Wearable Directional Button Antenna for On-Body Wireless Power Transfer
Abstract
1. Introduction
2. Button Antenna and Electromagnetic Arm Model
2.1. Directional Button Antenna
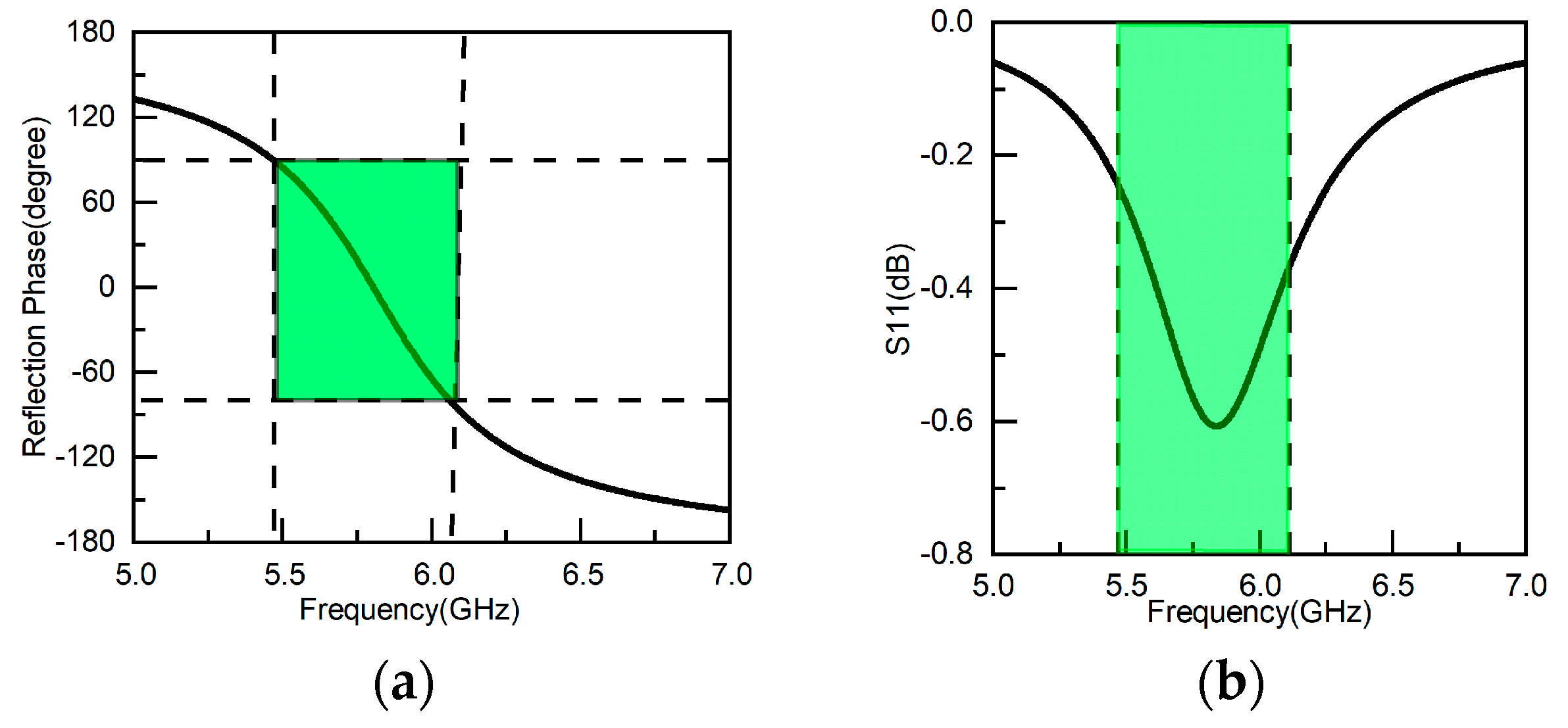
2.1.1. AMC Design
2.1.2. Monopole and Microstrip Line Designs
2.2. Real Electromagnetic Arm Model
3. Antenna Performance and On-Arm Measurement Method
3.1. Antenna Performance Analysis
3.2. On-Arm Pattern Measurement Method
4. Interactions between Antenna and Arm
4.1. Arm Effect on Antenna
4.2. Transmission Efficiency
4.3. SAR: Antenna Effect on Arm
5. Conclusions
Author Contributions
Funding
Data Availability Statement
Conflicts of Interest
References
- Glaser, P.E. Power from the Sun: Its Future. Science 1968, 162, 857–861. [Google Scholar] [CrossRef] [PubMed]
- Lin, J.C. Space Solar-Power Stations, Wireless Power Transmissions, and Biological Implications. IEEE Microw. Mag. 2002, 3, 36–42. [Google Scholar] [CrossRef]
- Sasaki, S.; Tanaka, K.; Maki, K.-I. Microwave Power Transmission Technologies for Solar Power Satellites. Proc. IEEE 2013, 101, 1438–1447. [Google Scholar] [CrossRef]
- Miller, J.M.; Onar, O.C.; Chinthavali, M. Primary-Side Power Flow Control of WirelessPower Transfer for Electric Vehicle Charging. IEEE J. Emerg. Sel. Top. Power Electron. 2015, 3, 147–162. [Google Scholar] [CrossRef]
- Oman, H. Electric car progress. IEEE Aerosp. Electron. Syst. Mag. 2002, 17, 30–35. [Google Scholar] [CrossRef]
- Re, P.D.H.; Podilchak, S.K.; Rotenberg, S.A.; Goussetis, G.; Lee, J. Circularly Polarized Retrodirective Antenna Array for Wireless Power Transmission. IEEE Trans. Antennas Propag. 2020, 68, 2743–2752. [Google Scholar]
- Ali, M.; Yang, G.; Dougal, R. A New Circularly Polarized Rectenna for Wireless Power Transmission and Data Communication. IEEE Antennas Wirel. Propag. Lett. 2005, 4, 205–208. [Google Scholar] [CrossRef]
- Olgun, U.; Chen, C.-C.; Volakis, J.L. Design of an efficient ambient WiFi energy harvesting system. IET Microw. Antennas Propag. 2012, 6, 1200–1206. [Google Scholar] [CrossRef]
- Chae, S.H.; Jeong, C.; Lim, S.H. Simultaneous Wireless Information and Power Transfer for Internet of Things Sensor Networks. IEEE Internet Things J. 2018, 5, 2829–2843. [Google Scholar] [CrossRef]
- Lin, W.; Ziolkowski, R.W. Electrically Small, Single-Substrate Huygens Dipole Rectenna for Ultracompact Wireless Power Transfer Applications. IEEE Trans. Antennas Propag. 2021, 69, 1130–1134. [Google Scholar] [CrossRef]
- Bito, J.; Hester, J.G.; Tentzeris, M.M. Ambient RF Energy Harvesting From a Two-Way Talk Radio for Flexible Wearable Wireless Sensor Devices Utilizing Inkjet Printing Technologies. IEEE Trans. Microw. Theory Tech. 2015, 63, 4533–4543. [Google Scholar] [CrossRef]
- Bao, K.; Zekios, C.L.; Georgakopoulos, S.V. A Wearable WPT System on Flexible Substrates. IEEE Antennas Wirel. Propag. Lett. 2019, 18, 931–935. [Google Scholar] [CrossRef]
