Comparison of Sentiment Analysis Methods Used to Investigate the Quality of Teaching Aids Based on Virtual Simulators of Embedded Systems
Abstract
1. Introduction
2. Virtual Simulators of Didactical Embedded Systems
2.1. Embedded Systems at the Institute of Automatic Control at Lodz University of Technology
2.2. The TMSLAB Didactical Module Simulator
3. Computing Methods and Tools for Sentiment Analysis
3.1. User Feedback as a Guideline for Product Improvements
3.2. Text Sentiment Analysis
4. Research Methodology
4.1. The Quality of Teaching Aids Based on Virtual Simulators of the Embedded System Survey
- The need for using software simulators in question 1;
- Thoughts on the TMSLAB module simulator in question 2;
- The significance of creating a simulator of the STMLAB system supporting FreeRTOS in question 3;
- The impressions, feelings, and emotions they experienced when using microprocessor system simulators during laboratory classes in question 4;
- Opinions regarding the plan to introduce an additional microprocessor system with a simulator and an additional programming task within unchanged teaching hours in question 5.
4.2. Sentiment Analysis of Open Questions
4.3. Survey Reference Questions
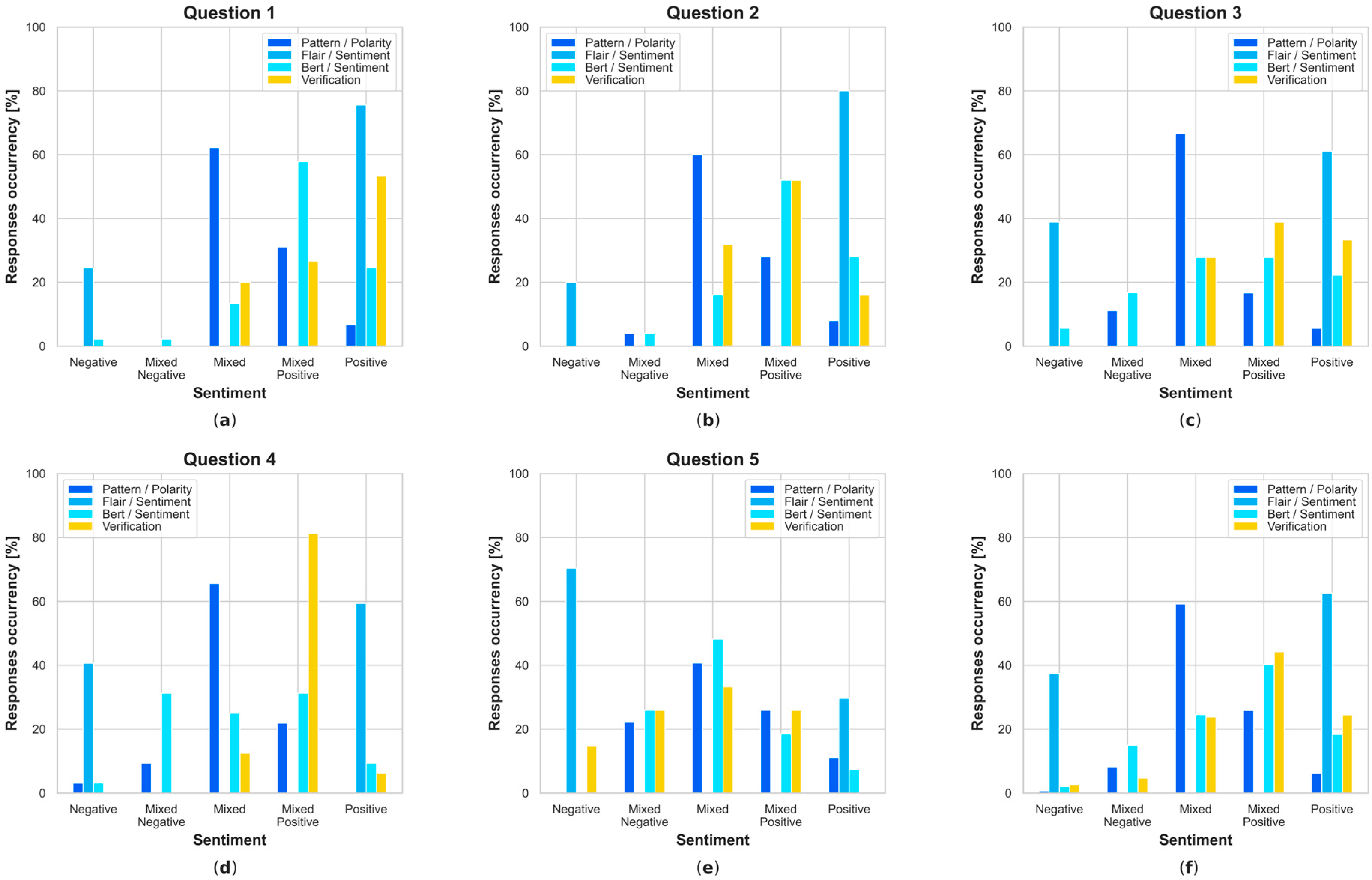
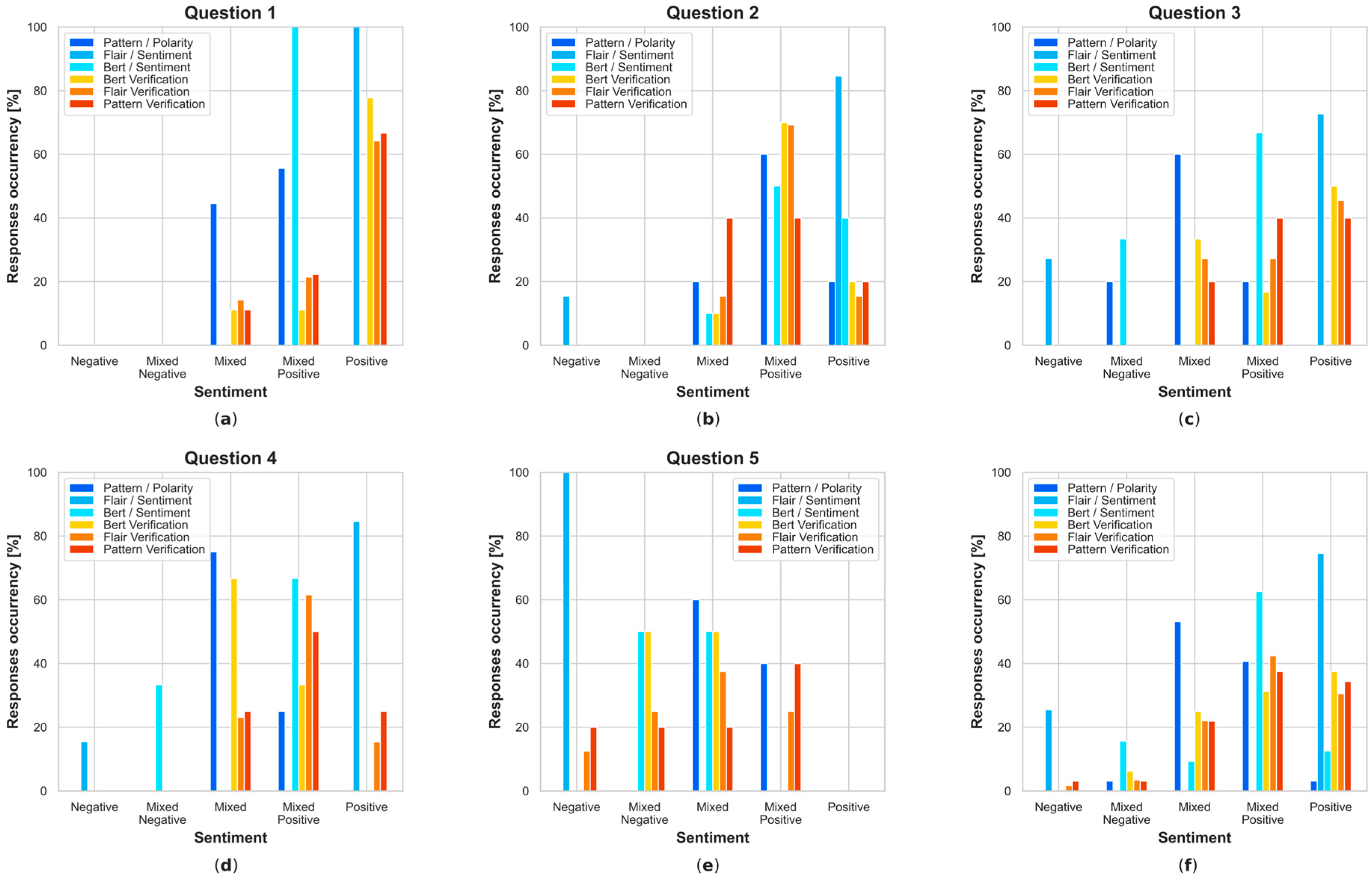
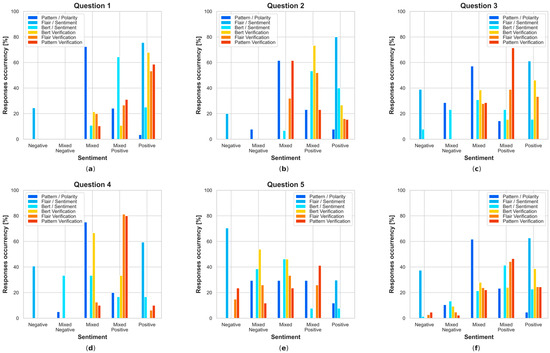
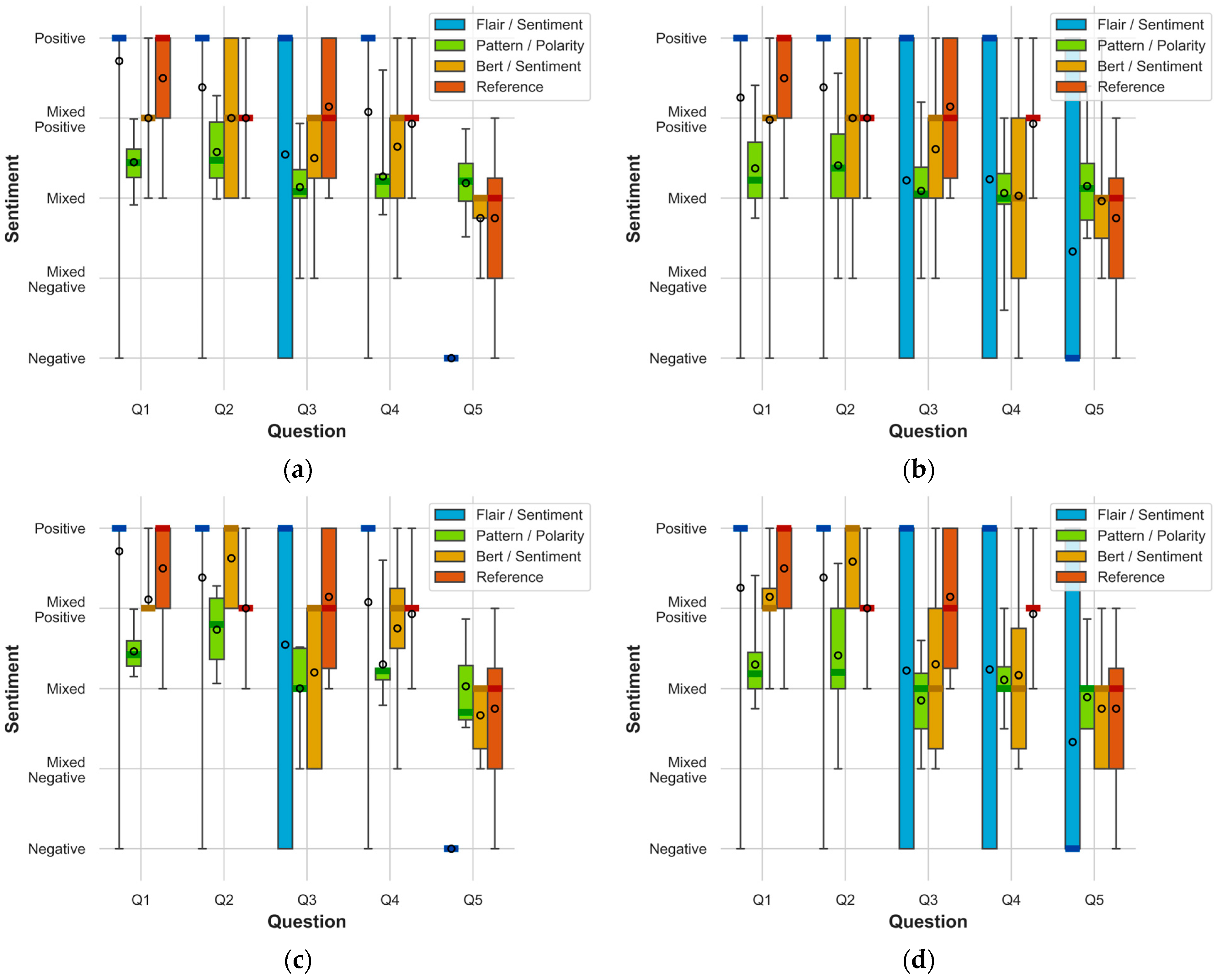
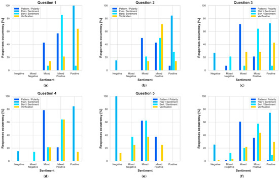
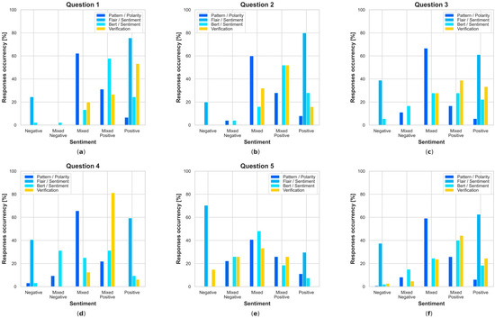
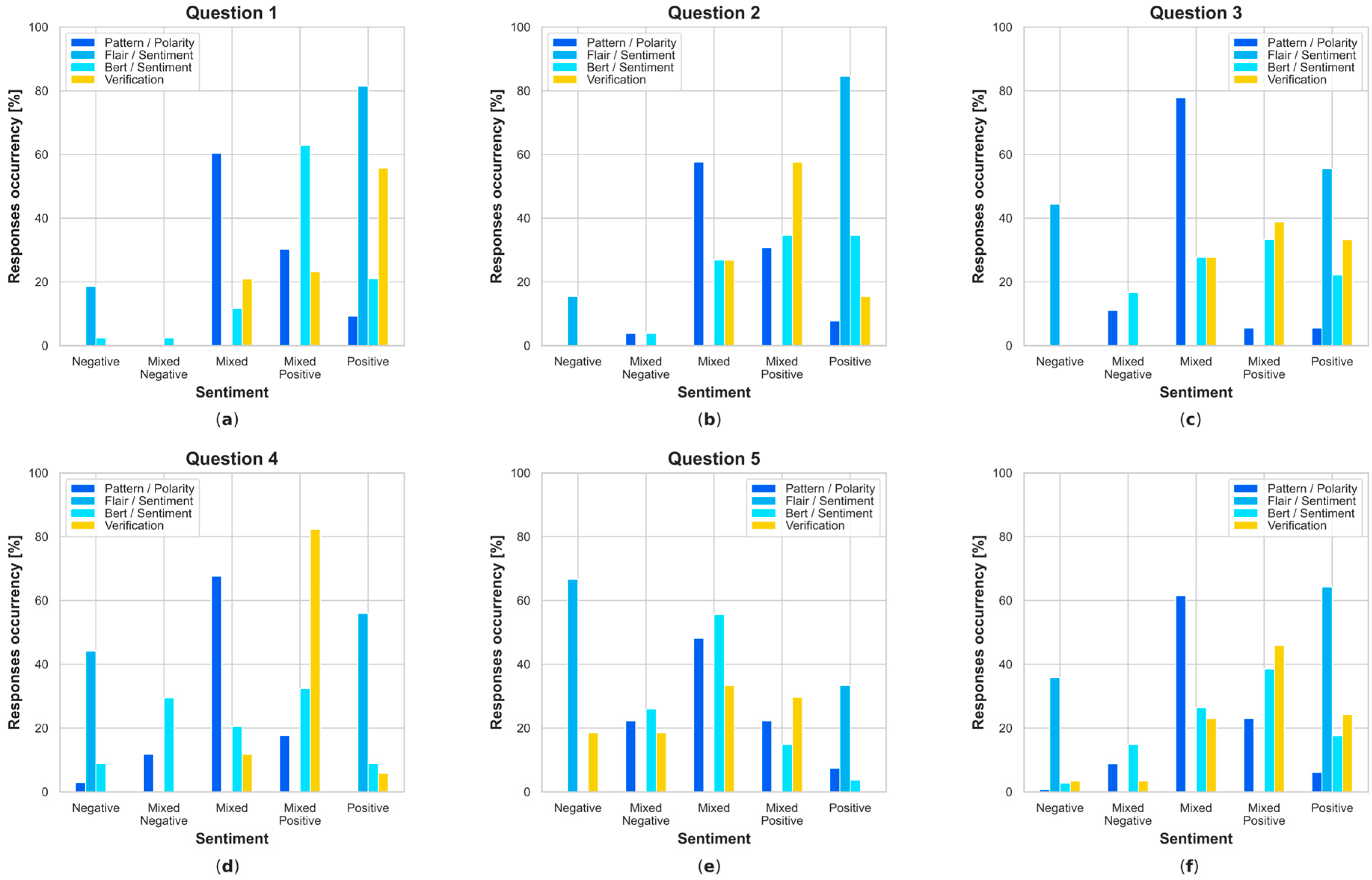
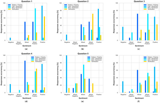
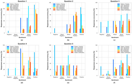
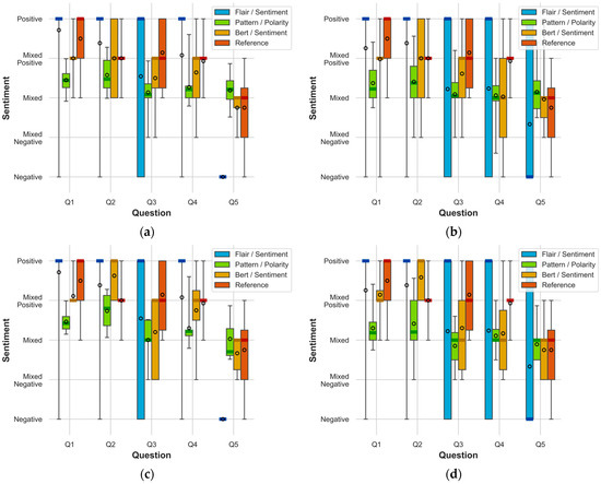
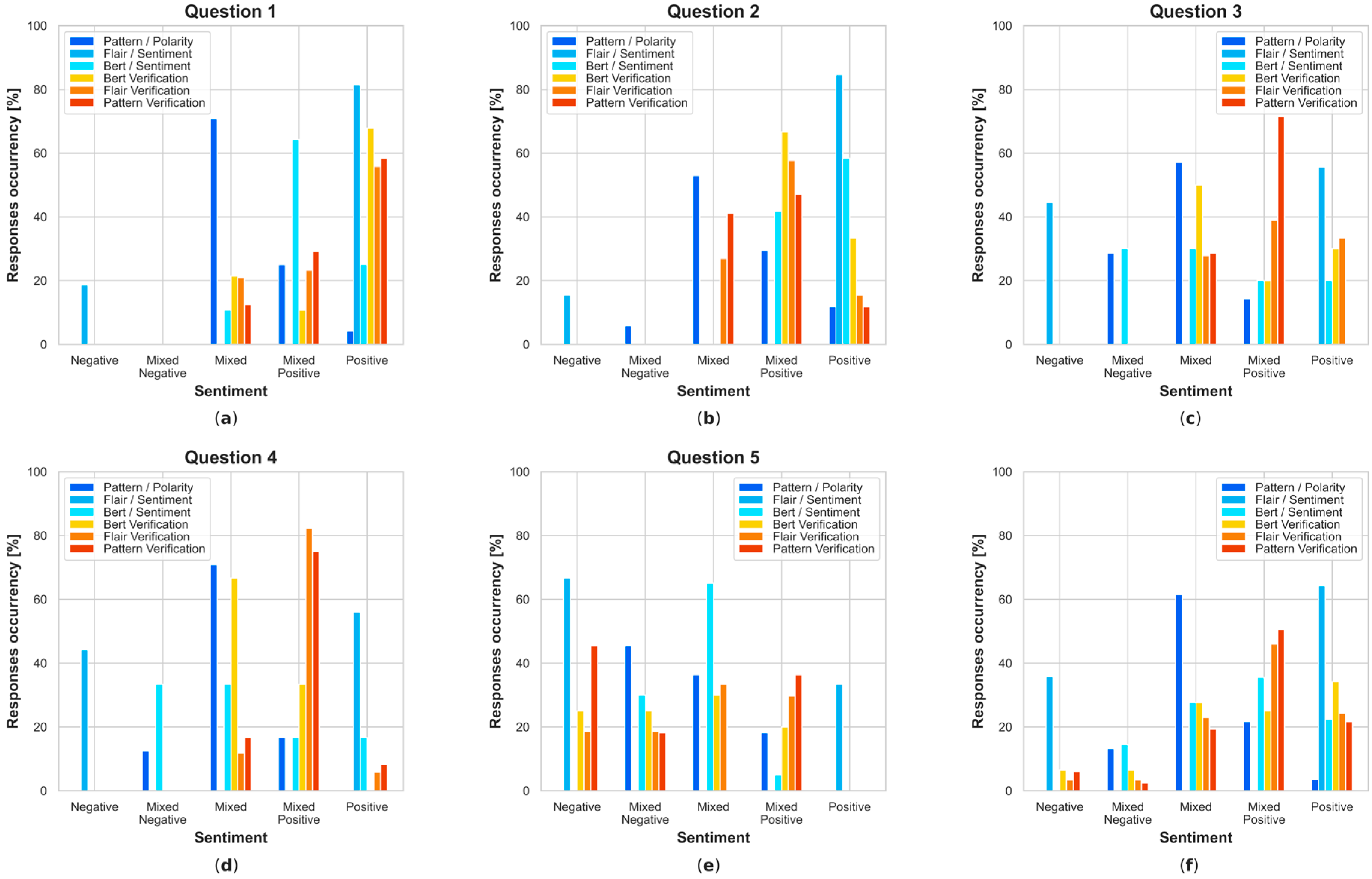
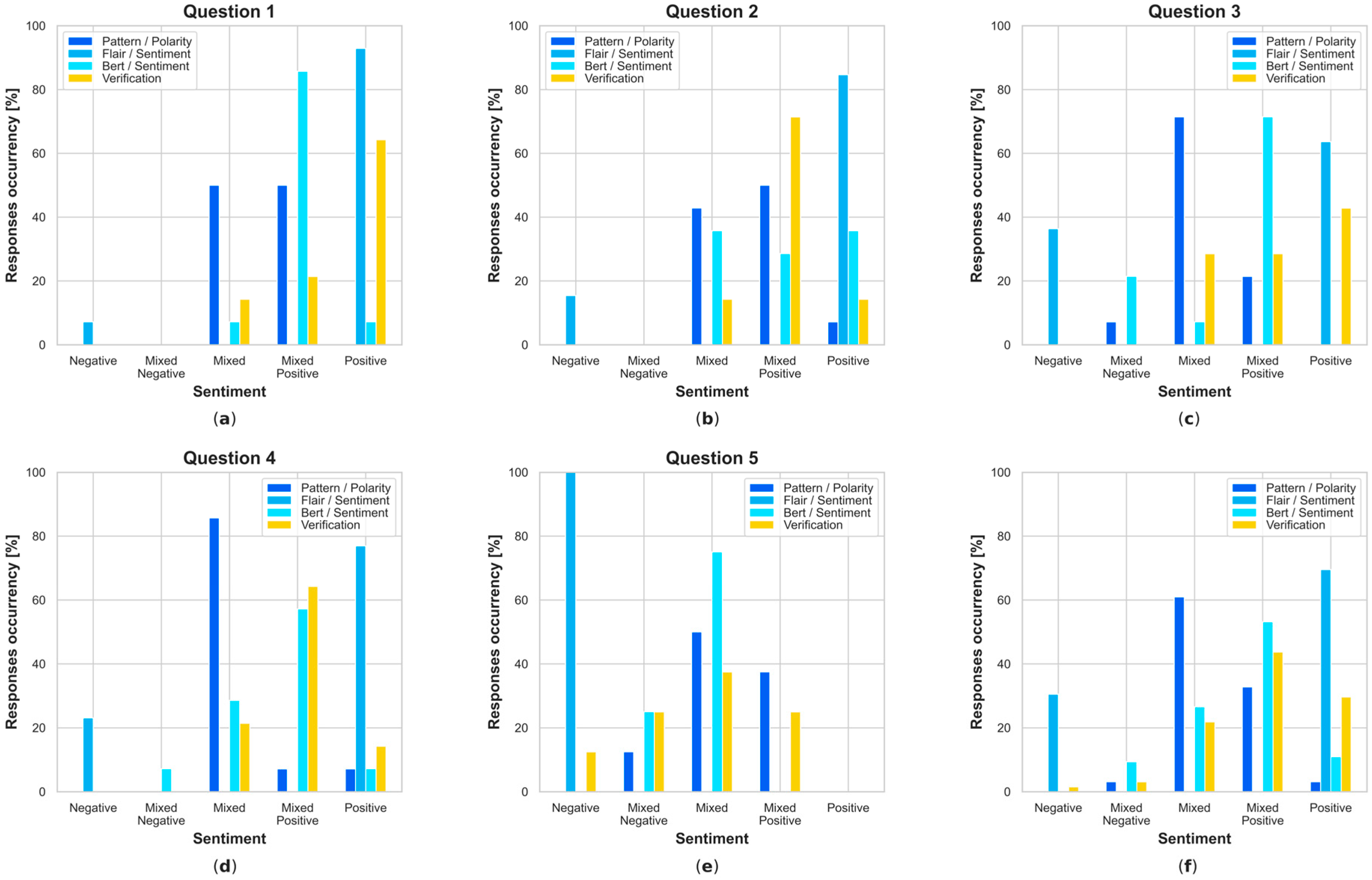
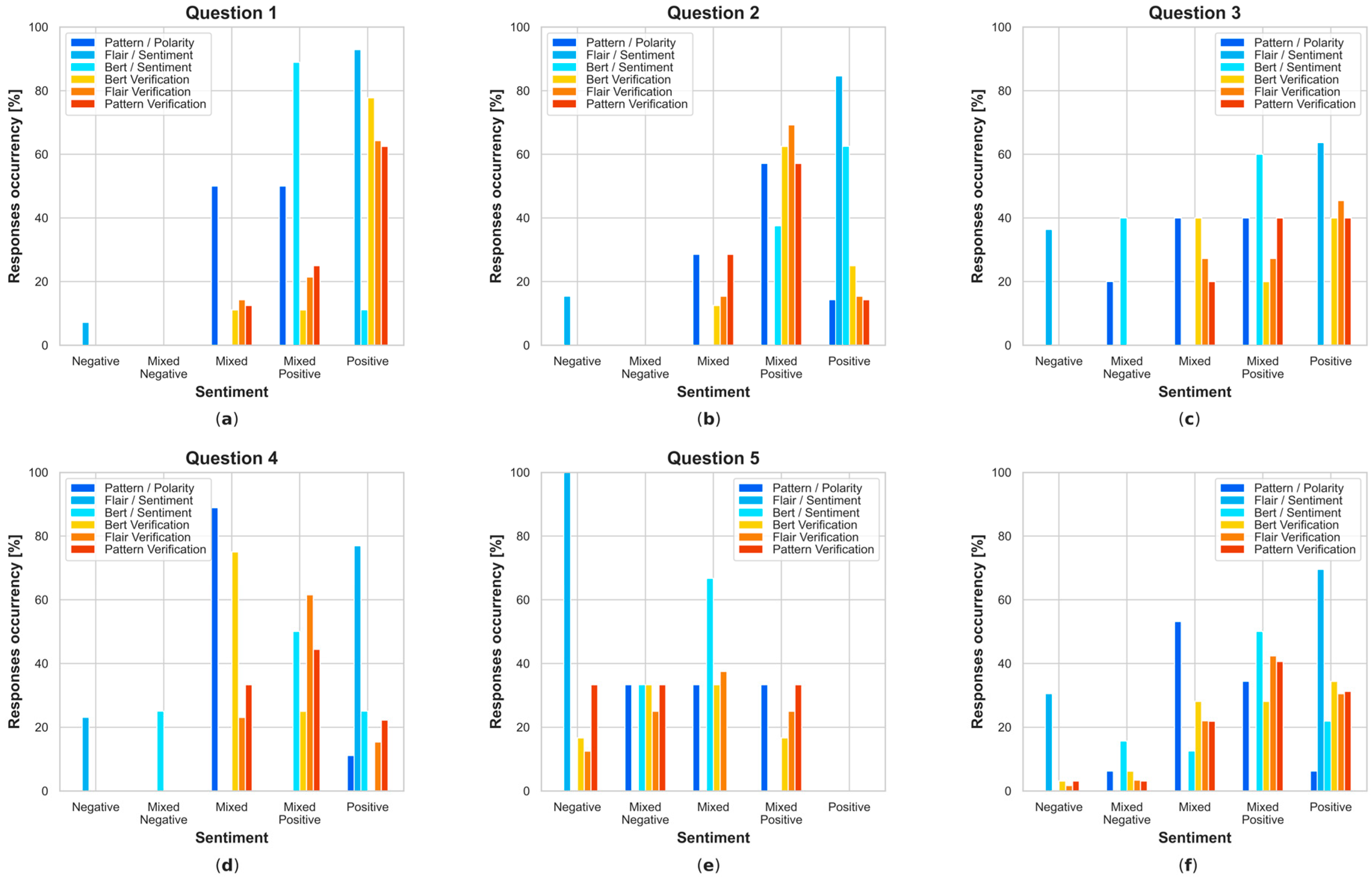
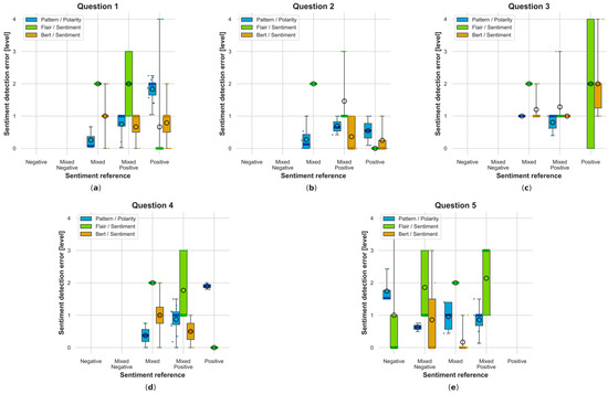
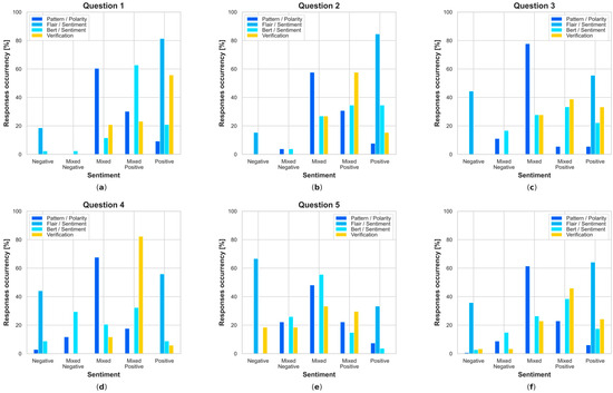
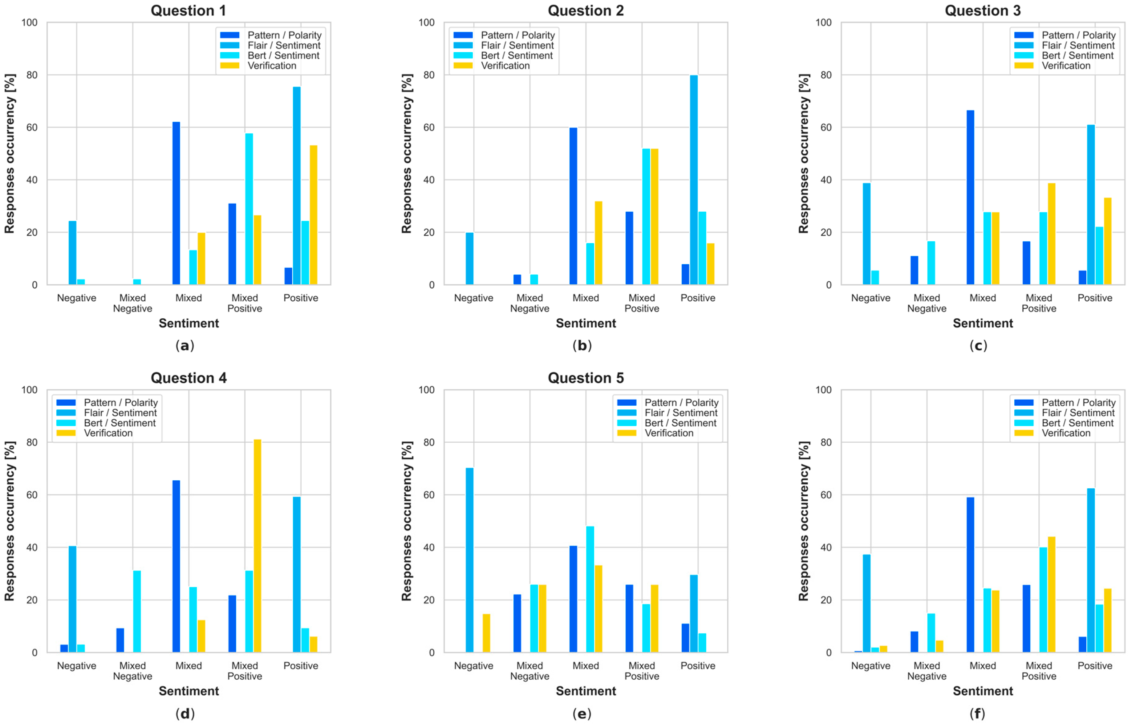
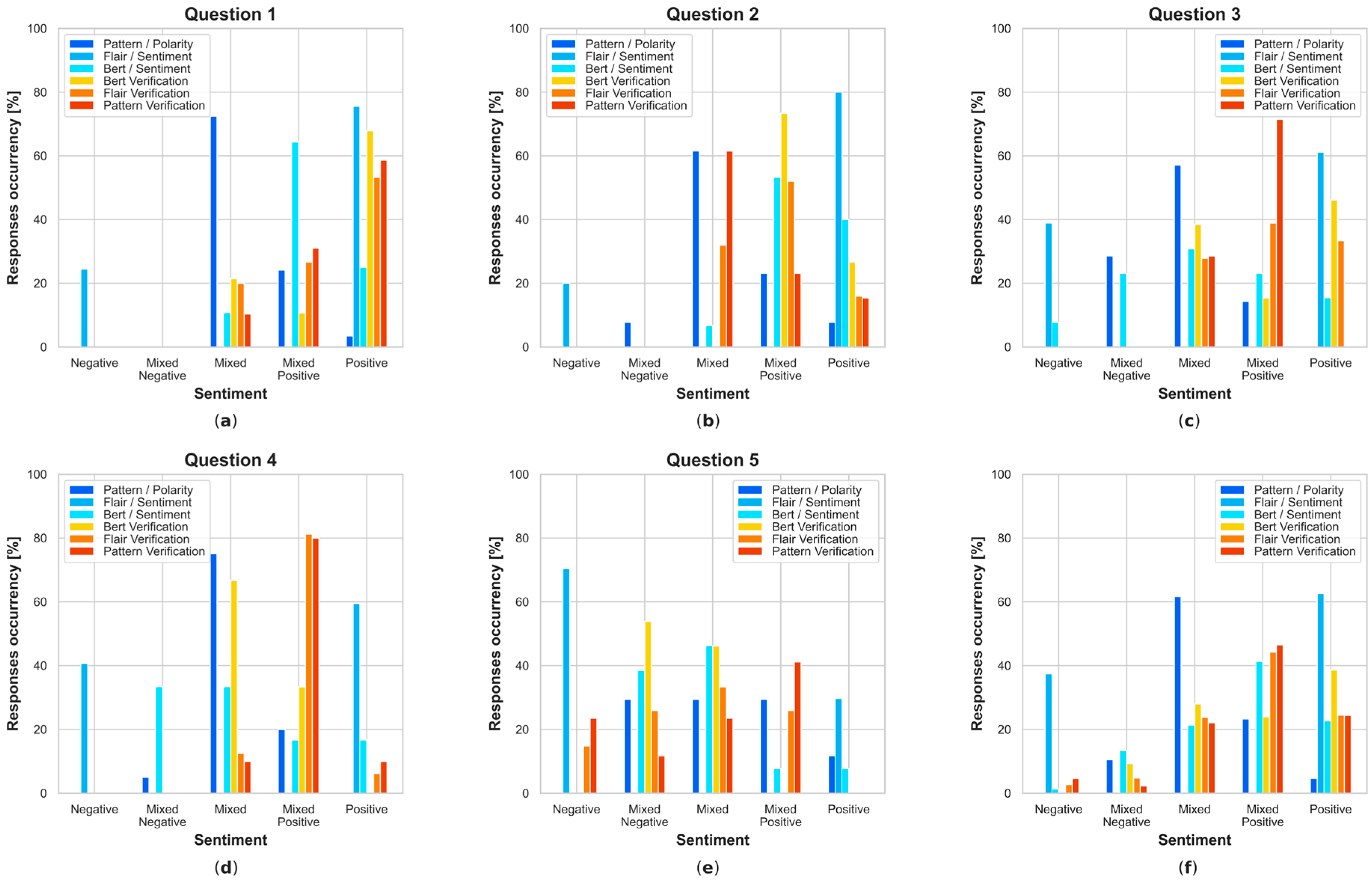
5. Sentiment Analysis Results
5.1. Sentiment of Survey Answers
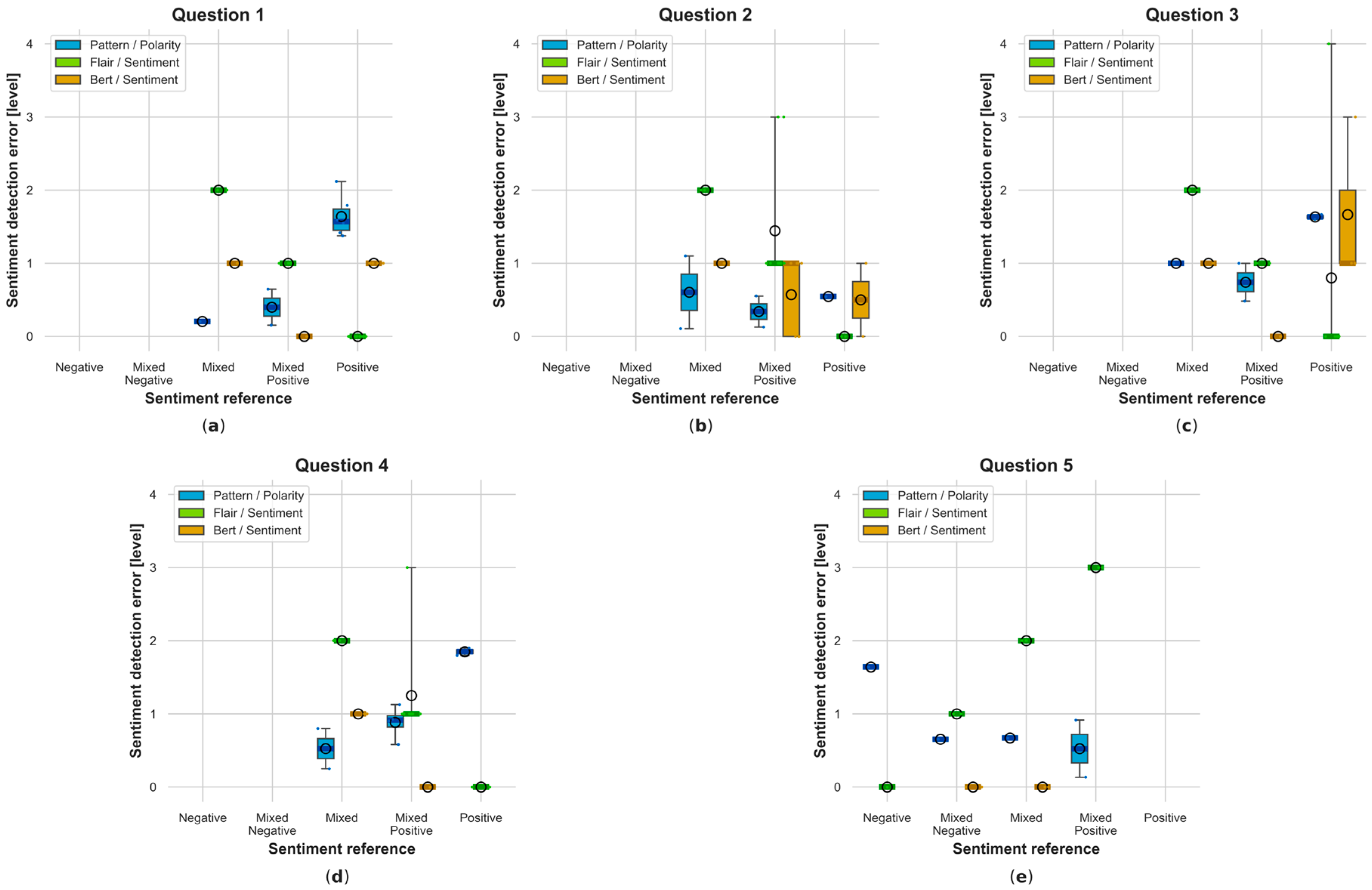
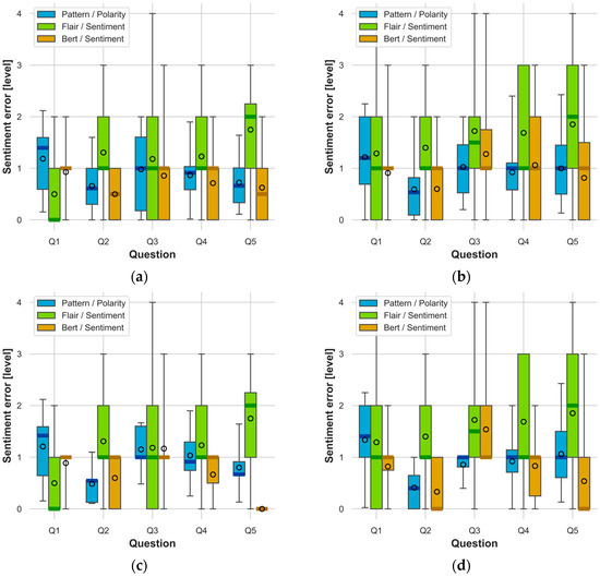
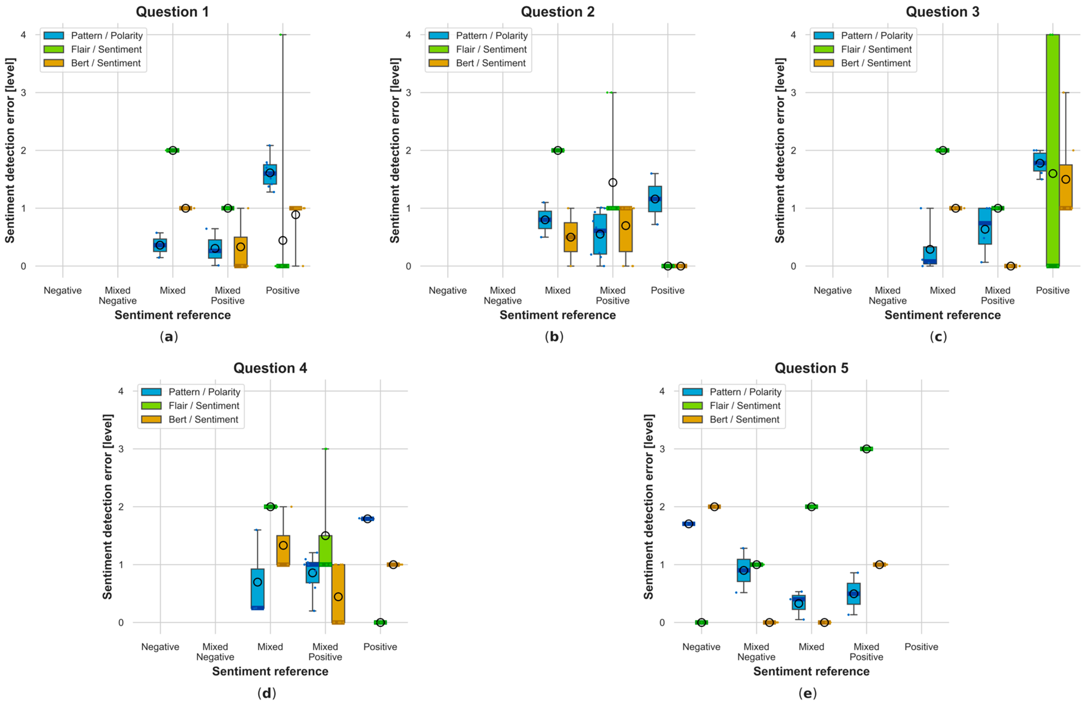
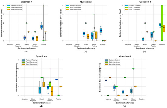
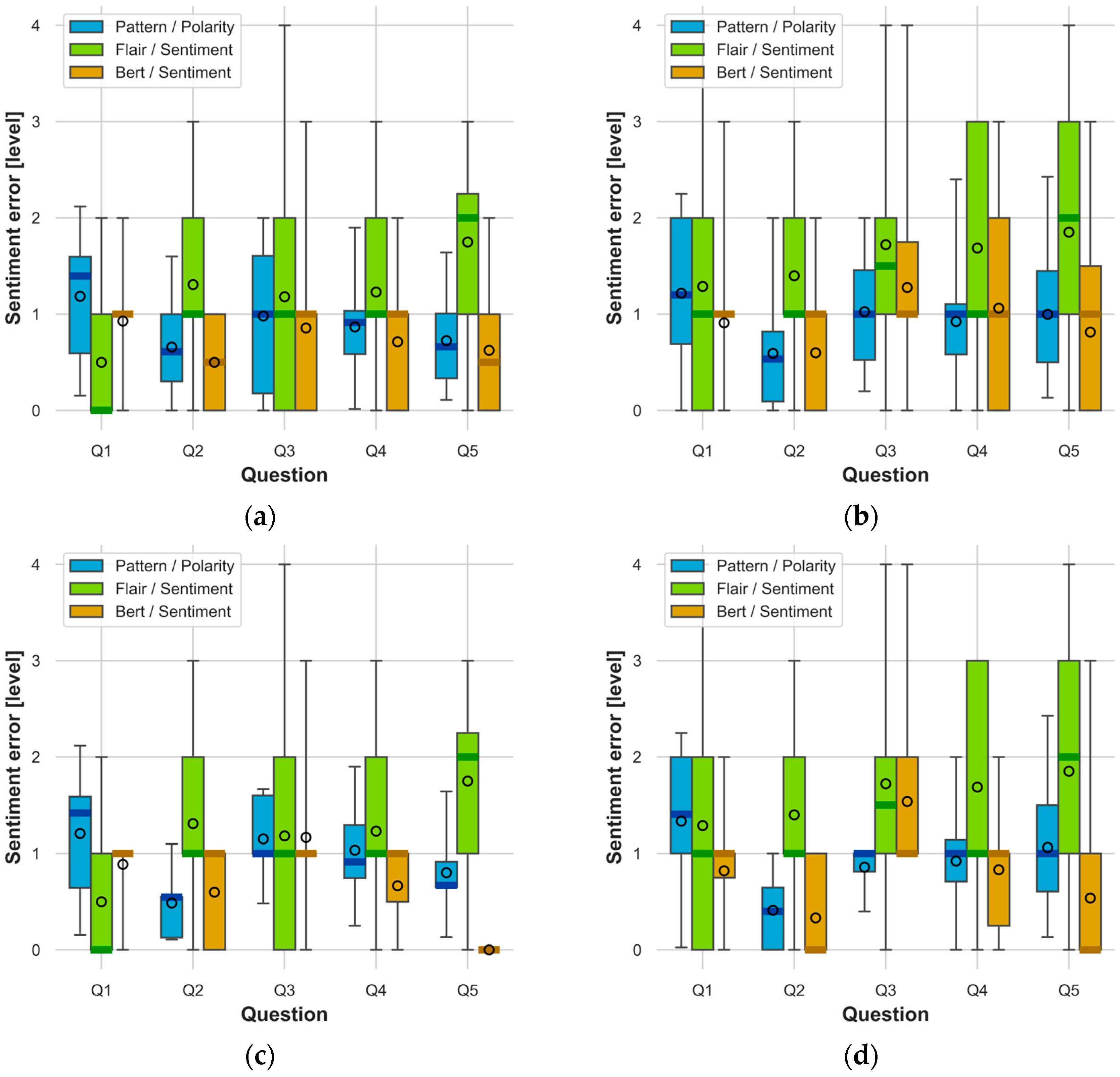
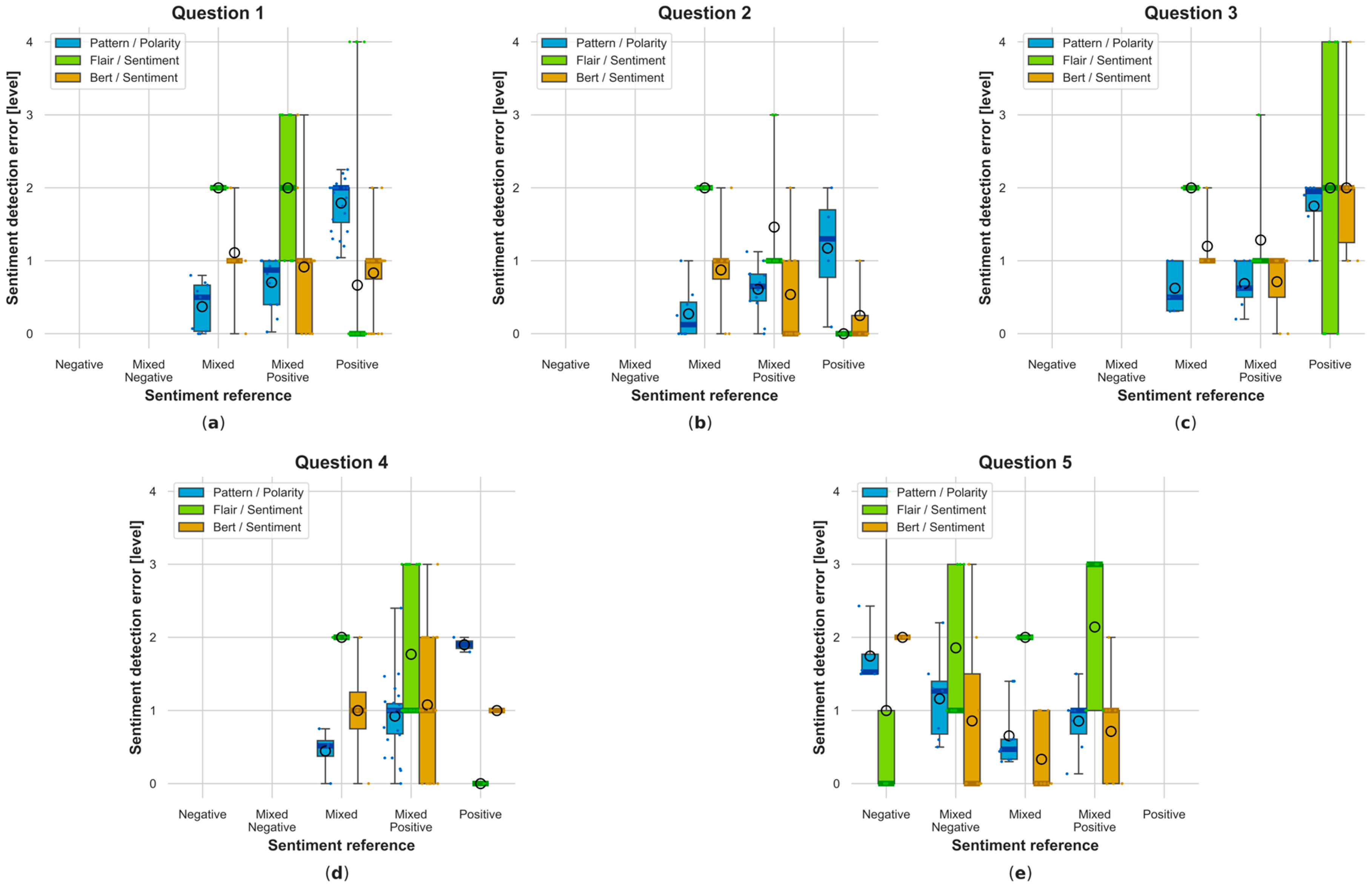
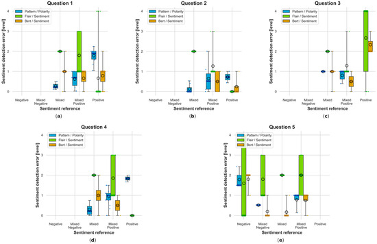
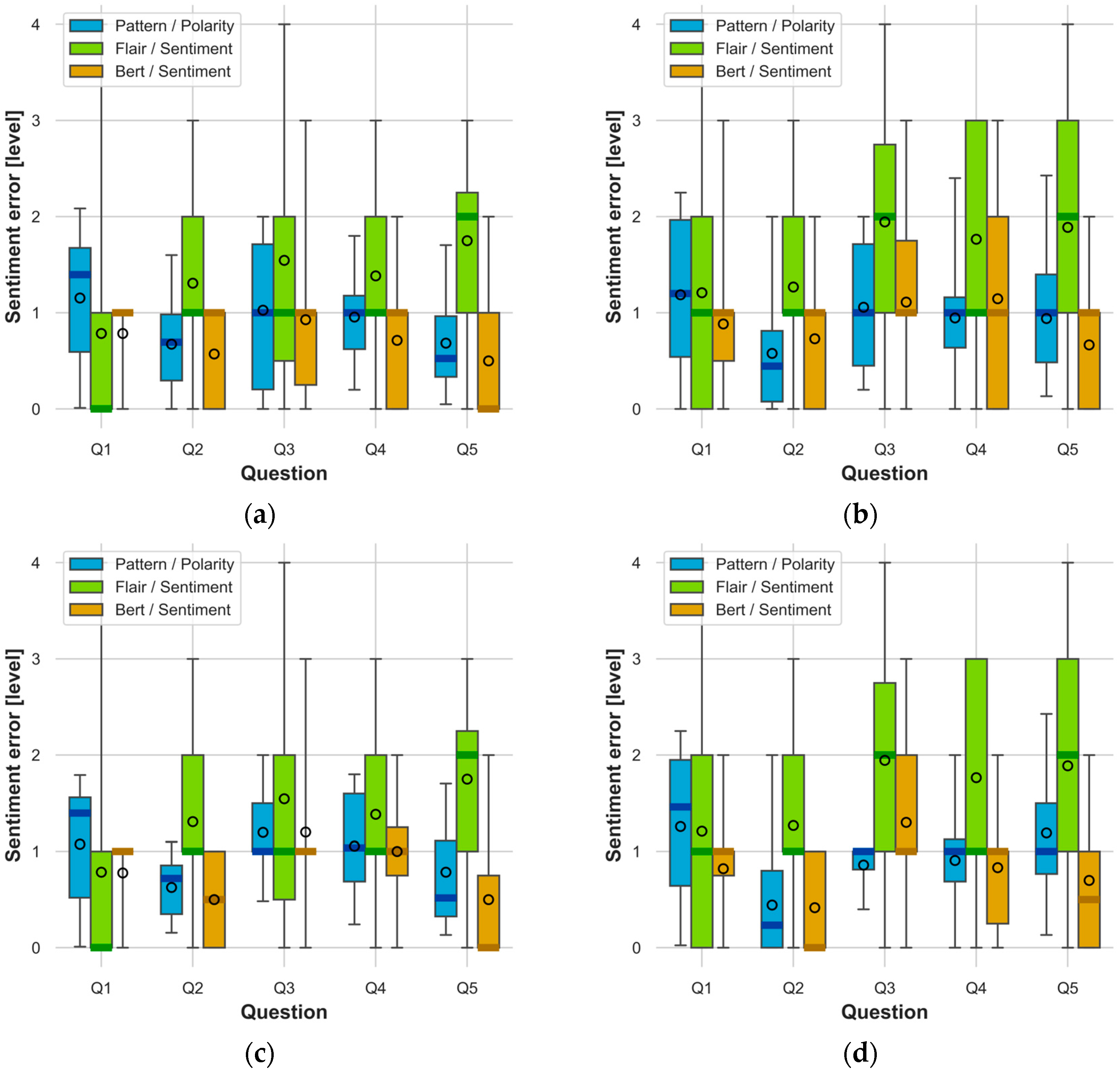
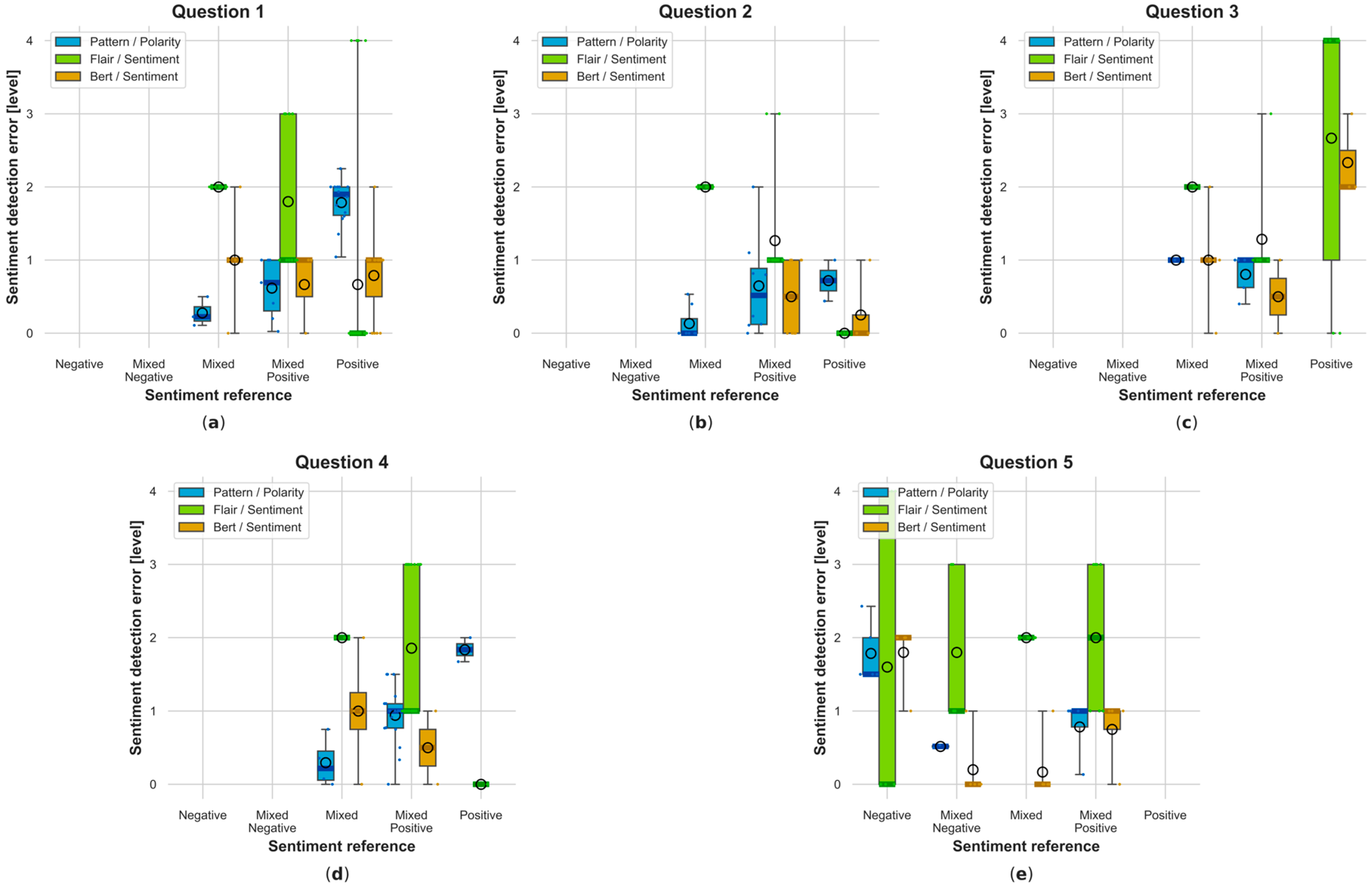
5.2. Sentiment Analysis Errors
6. Discussion
- Each method produced results that make it useful for sentiment analysis. In no case did the average error value of the results exceed two sentiment levels;
