Non-Stationary Transformer Architecture: A Versatile Framework for Recommendation Systems
Abstract
1. Introduction
2. Related Work
2.1. Deep Learning-Based Recommendation System
2.2. Reinforcement-Learning-Based Recommendation System
3. Methodology
3.1. Non-Stationary Transformer Structure
3.1.1. Projector Layer
3.1.2. Transformer Encoder Layer
3.2. Fusion in the Deep Learning-Based Recommendation System
3.3. Fusion in the Reinforcement-Learning-Based Recommendation System
4. Experimental Analysis
4.1. Datasets
4.2. Deep Learning-Related Experiment
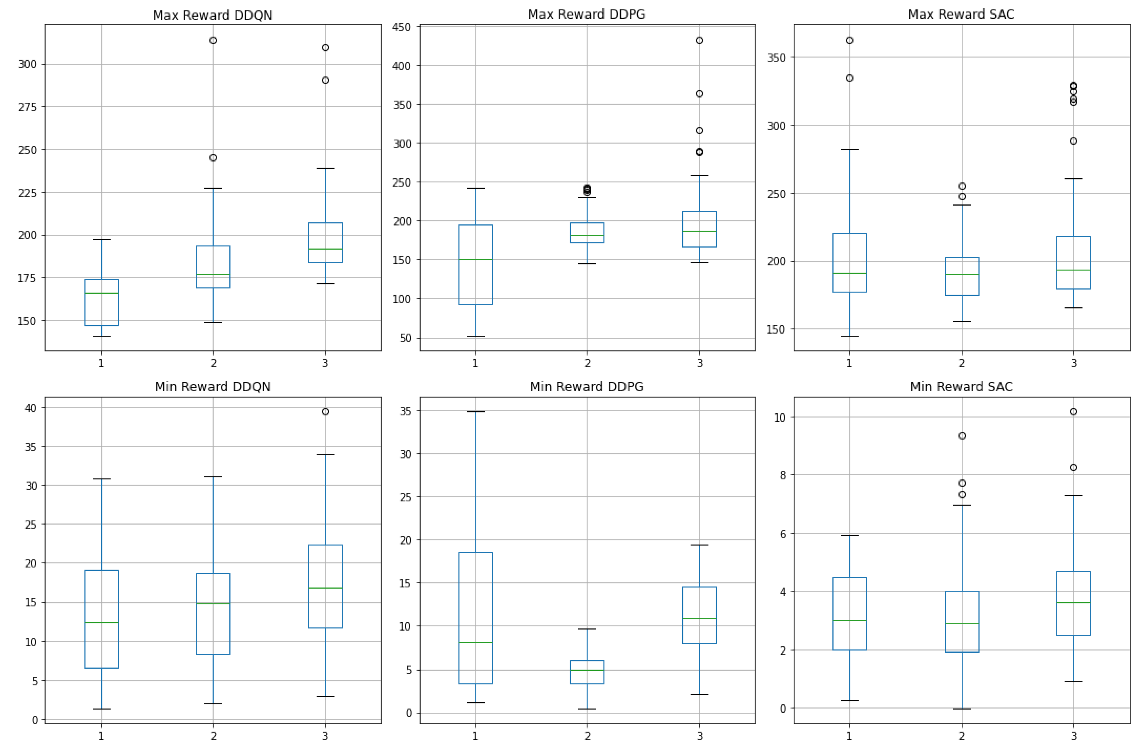
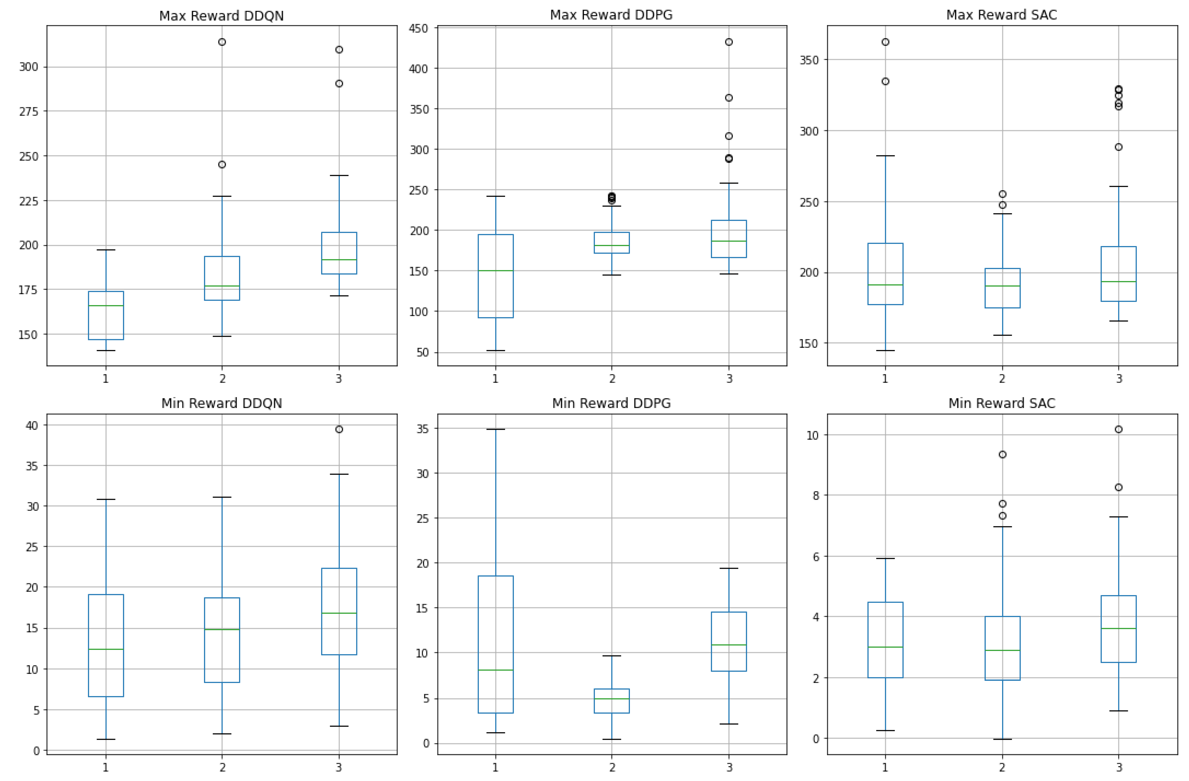
4.3. Reinforcement Learning-Related Experiment
- epochs: 10,000
- maximum sequence length: 64
- batch size: 64
- action size: 284
- number of classes: 2
- number of dense features: 432
- number of category features: 21
- number of sequences: 2
- embedding size: 128
- hidden units: 128
5. Discussion
6. Conclusions
Author Contributions
Funding
Data Availability Statement
Conflicts of Interest
References
- E-Commerce Sales by Country 2023. Available online: https://www.linkedin.com/pulse/ecommerce-sales-country-2023-julio-diaz-lg0be?trk=article-ssr-frontend-pulse_more-articles_related-content-card (accessed on 21 January 2024).
- Liu, Y.; Man, K.; Li, G.; Payne, T.R.; Yue, Y. Dynamic Pricing Strategies on the Internet. In Proceedings of the International Conference on Digital Contents: AICo (AI, IoT, and Contents) Technology, Dehradun, India, 19–21 December 2022; pp. 23–24. [Google Scholar]
- Global Short Video Platforms Market. Available online: https://www.grandviewresearch.com/press-release/global-short-video-platforms-market (accessed on 1 March 2023).
