Quasi-Real RFI Source Generation Using Orolia Skydel LEO Satellite Simulator for Accurate Geolocation and Tracking: Modeling and Experimental Analysis
Abstract
1. Introduction
2. Proposed Simulation Environment
2.1. Geolocation and Target-Tracking Architecture
2.2. Modeling of Emitter, Sensor and Radio Assign
3. Mathematical Model of Geolocation and Tracking Scenarios
3.1. Conventional Geolocation Measurements
3.1.1. TDOA
3.1.2. FDOA
3.1.3. Hybrid TDOA/FDOA
3.2. State Tracking Estimation
3.3. Geolocation and Target-Tracking Techniques
3.3.1. Cross Ambiguity Function (CAF) Approach
3.3.2. Gauss–Hermite Quadrature Filter (GHQF) Approach
- First step: InitializationIn the first step,- (i)
- Initialize the mean () and covariance () of the random variable with , and .
- (ii)
- Compute the quadrature points bywhere is the ith eigenvalue of that is supposed to be a symmetric tridiagonal matrix with zero diagonal elements given by
- (iii)
- Calculate the respective weights of the quadrature points (), where is equal to the square of the first element of the ith normalized eigenvector of .
 
- Second step: Time updateIn the second step, it is necessary to evaluate and estimate statewhere is the quadrature points; is the propagated quadrature points; is the predicted state mean; and is the predicted error covariance.
- Third step: Measurement updateIn the third step, it is necessary to evaluate and estimate measurementwhere is the new quadrature points; is the new propagated quadrature points; is the predicted measurement; is the innovation covariance matrix; is the cross-covariance matrix; is the Kalman gain; is the updated state; and is the corresponding error covariance.Eventually, this can obtain the posterior density; therefore, a nonlinear Kalman filter estimates the hidden state using a Gaussian distribution of probability density functions.where is the set of measurements .
3.4. Algorithm Performance Evaluation
4. Modeling Setup and Realistic Experimental of Simulation Scenarios
4.1. Modeling Scenario
- Instance-1: Simulate UAV trajectory, generate RFI signal (common for three scenarios), and create earth-orbiting spacecraft (setup-LEO satellite # 1)- Simulation of UAV Circular Trajectory.
- Create new radio assign # 0.
- Vehicle- Keplerian orbital elements setup.
- Save it as Master into the named file (sdx format).
 
- Instance-2: Creating earth-orbiting spacecraft (setup LEO satellite # 2).- Create a new radio and assign # 1.
- Vehicle-Keplerian orbital elements setup.- (a)
- Change the reference time.
- (b)
- Other Ephemeris Elements.
 
- Save it as Slave into the named file (sdx format).
 
- Instance-3: Creating earth-orbiting spacecraft (setup-LEO satellite # 3).- ∗
- Repeating the same steps of the Instance-2.
 
- Save and Record I/Q files (CSV format), as well export RAW logging files for reference. Figure 9 illustrates snapshots from the three Instances.
4.2. RFI Emitter Geolocation Using CAF
- Input parameters:; ; dm; ; ; and create XY grid
- Snapshots Loop for break up the signals into snapshots.fordo,
- Import I/Q files for UAV and LEO satellites trajectory, as well the delay time and Doppler shift of receiving signal.
- Calculation: Calculating a CAF surface based upon input signals.- Calculating relative position vectors for each sensor and the current map location,
- Start going through each map location in XY grid by creating a loop for XY indexfor length (indexX) do,for length(indexY) do,- Calculate relative position vectors for each sensor and the current map location,
- Compute the CAF value for the current MAP position via (29),
 end loopend loop
- Saving CAF mapping result of current snapshot.
 end i, end Snapshots Loop.
- Output result: Save file of CAF mapping; and plotting CAF result with the peak point.
4.3. RFI Emitter-Tracking Using High-Degree Nonlinear Filters
- Input parameters: TDOA and FDOA measurements based on data from the Orolia simulator; ; initial position and velocity for sensors and RFI emitter; number of Monte Carlo runs (N); scan times ; and number of quadrature points .- (a)
- First step:- Initialization →, andfordo,
- Calculating the quadrature points via (31),
- Calculating first element of the respective weights,end loop i,
 
 
- Start tracking: Time update and Measurement update.fordo,fordo,- (b)
- Second step:- fordo,
 - end loop j,
 
- (c)
- Third step: update.- fordo,
 - end loop j,
 
 end loop k,end loop n,
- Evaluation: Evaluate the posterior density via (45).