- Vital, D.; Bhardwaj, S.; Volakis, J.L. Textile-Based Large Area RF-Power Harvesting System for Wearable Applications. IEEE Trans. Antennas Propag. 2020, 68, 2323–2331. [Google Scholar] [CrossRef]
- Yu, B.-Y.; Wang, Z.-H.; Ju, L.; Zhang, C.; Liu, Z.-G.; Tao, L.; Lu, W.-B. Flexible and Wearable Hybrid RF and Solar Energy Harvesting System. IEEE Trans. Antennas Propag. 2022, 70, 2223–2233. [Google Scholar] [CrossRef]
- Poon, A.S.Y.; O’Driscoll, S.; Meng, T.H. Optimal Frequency for Wireless Power Transmission Into Dispersive Tissue. IEEE Trans. Antennas Propag. 2010, 58, 1739–1750. [Google Scholar] [CrossRef]
- Kim, S.; Ho, J.S.; Poon, A.S.Y. Wireless Power Transfer to Miniature Implants: Transmitter Optimization. IEEE Trans. Antennas Propag. 2012, 60, 4838–4845. [Google Scholar] [CrossRef]
- Nguyen, N.; Ha-Van, N.; Seo, C. Midfield Wireless Power Transfer for Deep-Tissue Biomedical Implants. IEEE Antennas Wirel. Propag. Lett. 2020, 19, 2270–2274. [Google Scholar] [CrossRef]
- Wang, Y.; Xu, Y.; Wang, B.; Mo, I.; Safavi-Naeini, S. Wireless Power Transfer on Human Arm for Future Body Area Network. In Proceedings of the IEEE International Symposium on Antennas and Propagation (APSURSI), Singapore, 4–10 December 2021. [Google Scholar]
- Wang, Y.; Xu, Y.; Wang, B.; Mo, J.; Ramahi, O.M. A 24-GHz Directional Button Antenna for Wireless Power Transfer on Human Arm. In Proceedings of the IEEE International Symposium on Antennas and Propagation (APSURSI), Denver, CO, USA, 10–15 July 2022. [Google Scholar]
- Hertleer, C.; Tronquo, A.; Rogier, H.; Vallozzi, L.; Van Langenhove, L. Aperture-Coupled Patch Antenna for Integration Into Wearable Textile Systems. IEEE Antennas Wirel. Propag. Lett. 2007, 6, 392–395. [Google Scholar] [CrossRef]
- Roh, J.-S.; Chi, Y.-S.; Lee, J.-H.; Tak, Y.; Nam, S.; Kang, T.J. Embroidered Wearable Multiresonant Folded Dipole Antenna for FM Reception. IEEE Antennas Wirel. Propag. Lett. 2010, 9, 803–806. [Google Scholar] [CrossRef]
- Kim, S.; Ren, Y.-J.; Lee, H.; Rida, A.; Nikolaou, S.; Tentzeris, M.M. Monopole Antenna With Inkjet-Printed EBG Array on Paper Substrate for Wearable Applications. IEEE Antennas Wirel. Propag. Lett. 2012, 11, 663–666. [Google Scholar] [CrossRef]
- Gao, G.-P.; Hu, B.; Wang, S.-F.; Yang, C. Wearable Circular Ring Slot Antenna With EBG Structure for Wireless Body Area Network. IEEE Antennas Wirel. Propag. Lett. 2018, 17, 434–437. [Google Scholar] [CrossRef]
- Chahat, N.; Zhadobov, M.; Le Coq, L.; Sauleau, R. Wearable Endfire Textile Antenna for On-Body Communications at 60 GHz. IEEE Antennas Wirel. Propag. Lett. 2012, 11, 799–802. [Google Scholar] [CrossRef]
- Kaufmann, T.; Fumeaux, C. Wearable Textile Half-Mode Substrate-Integrated Cavity Antenna Using Embroidered Vias. IEEE Antennas Wirel. Propag. Lett. 2013, 12, 805–808. [Google Scholar] [CrossRef]
