Next Article in Journal
Research on the Effects of Different Electrolyte Ratios on Heat Loss Control in Lithium-Ion Batteries
Previous Article in Journal
The Development of an Autonomous Vehicle Training and Verification System for the Purpose of Teaching Experiments
 
 
Font Type:
Arial Georgia Verdana
Font Size:
Aa Aa Aa
Line Spacing:
Column Width:
Background:
Communication

Variable Angular Rate Measurement for a Spacecraft Based on the Rolling Shutter Mode of a Star Tracker

1
Department of Precision Instrument, Tsinghua University, Beijing 100084, China
2
Joint International Research Laboratory of Advanced Photonics and Electronics, Beijing Information Science and Technology University, Beijing 100192, China
*
Author to whom correspondence should be addressed.
Electronics 2023, 12(8), 1875; https://doi.org/10.3390/electronics12081875
Submission received: 7 March 2023 / Revised: 1 April 2023 / Accepted: 13 April 2023 / Published: 16 April 2023
(This article belongs to the Section Industrial Electronics)

Abstract

:
Angular rate is a piece of useful information for the attitude control of a spacecraft. The star tracker as a space optical sensor can be used to measure the angular rate of a spacecraft. In this paper, a novel approach is proposed to improve the measurement accuracy of the angular rate during spacecraft rotation. The electronic rolling shutter (RS) imaging mode of the complementary metal-oxide semiconductor (CMOS) image sensor in a star tracker is applied to obtain much higher sampling frequency for reducing the change of the angular rate between the sampling interval. The optic flow vector on the imaging plane is approximated within the second order using three successive star images to reflect the nonlinear effect from the variable angular rate. The experiment is performed to demonstrate the advantage of the new approach for variable angular rate measurement.

1. Introduction

Angular rate is an important parameter for the attitude estimation and control of a spacecraft [1,2,3,4]. Usually, the angular rate is measured by gyros. However, gyros have a tendency to degrade or fail in orbit, and some small, inexpensive, and short-duration spacecrafts do not carry gyros due to their high cost [5,6]. Therefore, there is a need to measure the angular rate in the absence of gyros [7].
The star tracker is an optical attitude sensor on a spacecraft, which has the advantages of high precision, low power consumption, and no error accumulation and can be used to determine the angular rate [8,9,10]. The methods to measure the angular rate based on a star tracker are classified into two categories, the filtering approach and the derivative approach. A basic idea of the filtering approach is to estimate the angular rate dependent on angular dynamics of a rigid-body spacecraft and correct prediction errors by measurements from a star tracker [11,12,13]. However, the angular momentum and the inertia matrix in the dynamics model may contain parameter uncertainties due to difficulties of accurate modeling, fuel consumptions, and external disturbances, eventually leading to the performance deterioration or instability of angular rate estimation [14,15]. As for the derivative approach, the angular rate can be derived by differentiating the attitude given by a star tracker [16]. In [17,18], the derivatives of observation vectors are introduced to calculate the angular rate without attitude information. The optic flow vector is used in [19] to determine the angular rate with less computation. However, the performance of these derivative algorithms may degrade under the variable angular rate, affected by the long exposure and readout time of an image sensor in the global shutter (GS) exposure mode.
In order to improve the measuring accuracy of the variable angular rate, in this paper, a new derivative approach is developed based on the electronic rolling shutter (RS) exposure mode of the complementary metal-oxide semiconductor (CMOS) image sensor in a star tracker. The measurement equation of the angular rate is established with the vector observation model of a star tracker. The high sampling frequency is acquired from the row-to-row sequential exposure of the image sensor. Optic flow vectors in the measurement equation are approximated with three successive frames of star images and the variable angular rate is determined by the least square method. The performance of the proposed method is verified by an experiment. The main contributions of this paper are emphasized as follows: (1) the measurement model is created for angular rate measurement using a star tracker; (2) the sampling frequency of a star tracker is improved by using the RS exposure mode of the image sensor; (3) more accurate optic flow vectors are obtained based on the proposed algorithm by using three successive star images; (4) the measurement accuracy of the variable angular rate is improved with the new approach.

