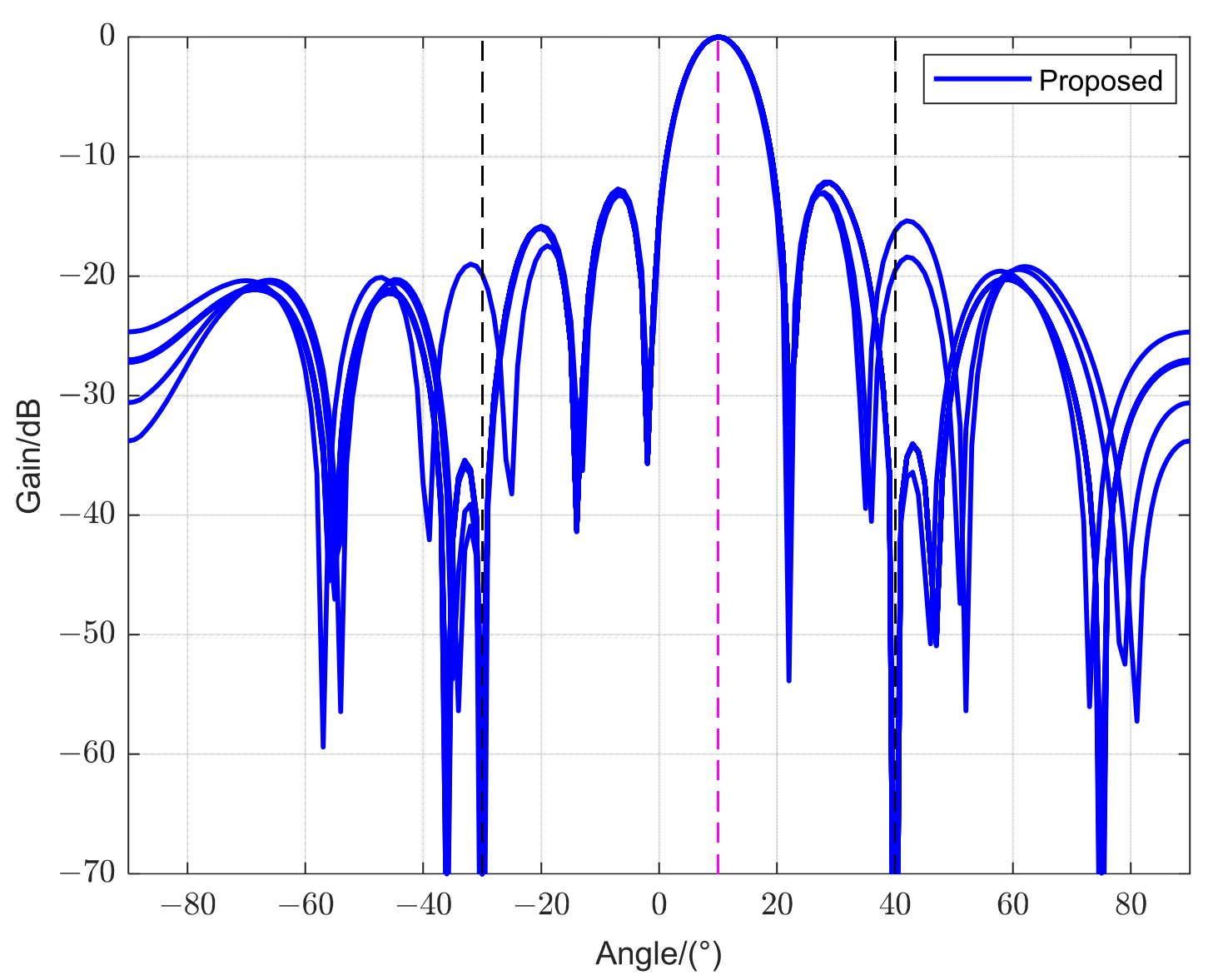
5.3.1. Beampattern
5.3.2. Relationship between Output SINR and Input SNR
5.3.3. Relationship between Output SINR and DOA Estimation Error
5.3.4. Relationship between Output SINR and Number of Snapshots
5.4. BER Performance
5.5. Comparison of Running Time of Each Algorithm
6. Conclusions
Author Contributions
Funding
Data Availability Statement
Conflicts of Interest
References
- Global Market Forecast|Airbus. Available online: https://www.airbus.com/en/products-services/commercial-aircraft/market/global-market-forecast (accessed on 7 March 2024).
