Consensus of Fixed and Adaptive Coupled Multi-Agent Systems with Communication Delays
Abstract
1. Introduction
2. Problem Formulation
Notations
3. Main Results
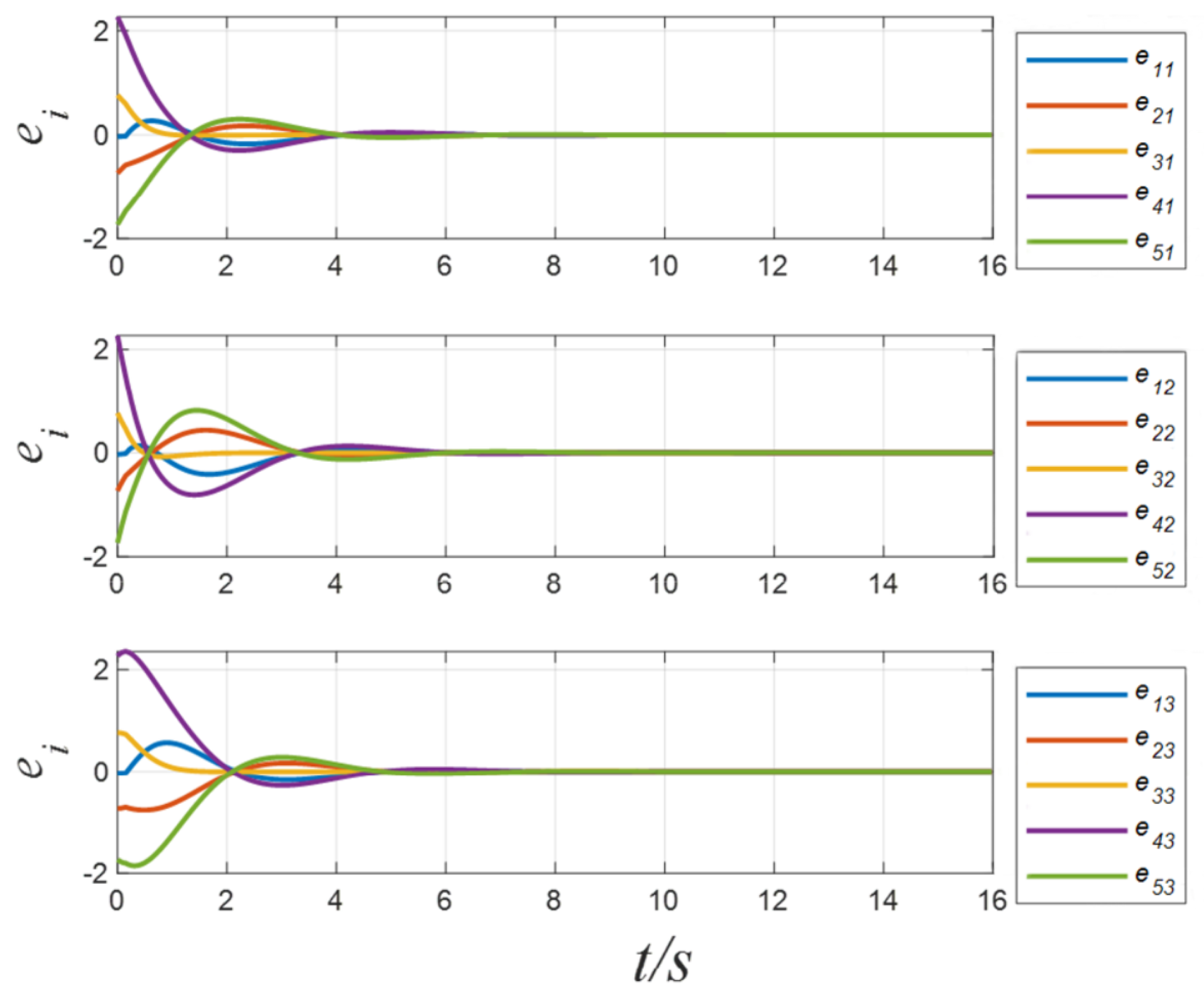
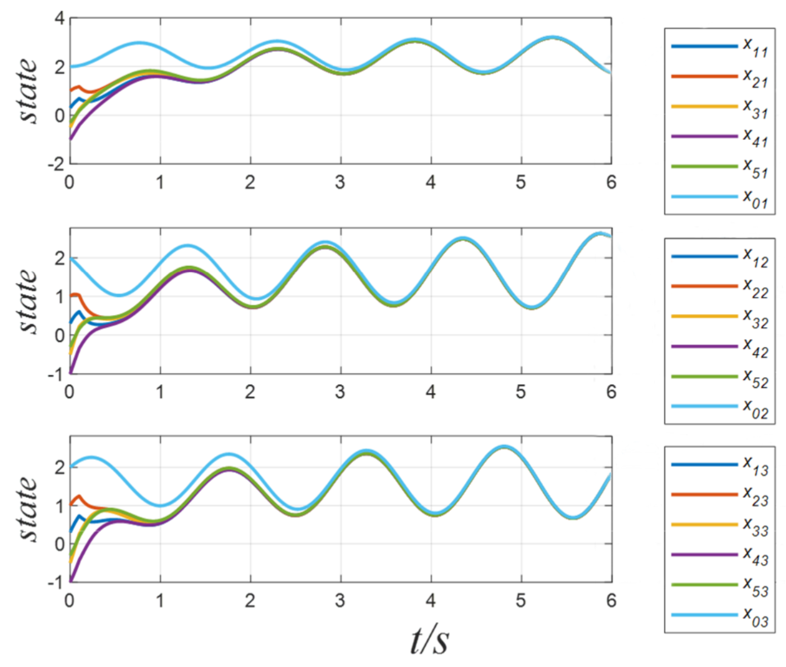
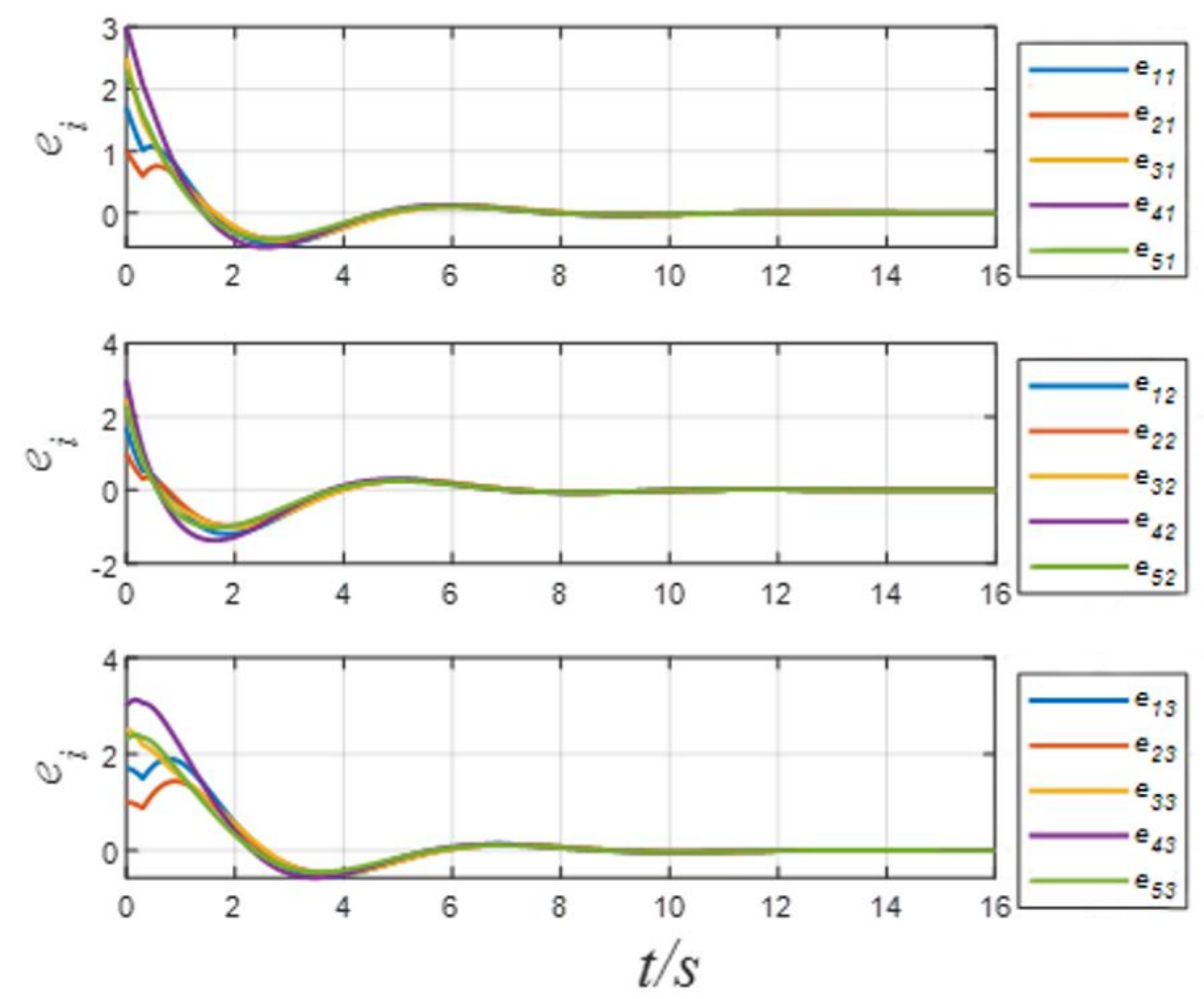
4. Numerical Simulations
4.1. Example 1
4.2. Example 2
4.3. Example 3
5. Conclusions
Author Contributions
Funding
Conflicts of Interest
References
- Thakoor, O.; Garg, J.; Nagi, R. Multiagent UAV Routing: A Game Theory Analysis with Tight Price of Anarchy Bounds. IEEE Trans. Autom. Sci. Eng. 2019, 17, 100–116. [Google Scholar] [CrossRef]
- Krupa, P.; Limon, D.; Alamo, T. Harmonic Based Model Predictive Control for Set-Point Tracking. IEEE Trans. Autom. Control 2022, 67, 48–62. [Google Scholar] [CrossRef]
- Guo, F.; Xu, Q.; Wen, C.; Wang, L.; Wang, P. Distributed secondary control for power allocation and voltage restoration in islanded DC microgrids. IEEE Trans. Sustain. Energy 2018, 9, 1857–1869. [Google Scholar] [CrossRef]
- Ding, L.; Han, Q.-L.; Guo, G. Network-based leader-following consensus for distributed multi-agent systems. Automatica 2013, 49, 2281–2286. [Google Scholar] [CrossRef]
- Sader, W.; Wang, F.; Liu, Z.; Chen, Z. Distributed fuzzy fault-tolerant consensus of leader-follower multi-agent systems with mismatched uncertainties. J. Syst. Eng. Electron. 2021, 32, 1031–1040. [Google Scholar] [CrossRef]
- Zhang, J.; Zhang, H.; Luo, Y.; Liu, Y. Adaptive Event-Triggered Leader-Follower Consensus of Linear Multiagent Systems under Directed Graph with Nonzero Leader Input. IEEE Trans. Circuits Syst. II Express Briefs 2022, 69, 1442–1446. [Google Scholar] [CrossRef]
- Tian, B.W. Leader-follower fixed-time consensus of multi-agent systems with high-order integrator dynamics. Int. J. Control 2017, 90, 1420–1427. [Google Scholar] [CrossRef]