- As was to be expected, the BERT model is characterized by the highest precision in sentiment detection. Regardless of the analysis used, the average error made by this method was the smallest;
- The Flair library produced very highly polarized results and occasionally balanced ones. This resulted in a large impact on the error statistics made by this method with every detection mismatch. The method can be useful to distinguish the emotional state of opinions very clearly;
- The Pattern library gave very balanced results in terms of sentiment level. This leads to a reduction in the sentiment detection error but does not allow for a clear distinction between the emotional potential of the review responses;
- In the case of very short statements (splitting respondents’ answers into single sentences), all methods returned results consistent with expected ones. The BERT model, which was generally the best, lost the most in terms of analysis quality while at the same time signaling that the obtained results are unreliable;
- The method based on the Pattern library gave surprisingly good results, considering that it is very simple [46] compared to the other two;
- The change of the translator did not affect the nature or general interpretation of the results obtained. This leads to the indirect conclusion that the above methods can be successfully used to analyze the sentiment of texts in Polish using language translators;
- From a statistical point of view, the results obtained for complete answers were similar to the results of analyzing responses split into sentences. This gave a surprisingly high accuracy of analyses of very short texts, which may not necessarily contain emotional potential;
7. Conclusions
Author Contributions
Funding
Data Availability Statement
Conflicts of Interest
Appendix A
























References
- Rani, S.; Kumar, P. A Sentiment Analysis System to Improve Teaching and Learning. Computer 2017, 50, 36–43. [Google Scholar] [CrossRef]
- Karunya, K.; Aarthy, S.; Karthika, R.; Jegatha Deborah, L. Analysis of Student Feedback and Recommenda-tion to Tutors. In Proceedings of the 2020 International Conference on Communication and Signal Processing (ICCSP), Melmaruvathur, India, 28–30 July 2020; IEEE: Piscataway, NJ, USA; pp. 1579–1583. [Google Scholar]
- Kastrati, Z.; Imran, A.S.; Kurti, A. Weakly Supervised Framework for Aspect-Based Sentiment Analysis on Students’ Reviews of MOOCs. IEEE Access 2020, 8, 106799–106810. [Google Scholar] [CrossRef]
- Hynninen, T.; Knutas, A.; Hujala, M. Sentiment Analysis of Open-Ended Student Feedback. In Proceedings of the 2020 43rd International Convention on Information, Communication and Electronic Technology (MIPRO), Opatija, Croatia, 28 September 2020; IEEE: Piscataway, NJ, USA; pp. 755–759. [Google Scholar]
