Cross-Departmental Collaboration Approach for Earthquake Emergency Response Based on Synchronous Intersection between Traditional and Logical Petri Nets
Abstract
1. Introduction
- (1)
- Traditional and logical Petri nets with better representation capability are applied to the field of earthquake emergency management;
- (2)
- The synchronization composition of traditional Petri nets is extended from the synchronization of transitions to the synchronization between logical and traditional transitions in traditional and logical Petri nets, and the intersection operation of logical functions of corresponding transitions is presented. For the first time, the logical function is extracted for traditional transitions, and the definition of synchronous transition unit and the calculation method of its logical functions are proposed;
- (3)
- The synchronous intersection operation between traditional and logical Petri nets fills the research gap. It also solves the coordination problem of the earthquake emergency departments;
- (4)
- For the superior department, a new logical Petri net can be obtained by modeling the workflow of its subordinate units between traditional and logical Petri nets and performing synchronous intersection operations. Then, we can more directly observe the workflow of each department and judge which work needs the cooperation of the two departments.
2. Related Work
2.1. Business Process Management and Process Mining
2.2. Traditional and Logical Petri Nets
2.3. Sharing Composition and Synchronous Composition
2.4. Emergency Management and Cross-Organizational Collaboration
- (1)
- At present, the main model of emergency management is constructed using traditional Petri nets, which leads to many limitations in modeling complex situations.
- (2)
- The application of logical Petri nets in earthquake emergency management is still a gap, and its value has not been fully utilized.
- (3)
- The research on cross-departmental collaboration is still more dependent on traditional Petri nets than on logical Petri nets.
- (4)
- In the composition of logical Petri nets, due to its complexity, the current research focus is mainly on the sharing composition. Therefore, the synchronous composition of logical Petri nets, which has the significance of cross-organizational, cross-departmental collaboration research, has not achieved research results.
2.5. Solution
3. Preliminaries
- (1)
- For, if,, ti is enabled at M, then ti can be fired, it can be denoted by M[ti>.
- (2)
- When ti is fired under the marking M, a new marking M′ is created, and it can be denoted by M[ti>M′. If, and, then; if, and, then; else,.
- (1)
- P is a finite set of places on LPN;
- (2)
- T is a finite set of transitions on LPN,, where
- (a)
- denotes the set of traditional transitions of LPN, whose firing rules are consistent with those of the transitions in traditional Petri nets, with specific reference to the contents of Definition 1;
- (b)
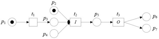
- denotes the set of logical input transitions of LPN; for, the firing of ti is constrained by the logical input functionof ti for its place, and. For, if, ti is enabled at M, then ti can be fired, it can be denoted by M[ti>; When ti is fired under the marking M, a new marking M′ is created, and it can be denoted by M[ti>M′. For,and; for,;
- (c)
- denotes the set of logical output transitions of LPN; for, the firing result is constrained by the logical output functionof ti for its place, and. For, ifand,is enabled at M, thencan be fired, it can be denoted by M[ti>; when ti is fired under the marking M a new marking M′ is created, and it can be denoted by M[ti>M′. For,and; for,;
- (3)
- is a finite set of directed arcs on LPN;
- (4)
- I is a mapping from a set of logical input transitions to a logical input function, for,;
- (5)
- O is a mapping from a set of logical output transitions to a logical output function, for,;
- (6)
- is a mapping from a set of transitions to a set of activities;
- (7)
- is a marking function on LPN,represents the number of tokens in p.
4. Synchronous Intersection of Traditional and Logical Petri Nets
4.1. Definition of Synchronous Intersection
- For, the logical input function is;
- For, the logical output function is;
- Forin traditional Petri nets, its logical functions are extracted in the same way as the way forin logical Petri nets. In addition, obtaining functions for the synchronous transition unit can be done by intersecting the logical functions of the two transitions that have not been merged before.
