A Two-Switch SEPIC-Based Nonisolated Three-Port Converter Featuring High Step-Up Gain for Solar PV Applications
Abstract
1. Introduction
- An integrated TPC is proposed and analyzed that makes it possible for solar PV applications to achieve a high step-up gain without a separate DC–DC converter.
- Fewer components and a nonisolated-type TPC without multiwindings are necessary to decrease the costs and volume.
- One reliable and unified power-control strategy is proposed to respond to transience in the input and load.
2. Analysis of the Proposed Converter
2.1. Operational Principle
2.2. Steady-State Characteristics
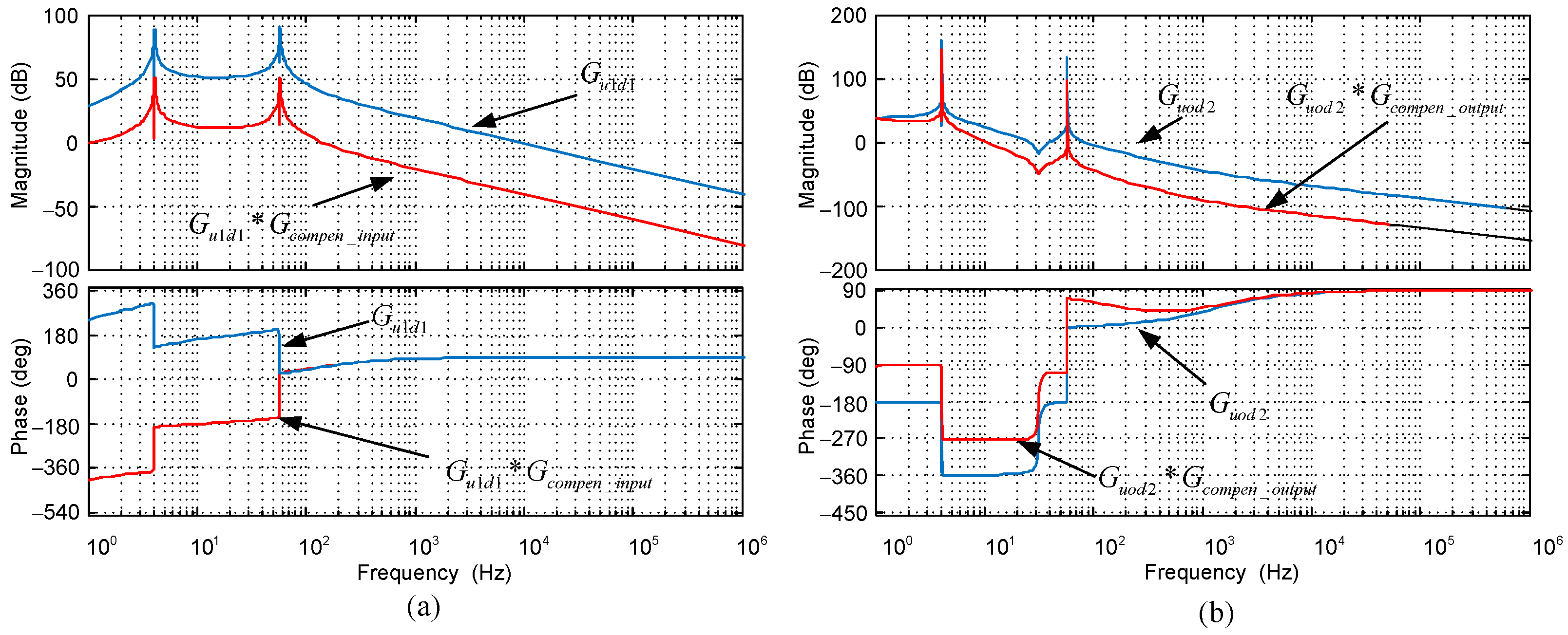
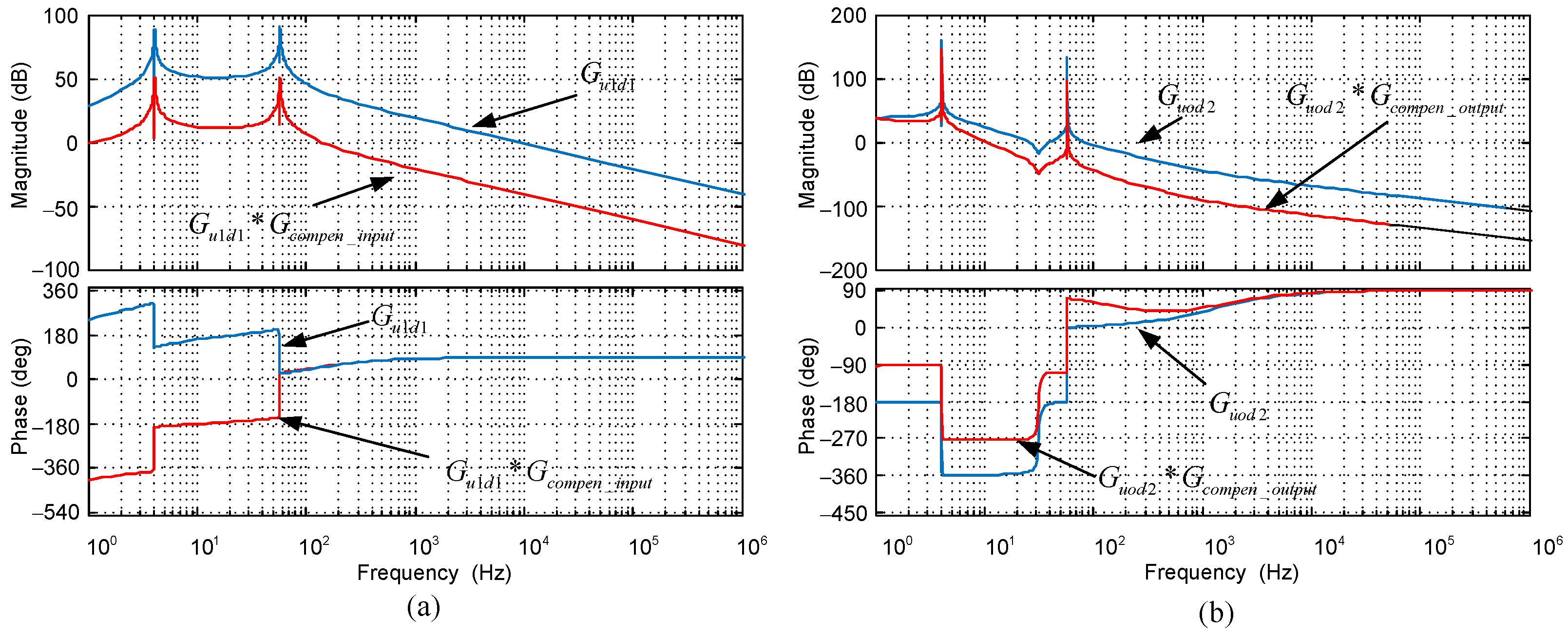
2.3. Small-Signal Model and Power-Control Strategy
3. Experimental Results and Analysis
| Circuit Parameters | Values | PV Parameters | Values |
|---|---|---|---|
| Input Voltage | 10 V∼30 V | PV Type | APM36M5W25X24 |
| Battery Voltage | 30 V∼50 V | Open Circuit voltage | 20 V |
| Output Voltage | 150 V | Short Circuit Current | 0.32 A |
| Input Current | 0 A∼7.04 A | Maximum Operating Point Voltage | 15 V |
| Switching Frequency | 50 kHz | Maximum Operating Point Current | 0.3 A |
| Capacitor | 2000 F | Number of Cells in Parallel | 22 |
| Capacitor | 500 F | Number of Cells in Series | 1 |
| Capacitor | 5000 F | Maximum Power of Photovoltaic Array | 100 W |
| Inductor | 2000 H | Temperature | C |
| Load | 225 | Irradiance | 1000 W/m |
3.1. Steady-State Performance
3.2. Dynamic-State Performance
3.3. Performance When Only Battery Provides Power
3.4. Efficiency
4. Conclusions
Author Contributions
Funding
Data Availability Statement
Conflicts of Interest
References
- Bhattacharjee, A.K.; Kutkut, N.; Batarseh, I. Review of Multiport Converters for Solar and Energy Storage Integration. IEEE Trans. Power Electron. 2019, 34, 1431–1445. [Google Scholar] [CrossRef]
- Wang, Z.; Luo, Q.; Wei, Y.; Mou, D.; Lu, X.; Sun, P. Topology Analysis and Review of Three-Port DC–DC Converters. IEEE Trans. Power Electron. 2020, 35, 11783–11800. [Google Scholar] [CrossRef]
