An Improved Zero-Current Distortion Compensation Method for the Soft-Start of the Vienna Rectifier
Abstract
1. Introduction
2. Conventional ZCDC Method
2.1. Basic Concept of the Conventional ZCDC Method
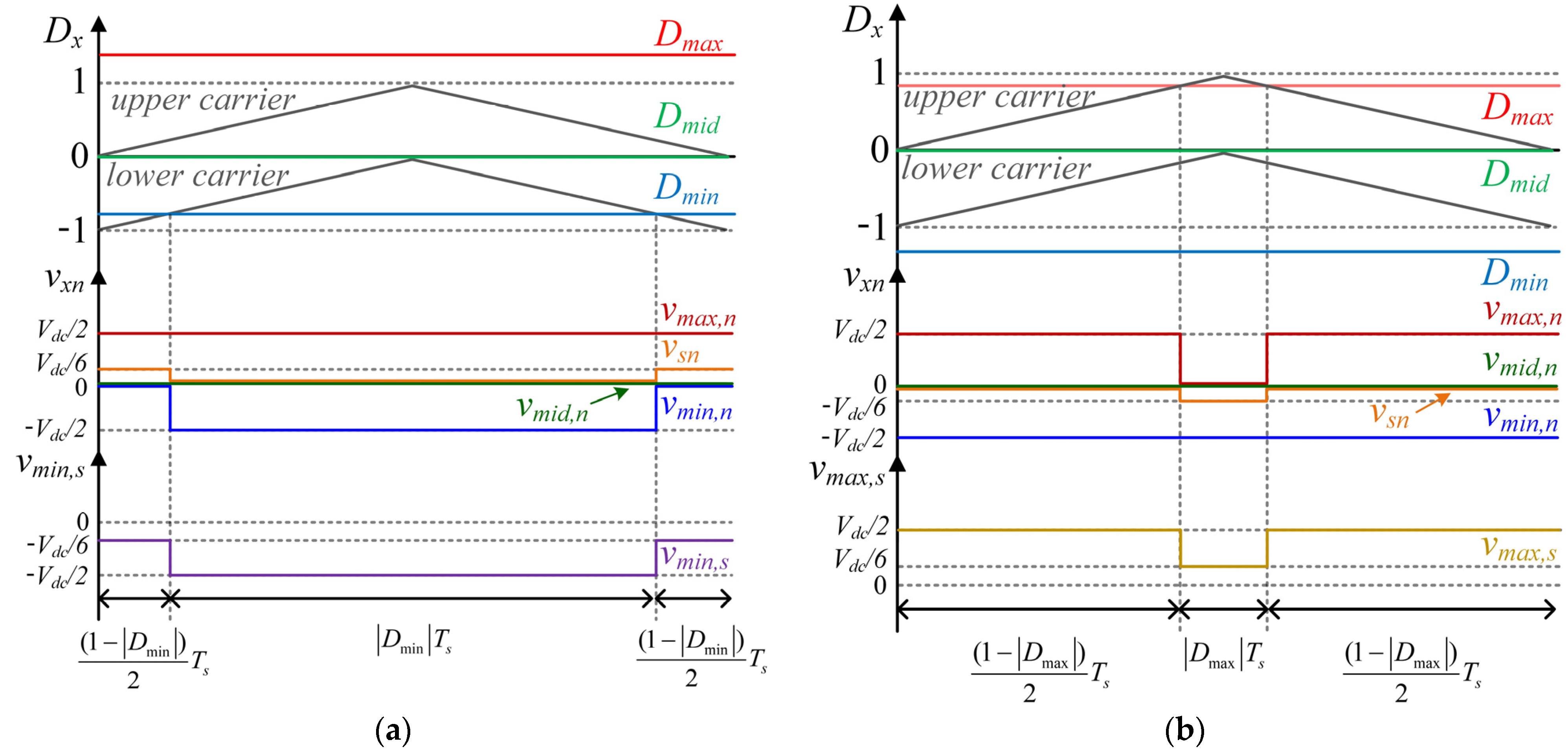
2.2. Implementation of the Conventional ZCDC Method
2.3. Occurrence of Overmodulation Caused by the Conventional ZCDC Component
3. Proposed IZCDC Method
3.1. Derivation of the IZCDC Duty Component
3.2. Implementation of the IZCDC Method
3.3. The Entire Control Sequence of the Vienna Rectifier Including the Proposed IZCDC Method
- (1)
- Sorting the reference voltages of the three phases: vmax*, vmid* and vmin* are determined, and offset voltage to extend the linear modulation region is derived and injected to the reference voltages of the three phases.
- (2)
- Extracting the conventional ZCDC component: Vcomp can be obtained from the Conventional ZCDC with θg derived from the PLL and Table 1.
- (3)
- Detecting overmodulation: By adding Vcomp to the reference voltages of the three phases, the reference voltages of the conventional ZCDC vx,conv* (x = a, b, and c) are obtained and they are monitored to check for the occurrence of overmodulation. If the magnitude of vx,conv* exceeds Vdc/2, overmodulation is detected.
