A Novel Hybrid Artificial Bee Colony-Based Deep Convolutional Neural Network to Improve the Detection Performance of Backscatter Communication Systems
Abstract
1. Introduction
1.1. Paper Motivation
1.2. Paper Contributions
- We introduce a novel hybrid optimization algorithm named HABC based on ABC, BBO, and PSO, in which new agents such as neighborhood search, the migration of bees, and movement towards the global best are introduced to improve the exploitation and exploration abilities of the ABC algorithm. In the proposed HABC, the migration operator of the BBO is used to improve the exploitation of the algorithm. Moving towards the global best of PSO is also proposed to improve the exploration of the ABC;
- We use HABC to adjust the optimization parameters of the DCNN and significantly enhance the detection accuracy of the DCNN as the BD signal detector;
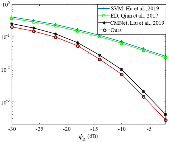
- Extensive experiments are carried out using both benchmark functions and BC sample data [29]. The results demonstrate that the suggested HABC-DCNN signal detection technique can attain exceptional BER efficiency in comparison with the related works. The simulation results for well-known real-world benchmark datasets show that the proposed HABC algorithm achieves a better performance compared with some other more well-known algorithms.
2. Literature Review
3. System Model
4. The Proposed HABC
5. HABC-DCNN Design
6. Simulation Results
6.1. Pressure Vessel Design
6.2. Tension Springs Problem
6.3. Detecting Backscatter Signals
7. Conclusions
Author Contributions
Funding
Data Availability Statement
Conflicts of Interest
References
- Cao, Y.; Xu, S.; Liu, J.; Kato, N. IRS Backscatter Enhancing Against Jamming and Eavesdropping Attacks. IEEE Internet Things J. 2023, 2023, 1–12. [Google Scholar] [CrossRef]
- Miri, S.; Kaveh, M.; Shahhoseini, H.S.; Mosavi, M.R.; Aghapour, S. On the security of ‘an ultra-lightweight and secure scheme for communications of smart meters and neighborhood gateways by utilization of an ARM Cortex-M microcontroller’. IET Inf. Secur. 2023, 17, 544–551. [Google Scholar] [CrossRef]
- Kaveh, M.; Martín, D.; Mosavi, M.R. A lightweight authentication scheme for V2G communications: A PUF-based approach ensuring cyber/physical security and identity/location privacy. Electronics 2020, 9, 1479. [Google Scholar] [CrossRef]
- Aghapour, S.; Kaveh, M.; Martín, D.; Mosavi, M.R. An ultra-lightweight and provably secure broadcast authentication protocol for smart grid communications. IEEE Access 2020, 8, 125477–125487. [Google Scholar] [CrossRef]
- Basharat, S.; Hassan, S.A.; Mahmood, A.; Ding, Z.; Gidlund, M. Reconfigurable intelligent surface-assisted backscatter communication: A new frontier for enabling 6G IoT networks. IEEE Wirel. Commun. 2022, 29, 96–103. [Google Scholar] [CrossRef]
- Aghapour, S.; Kaveh, M.; Mosavi, M.R.; Martín, D. An ultra-lightweight mutual authentication scheme for smart grid two-way communications. IEEE Access 2021, 9, 74562–74573. [Google Scholar] [CrossRef]
- Kaveh, M.; Mosavi, M.R. A lightweight mutual authentication for smart grid neighborhood area network communications based on physically unclonable function. IEEE Syst. J. 2020, 14, 4535–4544. [Google Scholar] [CrossRef]
- Khan, W.U.; Jameel, F.; Ihsan, A.; Waqar, O.; Ahmed, M. Joint optimization for secure ambient backscatter communication in NOMA-enabled IoT networks. Digit. Commun. Netw. 2023, 9, 264–269. [Google Scholar] [CrossRef]