- Katla, S.N.; Korivi, N.; Manikandan, V.M. A Sentiment Analysis-Based Intelligent System for Summarizing the Feedback of Educational Institutions. In Proceedings of the 2023 14th International Conference on Computing Communication and Networking Technologies (ICCCNT), Delhi, India, 6 July 2023; IEEE: Piscataway, NJ, USA; pp. 1–5. [Google Scholar]
- Kumarasiri, A.D.S.S.; Delwita, C.E.M.S.M.; Haddela, P.S.; Samarasinghe, R.P.; Udishan, R.P.I.; Wick-ramasinghe, L. Student Teaching and Learning System for Academic Institutions. In Proceedings of the 2022 IEEE 7th International conference for Convergence in Technology (I2CT), Pune, India, 7 April 2022; IEEE: Piscataway, NJ, USA; pp. 1–6. [Google Scholar]
- Iatrellis, O.; Samaras, N.; Kokkinos, K.; Xenakis, A. Elevating Academic Advising: Natural Language Processing of Student Reviews. Appl. Syst. Innov. 2024, 7, 12. [Google Scholar] [CrossRef]
- Akritidis, L.; Bozanis, P. Low-Dimensional Text Representations for Sentiment Analysis NLP Tasks. SN Comput. Sci. 2023, 4, 474. [Google Scholar] [CrossRef]
- Jelodar, H.; Wang, Y.; Orji, R.; Huang, H. Deep Sentiment Classification and Topic Discovery on Novel Coronavirus or COVID-19 Online Discussions: NLP Using LSTM Recurrent Neural Network Approach. IEEE J. Biomed. Health Inform. 2020, 24, 2733–2742. [Google Scholar] [CrossRef]
- Soong, H.-C.; Jalil, N.B.A.; Kumar Ayyasamy, R.; Akbar, R. The Essential of Sentiment Analysis and Opinion Mining in Social Media: Introduction and Survey of the Recent Approaches and Techniques. In Proceedings of the 2019 IEEE 9th Symposium on Computer Applications & Industrial Electronics (ISCAIE), Kota Kinabalu, Malaysia, 27–28 April 2019; pp. 272–277. [Google Scholar]
- Nguyen, P.X.V.; Hong, T.T.T.; Van Nguyen, K.; Nguyen, N.L.-T. Deep Learning versus Traditional Classifiers on Vietnamese Students’ Feedback Corpus. In Proceedings of the 2018 5th NAFOSTED Conference on Information and Computer Science (NICS), Ho Chi Minh City, Vietnam, 23–24 November 2018; IEEE: Piscataway, NJ, USA; pp. 75–80. [Google Scholar]
- Purushotham, P.; Kiran, A. Sentiment Analysis Using Deep Learning for Students’ Feedback: A Survey. In Proceedings of the 2023 International Conference on Computer Communication and Informatics (ICCCI), Coimbatore, India, 23 January 2023; IEEE: Piscataway, NJ, USA; pp. 1–4. [Google Scholar]