- Zhou, J.; Dan, Z.; Wang, Y.; Wang, S.; Wang, Z. Impact of DME Interference on LDACS Channel Estimation in En-route Phase. In Proceedings of the 2023 IEEE/AIAA 42nd Digital Avionics Systems Conference (DASC), Barcelona, Spain, 1–5 October 2023; pp. 1–6. [Google Scholar]
- EUROCONTROL Forecast Update 2023–2029|EUROCONTROL. Available online: https://www.eurocontrol.int/publication/eurocontrol-forecast-update-2023-2029 (accessed on 7 March 2024).
- Schnell, M.; Epple, U.; Shutin, D.; Schneckenburger, N. LDACS: Future aeronautical communications for air-traffic management. IEEE Commun. Mag. 2014, 52, 104–110. [Google Scholar] [CrossRef]
- Agrawal, N.; Ambede, A.; Darak, S.J.; Vinod, A.P.; Madhukumar, A.S. Design and Implementation of Low Complexity Reconfigurable Filtered-OFDM-Based LDACS. IEEE Trans. Circuits Syst. II Express Briefs 2021, 68, 2399–2403. [Google Scholar] [CrossRef]
- Bellido-Manganell, M.A.; Gräupl, T.; Heirich, O.; Mäurer, N.; Filip-Dhaubhadel, A.; Mielke, D.M.; Schalk, L.M.; Becker, D.; Schneckenburger, N.; Schnell, M. LDACS Flight Trials: Demonstration and Performance Analysis of the Future Aeronautical Communications System. IEEE Trans. Aerosp. Electron. Syst. 2022, 58, 615–634. [Google Scholar] [CrossRef]
- Qian, L.; Xu, H.; Wang, L.; Wang, D.; Liu, X.; Shi, B. Physical Layer Security for L-Band Digital Aeronautical Communication System with Interference Mitigation. Electronics 2023, 12, 4591. [Google Scholar] [CrossRef]
- Muthalagu, R. Mitigation of DME interference in LDACS1-based future air-to-ground (A/G) communications. Cogent Eng. 2018, 5, 1472199. [Google Scholar] [CrossRef]
- Epple, U.; Schnell, M. Advanced Blanking Nonlinearity for Mitigating Impulsive Interference in OFDM Systems. IEEE Trans. Veh. Technol. 2017, 66, 146–158. [Google Scholar] [CrossRef]
- Zhidkov, S.V. Performance analysis and optimization of OFDM receiver with blanking nonlinearity in impulsive noise environment. IEEE Trans. Veh. Technol. 2006, 55, 234–242. [Google Scholar] [CrossRef]
- Epple, U.; Shutin, D.; Schnell, M. Mitigation of Impulsive Frequency-Selective Interference in OFDM Based Systems. IEEE Wirel. Commun. Lett. 2012, 1, 484–487. [Google Scholar] [CrossRef]
- Zhidkov, S.V. Analysis and comparison of several simple impulsive noise mitigation schemes for OFDM receivers. IEEE Trans. Commun. 2008, 56, 5–9. [Google Scholar] [CrossRef]
- Liu, H.; Cheng, W.; Zhang, X. DME Pulse Interference Mitigation Method Based on Joint Orthogonal Transform and Signal Interleaving. Acta Aeronaut. Astronaut. Sin. 2014, 35, 1365–1373. [Google Scholar] [CrossRef]
- Chen, C.; Zhuo, Y. A research on anti-jamming method based on compressive sensing for OFDM analogous system. In Proceedings of the 2017 IEEE 17th International Conference on Communication Technology (ICCT), Chengdu, China, 27–30 October 2017; pp. 655–659. [Google Scholar]
- Saaifan, K.A.; Elshahed, A.M.; Henkel, W. Cancelation of Distance Measuring Equipment Interference for Aeronautical Communications. IEEE Trans. Aerosp. Electron. Syst. 2017, 53, 3104–3114. [Google Scholar] [CrossRef]
