Sensorless Control of Surfaced-Mounted Permanent Magnet Synchronous Motor in a Wide-Speed Range
Abstract
1. Introduction
2. Sensorless Control Methods for SPMSM
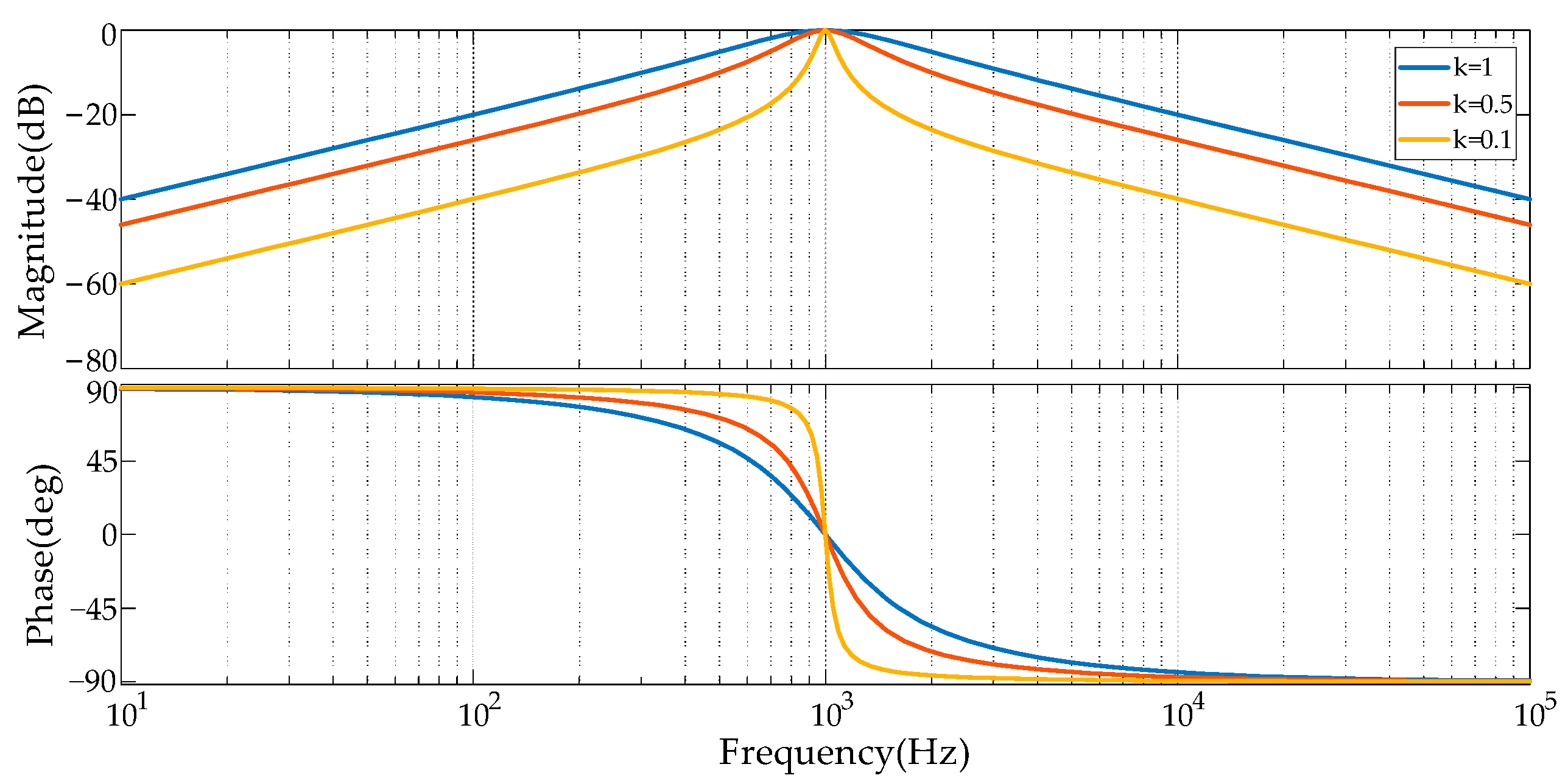
2.1. New HFPVI Method
2.2. Improved STSMO Method
2.3. Transition between Low Speed and Medium and High Speeds
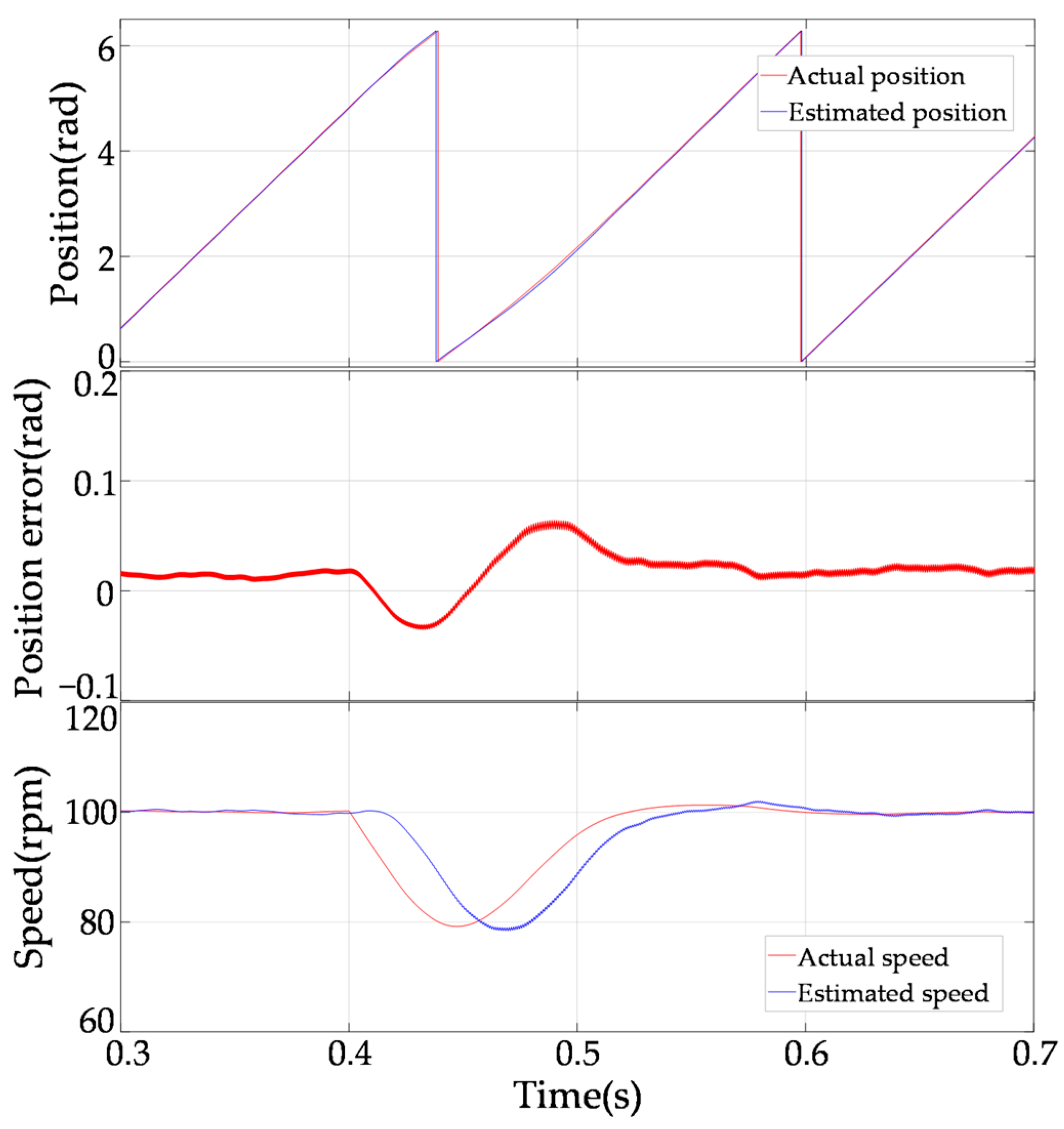
3. Simulation Results
3.1. Sensorless Control Based on the Proposed HFPVI Method
3.1.1. Simulation Results of the Proposed New HFPVI without Load
3.1.2. Simulation Results of the Proposed New HFPVI with Constant Load
3.1.3. Simulation Results of the Proposed New HFPVI with Sudden Load
3.2. Sensorless Control Based on Improved STSMO Method
3.2.1. Simulation Results of the Traditional SMO and the Improved STSMO without Load
3.2.2. Comparative Simulation Results of the Traditional SMO and the Improved STSMO with Constant Load
3.2.3. Comparative Simulation Results of the Traditional SMO and the Improved STSMO with Sudden Load
3.3. Transition from Low Speed to Medium and High Speeds
4. Experimental Results
4.1. Experimental Tests Based on the Proposed New HFPVI Method
4.1.1. Experimental Results of the Proposed New HFPVI without Load
4.1.2. Experimental Results of the New HFPVI with Constant Load
4.2. Comparative Experiments of the Traditional SMO and the Improved STSMO Method
4.2.1. Comparative Experimental Results of the Traditional SMO and the Improved STSMO without Load
4.2.2. Comparative Experimental Results of the Traditional SMO and the Improved STSMO under Constant Load
4.2.3. Comparative Experimental Results of the Traditional SMO and the Improved STSMO with Sudden Load
5. Conclusions
- (1)
- A new HFPVI method is proposed for SPMSMs in a low-speed domain that does not rely on motor saliency. Then, during the modulation process, a SOGI is utilized instead of traditional BPF, and a new modulation signal is designed to separate frequencies more easily.