- (4)
- Deriving the IZCDC component: If overmodulation is detected in the previous step, the IZCDC component Vx,IZCDC (x = max || min) is derived from expressions (7) to (10).
- (5)
- Applying the IZCDC method: Vx,IZCDC is inserted to the reference voltage of the selected phase in accordance with the criteria in expression (11) and (12). The reference voltages of the other two phases remain the same as those of the conventional method.
4. Simulation Results
5. Experimental Results
6. Conclusions
Author Contributions
Funding
Data Availability Statement
Conflicts of Interest
References
- Zhang, M.; Yuan, Y.; Sun, X.; Zhang, Y.; Li, X. Harmonic Resonance Suppression Strategy of the Front-End Vienna Rectifier in EV Charging Piles. IEEE Trans. Power Electron. 2023, 38, 1036–1053. [Google Scholar] [CrossRef]
- Kumar, U.S.; Halder, S.; Bittu, S.; Bhattacharjee, S.; Yalla, N.; Nakka, J. SiC Based 3-Phase Vienna Rectifier Using Hybrid SVPWM Strategy for EV Charging Station. In Proceedings of the 2023 7th International Conference on Computer Applications in Electrical Engineering-Recent Advances (CERA), Roorkee, India, 27–29 October 2023. [Google Scholar]
- Rajendran, G.; Vaithilingam, C.A.; Misron, N.; Naidu, K.; Ahmed, R. Voltage Oriented Controller Based Vienna Rectifier for Electric Vehicle Charging Stations. IEEE Access 2021, 9, 50798–50809. [Google Scholar] [CrossRef]
- Adhikari, J.; Prasanna, I.V.; Ponraj, G.; Panda, S.K. Modeling, Design, and Implementation of a Power Conversion System for Small-Scale High-Altitude Wind Power Generating System. IEEE Trans. Ind. Appl. 2017, 53, 283–295. [Google Scholar] [CrossRef]
- Chen, S.; Yu, W.; Meyer, D. Design and Implementation of Forced Air-cooled, 140 kHz, 20 kW SiC MOSFET based Vienna PFC. In Proceedings of the 2019 IEEE Applied Power Electronics Conference and Exposition (APEC), Anaheim, CA, USA, 25–29 February 2019; pp. 1196–1203. [Google Scholar]
- Hartmann, M.; Round, S.D.; Ertl, H.; Kolar, J.W. Digital Current Controller for a 1 MHz, 10 kW Three-Phase VIENNA Rectifier. IEEE Trans. Power Electron. 2009, 24, 2496–2508. [Google Scholar] [CrossRef]
- Friedli, T.; Hartmann, M.; Kolar, J.W. The Essence of Three-Phase PFC Rectifier Systems—Part II. IEEE Trans. Power Electron. 2014, 29, 543–560. [Google Scholar] [CrossRef]
- Gamboa, G.; Elmes, J.; Hamilton, C.; Baker, J.; Pepper, M.; Batarseh, I. A unity power factor, maximum power point tracking battery charger for low power wind turbines. In Proceedings of the 2010 Twenty-Fifth Annual IEEE Applied Power Electronics Conference and Exposition (APEC), Palm Springs, CA, USA, 21–25 February 2010; pp. 143–148. [Google Scholar]
- Deng, J.; Cheng, H.; Wang, C.; Wu, S.; Si, M. Evaluation and Comprehensive Comparison of H-Bridge-Based Bidirectional Rectifier and Unidirectional Rectifiers. Electronics 2020, 9, 309. [Google Scholar] [CrossRef]
- Molligoda, D.A.; Pou, J.; Gajanayake, C.; Gupta, A. Analysis of the Vienna Rectifier under Nonunity Power Factor Operation. In Proceedings of the 2018 Asian Conference on Energy, Power and Transportation Electrification (ACEPT), Singapore, 30 October–2 November 2018; pp. 1–7. [Google Scholar]
- Lee, J.-S.; Lee, K.-B. A Novel Carrier-Based PWM Method for Vienna Rectifier with a Variable Power Factor. IEEE Trans. Ind. Electron. 2016, 63, 3–12. [Google Scholar] [CrossRef]
- Zhu, W.; Li, X.; Cao, X.; Li, Y.; Zhou, K. An Improved Modulation Strategy without Current Zero-Crossing Distortion and Control Method for Vienna Rectifier. IEEE Trans. Power Electron. 2023, 38, 15199–15213. [Google Scholar] [CrossRef]
- Miao, Z.; Tong, H.; Jin, X.; Yao, W.; Lu, Z.; Ma, Z. DQ-Frame Zero-Crossing Effect Modeling and Current Distortion Compensation Method for Vienna Rectifier. IEEE Trans. Power Electron. 2020, 35, 7612–7623. [Google Scholar] [CrossRef]