- Output result: The accurate estimates of the emitter position and velocity.
5. Experimental Results
5.1. RFI Emitter Geolocation Scenario
5.2. RFI Emitter-Tracking Scenario
- Important notes
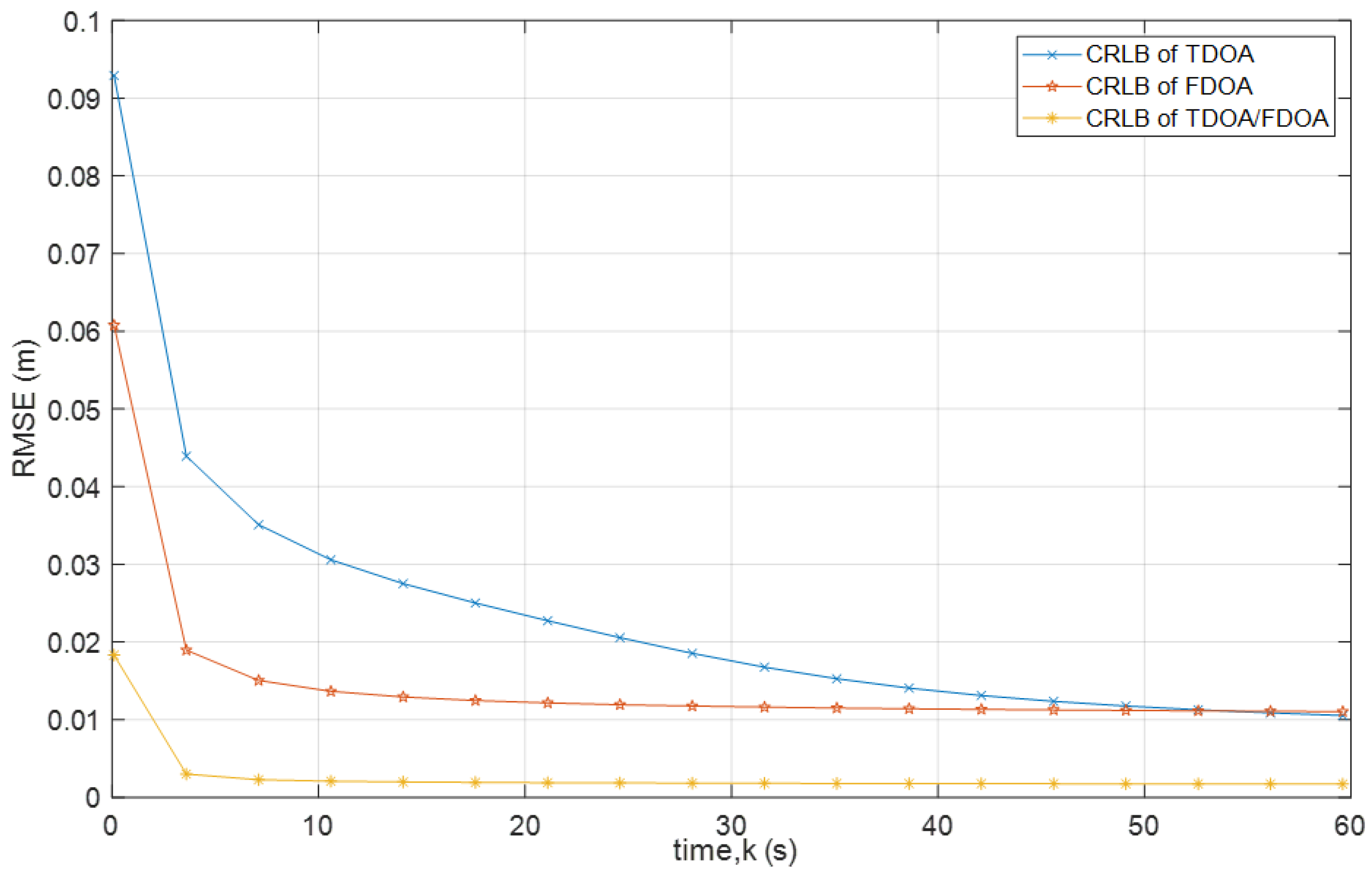
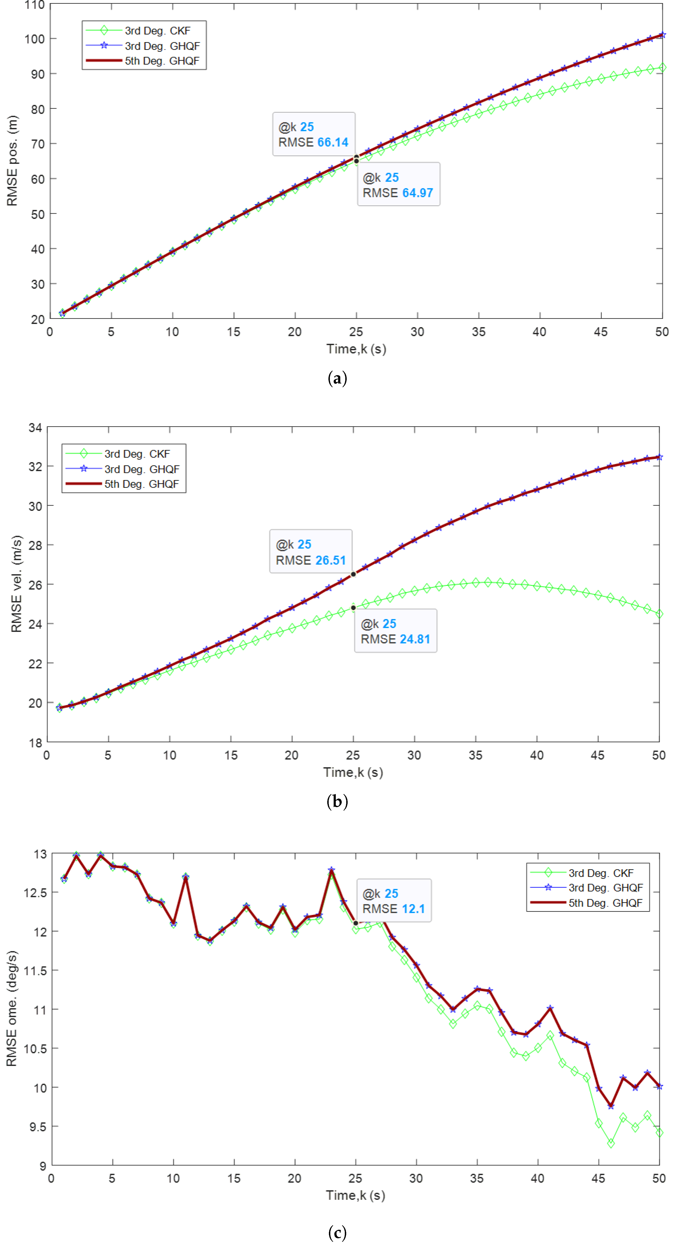
5.3. Discussion and Performance Analysis
6. Conclusions and Future Works
Author Contributions
Funding
Acknowledgments
Conflicts of Interest
Appendix A
Appendix B


References
- ITU. Techniques for Mitigation of Radio Frequency Interference in Radio Astronomy; ITU: Geneva, Switzerland, 2013; pp. 2126–2131. [Google Scholar]
- Morales-Ferre, R.; Richter, P.; Falletti, E.; de la Fuente, A.; Lohan, E.S. A survey on coping with intentional interference in satellite navigation for manned and unmanned aircraft. IEEE Commun. Surv. Tutor. 2019, 22, 249–291. [Google Scholar] [CrossRef]
- Agrawal, S.; Sharma, A.; Bhatnagar, C.; Chauhan, D. Modelling and Analysis of Emitter Geolocation using Satellite Tool Kit. Def. Sci. J. 2020, 70, 4. [Google Scholar] [CrossRef]
- Zhao, C.; Qin, H.; Li, Z. Doppler Measurements from Multi-Constellations in Opportunistic Navigation. IEEE Trans. Instrum. Meas. 2022, 71, 1–9. [Google Scholar] [CrossRef]
- Elghamrawy, H.; Karaim, M.; Tamazin, M.; Noureldin, A. Experimental evaluation of the impact of different types of jamming signals on commercial gnss receivers. Appl. Sci. 2020, 10, 4240. [Google Scholar] [CrossRef]
- Orolia. GNSS Testing and Simulation Solutions for Space Applications. 2020. Available online: https://www.orolia.com/document/gnss-testing-simulation-solutions-for-space-applications/ (accessed on 8 August 2021).