- Chaudhury, T.; Kastha, D. A High Gain Multiport DC-DC Converter for Integrating Energy Storage Devices to DC Microgrid. IEEE Trans. Power Electron. 2020, 35, 10501–10514. [Google Scholar] [CrossRef]
- Faraji, R.; Farzanehfard, H. Fully soft-switched multiport DC–DC converter with high integration. IEEE Trans. Power Electron. 2020, 36, 1901–1908. [Google Scholar] [CrossRef]
- Jiang, W.; Fahimi, B. Multiport Power Electronic Interface—Concept, Modeling, and Design. IEEE Trans. Power Electron. 2011, 26, 1890–1900. [Google Scholar] [CrossRef]
- Chien, L.J.; Chen, C.C.; Chen, J.F.; Hsieh, Y.P. Novel Three-Port Converter With High-Voltage Gain. IEEE Trans. Power Electron. 2014, 29, 4693–4703. [Google Scholar] [CrossRef]
- Gao, M.; Wang, S.; Yu, W.; Liu, T.; Shi, J. Analysis of a coupled inductor boost three-port converter with high voltage gain for renewable energy systems. J. Power Electron. 2022, 22, 2100–2121. [Google Scholar] [CrossRef]
- Cheng, T.; Lu, D.D.C.; Qin, L. Non-Isolated Single-Inductor DC/DC Converter With Fully Reconfigurable Structure for Renewable Energy Applications. IEEE Trans. Circuits Syst. II Express Briefs 2018, 65, 351–355. [Google Scholar] [CrossRef]
- Zhou, G.; Tian, Q.; Wang, L. Soft-Switching High Gain Three-Port Converter Based on Coupled Inductor for Renewable Energy System Applications. IEEE Trans. Ind. Electron. 2022, 69, 1521–1536. [Google Scholar] [CrossRef]
- Wu, H.; Sun, K.; Ding, S.; Xing, Y. Topology Derivation of Nonisolated Three-Port DC–DC Converters From DIC and DOC. IEEE Trans. Power Electron. 2013, 28, 3297–3307. [Google Scholar] [CrossRef]
- Moradisizkoohi, H.; Elsayad, N.; Mohammed, O.A. A Family of Three-Port Three-Level Converter Based on Asymmetrical Bidirectional Half-Bridge Topology for Fuel Cell Electric Vehicle Applications. IEEE Trans. Power Electron. 2019, 34, 11706–11724. [Google Scholar] [CrossRef]
- Zhu, H.; Zhang, D.; Zhang, B.; Zhou, Z. A Nonisolated Three-Port DC–DC Converter and Three-Domain Control Method for PV-Battery Power Systems. IEEE Trans. Ind. Electron. 2015, 62, 4937–4947. [Google Scholar] [CrossRef]