4.2. Computation of Synchronous Intersection
4.2.1. Synchronous Intersection Operation of Traditional Transitions
- (1)
- The set of activities composition
- (2)
- The set of places composition
- (3)
- The set of transitions composition
- (4)
- The set of directed arcs composition
- (5)
- Mapping I composition
- (6)
- Mapping O composition
- (7)
- Marking composition
- (8)
- Mapping composition
4.2.2. Synchronous Intersection Operation of Traditional and Logical-Input Transitions
- (1)
- The set of transitions composition
- (2)
- The logical input functions composition
- (3)
- Mapping I composition
- (4)
- Mapping O composition
- (1)
- Reachable marking functions about PN5
- (2)
- Reachable marking functions about LPN6
- (3)
- Synchronous intersection operation of PN5 and LPN6
4.2.3. Synchronous Intersection Operation of Traditional and Logical-Output Transitions
- (1)
- The set of transitions composition
- (2)
- Mapping I composition
- (3)
- The logical output functions composition
- (4)
- Mapping O composition
- (1)
- Reachable marking functions about PN9
- (2)
- Reachable marking functions about LPN10
- (3)
- Synchronous intersection operation of PN9 and LPN10
5. Simulation Experiments
5.1. Emergency Planning Restatement
5.2. EOI Model and Its Reachable Markings
5.3. STD Model and Its Reachable Markings
5.4. Synchronous Intersection of PN12 and LPN13
6. Conclusions
Author Contributions
Funding
Institutional Review Board Statement
Informed Consent Statement
Data Availability Statement
Conflicts of Interest
References
- Reijers, H.A. Business Process Management: The evolution of a discipline. Comput. Ind. 2021, 126, 103404. [Google Scholar] [CrossRef]
- Song, W.; Xia, X.; Jacobsen, H.A.; Zhang, P.C.; Hu, H. Efficient alignment between event logs and process models. IEEE Trans. Serv. Comput. 2017, 10, 136–1149. [Google Scholar] [CrossRef]
- Rodríguez, A.; Caro, A.; Cappiello, C.; Cabalero, I. A BPMN extension for including data quality requirements in business process modeling. In International Workshop on Business Process Modeling Notation; Springer: Berlin/Heidelberg, Germany, 2012; pp. 116–125. [Google Scholar]
- Xiang, D.M.; Liu, G.J.; Yan, C.G.; Jiang, C.J. A guard-driven analysis approach of workflow net with data. IEEE Trans. Serv. Comput. 2021, 14, 1650–1661. [Google Scholar] [CrossRef]
- Zhao, F.; Xiang, D.; Liu, G.; Jiang, C. A New Method for Measuring the Behavioral Consistency Degree of WF-Net Systems. IEEE Trans. Comput. Soc. Syst. 2022, 9, 480–493. [Google Scholar] [CrossRef]
- Liu, C.; Zeng, Q.; Duan, H.; Zhou, M.; Lu, F.; Cheng, J. E-net modeling and analysis of emergency response processes constrained by resources and uncertain durations. IEEE Trans. Syst. Man Cybern. Syst. 2015, 45, 84–86. [Google Scholar] [CrossRef]
- Qi, L.; Zhou, M.; Luan, W. A two-level traffic light control strategy for preventing incident-based urban traffic congestion. IEEE Trans. Intell. Transp. Syst. 2018, 19, 13–24. [Google Scholar] [CrossRef]
- Li, L.; Basile, F.; Li, Z. An Approach to Improve Permissiveness of Supervisors for GMECs in Time Petri Net Systems. IEEE Trans. Autom. Control 2020, 65, 237–251. [Google Scholar] [CrossRef]
- He, Z.; Ma, Z.; Li, Z.; Giua, A. Parametric transformation of timed weighted marked graphs: Applications in optimal resource allocation. IEEE/CAA J. Autom. Sin. 2021, 8, 179–188. [Google Scholar] [CrossRef]
- Li, L.; Basile, F.; Li, Z. Closed-Loop Deadlock-Free Supervision for GMECs in Time Petri Net Systems. IEEE Trans. Autom. Control 2021, 66, 5326–5341. [Google Scholar] [CrossRef]
- Du, Y.; Qi, L.; Zhou, M. A vector matching method for analysing logic Petri nets. Enterp. Inf. Syst. 2011, 5, 449–468. [Google Scholar] [CrossRef]
- Pang, S. Modeling and Verification of Workflow Based on Resource Constraint. Acta Electron. Sin. 2012, 40, 1497–1502. [Google Scholar]
- He, H.; Pang, S.; Zhao, Z. Dynamic scalable stochastic petri net: A novel model for designing and analysis of resource scheduling in cloud computing. Sci. Program. 2016, 13, 1–13. [Google Scholar] [CrossRef]
- Du, Y.Y.; Wang, L.; Qi, M. Constructing Service Clusters Based on Service Space. Int. J. Parallel Program. 2017, 45, 982–1000. [Google Scholar] [CrossRef]
- Teng, Y.; Du, Y.; Qi, L.; Luan, W. A Logic Petri Net-Based Method for Repairing Process Models With Concurrent Blocks. IEEE Access 2019, 7, 8266–8282. [Google Scholar] [CrossRef]
- Li, J.; Yang, R.; Ding, Z.; Pan, M. A Method for Learning a Petri Net Model Based on Region Theory. Comput. Inf. 2020, 39, 174–192. [Google Scholar] [CrossRef]
- He, H.; Zhao, Y.; Pang, S. Stochastic modeling and performance analysis of energy-aware cloud data center based on dynamic scalable stochastic petri net. Comput. Inf. 2020, 39, 28–50. [Google Scholar] [CrossRef]