2. Angular Rate Measurement Model

The angular rate is measured using observation vectors of a star tracker. Owing to the rotation of a star tracker, observation vectors change from scene to scene and the motion information is implied in successive star images. The vector observation model of a star tracker is shown in Figure 1.
In Figure 1, r represents the reference vector in inertial frame o i x i y i z i . b is the observation vector of a guide star in star tracker frame o s x s y s z s and satisfies
b = [ x s y s z s ] = 1 x 2 + y 2 + f 2 [ x y f ]
where x s , y s , and z s are the elements of the observation vector b . ( x , y ) is the coordinate of a star spot in imaging plane frame o i m x i m y i m . f is the focal length of a star tracker. The observation vector b is related to the reference vector r with an attitude matrix A , defined by
b = A r
Let p = [ x y ] T . The following relationship can be obtained based on Equation (1).
p = f z s [ x s y s ]
The rotation motion makes the star spots move from one point to another with time, resulting in an optic flow field on the imaging plane, where the optic flow vector represents the velocity of a star spot. The optic flow vector at a point ( x , y ) is denoted as v and can be yielded by differentiating Equation (3).
v = p ˙ = f [ x ˙ s z s x s z ˙ s z s 2 y ˙ s z s y s z ˙ s z s 2 ]
On the other hand, the attitude kinematic equation of a star tracker is defined by
A ˙ = [ ω × ] A
where the vector ω = [ ω 1 ω 2 ω 3 ] T is the angular rate of a star tracker and the cross-product matrix [ ω × ] is defined as
[ ω × ] = [ 0 ω 3 ω 2 ω 3 0 ω 1 ω 2 ω 1 0 ]
According to Equation (2) and Equation (5) the derivative of an observation vector is obtained by
b ˙ = A ˙ r = [ ω × ] A r = [ ω × ] b
Substituting Equation (7) into Equation (4) the following angular rate measurement model is obtained:
v = H ω
with
H = [ x y f f + x 2 f y ( f + y 2 f ) x y f x ]

3. Variable Angular Rate Determination with RS Mode

In this section, the RS mode of the CMOS image sensor in a star tracker is used to improve the measurement accuracy of the variable angular rate. It can be seen from Equation (8) that the optic flow vector at ( x , y ) linearly depends on the angular rate. Using successive star images, optic flow vectors for different star spots are approximated and the angular rate can be yielded based on the least square method. Generally, the CMOS image sensor of a star tracker works in electronic global shutter (GS) exposure mode, as shown in Figure 2. The star image is acquired in the way that the whole imaging plane of an image sensor is exposed simultaneously, meaning that star spots in a star image contain the motion information at the same moment. After a readout process, star spots are extracted, and the angular rate is determined. However, when the angular rate rapidly changes, the measuring accuracy of the angular rate is inevitably deteriorated for the reason that the angular rate is assumed to be constant during the exposure time t e and the readout time t r d . If there are n rows in the imaging plane, the sampling frequency of a star tracker in the GS mode is
f G S = 1 t e + n t r d
In order to improve the measuring accuracy of the variable angular rate, the RS mode of a CMOS image sensor is applied to acquire star images for reducing the influence from the exposure time and the readout time and increasing the time resolution of a star tracker. The RS mode is realized by the row-to-row sequential exposure of the imaging plane, where only the first row of the imaging plane is exposed at t = 0 and the following rows are exposed in turn after a small row-to-row time offset t r o w . Star spots distributed in different rows can reflect the motion of a star tracker at different times due to the different initial exposure moments caused by t r o w . Moreover, in the RS mode, the star spots can be obtained during the exposure period of the GS mode. Therefore, if there are m star spots in a star image, the sampling frequency of a star tracker in the RS mode satisfies
f R S > m f G S
Generally, m is greater than 10, so the time resolution of a star tracker in the RS mode is significantly improved, which can be utilized in the following angular rate determination.
To approximate the optic flow vector, three successive frames of star images are taken into account, where the notations for star spots in three images related to the same reference vector r are listed in Table 1. An effective way to find the desired star spots is present in [20].
Using the Taylor formula, the position vectors of star spots can be approximated as
p ( 2 ) p ( 3 ) ( t ( 3 ) t ( 2 ) ) p ˙ ( 3 ) + 1 2 ( t ( 3 ) t ( 2 ) ) 2 p ¨ ( 3 )
p ( 1 ) p ( 3 ) 2 ( t ( 3 ) t ( 2 ) ) p ˙ ( 3 ) + 2 ( t ( 3 ) t ( 2 ) ) 2 p ¨ ( 3 )
From Equation (12) and Equation (13) the optic flow vector in Image 3 can be obtained as
v ( 3 ) = p ˙ ( 3 ) 1 2 ( t ( 3 ) t ( 2 ) ) ( p ( 1 ) 4 p ( 2 ) + 3 p ( 3 ) )
It should be pointed out here that the time interval t ( 3 ) t ( 2 ) in the RS mode is usually shorter than that in the GS mode, resulting in a more precise Taylor expansion. In addition, with three successive frames of star images, the second-order approximation of the optic flow vector is obtained in Equation (14), which is more suitable than the first-order difference approximation under the variable angular rate. The two aspects guarantee a higher precision on the variable angular rate measurement.
For the variable angular rate, it is reasonable to assume that the angular rate is constant in the short time interval between two adjacent star spots extracted in the RS mode. Based on Equation (8) and Equation (14) the angular rate is determined by the least square approach.
ω ^ = ( i = 1 2 H i T H i ) 1 i = 1 2 H i T v i
where v i and H i , i = 1 , 2 denote the quantities for two adjacent star spots.
The measurement problem of the angular rate is solved in Equation (15). The variable angular rate can be accurately measured by using the RS mode of the CMOS image sensor in a star tracker and three successive frames of star images.