- (2)
- An improved STSMO method is proposed for the medium- and high-speed domains. The STSMO and a continuous hyperbolic tangent function are employed to suppress chattering, and an NPLL is adopted to accurately obtain rotor position information.
- (3)
- An exponential weighted switching function is designed to achieve smooth switching between the low-speed domain and the medium- and high-speed domains.
- (4)
- The effectiveness of the new HFPVI and the improved STSMO have been verified by the simulations and experimental tests on the RTU-BOX platform under different operating conditions, which provide the foundation for practical applications in the industrial field.
- (5)
- In this paper, we only conducted experiments with a sudden load of 2 N·m and a constant load of 2 N·m applied to the motor. In the future, we intend to evaluate the anti-disturbance performance of the methods proposed in this paper across a broader range of different loads. For example, the load is configured to the rated load torque of the motor. Furthermore, we plan to improve SOGI and STSMO to improve the rotor position estimation accuracy. This future research can potentially enhance the robustness and effectiveness of the methods across an even broader spectrum of operational conditions.
Author Contributions
Funding
Data Availability Statement
Conflicts of Interest
References
- Xu, D.; Wang, B.; Zhang, G.; Wang, G.; Yu, Y. A review of sensorless control methods for AC motor drives. CES Trans. Electr. Mach. Syst. 2018, 2, 104–115. [Google Scholar] [CrossRef]
- Flieh, H.M.; Slininger, T.; Lorenz, R.D.; Totoki, E. Self-Sensing via Flux Injection with Rapid Servo Dynamics Including a Smooth Transition to Back-EMF Tracking Self-Sensing. IEEE Trans. Ind. Appl. 2020, 56, 2673–2684. [Google Scholar] [CrossRef]
- Xiao, D.; Nalakath, S.; Filho, S.R.; Fang, G.; Dong, A.; Sun, Y.; Wiseman, J.; Emadi, A. Universal Full-Speed Sensorless Control Scheme for Interior Permanent Magnet Synchronous Motors. IEEE Trans. Power Electron. 2021, 36, 4723–4737. [Google Scholar] [CrossRef]
- Wang, G.; Valla, M.; Solsona, J. Position Sensorless Permanent Magnet Synchronous Machine Drives—A Review. IEEE Trans. Ind. Electron. 2020, 67, 5830–5842. [Google Scholar] [CrossRef]
- Kim, S.-I.; Im, J.-H.; Song, E.-Y.; Kim, R.-Y. A New Rotor Position Estimation Method of IPMSM Using All-Pass Filter on High-Frequency Rotating Voltage Signal Injection. IEEE Trans. Ind. Electron. 2016, 63, 6499–6509. [Google Scholar] [CrossRef]
- Liu, J.M.; Zhu, Z.Q. Novel Sensorless Control Strategy with Injection of High-Frequency Pulsating Carrier Signal Into Stationary Reference Frame. IEEE Trans. Ind. Appl. 2014, 50, 2574–2583. [Google Scholar] [CrossRef]
- Limsuwan, N.; Kato, T.; Yu, C.-Y.; Tamura, J.; Reigosa, D.D.; Akatsu, K.; Lorenz, R.D. Secondary Resistive Losses with High-Frequency Injection-Based Self-Sensing in IPM Machines. IEEE Trans. Ind. Appl. 2013, 49, 1499–1507. [Google Scholar] [CrossRef]
- Gong, L.M.; Zhu, Z.Q. A Novel Method for Compensating Inverter Nonlinearity Effects in Carrier Signal Injection-Based Sensorless Control from Positive-Sequence Carrier Current Distortion. IEEE Trans. Ind. Appl. 2011, 47, 1283–1292. [Google Scholar] [CrossRef]