- Jain, K.; Kaushal, S. A Comparative Study of Machine Learning and Deep Learning Techniques for Sentiment Analysis. In Proceedings of the 2018 7th International Conference on Reliability, Infocom Technologies and Optimization (Trends and Future Directions) (ICRITO), Noida, India, 29–31 August 2018; IEEE: Piscataway, NJ, USA; pp. 483–487. [Google Scholar]
- Katragadda, S.; Ravi, V.; Kumar, P.; Lakshmi, G.J. Performance Analysis on Student Feedback Using Machine Learning Algorithms. In Proceedings of the 2020 6th International Conference on Advanced Compu-ting and Communication Systems (ICACCS), Coimbatore, India, 6–7 March 2020; IEEE: Piscataway, NJ, USA; pp. 1161–1163. [Google Scholar]
- Kastrati, Z.; Dalipi, F.; Imran, A.S.; Pireva Nuci, K.; Wani, M.A. Sentiment Analysis of Students’ Feedback with NLP and Deep Learning: A Systematic Mapping Study. Appl. Sci. 2021, 11, 3986. [Google Scholar] [CrossRef]
- Mäntylä, M.V.; Graziotin, D.; Kuutila, M. The evolution of sentiment analysis—A review of research topics, venues, and top cited papers. Comput. Sci. Rev. 2018, 27, 16–32. [Google Scholar] [CrossRef]
- Umar, M.; Aliyu, M.; Modi, S. Sentiment Analysis in the Era of Web 2.0: Applications, Implementation Tools and Approaches for the Novice Researcher. Caliphate J. Sci. Technol. 2022, 4, 1–9. [Google Scholar] [CrossRef]
- Tian, X.; Tang, S.; Zhu, H.; Xia, D. Real-time sentiment analysis of students based on mini-Xception architecture for wisdom classroom. Concurr. Comput. Pract. Exp. 2022, 34. [Google Scholar] [CrossRef]
- Altrabsheh, N.; Cocea, M.; Fallahkhair, S. Sentiment Analysis: Towards a Tool for Analysing Real-Time Stu-dents Feedback. In Proceedings of the 2014 IEEE 26th International Conference on Tools with Artificial Intelligence, Limassol, Cyprus, 10–12 November 2014; IEEE: Piscataway, NJ, USA; pp. 419–423. [Google Scholar]
- Altrabsheh, N.; Cocea, M.; Fallahkhair, S. Learning Sentiment from Students’ Feedback for Real-Time Interventions in Classrooms. In Proceedings of the International Conference on Adaptive and Intelligent Systems, Bournemouth, UK, 8–9 September 2014; pp. 40–49. [Google Scholar]
- Altrabsheh, N.; Cocea, M.; Fallahkhair, S.; Dhou, K. Evaluation of the SA-E System for Analysis of Students’ Real-Time Feedback. In Proceedings of the 2017 IEEE 17th International Conference on Advanced Learning Technologies (ICALT), Timisoara, Romania, 3–7 July 2017; IEEE: Piscataway, NJ, USA; pp. 60–61. [Google Scholar]
- Adachi, Y.; Negishi, T. Development and evaluation of a real-time analysis method for free-description questionnaire responses. In Proceedings of the 2020 15th International Conference on Computer Science & Education (ICCSE), Delft, The Netherlands, 18–22 August 2020; pp. 78–82. [Google Scholar]