- Kaveh, M.; Aghapour, S.; Martin, D.; Mosavi, M.R. A secure lightweight signcryption scheme for smart grid communications using reliable physically unclonable function. In Proceedings of the International Conference on Environment and Electrical Engineering and Industrial and Commercial Power Systems Europe (EEEIC/I&CPS Europe), Madrid, Spain, 9–12 June 2020; pp. 1–6. [Google Scholar]
- Wu, W.; Wang, X.; Hawbani, A.; Yuan, L.; Gong, W. A survey on ambient backscatter communications: Principles, systems, applications, and challenges. Comput. Netw. 2022, 216, 109235. [Google Scholar] [CrossRef]
- Lotfy, A.; Kaveh, M.; Martín, D.; Mosavi, M.R. An efficient design of Anderson PUF by utilization of the Xilinx primitives in the SLICEM. IEEE Access 2021, 9, 23025–23034. [Google Scholar] [CrossRef]
- Liang, Y.C.; Zhang, Q.; Wang, J.; Long, R.; Zhou, H.; Yang, G. Backscatter communication assisted by reconfigurable intelligent surfaces. Proc. IEEE 2022, 110, 1339–1357. [Google Scholar] [CrossRef]
- Najafi, F.; Kaveh, M.; Martín, D.; Reza Mosavi, M. Deep PUF: A highly reliable DRAM PUF-based authentication for IoT networks using deep convolutional neural networks. Sensors 2021, 21, 2009. [Google Scholar] [CrossRef] [PubMed]
- Khan, W.U.; Ihsan, A.; Nguyen, T.N.; Ali, Z.; Javed, M.A. NOMA-enabled backscatter communications for green transportation in automotive-industry 5.0. IEEE Trans. Ind. Inform. 2022, 18, 7862–7874. [Google Scholar] [CrossRef]
- Fard, S.S.; Kaveh, M.; Mosavi, M.R.; Ko, S.B. An efficient modeling attack for breaking the security of XOR-Arbiter PUFs by using the fully connected and long-short term memory. Microprocess. Microsyst. 2022, 94, 104667. [Google Scholar] [CrossRef]
- Liu, W.; Huang, K.; Zhou, X.; Durrani, S. Next generation backscatter communication: Systems, techniques, and applications. EURASIP J. Wirel. Commun. Netw. 2019, 2019, 69. [Google Scholar] [CrossRef]
- Kaveh, M.; Mesgari, M.S. Application of meta-heuristic algorithms for training neural networks and deep learning architectures: A comprehensive review. Neural Process. Lett. 2022, 1–104. [Google Scholar] [CrossRef]
- Baniasadi, S.; Rostami, O.; Martín, D.; Kaveh, M. A novel deep supervised learning-based approach for intrusion detection in IoT systems. Sensors 2022, 22, 4459. [Google Scholar] [CrossRef]
- Toro, U.S.; ElHalawany, B.M.; Wong, A.B.; Wang, L.; Wu, K. Machine-learning-assisted signal detection in ambient backscatter communication networks. IEEE Netw. 2021, 35, 120–125. [Google Scholar] [CrossRef]
- Karaboga, D. Technical Report-tr06: An Idea Based on Honey Bee Swarm for Numerical Optimization; Erciyes University, Engineering Faculty, Computer Engineering Department: Kayseri, Turkey, 2005; Volume 200, pp. 1–10. [Google Scholar]
- Kaveh, M.; Mesgari, M.S. Hospital site selection using hybrid PSO algorithm-Case study: District 2 of Tehran. Sci.-Res. Q. Geogr. Data (SEPEHR) 2019, 28, 7–22. [Google Scholar]
- Kaveh, M.; Mesgari, M.S.; Saeidian, B. Orchard Algorithm (OA): A new meta-heuristic algorithm for solving discrete and continuous optimization problems. Math. Comput. Simul. 2023, 208, 19–35. [Google Scholar] [CrossRef]
- Kaveh, M.; Mesgari, M.S.; Martín, D.; Kaveh, M. TDMBBO: A novel three-dimensional migration model of biogeography-based optimization (case study: Facility planning and benchmark problems). J. Supercomput. 2023, 79, 9715–9770. [Google Scholar] [CrossRef]