- Guo, H.; Tang, R.; Ye, Y.; Li, Z.; He, X. DeepFM: A factorization-machine based neural network for CTR prediction. In Proceedings of the 26th International Joint Conference on Artificial Intelligence, Melbourne, VIC, Australia, 19–25 August 2017; pp. 1725–1731. [Google Scholar]
- Cheng, H.-T.; Koc, L.; Harmsen, J.; Shaked, T.; Chandra, T.; Aradhye, H.; Anderson, G.; Corrado, G.; Chai, W.; Ispir, M.; et al. Wide & deep learning for recommender systems. In Proceedings of the 1st Workshop on Deep Learning for Recommender Systems, Boston, MA, USA, 15 September 2016; pp. 7–10. [Google Scholar]
- Zhou, G.; Mou, N.; Fan, Y.; Pi, Q.; Bian, W.; Zhou, C.; Zhu, X.; Gai, K. Deep interest evolution network for click-through rate prediction. In Proceedings of the AAAI Conference on Artificial Intelligence, Honolulu, HI, USA, 27 January–1 February 2019; Volume 33, pp. 5941–5948. [Google Scholar]
- Chen, Q.; Zhao, H.; Li, W.; Huang, P.; Ou, W. Behavior sequence transformer for e-commerce recommendation in Alibaba. In Proceedings of the 1st International Workshop on Deep Learning Practice for High-Dimensional Sparse Data, Anchorage, AK, USA, 5 August 2019; pp. 1–4. [Google Scholar]
- Gong, Y.; Zhu, Y.; Duan, L.; Liu, Q.; Guan, Z.; Sun, F.; Ou, W.; Zhu, K.Q. Exact-k recommendation via maximal clique optimization. In Proceedings of the 25th ACM SIGKDD International Conference on Knowledge Discovery & Data Mining, Anchorage, AK, USA, 4–8 August 2019; pp. 617–626. [Google Scholar]
- Van Hasselt, H.; Guez, A.; Silver, D. Deep reinforcement learning with double q-learning. In Proceedings of the AAAI Conference on Artificial Intelligence, Phoenix, AZ, USA, 12–17 February 2016; Volume 30. [Google Scholar]
- Schulman, J.; Wolski, F.; Dhariwal, P.; Radford, A.; Klimov, O. Proximal policy optimization algorithms. arXiv 2017, arXiv:1707.06347. [Google Scholar]
- Lillicrap, T.P.; Hunt, J.J.; Pritzel, A.; Heess, N.; Erez, T.; Tassa, Y.; Silver, D.; Wierstra, D. Continuous control with deep reinforcement learning. arXiv 2015, arXiv:1509.02971. [Google Scholar]
- Liu, Y.; Wu, H.; Wang, J.; Long, M. Non-stationary transformers: Exploring the stationarity in time series forecasting. Adv. Neural Inf. Process. Syst. 2022, 35, 9881–9893. [Google Scholar]
- Liu, Z.; Cheng, M.; Li, Z.; Huang, Z.; Liu, Q.; Xie, Y.; Chen, E. Adaptive normalization for non-stationary time series forecasting: A temporal slice perspective. Adv. Neural Inf. Process. Syst. 2024, 36. [Google Scholar]
- Liu, Y.; Mikriukov, D.; Tjahyadi, O.C.; Li, G.; Payne, T.R.; Yue, Y.; Siddique, K.; Man, K.L. Revolutionising Financial Portfolio Management: The Non-Stationary Transformer’s Fusion of Macroeconomic Indicators and Sentiment Analysis in a Deep Reinforcement Learning Framework. Appl. Sci. 2023, 14, 274. [Google Scholar] [CrossRef]
- Ye, M.; Choudhary, D.; Yu, J.; Wen, E.; Chen, Z.; Yang, J.; Park, J.; Liu, Q.; Kejariwal, A. Adaptive dense-to-sparse paradigm for pruning online recommendation system with non-stationary data. arXiv 2020, arXiv:2010.08655. [Google Scholar]
- Jagerman, R.; Markov, I.; de Rijke, M. When people change their mind: Off-policy evaluation in non-stationary recommendation environments. In Proceedings of the Twelfth ACM International Conference on Web Search and Data Mining, Melbourne, VIC, Australia, 11–15 February 2019; pp. 447–455. [Google Scholar]
- Yuan, G.; Yuan, F.; Li, Y.; Kong, B.; Li, S.; Chen, L.; Yang, M.; Yu, C.; Hu, B.; Li, Z.; et al. Tenrec: A large-scale multipurpose benchmark dataset for recommender systems. Adv. Neural Inf. Process. Syst. 2022, 35, 11480–11493. [Google Scholar]