- Odhah, N.A.; Hassan, E.S.; Abdelnaby, M.; Al-Hanafy, W.E.; Dessouky, M.I.; Alshebeili, S.A.; Abd El-Samie, F.E. Adaptive Resource Allocation Algorithms for Multi-user MIMO-OFDM Systems. Wirel. Pers. Commun. 2015, 80, 51–69. [Google Scholar] [CrossRef]
- Odhah, N.A.; Hassan, E.S.; Dessouky, M.I.; Al-Hanafy, W.E.; Alshebeili, S.A.; Abd El-Samie, F.E. Adaptive Per-spatial Stream Power Allocation Algorithms for Single-User MIMO-OFDM Systems. Wirel. Pers. Commun. 2018, 98, 1–31. [Google Scholar] [CrossRef]
- Liu, H.; Liu, Y.; Zhang, X. Interference mitigation method based on joint DOA estimation and main beam forming. J. Harbin Inst. Technol. 2016, 48, 103–108. [Google Scholar] [CrossRef]
- Liu, H.; Liu, Y.; Zhang, X. DME Impulse Interference Mitigation Method Based on Subspace Projection and CLEAN Algorithm. J. Signal Process. 2015, 31, 536–543. [Google Scholar] [CrossRef]
- Du, L.; Li, J.; Stoica, P. Fully Automatic Computation of Diagonal Loading Levels for Robust Adaptive Beamforming. IEEE Trans. Aerosp. Electron. Syst. 2010, 46, 449–458. [Google Scholar] [CrossRef]
- Li, J.; Stoica, P.; Wang, Z. On robust Capon beamforming and diagonal loading. IEEE Trans. Signal Process. 2003, 51, 1702–1715. [Google Scholar] [CrossRef]
- Huang, F.; Sheng, W.; Ma, X. Modified projection approach for robust adaptive array beamforming. Signal Process. 2012, 92, 1758–1763. [Google Scholar] [CrossRef]
- Jia, W.; Jin, W.; Zhou, S.; Yao, M. Robust adaptive beamforming based on a new steering vector estimation algorithm. Signal Process. 2013, 93, 2539–2542. [Google Scholar] [CrossRef]
- Zhu, X.; Ye, Z.; Xu, X.; Zheng, R. Covariance Matrix Reconstruction via Residual Noise Elimination and Interference Powers Estimation for Robust Adaptive Beamforming. IEEE Access 2019, 7, 53262–53272. [Google Scholar] [CrossRef]
- Zheng, Z.; Zheng, Y.; Wang, W.-Q.; Zhang, H. Covariance Matrix Reconstruction With Interference Steering Vector and Power Estimation for Robust Adaptive Beamforming. IEEE Trans. Veh. Technol. 2018, 67, 8495–8503. [Google Scholar] [CrossRef]
- Zhu, X.; Xu, X.; Ye, Z. Robust adaptive beamforming via subspace for interference covariance matrix reconstruction. Signal Process. 2020, 167, 107289. [Google Scholar] [CrossRef]
- Gu, Y.; Leshem, A. Robust Adaptive Beamforming Based on Interference Covariance Matrix Reconstruction and Steering Vector Estimation. IEEE Trans. Signal Process. 2012, 60, 3881–3885. [Google Scholar] [CrossRef]
- Gardner, W. Spectral Correlation of Modulated Signals: Part I—Analog Modulation. IEEE Trans. Commun. 1987, 35, 584–594. [Google Scholar] [CrossRef]
- Yang, H.; Ye, Z. Robust Adaptive Beamforming Based on Covariance Matrix Reconstruction via Steering Vector Estimation. IEEE Sens. J. 2023, 23, 2932–2939. [Google Scholar] [CrossRef]
- Hassanien, A.; Vorobyov, S.A.; Wong, K.M. Robust Adaptive Beamforming Using Sequential Quadratic Programming: An Iterative Solution to the Mismatch Problem. IEEE Signal Process. Lett. 2008, 15, 733–736. [Google Scholar] [CrossRef]