- Jackson, B.; Wang, S.; Inkol, R. Emitter geolocation estimation using power difference of arrival. Def. R&D Can. Tech. Rep. DRDC Ott. TR 2011, 40, 51. [Google Scholar]
- Elgamoudi, A.; Benzerrouk, H.; Elango, G.A.; Landry, R. A survey for recent techniques and algorithms of geolocation and target tracking in wireless and satellite systems. Appl. Sci. 2021, 11, 6079. [Google Scholar] [CrossRef]
- Cho, J.A.; Na, H.; Kim, S.; Ahn, C. Moving-target tracking based on particle filter with TDOA/FDOA measurements. Etri J. 2012, 34, 260–263. [Google Scholar] [CrossRef]
- Xu, E.; Ding, Z.; Dasgupta, S. Source localization in wireless sensor networks from signal time-of-arrival measurements. IEEE Trans. Signal Process. 2011, 59, 2887–2897. [Google Scholar] [CrossRef]
- Kaune, R. Accuracy studies for TDOA and TOA localization. In Proceedings of the 2012 15th International Conference on Information Fusion, Singapore, 9–12 July 2012; pp. 408–415. [Google Scholar]
- Engel, U. A geolocation method using ToA and FoA measurements. In Proceedings of the 2009 6th Workshop on Positioning, Navigation and Communication, Bremen, Germany, 23–24 October 2009; pp. 77–82. [Google Scholar]
- Cameron, K.J. FDOA-Based Passive Source Localization: A Geometric Perspective. Ph.D. Thesis, Colorado State University, Fort Collins, CO, USA, 2018. [Google Scholar]
- Tzoreff, E.; Bobrovsky, B.Z.; Weiss, A.J. Single receiver emitter geolocation based on signal periodicity with oscillator instability. IEEE Trans. Signal Process. 2014, 62, 1377–1385. [Google Scholar] [CrossRef]
- Yeredor, A.; Angel, E. Joint TDOA and FDOA estimation: A conditional bound and its use for optimally weighted localization. IEEE Trans. Signal Process. 2010, 59, 1612–1623. [Google Scholar] [CrossRef]
- Broumandan, A.; Lin, T.; Nielsen, J.; Lachapelle, G. Practical results of hybrid AOA/TDOA geo-location estimation in CDMA wireless networks. In Proceedings of the 2008 IEEE 68th Vehicular Technology Conference, Calgary, AB, Canada, 21–24 September 2008; pp. 1–5. [Google Scholar]
- Musicki, D.; Kaune, R.; Koch, W. Mobile emitter geolocation and tracking using TDOA and FDOA measurements. IEEE Trans. Signal Process. 2009, 58, 1863–1874. [Google Scholar] [CrossRef]
- Chang, Y.T. Simulation and implementation of an integrated TDOA/AOA monitoring system for preventing broadcast interference. J. Appl. Res. Technol. 2014, 12, 1051–1062. [Google Scholar] [CrossRef][Green Version]
- Deng, B.; Sun, Z.B.; Peng, H.F.; Xiong, J.Y. Source localization using TDOA/FDOA/DFS measurements with erroneous sensor positions. In Proceedings of the 2016 CIE International Conference on Radar (RADAR), Guangzhou, China, 10–13 October 2016; pp. 1–4. [Google Scholar]
- Liu, Z.; Hu, D.; Zhao, Y.; Zhao, Y. An algebraic method for moving source localization using TDOA, FDOA, and differential Doppler rate measurements with receiver location errors. EURASIP J. Adv. Signal Process. 2019, 2019, 25. [Google Scholar] [CrossRef]
- Musicki, D.; Koch, W. Geolocation using TDOA and FDOA measurements. In Proceedings of the 2008 11th International Conference on Information Fusion, Cologne, Germany, 30 June–3 July 2008; pp. 1–8. [Google Scholar]