- Wang, K.; Zou, Z.; Zhao, M.; Deng, Q.; Shang, Y.; Liang, Y.; Wu, R.; Shen, X.; Lyu, T.; Fan, C. RL4RS: A Real-World Dataset for Reinforcement Learning based Recommender System. In Proceedings of the 46th International ACM SIGIR Conference on Research and Development in Information Retrieval, Taipei, Taiwan, 23–27 July 2023; pp. 2935–2944. [Google Scholar]
- Koren, Y.; Rendle, S.; Bell, R. Advances in collaborative filtering. In Recommender Systems Handbook; Springer: Berlin/Heidelberg, Germany, 2021; pp. 91–142. [Google Scholar]
- Takács, G.; Tikk, D. Alternating least squares for personalized ranking. In Proceedings of the Sixth ACM Conference on Recommender Systems, Dublin, Ireland, 9–13 September 2012; pp. 83–90. [Google Scholar]
- Rendle, S. Factorization machines. In Proceedings of the 2010 IEEE International Conference on Data Mining, IEEE, Sydney, NSW, Australia, 13–17 December 2010; pp. 995–1000. [Google Scholar]
- Zhang, W.; Du, T.; Wang, J. Deep Learning over Multi-field Categorical Data: –A Case Study on User Response Prediction. In Advances in Information Retrieval: 38th European Conference on IR Research, ECIR 2016, Padua, Italy, 20–23 March 2016; Proceedings 38; Springer: Berlin/Heidelberg, Germany, 2016; pp. 45–57. [Google Scholar]
- Xiao, J.; Ye, H.; He, X.; Zhang, H.; Wu, F.; Chua, T.-S. Attentional factorization machines: Learning the weight of feature interactions via attention networks. arXiv 2017, arXiv:1708.04617. [Google Scholar]
- Li, Z.; Wu, S.; Cui, Z.; Zhang, X. GraphFM: Graph factorization machines for feature interaction modeling. arXiv 2021, arXiv:2105.11866. [Google Scholar]
- Yang, F.; Yue, Y.; Li, G.; Payne, T.R.; Man, K.L. KEMIM: Knowledge-enhanced User Multi-interest Modeling for Recommender Systems. IEEE Access 2023, 11, 55425–55434. [Google Scholar] [CrossRef]
- Zhou, G.; Zhu, X.; Song, C.; Fan, Y.; Zhu, H.; Ma, X.; Yan, Y.; Jin, J.; Li, H.; Gai, K. Deep interest network for click-through rate prediction. In Proceedings of the 24th ACM SIGKDD International Conference on Knowledge Discovery & Data Mining, London, UK, 19–23 August 2018; pp. 1059–1068. [Google Scholar]
- Sun, F.; Liu, J.; Wu, J.; Pei, C.; Lin, X.; Ou, W.; Jiang, P. BERT4Rec: Sequential recommendation with bidirectional encoder representations from transformer. In Proceedings of the 28th ACM International Conference on Information and Knowledge Management, Beijing, China, 3–7 November 2019; pp. 1441–1450. [Google Scholar]
- Devlin, J.; Chang, M.-W.; Lee, K.; Toutanova, K. BERT: Pre-training of deep bidirectional transformers for language understanding. arXiv 2018, arXiv:1810.04805. [Google Scholar]
- Silver, D.; Huang, A.; Maddison, C.J.; Guez, A.; Sifre, L.; Van Den Driessche, G.; Schrittwieser, J.; Antonoglou, I.; Panneershelvam, V.; Lanctot, M.; et al. Mastering the game of Go with deep neural networks and tree search. Nature 2016, 529, 484–489. [Google Scholar] [CrossRef]
- Liu, Y.; Man, K.L.; Li, G.; Payne, T.R.; Yue, Y. Evaluating and Selecting Deep Reinforcement Learning Models for Optimal Dynamic Pricing: A Systematic Comparison of PPO, DDPG, and SAC. In Proceedings of the 2024 8th International Conference on Control Engineering and Artificial Intelligence, Shanghai, China, 26–28 January 2024; pp. 215–219. [Google Scholar]