- Tian, K.; Guo, Z.; Mei, J.; Jiang, C.; Ma, G. Leaderless Consensus for Second-Order Inertia Uncertain Multi-Agent Systems under Directed Graphs without Relative Velocity Information. IEEE Trans. Netw. Sci. Eng. 2021, 8, 3417–3429. [Google Scholar] [CrossRef]
- Rezaee, H.; Abdollahi, F. Adaptive Leaderless Consensus Control of Strict-Feedback Nonlinear Multiagent Systems with Unknown Control Directions. IEEE Trans. Syst. Man Cybern. Syst. 2021, 51, 6435–6444. [Google Scholar] [CrossRef]
- Difilippo, G.; Fanti, M.P.; Mangini, A.M. Maximizing Convergence Speed for Second Order Consensus in Leaderless Multi-Agent Systems. IEEE/CAA J. Autom. Sin. 2022, 9, 259–269. [Google Scholar] [CrossRef]
- Yang, J. A Consensus Control for a Multi-Agent System with Unknown Time-Varying Communication Delays. IEEE Access 2021, 9, 55844–55852. [Google Scholar] [CrossRef]
- Li, C.; Liu, G.P.; Qi, L.; Li, J.; Du, Z.; Yang, X. Predictive Consensus for Networked Multi-Agent Systems with Switching Topology, Input Delay and Time-Varying Communication Delays. IEEE Trans. Circuits Syst. II Express Briefs 2022, 69, 444–448. [Google Scholar]
- Zhu, Q.; Cao, J. Stability analysis of Markovian jump stochastic BAM neural networks with impulse control and mixed time delays. IEEE Trans. Neural Netw. Learn. Syst. 2012, 23, 467–479. [Google Scholar]
- Qing, W.; Wang, J.L.; Yan, H.L.; Ren, S.Y. Generalized lag synchronization of multiple weighted complex networks with and without time delay. J. Frankl. Inst. 2018, 355, 6597–6616. [Google Scholar]
- Xie, D.M.; Chen, J.H. Consensus problem of data-sampled networked multi-agent systems with time-varying communication delays. Trans. Inst. Meas. Control 2013, 35, 753–763. [Google Scholar] [CrossRef]