- Aiyanyo, I.D.; Samuel, H.; Lim, H. Effects of the COVID-19 Pandemic on Classrooms: A Case Study on Foreigners in South Korea Using Applied Machine Learning. Sustainability 2021, 13, 4986. [Google Scholar] [CrossRef]
- Nkomo, L.M.; Daniel, B.K. Sentiment Analysis of Student Engagement with Lecture Recording. TechTrends 2021, 65, 213–224. [Google Scholar] [CrossRef] [PubMed]
- Lau, S.L.; Sim, T.Y. Feedback of University Students on Online Delivery Learning During the COVID-19 Pandemic Period. In Proceedings of the 2020 IEEE Conference on e-Learning, e-Management and e-Services (IC3e), Kota Kinabalu, Malaysia, 17–19 November 2020; pp. 13–18. [Google Scholar]
- Palit, S.; Nur, S.; Khatun, Z.; Rahman, M.; Ahmed, T. Analysis of Online Education System of Bangladesh during COVID-19 Pandemic Based on NLP and Machine Learning: Problem and Prospect. In Proceedings of the 2021 Emerging Trends in Industry 4.0 (ETI 4.0), Raigarh, India, 19–21 May 2021; pp. 1–6. [Google Scholar]
- Jayanthi M, A.; Shanthi I, E. Quest_SA: Preprocessing Method for Closed-Ended Questionnaires Using Sentiment Analysis through Polarity. Mob. Inf. Syst. 2022, 2022, 4733550. [Google Scholar] [CrossRef]
- Sindhu, I.; Daudpota, S.M.; Badar, K.; Bakhtyar, M.; Baber, J.; Nurunnabi, M. Aspect-Based Opinion Mining on Student’s Feedback for Faculty Teaching Performance Evaluation. IEEE Access 2019, 7, 108729–108741. [Google Scholar] [CrossRef]
- Sangeetha, K.; Prabha, D. Understand Students Feedback Using Bi-Integrated CRF Model Based Target Extraction. Comput. Syst. Sci. Eng. 2022, 40, 735–747. [Google Scholar] [CrossRef]
- Pham, T.D.; Vo, D.; Li, F.; Baker, K.; Han, B.; Lindsay, L.; Pashna, M.; Rowley, R. Natural language processing for analysis of student online sentiment in a postgraduate program. Pac. J. Technol. Enhanc. Learn. 2020, 2, 15–30. [Google Scholar] [CrossRef]
- Kiritchenko, S.; Zhu, X.; Mohammad, S.M. Sentiment Analysis of Short Informal Texts. J. Artif. Intell. Res. 2014, 50, 723–762. [Google Scholar] [CrossRef]
- Almasani, S.A.M.; Qaid, W.A.A.; Saif, J.A.M.; Alqubati, I.A.A. Fuzzy rule based sentiment analysis for finding University Student Satisfaction in Yemen. Indian J. Sci. Technol. 2021, 14, 3264–3269. [Google Scholar] [CrossRef]
- Alzaid, M.; Fkih, F. Sentiment Analysis of Students’ Feedback on E-Learning Using a Hybrid Fuzzy Model. Appl. Sci. 2023, 13, 12956. [Google Scholar] [CrossRef]
- Xiaoning, T. Application of Artificial Neural Network in Teaching Quality Evaluation. In Proceedings of the 2022 International Conference on Computers, Information Processing and Advanced Education (CIPAE), Ottawa, ON, Canada, 26–28 August 2022; pp. 35–38. [Google Scholar]