4. Experiment

The laboratory experiment is conducted to verify the performance of the proposed approach. The experiment system is composed of three parts: a star tracker, a three-axis rotary table, and a star simulator, as shown in Figure 3.
The star tracker is fixed on the three-axis rotary table which can generate high-precision rotation angles and angular rate. There are two purposes to use the rotary table: one is to simulate the rotation of a spacecraft and the other is to provide the true angular rate for measurement error analysis. The main parameters of the star tracker are listed in Table 2 and the star tracker used in the experiment is shown in Figure 4.
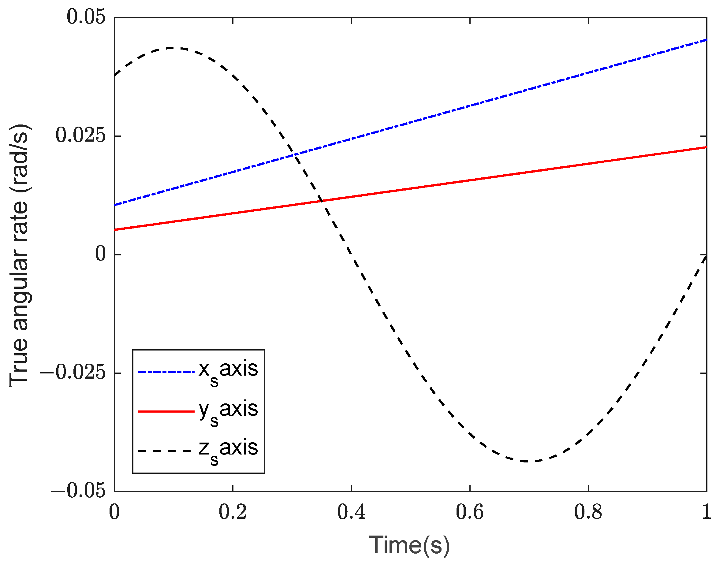
In the experiment, the star tracker works in the RS mode. The exposure time and the row-to-row time offset of the star tracker are configured as t e = 50   ms and t r o w = 52   μ s , respectively. In order to evaluate the performance of the new method with the variable angular rate, the rotary table is set to rotate at the following true angular rate:
ω = [ 0.0105 + 0.0349 t 0.0052 + 0.0174 t 0.0436 sin ( 5.2333 t + 1.047 ) ]
where the three components of the true angular rate are plotted in Figure 5. The components of the true angular rate with different accelerations and ranges are generated to verify the new method. In detail, the angular rates of the x s and y s axes increase with the constant angular accelerations 0.0349   rad / s 2 and 0.0174   rad / s 2 , respectively. The angular rate of the z s axis goes from positive to negative following a sine function with the magnitude 0.0436   rad / s . The star tracker rotates with the rotary table and observes stars from the star simulator. The angular rate is measured based on the obtained star images. The proposed method is evaluated by comparing the estimated angular rate with the true angular rate in Figure 5.
The proposed method is compared with the method in [19] that uses two successive star images to estimate the angular rate based on the GS mode of a star tracker. The measurement errors ω ω ^ of the angular rate are shown in Figure 6. It can be seen from Figure 6 that the measurement errors obtained by the new method are close to zero for the three axes, meaning that the new method is able to estimate the variable angular rate in Figure 5. Moreover, the new method has better performance than the derivative method in [19] which is biased under the variable angular rate and the deviation is increased with higher angular acceleration. In contrast, the new method is almost unbiased with much smaller measurement errors. This is due to the fact that the new method applies the RS mode of the CMOS image sensor in the star tracker to obtain a higher sampling frequency for reducing the change of the angular rate in the sampling interval, and, in addition, the second-order approximation of the optic flow vector is used in Equation (15) for better reflecting the change of the angular rate in the sampling interval.
The root mean square error (RMSE) of the angular rate measurement is defined as
R M S E i = 1 K k = 1 K ( ω i , k   ω   ^ i , k ) 2
where i = x s , y s , z s is the axis, ω i , k is the true angular rate component of the i axis and   ω   ^ i , k is the estimated one, and K is the total number of angular rate estimates. The RMSEs of the experimental results in Figure 6 are calculated and listed in Table 3. For the method in [19], the RMSE at the x s axis is larger than that at the y s axis because of the larger angular acceleration on the x s axis, as shown in Figure 5, and the z s axis has the largest RMSE due to the largest angular acceleration and fluctuation range. The RMSEs of the new method are much less than the RMSEs of the existing method at each axis because the RS mode with a higher sampling frequency is able to reduce the changes of angular rates between the sampling interval and the second-order approximation of the optic flow vector used in Equation (15) compensates the angular accelerations, leading to the superior performance of the new method.

5. Conclusions

In conclusion, a novel approach to determine the angular rate from observations of a star tracker has been proposed. The RS mode of the CMOS image sensor is used to acquire the high sampling frequency, where each row of the imaging plane is exposed with a time offset and the star spots in a star image can reflect the motion information at different times. The more accurate optic flow vectors in the measurement equation are obtained by three successive star images. With the least square approach, the angular rate is calculated. Finally, the experiment has been provided to illustrate the effectiveness and advantage of the new approach for variable angular rate measurement. In the future, the proposed angular rate measurement method will be applied to improve the attitude estimation accuracy of the star tracker in the rolling shutter mode under a variable angular rate. The laboratory experiment will be carried out to verify the attitude accuracy using the rotary table. The outdoor experiment will also be conducted to validate the effectiveness of the new method further.

Author Contributions

Conceptualization, S.Z., F.X., T.S. and Z.Y.; investigation, S.Z., F.X. and T.S.; writing—original draft preparation, S.Z.; writing—review and editing, S.Z. and F.X.; project administration, F.X.; funding acquisition, F.X. All authors have read and agreed to the published version of the manuscript.

Funding

This research was funded by the National Natural Science Foundation of China (51827806), the National Key Research and Development Program of China (2016YFB0501201), and the Xplorer Prize funded by the Tencent Foundation.

Data Availability Statement

Not applicable.

Acknowledgments

The authors acknowledge the support from TY-Space Technology (Beijing) Ltd. for their cooperation in the experiment.

Conflicts of Interest

The authors declare no conflict of interest.