- Chen, G.; Jin, Z.; Liu, Y.; Hu, Y.; Zhang, J.; Qing, X. Programmable Topology Derivation and Analysis of Integrated Three-Port DC–DC Converters With Reduced Switches for Low-Cost Applications. IEEE Trans. Ind. Electron. 2019, 66, 6649–6660. [Google Scholar] [CrossRef]
- Liu, W.S.; Chen, J.F.; Liang, T.J.; Lin, R.L. Multicascoded sources for a high-efficiency fuel-cell hybrid power system in high-voltage application. IEEE Trans. Power Electron. 2010, 26, 931–942. [Google Scholar] [CrossRef]
- Al-Soeidat, M.R.; Aljarajreh, H.; Khawaldeh, H.A.; Lu, D.D.C.; Zhu, J. A Reconfigurable Three-Port DC–DC Converter for Integrated PV-Battery System. IEEE J. Emerg. Sel. Top. Power Electron. 2020, 8, 3423–3433. [Google Scholar] [CrossRef]
- Dobakhshari, S.S.; Fathi, S.H.; Milimonfared, J. A New Soft-Switched Three-Port DC/DC Converter With High Voltage Gain and Reduced Number of Semiconductors for Hybrid Energy Applications. IEEE Trans. Power Electron. 2020, 35, 3590–3600. [Google Scholar] [CrossRef]
- Wang, L.; Wang, H.; Fu, M.; Liang, J.; Liu, Y. A Three-Port Energy Router for Grid-Tied PV Generation Systems With Optimized Control Methods. IEEE Trans. Power Electron. 2023, 38, 1218–1231. [Google Scholar] [CrossRef]
- Qian, Z.; Abdel-Rahman, O.; Al-Atrash, H.; Batarseh, I. Modeling and Control of Three-Port DC/DC Converter Interface for Satellite Applications. IEEE Trans. Power Electron. 2010, 25, 637–649. [Google Scholar] [CrossRef]
- Subramanian, A.; Karuppiah, S. Analysis of dual-input three-port isolated DC–DC converter with bidirectional capability. J. Power Electron. 2022, 22, 711–726. [Google Scholar] [CrossRef]
- Zhang, J.; Wu, H.; Qin, X.; Xing, Y. PWM Plus Secondary-Side Phase-Shift Controlled Soft-Switching Full-Bridge Three-Port Converter for Renewable Power Systems. IEEE Trans. Ind. Electron. 2015, 62, 7061–7072. [Google Scholar] [CrossRef]