- Li, X.D.; Wang, J.S.; Hao, W.K.; Wang, M.; Zhang, M. Multi-layer perceptron classification method of medical data based on biogeography-based optimization algorithm with probability distributions. Appl. Soft Comput. 2022, 121, 108766. [Google Scholar] [CrossRef]
- Mosavi, M.R.; Kaveh, M.; Khishe, M.; Aghababaie, M. Design and implementation a sonar data set classifier using multi-layer perceptron neural network trained by elephant herding optimization. Iran. J. Mar. Technol. 2018, 5, 1–12. [Google Scholar]
- Zhang, Z.; Gao, Y.; Zuo, W. A Dual Biogeography-Based Optimization Algorithm for Solving High-Dimensional Global Optimization Problems and Engineering Design Problems. IEEE Access 2022, 10, 55988–56016. [Google Scholar] [CrossRef]
- Rabiei, H.; Kaveh, M.; Mosavi, M.R.; Martín, D. MCRO-PUF: A Novel Modified Crossover RO-PUF with an Ultra-Expanded CRP Space. Comput. Mater. Contin. 2023, 74, 4831–4845. [Google Scholar] [CrossRef]
- Li, X.; Chen, J.; Zhou, D.; Gu, Q. A modified biogeography-based optimization algorithm based on cloud theory for optimizing a fuzzy PID controller. Optim. Control Appl. Methods 2022, 43, 722–739. [Google Scholar] [CrossRef]
- Liu, C.; Wei, Z.; Ng, D.W.K.; Yuan, J.; Liang, Y.C. Deep transfer learning for signal detection in ambient backscatter communications. IEEE Trans. Wirel. Commun. 2020, 20, 1624–1638. [Google Scholar] [CrossRef]
- Liu, V.; Parks, A.; Talla, V.; Gollakota, S.; Wetherall, D.; Smith, J.R. Ambient backscatter: Wireless communication out of thin air. ACM SIGCOMM Comput. Commun. Rev. 2013, 43, 39–50. [Google Scholar] [CrossRef]
- Lu, K.; Wang, G.; Qu, F.; Zhong, Z. Signal detection and BER analysis for RF-powered devices utilizing ambient backscatter. In Proceedings of the International Conference on Wireless Communications & Signal Processing (WCSP), Nanjing, China, 15–17 October 2015; pp. 1–5. [Google Scholar]
- Qian, J.; Gao, F.; Wang, G.; Jin, S.; Zhu, H. Semi-coherent detection and performance analysis for ambient backscatter system. IEEE Trans. Commun. 2017, 65, 5266–5279. [Google Scholar] [CrossRef]
- Wang, G.; Gao, F.; Fan, R.; Tellambura, C. Ambient backscatter communication systems: Detection and performance analysis. IEEE Trans. Commun. 2016, 64, 4836–4846. [Google Scholar] [CrossRef]
- Qian, J.; Gao, F.; Wang, G.; Jin, S.; Zhu, H. Noncoherent detections for ambient backscatter system. IEEE Trans. Wirel. Commun. 2016, 16, 1412–1422. [Google Scholar] [CrossRef]
- Zhang, Q.; Guo, H.; Liang, Y.C.; Yuan, X. Constellation learning-based signal detection for ambient backscatter communication systems. IEEE J. Sel. Areas Commun. 2018, 37, 452–463. [Google Scholar] [CrossRef]
- Hu, Y.; Wang, P.; Lin, Z.; Ding, M.; Liang, Y.C. Machine learning based signal detection for ambient backscatter communications. In Proceedings of the IEEE International Conference on Communications (ICC), Shanghai, China, 20–24 May 2019; pp. 1–6. [Google Scholar]
- Sadeghi, F.; Rostami, O.; Yi, M.K.; Hwang, S.O. A deep learning approach for detecting COVID-19 using the chest X-ray images. CMC-Comput. Mater. Contin. 2023, 74, 751–768. [Google Scholar]
- Sadeghi, F.; Larijani, A.; Rostami, O.; Martín, D.; Hajirahimi, P. A Novel Multi-Objective Binary Chimp Optimization Algorithm for Optimal Feature Selection: Application of Deep-Learning-Based Approaches for SAR Image Classification. Sensors 2023, 23, 1180. [Google Scholar] [CrossRef] [PubMed]