References

  1. Paluszek, M.A.; Mueller, J.B.; Littman, M.G. Optical navigation system. In Proceedings of the IEEE Aerospace Conference, Big Sky, MO, USA, 6–13 March 2010. [Google Scholar]
  2. Leeghim, H.; Choi, Y.; Jaroux, B.A. Uncorrelated unscented filtering for spacecraft attitude determination. Acta Astronaut. 2010, 67, 135–144. [Google Scholar] [CrossRef]
  3. Andrle, M.S.; Crassidis, J.L. Attitude estimation employing common frame error representations. J. Guid. Control. Dyn. 2015, 38, 1614–1624. [Google Scholar] [CrossRef]
  4. Tropea, M.; De Rango, F. A comprehensive review of channel modeling for land mobile satellite communications. Electronics 2022, 11, 820. [Google Scholar] [CrossRef]
  5. de La Taille, L.; Gmerek, P.; Thieuw, A. Design of one gyro AOCS for the ERS-2 extended mission. In Proceedings of the 4th ESA International Conference, Noordwijk, The Netherlands, 18–21 October 2000; pp. 27–34. [Google Scholar]
  6. Hajiyev, C.; Cilden, D.; Somov, Y. Gyro-free attitude and rate estimation for a small satellite using SVD and EKF. Aerosp. Sci. Technol. 2016, 55, 324–331. [Google Scholar] [CrossRef]
  7. Agrawal, B.N.; Palermo, W.J. Angular rate estimation for gyroless satellite attitude control. In Proceedings of the AIAA Guidance, Navigation, and Control Conference, Monterey, CA, USA, 5–8 August 2002. [Google Scholar]
  8. Sun, Z.; Qi, X.; Jin, G. Ellipticity pivot star method for autonomous star identification. Optik 2017, 137, 1–5. [Google Scholar] [CrossRef]
  9. Sun, T.; Xing, F.; You, Z.; Wei, M. Motion-blurred star acquisition method of the star tracker under high dynamic conditions. Opt. Express 2013, 21, 20096–20110. [Google Scholar] [CrossRef] [PubMed]
  10. Sun, T.; Xing, F.; Wang, X.; You, Z. Effective star tracking method based on optical flow analysis for star trackers. Appl. Optics. 2016, 55, 10335–10340. [Google Scholar] [CrossRef] [PubMed]
  11. Inamori, T.; Hosonuma, T.; Ikari, S.; Saisutjarit, P. Precise attitude rate estimation using star images obtained by mission telescope for satellite missions. Adv. Space Res. 2015, 55, 1199–1210. [Google Scholar] [CrossRef]
  12. Bar-Itzhack, I.Y.; Harman, R.R. A feedback approach to spacecraft angular rate estimation. In Proceedings of the AIAA Guidance, Navigation, and Control Conference, Keystone, CO, USA, 21–24 August 2006. [Google Scholar]
  13. Carmi, A.; Oshman, Y. Robust spacecraft angular-rate estimation from vector observations using fast interlaced particle filtering. In Proceedings of the AIAA Guidance, Navigation, and Control Conference, San Francisco, CA, USA, 15–18 August 2005. [Google Scholar]
  14. Beigelman, L.; Gurfil, P. Optimal fuel-balanced impulsive formationkeeping for perturbed spacecraft orbits. J. Guid. Control. Dyn. 2008, 31, 1266–1283. [Google Scholar] [CrossRef]