- Wang, C.Y.; Zuo, Z.Y.; Sun, J.Y.; Ding, Z. Consensus disturbance rejection for Lipschitz nonlinear multi-agent systems with input delay: A DOBC approach. J. Frankl. Inst. 2017, 354, 298–315. [Google Scholar] [CrossRef]
- Li, Z.X.; Ji, H.-B. Robust delay-dependent H∞ consensus control for multi-agent systems with input delays. Automatica 2014, 40, 2556–2562. [Google Scholar] [CrossRef]
- Tian, Y.P.; Liu, C.L. Robust consensus of multi-agent systems with diverse input delays and asymmetric interconnection perturbations. Automatica 2009, 45, 1347–1353. [Google Scholar] [CrossRef]
- Yu, J.; Wang, L. Group consensus in multi-agent systems with switching topologies and communication delays. Syst. Control Lett. 2010, 59, 340–348. [Google Scholar] [CrossRef]
- Ge, X.; Han, Q.L.; Zhang, X.M. Achieving Cluster Formation of Multi-Agent Systems under Aperiodic Sampling and Communication Delays. IEEE Trans. Ind. Electron. 2018, 65, 3417–3426. [Google Scholar] [CrossRef]
- Tu, Z.; Yu, H.; Xia, X. Decentralized finite-time adaptive consensus of multi-agent systems with fixed and switching network typologies. Neurocomputing 2017, 219, 59–67. [Google Scholar] [CrossRef]
- Mo, L.; Yuan, X.; Yu, Y. Neuro-adaptive Leaderless Consensus of Fractional-order Multi-agent Systems. Neurocomputing 2019, 339, 17–25. [Google Scholar] [CrossRef]
- Lu, K.; Xu, H.; Zheng, Y. Distributed resource allocation via multi-agent systems under time-varying networks. Automatica 2022, 136, 110059. [Google Scholar] [CrossRef]
- Ali, M.S.; Agalya, R.; Priya, B.; Kumar Thakur, G.; Asma Kauser, S. Reliable controller for nonlinear multiagent system with additive time varying delay and nonlinear actuator faults. Math. Methods Appl. Sci. 2022, 45, 561–574. [Google Scholar]