- Tahat, A.; Kaddoum, G.; Yousefi, S.; Valaee, S.; Gagnon, F. A look at the recent wireless positioning techniques with a focus on algorithms for moving receivers. IEEE Access 2016, 4, 6652–6680. [Google Scholar] [CrossRef]
- Elgamoudi, A.; Shahzad, A.; Landry, R. Contribution to develop a generic hybrid technique of satellite system for RFI geolocation. In Proceedings of the 2017 14th International Bhurban Conference on Applied Sciences and Technology (IBCAST), Islamabad, Pakistan, 10–14 January 2017; pp. 764–771. [Google Scholar]
- Huo, L.; Bai, R.; Jiang, M.; Chen, B.; Chen, J.; Huang, P.; Liao, G. A Tri-Satellite Interference Source Localization Method for Eliminating Mirrored Location. Sensors 2021, 21, 4483. [Google Scholar] [CrossRef]
- Overfield, J.; Biskaduros, Z.; Buehrer, R.M. Geolocation of MIMO signals using the cross ambiguity function and TDOA/FDOA. In Proceedings of the 2012 IEEE International Conference on Communications (ICC), Ottawa, ON, Canada, 10–15 June 2012; pp. 3648–3653. [Google Scholar]
- Wang, Y. Linear least squares localization in sensor networks. Eurasip J. Wirel. Commun. Netw. 2015, 2015, 51. [Google Scholar] [CrossRef]
- Niitsoo, A.; Edelhäußer, T.; Eberlein, E.; Hadaschik, N.; Mutschler, C. A deep learning approach to position estimation from channel impulse responses. Sensors 2019, 19, 1064. [Google Scholar] [CrossRef]
- Shao, H.; Kim, D.; You, K. TDOA/FDOA geolocation with adaptive extended Kalman filter. In Grid and Distributed Computing, Control and Automation; Springer: Berlin/Heidelberg, Germany, 2010; pp. 226–235. [Google Scholar]
- Kim, D.; Ha, J.; You, K. Adaptive extended Kalman filter based geolocation using TDOA/FDOA. Int. J. Control Autom. 2011, 4, 49–58. [Google Scholar]
- Han, S.K.; Ra, W.S.; Park, J.B. Tdoa/fdoa based target tracking with imperfect position and velocity data of distributed moving sensors. Int. J. Control. Autom. Syst. 2017, 15, 1155–1166. [Google Scholar] [CrossRef]
- Deng, B.; Qin, H.; Sun, Z. Linear-correction Extended Kalman Filter for Target Tracking Using TDOA and FDOA Measurements. In Proceedings of the International Conference on Control, Edmonton, AB, Canada, 11–13 October 2017. [Google Scholar]
- Wang, C.L.; Wu, D.S. Decentralized target positioning and tracking based on a weighted extended Kalman filter for wireless sensor networks. Wirel. Netw. 2013, 19, 1915–1931. [Google Scholar] [CrossRef]
- Thrun, S.; Liu, Y.; Koller, D.; Ng, A.Y.; Ghahramani, Z.; Durrant-Whyte, H. Simultaneous localization and mapping with sparse extended information filters. Int. J. Robot. Res. 2004, 23, 693–716. [Google Scholar] [CrossRef]
- Zhang, H.; Zhang, Z. AOA-Based Three-Dimensional Positioning and Tracking Using the Factor Graph Technique. Symmetry 2020, 12, 1400. [Google Scholar] [CrossRef]
- Chen, Y.M.; Tsai, C.L.; Fang, R.W. TDOA/FDOA mobile target localization and tracking with adaptive extended Kalman filter. In Proceedings of the 2017 International Conference on Control, Artificial Intelligence, Robotics & Optimization (ICCAIRO), Prague, Czech Republic, 20–22 May 2017; pp. 202–206. [Google Scholar]
- Benzerrouk, H.; Nebylov, A.; Li, M. Multi-UAV Doppler information fusion for target tracking based on distributed high degrees information filters. Aerospace 2018, 5, 28. [Google Scholar] [CrossRef]