- Lee, K.J. Compositional rules of Korean auxiliary predicates for sentiment analysis. J. Korean Soc. Mar. Eng. 2013, 37, 291–299. [Google Scholar] [CrossRef]
- Truong, T.-L.; Le, H.-L.; Le-Dang, T.-P. Sentiment Analysis Implementing BERT-Based Pre-Trained Language Model for Vietnamese. In Proceedings of the 2020 7th NAFOSTED Conference on Information and Computer Science (NICS), Ho Chi Minh City, Vietnam, 26 November 2020; IEEE: Piscataway, NJ, USA; pp. 362–367. [Google Scholar]
- Amin, M.H.S.M.; Al-Rassam, O.; Faeq, Z.S. Kurdish Language Sentiment Analysis: Problems and Challenges. Math. Stat. Eng. Appl. 2022, 71, 3282–3293. [Google Scholar] [CrossRef]
- Wawer, A.; Sobiczewska, J. Predicting Sentiment of Polish Language Short Texts. In Proceedings of the Proceedings—Natural Language Processing in a Deep Learning World, Varna, Bulgaria, 22 October 2019; Incoma Ltd.: Shoumen, Bulgaria; pp. 1321–1327. [Google Scholar]
- Rajput, G.K.; Kumar, A.; Kundu, S. A Comparative Study on Sentiment Analysis Approaches and Methods. In Proceedings of the 2020 9th International Conference System Modeling and Advancement in Research Trends (SMART), Moradabad, India, 4 December 2020; IEEE: Piscataway, NJ, USA; pp. 427–431. [Google Scholar]
- Radecki, A.; Rybicki, T. An Accurate State Visualization of Multiplexed and PWM Fed Peripherals in the Virtual Simulators of Embedded Systems. Appl. Sci. 2022, 12, 3137. [Google Scholar] [CrossRef]
- Radecki, A.; Rybicki, T. Simulation Oriented Layer of Embedded Software Architecture for Rapid Development of Custom Embedded Systems Virtual Simulators Used in Didactics. Appl. Sci. 2022, 12, 6322. [Google Scholar] [CrossRef]
- Das, N.; Gupta, S.; Das, S.; Yadav, S.; Subramanian, T.; Sarkar, N. A Comparative Study of Sentiment Analy-sis Tools. In Proceedings of the 2021 International Conference on Innovative Computing, Intelligent Communication and Smart Electrical Systems (ICSES), Chennai, India, 24 September 2021; IEEE: Piscataway, NJ, USA; pp. 1–7. [Google Scholar]
- Kaur, C.; Sharma, A. Social Issues Sentiment Analysis Using Python. In Proceedings of the 2020 5th Interna-tional Conference on Computing, Communication and Security (ICCCS), Patna, India, 14 October 2020; IEEE: Piscataway, NJ, USA; pp. 1–6. [Google Scholar]
- Che, W.; Zhao, Y.; Guo, H.; Su, Z.; Liu, T. Sentence Compression for Aspect-Based Sentiment Analysis. IEEE/ACM Trans. Audio, Speech, Lang. Process. 2015, 23, 2111–2124. [Google Scholar] [CrossRef]