- Abbasi, Q.H.; Rehman, M.; Yang, X.; Alomainy, A.; Qaraqe, K.; Serpedin, E. Ultrawideband Band-Notched Flexible Antenna for Wearable Applications. IEEE Antennas Wirel. Propag. Lett. 2013, 12, 1606–1609. [Google Scholar] [CrossRef]
- Sanz-Izquierdo, B.; Miller, J.A.; Batchelor, J.C.; Sobhy, M.I. Dual-band wearable metallic button antennas and transmission in body area networks. IET Microw. Antennas Propag. 2010, 4, 182–190. [Google Scholar] [CrossRef]
- Xiaomu, H.; Yan, S.; Vandenbosch, G.A.E. Wearable Button Antenna for Dual-Band WLAN Applications With Combined on and off-Body Radiation Patterns. IEEE Trans. Antennas Propag. 2017, 65, 1384–1387. [Google Scholar] [CrossRef]
- Zhang, X.Y.; Wong, H.; Mo, T.; Cao, Y.F. Dual-Band Dual-Mode Button Antenna for On-Body and Off-Body Communications. IEEE Trans. Biomed. Circuits Syst. 2017, 11, 933–941. [Google Scholar] [CrossRef]
- Yin, X.; Chen, S.J.; Fumeaux, C. Wearable Dual-Band Dual-Polarization Button Antenna for WBAN Applications. IEEE Antennas Wirel. Propag. Lett. 2020, 19, 2240–2244. [Google Scholar] [CrossRef]
- Hu, X.; Yan, S.; Vandenbosch, G.A.E. Compact Circularly Polarized Wearable Button Antenna with Broadside Pattern for U-NII Worldwide Band Applications. IEEE Trans. Antennas Propag. 2019, 67, 1341–1345. [Google Scholar] [CrossRef]
- Hu, X.; Yan, S.; Zhang, J.; Volski, V.; Vandenbosch, G.A.E. Omni-Directional Circularly Polarized Button Antenna for 5 GHz WBAN Applications. IEEE Trans. Antennas Propag. 2021, 69, 5054–5059. [Google Scholar] [CrossRef]
- Le, T.T.; Kim, Y.-D.; Yun, T.-Y. Wearable Pattern-Diversity Dual-Polarized Button Antenna for Versatile On-/Off-Body Communications. IEEE Access 2022, 10, 98700–98711. [Google Scholar] [CrossRef]
- Sambandam, P.; Kanagasabai, M.; Natarajan, R.; Alsath, M.G.N.; Palaniswamy, S. Miniaturized Button-Like WBAN Antenna for Off-Body Communication. IEEE Trans. Antennas Propag. 2020, 68, 5228–5235. [Google Scholar] [CrossRef]
- Kyriazidou, C.A.; Contopanagos, H.F.; Alexopoulos, N.G. Alexopoulos. Space-Frequency Projection of Planar AMCs on Integrated Antennas for 60 GHz Radios. IEEE Trans. Antennas Propag. 2012, 60, 1899–1909. [Google Scholar] [CrossRef]
- Yang, F.; Rahmat-samii, Y. Electromagnetic Band Gap Structures in Antenna Engineering; Cambridge University Press: Cambridge, UK, 2008. [Google Scholar]
- Ashyap, A.Y.I.; Abidin, Z.Z.; Dahlan, S.H.; Majid, H.A.; Shah, S.M.; Kamarudin, M.R.; Alomainy, A. Compact and Low-Profile Textile EBG-Based Antenna for Wearable Medical Applications. IEEE Antennas Wirel. Propag. Lett. 2017, 16, 2550–2553. [Google Scholar] [CrossRef]
- Çelenk, E.; Tokan, N.T. All-Textile On-Body Antenna for Military Applications. IEEE Antennas Wirel. Propag. Lett. 2022, 21, 1065–1069. [Google Scholar] [CrossRef]