- Raca, D.; Garcia, P.; Reigosa, D.D.; Briz, F.; Lorenz, R.D. Carrier-Signal Selection for Sensorless Control of PM Synchronous Machines at Zero and Very Low Speeds. IEEE Trans. Ind. Appl. 2010, 46, 167–178. [Google Scholar] [CrossRef]
- Bianchi, N.; Bolognani, S.; Jang, J.-H.; Sul, S.-K. Advantages of Inset PM Machines for Zero-Speed Sensorless Position Detection. IEEE Trans. Ind. Appl. 2008, 44, 1190–1198. [Google Scholar] [CrossRef]
- Zhang, X.; Li, H.; Yang, S.; Ma, M. Improved Initial Rotor Position Estimation for PMSM Drives Based on HF Pulsating Voltage Signal Injection. IEEE Trans. Ind. Electron. 2018, 65, 4702–4713. [Google Scholar] [CrossRef]
- Xu, P.L.; Zhu, Z.Q. Carrier Signal Injection-Based Sensorless Control for Permanent-Magnet Synchronous Machine Drives Considering Machine Parameter Asymmetry. IEEE Trans. Ind. Electron. 2016, 63, 2813–2824. [Google Scholar] [CrossRef]
- Ni, R.; Xu, D.; Blaabjerg, F.; Lu, K.; Wang, G.; Zhang, G. Square-Wave Voltage Injection Algorithm for PMSM Position Sensorless Control with High Robustness to Voltage Errors. IEEE Trans. Power Electron. 2017, 32, 5425–5437. [Google Scholar] [CrossRef]
- Kim, D.; Kwon, Y.-C.; Sul, S.-K.; Kim, J.-H.; Yu, R.-S. Suppression of Injection Voltage Disturbance for High-Frequency Square-Wave Injection Sensorless Drive with Regulation of Induced High-Frequency Current Ripple. IEEE Trans. Ind. Appl. 2016, 52, 302–312. [Google Scholar] [CrossRef]
- Hwang, C.-E.; Lee, Y.; Sul, S.-K. Analysis on Position Estimation Error in Position-Sensorless Operation of IPMSM Using Pulsating Square Wave Signal Injection. IEEE Trans. Ind. Appl. 2019, 55, 458–470. [Google Scholar] [CrossRef]
- Lu, Q.; Wang, Y.; Mo, L.; Zhang, T. Pulsating High Frequency Voltage Injection Strategy for Sensorless Permanent Magnet Synchronous Motor Drives. IEEE Trans. Appl. Supercond. 2021, 31, 1–4. [Google Scholar] [CrossRef]
- Yousefi-Talouki, A.; Pescetto, P.; Pellegrino, G.; Boldea, I. Combined Active Flux and High-Frequency Injection Methods for Sensorless Direct-Flux Vector Control of Synchronous Reluctance Machines. IEEE Trans. Power Electron. 2018, 33, 2447–2457. [Google Scholar] [CrossRef]
- Haines, G.; Ertugrul, N. Wide Speed Range Sensorless Operation of Brushless Permanent-Magnet Motor Using Flux Linkage Increment. IEEE Trans. Ind. Electron. 2016, 63, 4052–4060. [Google Scholar] [CrossRef]
- Liu, J.M.; Zhu, Z.Q. Rotor position error compensation based on third harmonic back-EMF in flux observer sensorless control. In Proceedings of the 2014 International Conference on Electrical Machines, Berlin, Germany, 2–5 September 2014; pp. 890–896. [Google Scholar]
- Kivanc, O.C.; Ozturk, S.B. Sensorless PMSM Drive Based on Stator Feedforward Voltage Estimation Improved with MRAS Multiparameter Estimation. IEEE/ASME Trans. Mechatron. 2018, 23, 1326–1337. [Google Scholar] [CrossRef]
- Chaoui, H.; Khayamy, M.; Aljarboua, A.A. Adaptive Interval Type-2 Fuzzy Logic Control for PMSM Drives with a Modified Reference Frame. IEEE Trans. Ind. Electron. 2017, 64, 3786–3797. [Google Scholar] [CrossRef]
- Masmoudi, M.L.; Etien, E.; Moreau, S.; Sakout, A. Amplification of Single Mechanical Fault Signatures Using Full Adaptive PMSM Observer. IEEE Trans. Ind. Electron. 2017, 64, 615–623. [Google Scholar] [CrossRef]