- Izsak, P.; Guskin, S.; Wasserblat, M. Training Compact Models for Low Resource Entity Tagging Using Pre-Trained Language Models. In Proceedings of the 2019 Fifth Workshop on Energy Efficient Machine Learning and Cognitive Computing—NeurIPS Edition (EMC2-NIPS), Vancouver, BC, Canada, 13 December 2019; IEEE: Piscataway, NJ, USA; pp. 44–47. [Google Scholar]
- De Smedt, T.; Daelemans, W. Pattern for Python. J. Mach. Learn. Res. 2012, 13, 2063–2067. [Google Scholar]
- Arifiyanti, A.A.; Kartika, D.S.Y.; Prawiro, C.J. Using Pre-Trained Models for Sentiment Analysis in Indonesian Tweets. In Proceedings of the 2022 6th International Conference on Informatics and Computational Sciences (ICICoS), Semarang, Indonesia, 28 September 2022; IEEE: Piscataway, NJ, USA; pp. 78–83. [Google Scholar]
- Kavitha, M.; Naib, B.B.; Mallikarjuna, B.; Kavitha, R.; Srinivasan, R. Sentiment Analysis Using NLP and Machine Learning Techniques on Social Media Data. In Proceedings of the 2022 2nd International Confer-ence on Advance Computing and Innovative Technologies in Engineering (ICACITE), Greater Noida, India, 28 April 2022; IEEE: Piscataway, NJ, USA; pp. 112–115. [Google Scholar]
- Wang, X. Automatic Scoring of English Online Translation Based on Machine Learning Algorithm. In Proceedings of the 2022 International Conference on Artificial Intelligence of Things and Crowdsensing (AIoTCs), Nicosia, Cyprus, 26–28 October 2022; IEEE: Piscataway, NJ, USA; pp. 111–115. [Google Scholar]
- Brkić, M.; Bašic Mikulić, B.; Matetić, M. Can We Beat Google Translate? In Proceedings of the ITI 2012 34th International Conference on Information Technology Interfaces, Cavtat/Dubrovnik, Croatia, 25–28 June 2012; pp. 381–386. [Google Scholar]
- Amin, A.; Hossain, I.; Akther, A.; Alam, K.M. Bengali VADER: A Sentiment Analysis Approach Using Modified VADER. In Proceedings of the 2019 International Conference on Electrical, Computer and Communication Engineering (ECCE), Cox’s Bazar, Bangladesh, 7–9 February 2019; IEEE: Piscataway, NJ, USA; pp. 1–6. [Google Scholar]
- Institute of Automatic Control, Lodz University of Technology. Available online: https://www.automatyka.p.lodz.pl/?lang=en (accessed on 21 March 2024).
- Microprocessor Systems Laboratory. Available online: https://automatyka.p.lodz.pl/en/microprocessor-systems-laboratory (accessed on 21 March 2024).
- Mroczek, H. Microprocessor Technique; Lodz Uniwersity of Technology Press: Łódź, Poland, 2007; ISBN 978-83-7283-238-2. (In Polish) [Google Scholar]
- Ghosh, A.; Bershteyn, M.; Casley, R.; Chien, C.; Jain, A.; Lipsie, M.; Tarrodaychik, D.; Yamamoto, O. Hardware-Software Co-Simulator for Embedded System Design and Debugging. In Proceedings of the Asia and South Pacific Design Automation Conference ASP-DAC, Chiba, Japan, 29 August–1 September 1995; pp. 155–164. [Google Scholar] [CrossRef]