- Kaveh, M.; Mesgari, M.S.; Khosravi, A. Solving the local positioning problem using a four-layer artificial neural network. Eng. J. Geospat. Inf. Technol. 2020, 7, 21–40. [Google Scholar]
- de Oliveira, R.A.; Bollen, M.H. Deep learning for power quality. Electr. Power Syst. Res. 2023, 214, 108887. [Google Scholar] [CrossRef]
- Aslani, S.; Jacob, J. Utilisation of deep learning for COVID-19 diagnosis. Clin. Radiol. 2023, 78, 150–157. [Google Scholar] [CrossRef]
- Liu, Y.; Ye, Y.; Hu, R.Q. Secrecy outage probability in backscatter communication systems with tag selection. IEEE Wirel. Commun. Lett. 2021, 10, 2190–2194. [Google Scholar] [CrossRef]
- Mirjalili, S.; Mirjalili, S.M.; Lewis, A. Grey wolf optimizer. Adv. Eng. Softw. 2014, 69, 46–61. [Google Scholar] [CrossRef]
- Shorten, C.; Khoshgoftaar, T.M. A survey on image data augmentation for deep learning. J. Big Data 2019, 6, 60. [Google Scholar] [CrossRef]
- Yang, E.; Wang, Y.; Wang, P.; Guan, Z.; Deng, W. An intelligent identification approach using VMD-CMDE and PSO-DBN for bearing faults. Electronics 2022, 11, 2582. [Google Scholar] [CrossRef]
- Li, W.; Zhang, L.; Chen, X.; Wu, C.; Cui, Z.; Niu, C. Predicting the evolution of sheet metal surface scratching by the technique of artificial intelligence. Int. J. Adv. Manuf. Technol. 2021, 112, 853–865. [Google Scholar] [CrossRef]
- Rajabi, M.S.; Beigi, P.; Aghakhani, S. Drone Delivery Systems and Energy Management: A Review and Future Trends. arXiv 2022, 2206, 10765. [Google Scholar]
- Aghakhani, S.; Rajabi, M.S. A new hybrid multi-objective scheduling model for hierarchical hub and flexible flow shop problems. AppliedMath 2022, 2, 721–737. [Google Scholar] [CrossRef]
- Rajabi, M.; Habibpour, M.; Bakhtiari, S.; Rad, F.; Aghakhani, S. The development of BPR models in smart cities using loop detectors and license plate recognition technologies: A case study. J. Future Sustain. 2023, 3, 75–84. [Google Scholar] [CrossRef]













| Algorithm | Parameter | Value |
|---|---|---|
| HABC | The global movement rate (γ) | 0.14 |
| The probability range for migrating into each gene | [0, 1] | |
| Maximum emigration (I) and immigration (E) coefficient | 1 | |
| Number of onlooker bees | 80 | |
| Number of employed bees | 120 | |
| Number of scout bees (population size) | 150 | |
| Iteration | 300 | |
| OA | N_high | 50 |
| N_low | 40 | |
| N_trans | 60 | |
| α | 0.7 | |
| β | 0.3 | |
| Population size | 150 | |
| Iteration | 300 | |
| GWO | C | 0.7 |
| A | 0.3 | |
| α | [0, 2] | |
| Population size | 150 | |
| Iteration | 300 | |
| ABC | Number of onlooker bees | 80 |
| Number of employed bees | 120 | |
| Number of scout bees (population size) | 150 | |
| Iteration | 300 | |
| BBO | The probability range for migrating | [0, 1] |
| Maximum emigration (I) and immigration (E) rates | 1 | |
| Elitism percent | 10% | |
| Mutation rate | 0.12 | |
| Population size | 150 | |
| Iteration | 300 | |
| PSO | The inertial movement rate (α) | 0.11 |
| The movement toward the best personal experience rate | 0.65 | |
| The movement toward the best global experience rate | 0.93 | |
| Population size | 150 | |
| Iteration | 300 |
| Algorithm | Best F(x) | Mean F(x) | SD F(x) |
|---|---|---|---|
| HABC | 5910.8253 | 5922.8652 | 0.0041590 |
| OA | 5948.1589 | 5975.9625 | 0.0098562 |
| GWO | 6072.3698 | 6220.1946 | 0.0856987 |
| ABC | 6143.8965 | 6486.1785 | 2.1896527 |
| BBO | 6128.1289 | 6759.7563 | 4.8965232 |