- Liu, Y.; Man, K.L.; Li, G.; Payne, T.; Yue, Y. Enhancing sparse data performance in e-commerce dynamic pricing with reinforcement learning and pre-trained learning. In Proceedings of the 2023 International Conference on Platform Technology and Service (PlatCon), IEEE, Busan, Republic of Korea, 16–18 August 2023; pp. 39–42. [Google Scholar]
- Zhao, X.; Zhang, L.; Ding, Z.; Xia, L.; Tang, J.; Yin, D. Recommendations with negative feedback via pairwise deep reinforcement learning. In Proceedings of the 24th ACM SIGKDD International Conference on Knowledge Discovery & Data Mining, London, UK, 19–23 August 2018; pp. 1040–1048. [Google Scholar]
- Zheng, G.; Zhang, F.; Zheng, Z.; Xiang, Y.; Yuan, N.J.; Xie, X.; Li, Z. DRN: A deep reinforcement learning framework for news recommendation. In Proceedings of the 2018 World Wide Web Conference, Lyon, France, 23–27 April 2018; pp. 167–176. [Google Scholar]
- Lei, Y.; Wang, Z.; Li, W.; Pei, H.; Dai, Q. Social attentive deep Q-networks for recommender systems. IEEE Trans. Knowl. Data Eng. 2020, 34, 2443–2457. [Google Scholar] [CrossRef]
- Zhao, X.; Gu, C.; Zhang, H.; Yang, X.; Liu, X.; Tang, J.; Liu, H. Dear: Deep reinforcement learning for online advertising impression in recommender systems. In Proceedings of the AAAI Conference on Artificial Intelligence, Virtual, 2–9 February 2021; Volume 35, pp. 750–758. [Google Scholar]
- Zhao, X.; Xia, L.; Zhang, L.; Ding, Z.; Yin, D.; Tang, J. Deep reinforcement learning for page-wise recommendations. In Proceedings of the 12th ACM Conference on Recommender Systems, Vancouver, Canada, 1–6 October 2018; pp. 95–103. [Google Scholar]
- Chen, X.; Huang, C.; Yao, L.; Wang, X.; Zhang, W. Knowledge-guided deep reinforcement learning for interactive recommendation. In Proceedings of the 2020 International Joint Conference on Neural Networks (IJCNN), IEEE, Glasgow, UK, 19–24 July 2020; pp. 1–8. [Google Scholar]
- Liu, F.; Tang, R.; Guo, H.; Li, X.; Ye, Y.; He, X. Top-aware reinforcement learning based recommendation. Neurocomputing 2020, 417, 255–269. [Google Scholar] [CrossRef]
- Haarnoja, T.; Zhou, A.; Abbeel, P.; Levine, S. Soft actor-critic: Off-policy maximum entropy deep reinforcement learning with a stochastic actor. In Proceedings of the International Conference on Machine Learning, Stockholm, Sweden, 10–15 July 2018; pp. 1861–1870. [Google Scholar]
- He, X.; An, B.; Li, Y.; Chen, H.; Wang, R.; Wang, X.; Yu, R.; Li, X.; Wang, Z. Learning to collaborate in multi-module recommendation via multi-agent reinforcement learning without communication. In Proceedings of the 14th ACM Conference on Recommender Systems, Virtual, 22–26 September 2020; pp. 210–219. [Google Scholar]
- Zhang, W.; Liu, H.; Wang, F.; Xu, T.; Xin, H.; Dou, D.; Xiong, H. Intelligent electric vehicle charging recommendation based on multi-agent reinforcement learning. In Proceedings of the Web Conference 2021, Ljubljana, Slovenia, 19–23 April 2021. [Google Scholar]
- Huleihel, W.; Pal, S.; Shayevitz, O. Learning user preferences in non-stationary environments. In Proceedings of the International Conference on Artificial Intelligence and Statistics, Virtual, 13–15 April 2021; pp. 1432–1440. [Google Scholar]
- Wu, Q.; Iyer, N.; Wang, H. Learning contextual bandits in a non-stationary environment. In Proceedings of the 41st International ACM SIGIR Conference on Research & Development in Information Retrieval, Ann Arbor, MI, USA, 8–12 July 2018; pp. 495–504. [Google Scholar]