- Zhang, Q.b.; Wang, P.; Chen, Z.h. An improved particle filter for mobile robot localization based on particle swarm optimization. Expert Syst. Appl. 2019, 135, 181–193. [Google Scholar] [CrossRef]
- Li, T.; Corchado, J.M.; Prieto, J. Convergence of distributed flooding and its application for distributed Bayesian filtering. IEEE Trans. Signal Inf. Process. Netw. 2016, 3, 580–591. [Google Scholar] [CrossRef]
- Garcia, R.; Pardal, P.; Kuga, H.; Zanardi, M. Nonlinear filtering for sequential spacecraft attitude estimation with real data: Cubature Kalman Filter, Unscented Kalman Filter and Extended Kalman Filter. Adv. Space Res. 2019, 63, 1038–1050. [Google Scholar] [CrossRef]
- Wang, W.; Chi, K.T.; Wang, S. Generalized Correntropy Sparse Gauss-Hermite Quadrature Filter for Epidemic Tracking on Complex Networks. IEEE Trans. Syst. Man Cybern. Syst. 2021, 1–9. [Google Scholar] [CrossRef]
- Jia, B.; Xin, M.; Cheng, Y. High-degree cubature Kalman filter. Automatica 2013, 49, 510–518. [Google Scholar] [CrossRef]
- Wu, Y.; Wang, P.; Hu, X. Algorithm of Earth-centered Earth-fixed coordinates to geodetic coordinates. IEEE Trans. Aerosp. Electron. Syst. 2003, 39, 1457–1461. [Google Scholar]
- Deng, B.; Yang, L.; Sun, Z.B.; Peng, H.F. Geolocation of a known altitude target using tdoa and GROA in the presence of receiver location uncertainty. Int. J. Antennas Propag. 2016, 2016, 3293418. [Google Scholar] [CrossRef]
- USLP. Orolia Skydel User Manual. 2021. Available online: https://www.orolia.com/document/online-user-manual-skydel-software-defined-gnss-simulator/ (accessed on 8 August 2021).
- Li, Y.; Hao, C.; Li, M.; He, L.; Li, P.; Wan, Q. Moving Target Tracking Using TDOA and FDOA Measurements from Two UAVs with Varying Baseline. J. Phys. 2019, 1169, 012013. [Google Scholar] [CrossRef]
- Jia, B.; Xin, M.; Cheng, Y. Multiple sensor estimation using the sparse Gauss-Hermite quadrature information filter. In Proceedings of the 2012 American Control Conference (ACC), Montreal, QC, Canada, 27–29 June 2012; pp. 5544–5549. [Google Scholar]
- Moss, A. Temporally Adjusted Complex Ambiguity Function Mapping Algorithm for Geolocating Radio Frequency Signals; Technical Report; Naval Postgraduate School: Monterey, CA, USA, 2014. [Google Scholar]
- Wang, D.; Huang, P.; Meng, Z. Coordinated stabilization of tumbling targets using tethered space manipulators. IEEE Trans. Aerosp. Electron. Syst. 2015, 51, 2420–2432. [Google Scholar] [CrossRef]
- Chen, B.; Xing, L.; Liang, J.; Zheng, N.; Principe, J.C. Steady-state mean-square error analysis for adaptive filtering under the maximum correntropy criterion. IEEE Signal Process. Lett. 2014, 21, 880–884. [Google Scholar]
- Gao, B.; Hu, G.; Zhong, Y.; Zhu, X. Cubature rule-based distributed optimal fusion with identification and prediction of kinematic model error for integrated UAV navigation. Aerosp. Sci. Technol. 2021, 109, 106447. [Google Scholar] [CrossRef]
- Mailaender, L. Geolocation bounds for received signal strength (rss) in correlated shadow fading. In Proceedings of the 2011 IEEE Vehicular Technology Conference (VTC Fall), San Francisco, CA, USA, 5–8 September 2011; pp. 1–6. [Google Scholar]