- Gules, R.; dos Santos, W.M.; dos Reis, F.A.; Romaneli, E.F.R.; Badin, A.A. A Modified SEPIC Converter With High Static Gain for Renewable Applications. IEEE Trans. Power Electron. 2014, 29, 5860–5871. [Google Scholar] [CrossRef]
- Zhu, Y.; Wang, Y.; Teng, J.; Sun, X.; Qi, M.; Zhao, W.; Li, X. Partial Power Conversion and High Voltage Ride-Through Scheme for a PV-Battery Based Multiport Multi-Bus Power Router. IEEE Access 2021, 9, 17020–17029. [Google Scholar] [CrossRef]
- Hasanpour, S.; Baghramian, A.; Mojallali, H. A Modified SEPIC-Based High Step-Up DC–DC Converter With Quasi-Resonant Operation for Renewable Energy Applications. IEEE Trans. Ind. Electron. 2019, 66, 3539–3549. [Google Scholar] [CrossRef]
- Wang, J.; Wu, X.; Liu, Z.; Cui, X.; Song, Z. Modified SEPIC DC-DC Converter with Wide Step-up/Step-down Range for Fuel Cell Vehicles. IEEE Trans. Ind. Electron. 2022, 1–15. [Google Scholar] [CrossRef]
- Ghasemi, F.; Yazdani, M.R.; Delshad, M. Step-Up DC-DC Switching Converter With Single Switch and Multi-Outputs Based on Luo Topology. IEEE Access 2022, 10, 16871–16882. [Google Scholar] [CrossRef]
- Nejabatkhah, F.; Danyali, S.; Hosseini, S.H.; Sabahi, M.; Niapour, S.M. Modeling and Control of a New Three-Input DC–DC Boost Converter for Hybrid PV/FC/Battery Power System. IEEE Trans. Power Electron. 2012, 27, 2309–2324. [Google Scholar] [CrossRef]
- Elserougi, A.; Abdelsalam, I.; Massoud, A.; Ahmed, S. A non-isolated hybrid-modular DC-DC converter for DC grids: Small-signal modeling and control. IEEE Access 2019, 7, 132459–132471. [Google Scholar] [CrossRef]













| Topology | Components | Switching Frequency | Rated Power | PV Voltage | Battery Voltage | Output Voltage | Efficiency | |||
|---|---|---|---|---|---|---|---|---|---|---|
| L | C | S | D | (kHz) | (W) | (V) | (V) | (V) | (%) | |
| Proposed | 2 | 2 | 2 | 2 | 50 | 100 | 15 | 40 | 150 | 85–94 |
| [8] † | 1 | 3 | 4 | 5 | 50 | 50 | 17 | 36 | 24 | 87.8–93 |
| [9] † | 1 | 3 | 4 | 3 | 50 | 180 | 30 | 48 | 400 | 81–88.3 |
| [10] † | 2 | 3 | 3 | 3 | 100 | 500 | 35–70 | 70–100 | 100 | 96.4–97.2 |
| [11] † | 2 | 3 | 4 | 1 | 100 | 1000 | 50–100 | 400 | 400 | 96–98 |