- Li, H.; Bu, Z.; Wang, Z.; Cao, J. Dynamical clustering in electronic commerce systems via optimization and leadership expansion. IEEE Trans. Ind. Inf. 2020, 16, 5327–5334. [Google Scholar] [CrossRef]
- Hu, L.; Pan, X.; Tan, Z.; Luo, X. A Fast Fuzzy Clustering Algorithm for Complex Networks via a Generalized Momentum Method. IEEE Trans. Fuzzy Syst. 2021, 30, 3473–3485. [Google Scholar] [CrossRef]
- Wang, Z.; Luan, W.; Du, Y.; Qi, L. Composition and application of extended colored logic Petri nets to E-commerce systems. IEEE Access 2020, 8, 36386–36397. [Google Scholar] [CrossRef]
- Duo, W.; Jiang, X.; Karoui, O.; Guo, X.; You, D.; Wang, S.; Ruan, Y. A deadlock prevention policy for a class of multi-threaded software. IEEE Access 2020, 8, 16676–16688. [Google Scholar] [CrossRef]
- Liu, G. Complexity of the deadlock problem for Petri nets modeling resource allocation systems. Inf. Sci. 2016, 363, 190–197. [Google Scholar] [CrossRef]
- Luan, W.; Qi, L.; Du, Y. Composition of logical Petri nets and compatibility analysis. IEEE Access 2017, 5, 9152–9162. [Google Scholar] [CrossRef]
- Luan, W.; Qi, L.; Zhao, Z.; Liu, J.; Du, Y. Logic Petri net synthesis for cooperative systems. IEEE Access 2019, 7, 161937–161948. [Google Scholar] [CrossRef]
- Qi, L.; Luan, W.; Lu, X.S.; Guo, X. Shared P-type logic Petri net composition and property analysis: A vector computational method. IEEE Access 2020, 8, 34644–34653. [Google Scholar] [CrossRef]
- Liu, C.; Duan, H.; Zeng, Q.; Zhou, M.; Lu, F.; Cheng, J. Towards comprehensive support for privacy preservation cross-organization business process mining. IEEE Trans. Serv. Comput. 2019, 12, 639–653. [Google Scholar] [CrossRef]
- Duan, H.; Liu, C.; Zeng, Q.; Zhou, M. Refinement-based hierarchical modeling and correctness verification of cross-organization collaborative emergency response processes. IEEE Trans. Syst. Man Cybern. Syst. 2020, 50, 2845–2859. [Google Scholar] [CrossRef]
- Zhen, L.; Hu, P.; Peng, X.; Goh, R.; Zhou, J.T. Deep Multimodal Transfer Learning for Cross-Modal Retrieval. IEEE Trans. Neural Netw. Learn. Syst. 2020, 33, 798–810. [Google Scholar] [CrossRef]
- Wang, Y.; Chen, Z.; Luo, X.; Li, R.; Xu, X. Fast Cross-Modal Hashing with Global and Local Similarity Embedding. IEEE Trans. Cybern. 2021, 52, 10064–10077. [Google Scholar] [CrossRef]
- Liu, C.; Zeng, Q.; Cheng, L.; Duan, H.; Zhou, M.; Cheng, J. Privacy-preserving behavioral correctness verification of cross-organizational workflow with task synchronization patterns. IEEE Trans. Autom. Sci. Eng. 2021, 18, 1037–1048. [Google Scholar] [CrossRef]
- Chen, W.; Liu, L.; Liu, G. Privacy-Preserving Distributed Economic Dispatch of Microgrids: A Dynamic Quantization Based Consensus Scheme with Homomorphic Encryption. IEEE Transf. Smart Grid 2022, 14, 701–713. [Google Scholar] [CrossRef]






Disclaimer/Publisher’s Note: The statements, opinions and data contained in all publications are solely those of the individual author(s) and contributor(s) and not of MDPI and/or the editor(s). MDPI and/or the editor(s) disclaim responsibility for any injury to people or property resulting from any ideas, methods, instructions or products referred to in the content. |
© 2023 by the authors. Licensee MDPI, Basel, Switzerland. This article is an open access article distributed under the terms and conditions of the Creative Commons Attribution (CC BY) license (https://creativecommons.org/licenses/by/4.0/).
Share and Cite
Tian, Y.; Pang, X.; Su, Y.; Han, D.; Du, Y. Cross-Departmental Collaboration Approach for Earthquake Emergency Response Based on Synchronous Intersection between Traditional and Logical Petri Nets. Electronics 2023, 12, 1207. https://doi.org/10.3390/electronics12051207
Tian Y, Pang X, Su Y, Han D, Du Y. Cross-Departmental Collaboration Approach for Earthquake Emergency Response Based on Synchronous Intersection between Traditional and Logical Petri Nets. Electronics. 2023; 12(5):1207. https://doi.org/10.3390/electronics12051207
Chicago/Turabian StyleTian, Yinhua, Xiaowen Pang, Yan Su, Dong Han, and Yuyue Du. 2023. "Cross-Departmental Collaboration Approach for Earthquake Emergency Response Based on Synchronous Intersection between Traditional and Logical Petri Nets" Electronics 12, no. 5: 1207. https://doi.org/10.3390/electronics12051207
APA StyleTian, Y., Pang, X., Su, Y., Han, D., & Du, Y. (2023). Cross-Departmental Collaboration Approach for Earthquake Emergency Response Based on Synchronous Intersection between Traditional and Logical Petri Nets. Electronics, 12(5), 1207. https://doi.org/10.3390/electronics12051207