  15. Liu, H.; Yang, J.; Yi, W.; Wang, J. Angular velocity estimation from measurement vectors of star tracker. Appl. Optics. 2012, 51, 3590–3598. [Google Scholar] [CrossRef] [PubMed]
  16. Shuster, M.D. A survey of attitude representations. J. Astronautical Sciences 1993, 41, 439–517. [Google Scholar]
  17. Crassidis, J.L. Angular velocity determination directly form star tracker measurements. J. Guid. Control. Dyn. 2002, 25, 1165–1168. [Google Scholar] [CrossRef]
  18. Singla, P.; Crassidis, J.L.; Junkins, J.L. Spacecraft angular rate estimation algorithms for star tracker-based attitude determination. Advan. Astronaut. Sci. 2003, 114, 1303–1316. [Google Scholar]
  19. Pal, M.; Bhat, M.S. Micro-satellite angular rate estimation using second-order sliding mode observer. Proc. Inst. Mech. Eng. Part G J. Aerosp. Eng. 2016, 230, 244–258. [Google Scholar] [CrossRef]
  20. Enright, J.; Dzamba, T. Rolling shutter compensation for star trackers. In Proceedings of the AIAA Guidance, Navigation, and Control Conference, Minneapolis, MN, USA, 13–16 August 2012. [Google Scholar]
Figure 1. Vector observation model of a star tracker.
Figure 1. Vector observation model of a star tracker.
Electronics 12 01875 g001
Figure 2. Operations of GS and RS modes.
Figure 2. Operations of GS and RS modes.
Electronics 12 01875 g002
Figure 3. Laboratory experiment system.
Figure 3. Laboratory experiment system.
Electronics 12 01875 g003
Figure 4. Star tracker used in the experiment.
Figure 4. Star tracker used in the experiment.
Electronics 12 01875 g004
Figure 5. True angular rate.
Figure 5. True angular rate.
Electronics 12 01875 g005
Figure 6. Measurement errors of angular rate.
Figure 6. Measurement errors of angular rate.
Electronics 12 01875 g006
Table 1. Notations for the star spots in three successive frames of star images.
Table 1. Notations for the star spots in three successive frames of star images.
QuantityImage 1Image 2Image 3
Coordinate ( x ( 1 ) , y ( 1 ) ) ( x ( 2 ) , y ( 2 ) ) ( x ( 3 ) , y ( 3 ) )
Position vector p ( 1 ) p ( 2 ) p ( 3 )
Time t ( 1 ) t ( 2 ) t ( 3 )
Reference vector r r r
Table 2. Main parameters of the star tracker used in the experiment.
Table 2. Main parameters of the star tracker used in the experiment.
ParameterValue
Focal length24.86 mm
Field of view 15 × 12
Resolution 1024 × 1280
Star magnitude limit5.8 Mv
Accuracy < 5   ( pointing ) ,   < 50   ( rolling )   ( 3 σ )
Table 3. RMSEs of angular rate measurements (rad/s).
Table 3. RMSEs of angular rate measurements (rad/s).
AxisNew MethodMethod in [19]
x s 0.00020.0036
y s 0.00020.0019
z s 0.00380.0164
Disclaimer/Publisher’s Note: The statements, opinions and data contained in all publications are solely those of the individual author(s) and contributor(s) and not of MDPI and/or the editor(s). MDPI and/or the editor(s) disclaim responsibility for any injury to people or property resulting from any ideas, methods, instructions or products referred to in the content.