- El Atrash, M.; Abdalla, M.A.; Elhennawy, H.M. A Wearable Dual-Band Low Profile High Gain Low SAR Antenna AMC-Backed for WBAN Applications. IEEE Trans. Antennas Propag. 2019, 67, 6378–6388. [Google Scholar] [CrossRef]














| Variable | W3 | W4 | W5 | W6 | L3 |
|---|---|---|---|---|---|
| Value | 4 | 3.8 | 1.5 | 1 | 0.6 |
| Variable | L4 | D4 | H5 | G | |
| Value | 1.2 | 3.6 | 1.5 | 0.2 |
| Variable | W1 | W2 | L1 | L2 | D1 | D2 |
|---|---|---|---|---|---|---|
| Value | 25 | 6 | 30 | 15.5 | 2.9 | 4 |
| Variable | D3 | H1 | H2 | H3 | H4 | |
| Value | 16 | 1.5 | 7.4 | 1.6 | 1 |
| Ref. | f0 (GHz) | Radius (mm) | Height (mm) | Application | Radiator | Pattern | Gain (dBi) |
|---|---|---|---|---|---|---|---|
| [27] | 2.45 5 | 8 | 11.3 | On-body Off-body | Monopole | O D | 1.2 2.9 |
| [28] | 2.45 5.5 | 8 | 4.575 | On-body Off-body | Monopole Patch | O D | 1.05 6.04 |
| [29] | 2.45 5.8 | 8 | 6.5 | On-body Off-body | Inverted-F | O D | −0.6 4.3 |
| [30] | 2.45 5.8 | 9 | 10 | On-body Off-body | Monopole Cross Dipole | O D | 2.2 8.6 |
| [31] | 5.5 | 9.77 | 9 | Off-body | Loop | D | 3.5 |
| [32] | 5.8 | 14.1 | 7.29 | On-body | Magnetic Monopole and Patch | O | 2.1 |
| [33] | 2.45 3.7 5.8 UWB | 11 | 12.508 | On-body Off-body On-body Off-body | Cross Dipole Annular Ring Annular Ring Cross Dipole | O D O D | 1 6.6 5.05 6.5 |
| This work | 5.8 | 8 | 11.5 | On-body | Monopole | D | 4 |
Disclaimer/Publisher’s Note: The statements, opinions and data contained in all publications are solely those of the individual author(s) and contributor(s) and not of MDPI and/or the editor(s). MDPI and/or the editor(s) disclaim responsibility for any injury to people or property resulting from any ideas, methods, instructions or products referred to in the content. |
© 2023 by the authors. Licensee MDPI, Basel, Switzerland. This article is an open access article distributed under the terms and conditions of the Creative Commons Attribution (CC BY) license (https://creativecommons.org/licenses/by/4.0/).
Share and Cite
Xu, Y.; Mu, L.; Xu, Y.; Mahmoud, A.; Wang, Y.; Ramahi, O.M. Wearable Directional Button Antenna for On-Body Wireless Power Transfer. Electronics 2023, 12, 1758. https://doi.org/10.3390/electronics12081758
Xu Y, Mu L, Xu Y, Mahmoud A, Wang Y, Ramahi OM. Wearable Directional Button Antenna for On-Body Wireless Power Transfer. Electronics. 2023; 12(8):1758. https://doi.org/10.3390/electronics12081758
Chicago/Turabian StyleXu, Yuanzheng, Lei Mu, Yinfang Xu, Abdelhady Mahmoud, Yiying Wang, and Omar M. Ramahi. 2023. "Wearable Directional Button Antenna for On-Body Wireless Power Transfer" Electronics 12, no. 8: 1758. https://doi.org/10.3390/electronics12081758
APA StyleXu, Y., Mu, L., Xu, Y., Mahmoud, A., Wang, Y., & Ramahi, O. M. (2023). Wearable Directional Button Antenna for On-Body Wireless Power Transfer. Electronics, 12(8), 1758. https://doi.org/10.3390/electronics12081758