- Sreejith, R.; Singh, B. Sensorless Predictive Current Control of PMSM EV Drive Using DSOGI-FLL Based Sliding Mode Observer. IEEE Trans. Ind. Electron. 2021, 68, 5537–5547. [Google Scholar] [CrossRef]
- Liang, D.; Li, J.; Qu, R. Sensorless Control of Permanent Magnet Synchronous Machine Based on Second-Order Sliding-Mode Observer with Online Resistance Estimation. IEEE Trans. Ind. Appl. 2017, 53, 3672–3682. [Google Scholar] [CrossRef]
- Wang, G.; Yang, R.; Xu, D. DSP-Based Control of Sensorless IPMSM Drives for Wide-Speed-Range Operation. IEEE Trans. Ind. Electron. 2013, 60, 720–727. [Google Scholar] [CrossRef]
- Zerdali, E.; Barut, M. The Comparisons of Optimized Extended Kalman Filters for Speed-Sensorless Control of Induction Motors. IEEE Trans. Ind. Electron. 2017, 64, 4340–4351. [Google Scholar] [CrossRef]
- Yin, Z.; Gao, F.; Zhang, Y.; Du, C.; Li, G.; Sun, X. A review of nonlinear Kalman filter appling to sensorless control for AC motor drives. CES Trans. Electr. Mach. Syst. 2019, 3, 351–362. [Google Scholar] [CrossRef]
- Shi, T.; Wang, Z.; Xia, C. Speed Measurement Error Suppression for PMSM Control System Using Self-Adaption Kalman Observer. IEEE Trans. Ind. Electron. 2015, 62, 2753–2763. [Google Scholar] [CrossRef]
- Chen, Z.; Tomita, M.; Doki, S.; Okuma, S. New adaptive sliding observers for position- and velocity-sensorless controls of brushless DC motors. IEEE Trans. Ind. Electron. 2000, 47, 582–591. [Google Scholar] [CrossRef]
- Qiao, Z.; Shi, T.; Wang, Y.; Yan, Y.; Xia, C.; He, X. New Sliding-Mode Observer for Position Sensorless Control of Permanent-Magnet Synchronous Motor. IEEE Trans. Ind. Electron. 2013, 60, 710–719. [Google Scholar] [CrossRef]
- Liu, G.; Zhang, H.; Song, X. Position-Estimation Deviation-Suppression Technology of PMSM Combining Phase Self-Compensation SMO and Feed-Forward PLL. IEEE J. Emerg. Sel. Top. Power Electron. 2021, 9, 335–344. [Google Scholar] [CrossRef]
- Sreejith, R.; Singh, B. Sensorless Predictive Control of SPMSM-Driven Light EV Drive Using Modified Speed Adaptive Super Twisting Sliding Mode Observer With MAF-PLL. IEEE J. Emerg. Sel. Top. Ind. Electron. 2021, 2, 42–52. [Google Scholar]
- Liang, D.; Li, J.; Qu, R.; Kong, W. Adaptive Second-Order Sliding-Mode Observer for PMSM Sensorless Control Considering VSI Nonlinearity. IEEE Trans. Power Electron. 2018, 33, 8994–9004. [Google Scholar] [CrossRef]
- An, Q.; Zhang, J.; An, Q.; Liu, X.; Shamekov, A.; Bi, K. Frequency-Adaptive Complex-Coefficient Filter-Based Enhanced Sliding Mode Observer for Sensorless Control of Permanent Magnet Synchronous Motor Drives. IEEE Trans. Ind. Appl. 2020, 56, 335–343. [Google Scholar] [CrossRef]
- Vošmik, D.; Peroutka, Z. Sensorless control of permanent magnet synchronous motor employing extended Kalman filter in combination with HF injection method. In Proceedings of the 2011 14th European Conference on Power Electronics and Applications, Birmingham, UK, 30 August–1 September 2011; pp. 1–10. [Google Scholar]
- Meng, Q.; Bao, G. Generalized Predictive Control of Permanent Magnet Synchronous Motor Based on Super Twisting Sliding Mode Observer. In Proceedings of the 2023 IEEE 6th International Electrical and Energy Conference (CIEEC), Hefei, China, 12–14 May 2023; pp. 2194–2199. [Google Scholar]