- Chandak, Y.; Theocharous, G.; Shankar, S.; White, M.; Mahadevan, S.; Thomas, P. Optimizing for the future in non-stationary MDPs. In Proceedings of the International Conference on Machine Learning, Virtual, 13–18 July 2020; pp. 1414–1425. [Google Scholar]
- Watkins, C.J.C.H.; Dayan, P. Q-learning. Mach. Learn. 1992, 8, 279–292. [Google Scholar] [CrossRef]
- He, X.; Chua, T.-S. Neural factorization machines for sparse predictive analytics. In Proceedings of the 40th International ACM SIGIR Conference on Research and Development in Information Retrieval, Tokyo, Japan, 7–11 August 2017; pp. 355–364. [Google Scholar]
- Wang, R.; Fu, B.; Fu, G.; Wang, M. Deep & Cross Network for Ad Click Predictions. In Proceedings of the 23rd ACM SIGKDD International Conference on Knowledge Discovery & Data Mining, Halifax, NS, Canada, 13–17 August 2017; pp. 1–7. [Google Scholar]







| Set | Records | Users | Items | Video Categories | User Features | Seq Interactions |
|---|---|---|---|---|---|---|
| Train | 84,239,614 | 998,993 | 2,027,521 | 3 | 3 | 10 |
| Validate | 18,051,346 | 985,099 | 1,104,613 | 3 | 3 | 10 |
| Test | 18,051,346 | 985,315 | 1,104,678 | 3 | 3 | 10 |
| Model | Logloss | AUC | F1 Score |
|---|---|---|---|
| BST | 0.4808 (+8.31%) | 0.7921 (−0.81%) | 0.7386 (−2.79%) |
| Non-stationary Transformer BST | 0.4439 | 0.7986 | 0.7598 |
| Wide & Deep | 0.51 (+14.89%) | 0.7919 (−0.84%) | 0.7225 (−4.91%) |
| DeepFM | 0.5083 (+14.51%) | 0.793 (−0.70%) | 0.7463 (−1.78%) |
| NFM | 0.508 (+14.44%) | 0.7957 (−0.36%) | 0.7512 (−1.13%) |
| DCN | 0.5092 (+14.71%) | 0.7927 (−0.74%) | 0.7261 (−4.44%) |
| Algorithm | Episode Reward Mean | Episode Reward Standard Deviation |
|---|---|---|
| Original DDQN | 61.93 | 8.35 |
| Transformer DDQN | 69.38 | 6.84 |
| Non-stationary Transformer DDQN | 96.71 | 7.72 |
| Original DDPG | 107.33 | 9.94 |
| Transformer DDPG | 112.16 | 8.25 |
| Non-stationary Transformer DDPG | 115.08 | 8.11 |
| Original SAC | 68.85 | 9.21 |
| Transformer SAC | 84.07 | 8.63 |
| Non-stationary Transformer SAC | 100.56 | 8.71 |
Disclaimer/Publisher’s Note: The statements, opinions and data contained in all publications are solely those of the individual author(s) and contributor(s) and not of MDPI and/or the editor(s). MDPI and/or the editor(s) disclaim responsibility for any injury to people or property resulting from any ideas, methods, instructions or products referred to in the content. |
© 2024 by the authors. Licensee MDPI, Basel, Switzerland. This article is an open access article distributed under the terms and conditions of the Creative Commons Attribution (CC BY) license (https://creativecommons.org/licenses/by/4.0/).
Share and Cite
Liu, Y.; Li, G.; Payne, T.R.; Yue, Y.; Man, K.L. Non-Stationary Transformer Architecture: A Versatile Framework for Recommendation Systems. Electronics 2024, 13, 2075. https://doi.org/10.3390/electronics13112075
Liu Y, Li G, Payne TR, Yue Y, Man KL. Non-Stationary Transformer Architecture: A Versatile Framework for Recommendation Systems. Electronics. 2024; 13(11):2075. https://doi.org/10.3390/electronics13112075
Chicago/Turabian StyleLiu, Yuchen, Gangmin Li, Terry R. Payne, Yong Yue, and Ka Lok Man. 2024. "Non-Stationary Transformer Architecture: A Versatile Framework for Recommendation Systems" Electronics 13, no. 11: 2075. https://doi.org/10.3390/electronics13112075
APA StyleLiu, Y., Li, G., Payne, T. R., Yue, Y., & Man, K. L. (2024). Non-Stationary Transformer Architecture: A Versatile Framework for Recommendation Systems. Electronics, 13(11), 2075. https://doi.org/10.3390/electronics13112075