| PSO | 6286.3214 | 7169.7248 | 8.7452328 |
| Algorithm | Best F(x) | Mean F(x) | SD F(x) |
|---|---|---|---|
| HABC | 1.26653 × 10−2 | 1.28845 × 10−2 | 0.0000274 |
| OA | 1.26678 × 10−2 | 1.29508 × 10−2 | 0.0001456 |
| GWO | 1.27253 × 10−2 | 1.38786 × 10−2 | 0.0189652 |
| ABC | 1.27662 × 10−2 | 1.41256 × 10−2 | 1.2451960 |
| BBO | 1.27723 × 10−2 | 1.55412 × 10−2 | 2.9125355 |
| PSO | 1.27945 × 10−2 | 1.96352 × 10−2 | 4.0189632 |
| DL Models | Train | Test | ||||
|---|---|---|---|---|---|---|
| Sensitivity | Specificity | Accuracy | Sensitivity | Specificity | Accuracy | |
| HABC-DCNN | 99.74% | 96.48% | 99.26% | 98.89% | 95.24% | 98.32% |
| OA-DCNN | 98.85% | 95.91% | 98.79% | 98.32% | 94.92% | 98.16% |
| GWO-DCNN | 98.34% | 95.21% | 98.27% | 98.03% | 94.36% | 97.34% |
| ABC-DCNN | 97.76% | 94.82% | 97.67% | 96.74% | 93.88% | 96.61% |
| BBO-DCNN | 97.82% | 94.72% | 97.73% | 96.84% | 93.76% | 96.72% |
| PSO-DCNN | 97.42% | 94.31% | 97.23% | 96.51% | 93.21% | 95.96% |
| RNN | 96.14% | 93.29% | 96.52% | 95.27% | 92.35% | 94.86% |
| Standard DCNN | 95.91% | 92.88% | 96.43% | 95.39% | 92.09% | 94.51% |
| LSTM | 95.18% | 92.43% | 96.19% | 94.95% | 92.28% | 94.29% |
| Algorithm | MSE | |
|---|---|---|
| Training Datasets | Validation Datasets | |
| HABC-DCNN | 0.00008 | 0.00096 |
| OA-DCNN | 0.00086 | 0.00896 |
| GWO-DCNN | 0.02186 | 0.19652 |
| ABC-DCNN | 0.12452 | 0.47562 |
| BBO-DCNN | 0.10592 | 0.35896 |
| PSO-DCNN | 0.21745 | 0.59856 |
| RNN | 0.42691 | 0.69853 |
| Standard DCNN | 0.55239 | 0.75263 |
| LSTM | 0.59852 | 0.88745 |
Disclaimer/Publisher’s Note: The statements, opinions and data contained in all publications are solely those of the individual author(s) and contributor(s) and not of MDPI and/or the editor(s). MDPI and/or the editor(s) disclaim responsibility for any injury to people or property resulting from any ideas, methods, instructions or products referred to in the content. |
© 2023 by the authors. Licensee MDPI, Basel, Switzerland. This article is an open access article distributed under the terms and conditions of the Creative Commons Attribution (CC BY) license (https://creativecommons.org/licenses/by/4.0/).
Share and Cite
Aghakhani, S.; Larijani, A.; Sadeghi, F.; Martín, D.; Shahrakht, A.A. A Novel Hybrid Artificial Bee Colony-Based Deep Convolutional Neural Network to Improve the Detection Performance of Backscatter Communication Systems. Electronics 2023, 12, 2263. https://doi.org/10.3390/electronics12102263
Aghakhani S, Larijani A, Sadeghi F, Martín D, Shahrakht AA. A Novel Hybrid Artificial Bee Colony-Based Deep Convolutional Neural Network to Improve the Detection Performance of Backscatter Communication Systems. Electronics. 2023; 12(10):2263. https://doi.org/10.3390/electronics12102263
Chicago/Turabian StyleAghakhani, Sina, Ata Larijani, Fatemeh Sadeghi, Diego Martín, and Ali Ahmadi Shahrakht. 2023. "A Novel Hybrid Artificial Bee Colony-Based Deep Convolutional Neural Network to Improve the Detection Performance of Backscatter Communication Systems" Electronics 12, no. 10: 2263. https://doi.org/10.3390/electronics12102263
APA StyleAghakhani, S., Larijani, A., Sadeghi, F., Martín, D., & Shahrakht, A. A. (2023). A Novel Hybrid Artificial Bee Colony-Based Deep Convolutional Neural Network to Improve the Detection Performance of Backscatter Communication Systems. Electronics, 12(10), 2263. https://doi.org/10.3390/electronics12102263