- Lin, C.; Sun, S.; Yi, J.; Walker, P.; Zhang, N. Accelerated adaptive super twisting sliding mode observer-based drive shaft torque estimation for electric vehicle with automated manual transmission. IET Intell. Transp. Syst. 2019, 13, 160–162. [Google Scholar] [CrossRef]
- Wang, D.; Liu, J.; Miao, S.; Yuan, T.; Li, Y.; Tian, W.; Liu, Z. Rotor Position estimation method for permanent magnet synchronous motor based on Super-Twisting Sliding Mode Observer. In Proceedings of the 2018 37th Chinese Control Conference (CCC), Wuhan, China, 25–27 July 2018; pp. 5634–5638. [Google Scholar]
- Chen, Z.; Dawara, A.A.; Zhang, X.; Zhang, H.; Liu, C.; Luo, G. Adaptive Sliding Mode Observer-Based Sensorless Control for SPMSM Employing a Dual-PLL. IEEE Trans. Transp. Electrif. 2022, 8, 1267–1277. [Google Scholar] [CrossRef]























| Rated power (kW) | 1.5 |
| Rated speed (rpm) | 2500 |
| Rated torque (N·m) | 6 |
| Stator inductance (mH) | 1.975 |
| Stator resisitance (Ω) | 0.64 |
| Pole pairs | 4 |
| SOGI | K = 0.1 |
| PLL | , |
| STSMO | , |
| NPLL | , |
| Methods | Traditional SMO | Improved STSMO |
|---|---|---|
| Steady-state position error | 0.05 rad (2.9 elc·deg) | Near 0 |
| Maximum position error during acceleration | 0.28 rad (16 elc·deg) | 0.08 rad (4.6 elc·deg) |
| Maximum speed error | 20 rpm | 8 rpm |
| Methods | Traditional SMO | Improved STSMO |
|---|---|---|
| Steady-state position error | 0.2 rad (11.5 elc·deg) | 0.05 rad (2.9 elc·deg) |
| Maximum position error during acceleration | 0.25 rad (14.3 elc·deg) | 0.1 rad (5.8 elc·deg) |
| Maximum speed error | 25 rpm | 8 rpm |
| Methods | Traditional SMO | Improved STSMO |
|---|---|---|
| Steady-state position error | 0.1 rad (5.7 elc·deg) | 0.05 rad (2.9 elc·deg) |
| Maximum position error | 0.2 rad (11.5 elc·deg) | 0.1 rad (5.8 elc·deg) |
| Maximum speed error | 21 rpm | 4 rpm |
Disclaimer/Publisher’s Note: The statements, opinions and data contained in all publications are solely those of the individual author(s) and contributor(s) and not of MDPI and/or the editor(s). MDPI and/or the editor(s) disclaim responsibility for any injury to people or property resulting from any ideas, methods, instructions or products referred to in the content. |
© 2024 by the authors. Licensee MDPI, Basel, Switzerland. This article is an open access article distributed under the terms and conditions of the Creative Commons Attribution (CC BY) license (https://creativecommons.org/licenses/by/4.0/).
Share and Cite
Li, X.; Cui, Y.; Wu, X. Sensorless Control of Surfaced-Mounted Permanent Magnet Synchronous Motor in a Wide-Speed Range. Electronics 2024, 13, 1131. https://doi.org/10.3390/electronics13061131
Li X, Cui Y, Wu X. Sensorless Control of Surfaced-Mounted Permanent Magnet Synchronous Motor in a Wide-Speed Range. Electronics. 2024; 13(6):1131. https://doi.org/10.3390/electronics13061131
Chicago/Turabian StyleLi, Xiang, Yuze Cui, and Xinzhang Wu. 2024. "Sensorless Control of Surfaced-Mounted Permanent Magnet Synchronous Motor in a Wide-Speed Range" Electronics 13, no. 6: 1131. https://doi.org/10.3390/electronics13061131
APA StyleLi, X., Cui, Y., & Wu, X. (2024). Sensorless Control of Surfaced-Mounted Permanent Magnet Synchronous Motor in a Wide-Speed Range. Electronics, 13(6), 1131. https://doi.org/10.3390/electronics13061131