Share and Cite

MDPI and ACS Style

Zhang, S.; Xing, F.; Sun, T.; You, Z. Variable Angular Rate Measurement for a Spacecraft Based on the Rolling Shutter Mode of a Star Tracker. Electronics 2023, 12, 1875. https://doi.org/10.3390/electronics12081875

AMA Style

Zhang S, Xing F, Sun T, You Z. Variable Angular Rate Measurement for a Spacecraft Based on the Rolling Shutter Mode of a Star Tracker. Electronics. 2023; 12(8):1875. https://doi.org/10.3390/electronics12081875

Chicago/Turabian Style

Zhang, Shuo, Fei Xing, Ting Sun, and Zheng You. 2023. "Variable Angular Rate Measurement for a Spacecraft Based on the Rolling Shutter Mode of a Star Tracker" Electronics 12, no. 8: 1875. https://doi.org/10.3390/electronics12081875

APA Style

Zhang, S., Xing, F., Sun, T., & You, Z. (2023). Variable Angular Rate Measurement for a Spacecraft Based on the Rolling Shutter Mode of a Star Tracker. Electronics, 12(8), 1875. https://doi.org/10.3390/electronics12081875

Note that from the first issue of 2016, this journal uses article numbers instead of page numbers. See further details here.

Article Metrics

Back to TopTop