- Zhang, Q.; Liu, F.; Jiang, W.; Wang, J.; Yue, Y. A Novel Modulation Method Based on Model Prediction Control with Significantly Reduced Switching Loss and Current Zero-Crossing Distortion for Vienna Rectifier. IEEE Trans. Power Electron. 2023, 38, 1650–1661. [Google Scholar] [CrossRef]
- Fu, Y.; Cui, N.; Song, J.; Chen, Z.; Fu, C.; Zhang, C. A Hybrid Control Strategy Based on Lagging Reactive Power Compensation for Vienna-Type Rectifier. IEEE Trans. Transp. Electrification 2021, 7, 825–837. [Google Scholar] [CrossRef]
- Zhang, Q.; Jiang, W.; Wang, J.; Chen, K.; Ma, M.; Chen, Q. A Novel Modulation Method to Suppress the Current Zero-Crossing Distortion for Vienna Rectifier with Different Control Methods Under Unbalanced Grid. IEEE Trans. Ind. Electron. 2024, 71, 1135–1146. [Google Scholar] [CrossRef]
- Ding, W.; Zhang, C.; Gao, F.; Duan, B.; Qiu, H. A Zero-Sequence Component Injection Modulation Method With Compensation for Current Harmonic Mitigation of a Vienna Rectifier. IEEE Trans. Power Electron. 2019, 34, 801–814. [Google Scholar] [CrossRef]
- Molligoda, D.A.; Pou, J.; Ceballos, S.; Satpathi, K.; Sasongko, F.; Gajanayake, C.J.; Gupta, A.K. Current Distortion Mitigation in Grid-Connected Vienna Rectifier During Nonunity Power Factor Operation. In Proceedings of the IECON 2020 the 46th Annual Conference of the IEEE Industrial Electronics Society, Singapore, 18–21 October 2020; pp. 4085–4090. [Google Scholar]
- Lee, J.-S.; Lee, K.-B. Carrier-Based Discontinuous PWM Method for Vienna Rectifiers. IEEE Trans. Power Electron. 2015, 30, 2896–2900. [Google Scholar] [CrossRef]
- Pei, Y.; Tang, Y.; Xu, H.; Niu, J.; Ge, L. A Modified Carrier-Based DPWM with Reduced Switching Loss and Current Distortion for Vienna Rectifier. IEEE Trans. Power Electron. 2023, 38, 12195–12206. [Google Scholar] [CrossRef]
- Zhu, W.; Chen, C.; Duan, S.; Wang, T.; Liu, P. A Carrier-Based Discontinuous PWM Method with Varying Clamped Area for Vienna Rectifier. IEEE Trans. Ind. Electron. 2019, 66, 7177–7188. [Google Scholar] [CrossRef]
- Lai, R.; Wang, F.; Burgos, R.; Boroyevich, D.; Jiang, D.; Zhang, D. Average Modeling and Control Design for VIENNA-Type Rec-Tifiers Considering the DC-Link Voltage Balance. IEEE Trans. Power Electron. 2009, 24, 2509–2522. [Google Scholar]












| Sector | Vcomp |
|---|---|
| 1 | |
| 2 | |
| 3 | |
| 4 | |
| 5 | |
| 6 |
| Parameters | Value |
|---|---|
| Mains (grid) voltage | 380 VLL,rms |
| Mains frequency | 60 Hz |
| DC-link voltage | 700 Vdc |
| DC-link capacitance | 1125 μF |
| Switching frequency | 10 kHz |
| Input filter inductance | 1.25 mH |
Disclaimer/Publisher’s Note: The statements, opinions and data contained in all publications are solely those of the individual author(s) and contributor(s) and not of MDPI and/or the editor(s). MDPI and/or the editor(s) disclaim responsibility for any injury to people or property resulting from any ideas, methods, instructions or products referred to in the content. |
© 2024 by the authors. Licensee MDPI, Basel, Switzerland. This article is an open access article distributed under the terms and conditions of the Creative Commons Attribution (CC BY) license (https://creativecommons.org/licenses/by/4.0/).
Share and Cite
Lee, J.-Y.; Lee, J.-S. An Improved Zero-Current Distortion Compensation Method for the Soft-Start of the Vienna Rectifier. Electronics 2024, 13, 1806. https://doi.org/10.3390/electronics13101806
Lee J-Y, Lee J-S. An Improved Zero-Current Distortion Compensation Method for the Soft-Start of the Vienna Rectifier. Electronics. 2024; 13(10):1806. https://doi.org/10.3390/electronics13101806
Chicago/Turabian StyleLee, Ju-Yeon, and June-Seok Lee. 2024. "An Improved Zero-Current Distortion Compensation Method for the Soft-Start of the Vienna Rectifier" Electronics 13, no. 10: 1806. https://doi.org/10.3390/electronics13101806
APA StyleLee, J.-Y., & Lee, J.-S. (2024). An Improved Zero-Current Distortion Compensation Method for the Soft-Start of the Vienna Rectifier. Electronics, 13(10), 1806. https://doi.org/10.3390/electronics13101806