- Panda, D.K.; Das, S.; Townley, S. Toward a More Renewable Energy-Based LFC under Random Packet Transmissions and Delays with Stochastic Generation and Demand. IEEE Trans. Autom. Sci. Eng. 2020, 99, 1217–1232. [Google Scholar] [CrossRef]










Disclaimer/Publisher’s Note: The statements, opinions and data contained in all publications are solely those of the individual author(s) and contributor(s) and not of MDPI and/or the editor(s). MDPI and/or the editor(s) disclaim responsibility for any injury to people or property resulting from any ideas, methods, instructions or products referred to in the content. |
© 2023 by the authors. Licensee MDPI, Basel, Switzerland. This article is an open access article distributed under the terms and conditions of the Creative Commons Attribution (CC BY) license (https://creativecommons.org/licenses/by/4.0/).
Share and Cite
Qiu, Z.; Tian, S.; Zhou, B.; Han, Q.; Tian, Y.; Weng, T.; Mamut, T. Consensus of Fixed and Adaptive Coupled Multi-Agent Systems with Communication Delays. Electronics 2023, 12, 1279. https://doi.org/10.3390/electronics12061279
Qiu Z, Tian S, Zhou B, Han Q, Tian Y, Weng T, Mamut T. Consensus of Fixed and Adaptive Coupled Multi-Agent Systems with Communication Delays. Electronics. 2023; 12(6):1279. https://doi.org/10.3390/electronics12061279
Chicago/Turabian StyleQiu, Zicheng, Sheng Tian, Baoping Zhou, Qi Han, Yuan Tian, Tengfei Weng, and Turghunjan Mamut. 2023. "Consensus of Fixed and Adaptive Coupled Multi-Agent Systems with Communication Delays" Electronics 12, no. 6: 1279. https://doi.org/10.3390/electronics12061279
APA StyleQiu, Z., Tian, S., Zhou, B., Han, Q., Tian, Y., Weng, T., & Mamut, T. (2023). Consensus of Fixed and Adaptive Coupled Multi-Agent Systems with Communication Delays. Electronics, 12(6), 1279. https://doi.org/10.3390/electronics12061279