| [12] † | 3 | 2 | 3 | 1 | 100 | 1200 | 80.1 | 7.3–8.4 | 100 | 93–97 |
| [13] † | 2 | 1 | 3 | 0 | 100 | 150 | 48 | 36 | 24 | 85–92 |
| [14] † | 3 | 5 | 3 | 4 | 20 | 500 | 31–47 | 48 | 200 | 93.3–96.5 |
| [6] * | 2 | 6 | 3 | 5 | 50 | 300 | 24 | 48 | 400 | 93.6–95.9 |
| [15] * | 2 | 3 | 3 | 1 | 50 | 60 | 18 | 12 | 50 | 90.8–95.5 |
| [16] * | 2 | 3 | 3 | 3 | 100 | 200 | 30 | 24 | 400 | 93.9–95.5 |
Disclaimer/Publisher’s Note: The statements, opinions and data contained in all publications are solely those of the individual author(s) and contributor(s) and not of MDPI and/or the editor(s). MDPI and/or the editor(s) disclaim responsibility for any injury to people or property resulting from any ideas, methods, instructions or products referred to in the content. |
© 2023 by the authors. Licensee MDPI, Basel, Switzerland. This article is an open access article distributed under the terms and conditions of the Creative Commons Attribution (CC BY) license (https://creativecommons.org/licenses/by/4.0/).
Share and Cite
Zhang, Y.; Li, S.; Wang, Y.; Wang, J.; Chen, Z.; Huang, Y. A Two-Switch SEPIC-Based Nonisolated Three-Port Converter Featuring High Step-Up Gain for Solar PV Applications. Electronics 2023, 12, 1712. https://doi.org/10.3390/electronics12071712
Zhang Y, Li S, Wang Y, Wang J, Chen Z, Huang Y. A Two-Switch SEPIC-Based Nonisolated Three-Port Converter Featuring High Step-Up Gain for Solar PV Applications. Electronics. 2023; 12(7):1712. https://doi.org/10.3390/electronics12071712
Chicago/Turabian StyleZhang, Yingying, Siqi Li, Yusheng Wang, Jinhai Wang, Zhiwei Chen, and Yunzhi Huang. 2023. "A Two-Switch SEPIC-Based Nonisolated Three-Port Converter Featuring High Step-Up Gain for Solar PV Applications" Electronics 12, no. 7: 1712. https://doi.org/10.3390/electronics12071712
APA StyleZhang, Y., Li, S., Wang, Y., Wang, J., Chen, Z., & Huang, Y. (2023). A Two-Switch SEPIC-Based Nonisolated Three-Port Converter Featuring High Step-Up Gain for Solar PV Applications. Electronics, 12(7), 1712. https://doi.org/10.3390/electronics12071712