- Yuan, X.; Gan, L. Robust adaptive beamforming via a novel subspace method for interference covariance matrix reconstruction. Signal Process. 2017, 130, 233–242. [Google Scholar] [CrossRef]
- Huang, L.; Zhang, J.; Xu, X.; Ye, Z. Robust Adaptive Beamforming With a Novel Interference-Plus-Noise Covariance Matrix Reconstruction Method. IEEE Trans. Signal Process. 2015, 63, 1643–1650. [Google Scholar] [CrossRef]











| Algorithm | Theoretical Complexity |
|---|---|
| Proposed | |
| INCM-volume | |
| INCM-linear | |
| INCM-projection1 | |
| INCM-projection2 | |
| INCM-subspace |
| Parameters | Value |
|---|---|
| Transmission Bandwidth | 498.05 kHz |
| FFT Length | 64 |
| Subcarrier Spacing | 9.765625 kHz |
| Cyclic Prefix Time | 17.6 μs |
| Effective Symbol Time | 102.4 μs |
| OFDM Symbol Period | 120 μs |
| Number of Effective Subcarriers | 50 |
| Channel Coding | RS + Convolutional Coding |
| Modulation Method | QPSK |
| DME Carrier Offset | 500 kHz |
| Array Type | Uniform Linear Array |
| Number of Array Elements | 10 |
| Element Spacing | Half-wavelength |
| Channel Type | AWGN Channel |
| Algorithm | Running Time/Second |
|---|---|
| Proposed | 0.063519 |
| INCM-volume | 0.690478 |
| INCM-linear | 0.263194 |
| INCM-projection1 | 0.022785 |
| INCM-projection2 | 0.528757 |
| INCM-subspace | 0.018252 |
Disclaimer/Publisher’s Note: The statements, opinions and data contained in all publications are solely those of the individual author(s) and contributor(s) and not of MDPI and/or the editor(s). MDPI and/or the editor(s) disclaim responsibility for any injury to people or property resulting from any ideas, methods, instructions or products referred to in the content. |
© 2024 by the authors. Licensee MDPI, Basel, Switzerland. This article is an open access article distributed under the terms and conditions of the Creative Commons Attribution (CC BY) license (https://creativecommons.org/licenses/by/4.0/).
Share and Cite
Wang, L.; Hu, X.; Liu, H. Advanced Interference Mitigation Method Based on Joint Direction of Arrival Estimation and Adaptive Beamforming for L-Band Digital Aeronautical Communication System. Electronics 2024, 13, 1600. https://doi.org/10.3390/electronics13081600
Wang L, Hu X, Liu H. Advanced Interference Mitigation Method Based on Joint Direction of Arrival Estimation and Adaptive Beamforming for L-Band Digital Aeronautical Communication System. Electronics. 2024; 13(8):1600. https://doi.org/10.3390/electronics13081600
Chicago/Turabian StyleWang, Lei, Xiaoxiao Hu, and Haitao Liu. 2024. "Advanced Interference Mitigation Method Based on Joint Direction of Arrival Estimation and Adaptive Beamforming for L-Band Digital Aeronautical Communication System" Electronics 13, no. 8: 1600. https://doi.org/10.3390/electronics13081600
APA StyleWang, L., Hu, X., & Liu, H. (2024). Advanced Interference Mitigation Method Based on Joint Direction of Arrival Estimation and Adaptive Beamforming for L-Band Digital Aeronautical Communication System. Electronics, 13(8), 1600. https://doi.org/10.3390/electronics13081600