- Zheng, S. TPA31xxDx Bootstrap Circuit. Application Report No. SLOA259, Texas Instruments, Dallas, Texas, November 2017. Available online: http://www.ti.com (accessed on 24 January 2011).
- WIKAMP Lodz University of Technology Teaching Platform. Available online: https://edu.p.lodz.pl/?lang=en (accessed on 21 March 2024).
- Wang, X. Designing Method of Art Education Course Based on Moodle Platform. In Proceedings of the 2019 International Conference on Smart Grid and Electrical Automation (ICSGEA), Xiangtan, China, 10–11 August 2019; IEEE: Piscataway, NJ, USA; pp. 361–365. [Google Scholar]
- Taber, K.S. Lost and found in translation: Guidelines for reporting research data in an ‘other’ language. Chem. Educ. Res. Pract. 2018, 19, 646–652. [Google Scholar] [CrossRef]
- Michael, J.S. Nuance Lost in Translation. NTM Z. für Gesch. der Wiss. Tech. und Med. 2017, 25, 281–309. [Google Scholar] [CrossRef]










Disclaimer/Publisher’s Note: The statements, opinions and data contained in all publications are solely those of the individual author(s) and contributor(s) and not of MDPI and/or the editor(s). MDPI and/or the editor(s) disclaim responsibility for any injury to people or property resulting from any ideas, methods, instructions or products referred to in the content. |
© 2024 by the authors. Licensee MDPI, Basel, Switzerland. This article is an open access article distributed under the terms and conditions of the Creative Commons Attribution (CC BY) license (https://creativecommons.org/licenses/by/4.0/).
Share and Cite
Radecki, A.; Rybicki, T. Comparison of Sentiment Analysis Methods Used to Investigate the Quality of Teaching Aids Based on Virtual Simulators of Embedded Systems. Electronics 2024, 13, 1811. https://doi.org/10.3390/electronics13101811
Radecki A, Rybicki T. Comparison of Sentiment Analysis Methods Used to Investigate the Quality of Teaching Aids Based on Virtual Simulators of Embedded Systems. Electronics. 2024; 13(10):1811. https://doi.org/10.3390/electronics13101811
Chicago/Turabian StyleRadecki, Andrzej, and Tomasz Rybicki. 2024. "Comparison of Sentiment Analysis Methods Used to Investigate the Quality of Teaching Aids Based on Virtual Simulators of Embedded Systems" Electronics 13, no. 10: 1811. https://doi.org/10.3390/electronics13101811
APA StyleRadecki, A., & Rybicki, T. (2024). Comparison of Sentiment Analysis Methods Used to Investigate the Quality of Teaching Aids Based on Virtual Simulators of Embedded Systems. Electronics, 13(10), 1811. https://doi.org/10.3390/electronics13101811