- Elgamoudi, A.; Benzerrouk, H.; Elango, G.A.; Landry, R. Gauss Hermite H∞ Filter for UAV Tracking Using LEO Satellites TDOA/FDOA Measurement—Part I. IEEE Access 2020, 8, 201428–201440. [Google Scholar] [CrossRef]
- Kluge, S.; Reif, K.; Brokate, M. Stochastic stability of the extended Kalman filter with intermittent observations. IEEE Trans. Autom. Control 2010, 55, 514–518. [Google Scholar] [CrossRef]
- Peng, W.; Li, Y.; Fang, Y.; Wu, Y.; Li, Q. Radar chart for estimation performance evaluation. IEEE Access 2019, 7, 113880–113888. [Google Scholar] [CrossRef]
- Wei, Y.; Li, W.; Tang, Q.; Wei, P.; Zhang, H. A Closed-Form Location Algorithm Without Auxiliary Variables for Moving Target in Noncoherent Multiple-Input and Multiple-Output Radar System. IEEE Access 2020, 8, 69496–69508. [Google Scholar] [CrossRef]
- Kim, D.G.; Park, G.H.; Kim, H.N.; Park, J.O.; Park, Y.M.; Shin, W.H. Computationally efficient TDOA/FDOA estimation for unknown communication signals in electronic warfare systems. IEEE Trans. Aerosp. Electron. Syst. 2017, 54, 77–89. [Google Scholar] [CrossRef]
- Lei, G.; Bin, T.; Gang, L. Posterior Cramer-Rao lower bounds for bearing-only tracking. J. Syst. Eng. Electron. 2008, 19, 27–32. [Google Scholar] [CrossRef]




















| No | Ref. [3] | Our Proposed Modelling and Experiment | 
|---|---|---|
| 1 | They have modeled quasi-real geostationary satellite with three antennas as sensors to receive the signal strengths from stationary Earth station as emitter using STK. | We have modeled quasi-real dynamic trajectories of LEO satellites as sensors and Unmanned Aerial Vehicle (UAV) as an emitter using Orolia Skydel simulator. | 
| 2 | They worked to geolocate the stationary emitter using the RSS algorithm. | We worked to geolocate and track a dynamic emitter using Cross Ambiguity Function (CAF) and High-degree Nonlinear Tracking Filters based on TDOA/FDOA. | 
| 3 | They verified the approach performance by increasing latitudes at varying contour widths. | We verified the approach performance based on different measurements of hybrid TDOA/FDOA as well TDOA and FDOA individually. | 
| RMSEs of Algorithm Validation with the Experimental Task | RMSEs of Algorithm Validation with the Theoretical Simulation | |||||
|---|---|---|---|---|---|---|
| Pos. (m) | Vel. (m/s) | (deg/s) | Pos. (m) | Vel. (m/s) | (deg/s) | |
| 3rd Deg CKF | 72.2575 | 43.8975 | 5.7510 | 69.1524 | 40.8675 | 4.2712 | 
| 3rd Deg GHQF | 60.8740 | 38.8890 | 5.2535 | 58.9539 | 36.9493 | 4.2130 | 
| 5th Deg GHQF | 60.0550 | 38.2520 | 5.1500 | 58.6646 | 36.5513 | 4.0128 | 
| Experimental Task | Theoretical Simulation | |||
|---|---|---|---|---|
| Quadrature Points | Execution Time (ms) | Quadrature Points | Execution Time (ms) | |
| 3rd Deg CKF | 10 | 0.95 | 10 | 0.8 | 
| 3rd Deg GHQF | 243 | 17.2 | 243 | 16.1 | 
| 5th Deg GHQF | 3125 | 209.0 | 3125 | 206.0 | 
| Publisher’s Note: MDPI stays neutral with regard to jurisdictional claims in published maps and institutional affiliations. | 
© 2022 by the authors. Licensee MDPI, Basel, Switzerland. This article is an open access article distributed under the terms and conditions of the Creative Commons Attribution (CC BY) license (https://creativecommons.org/licenses/by/4.0/).
Share and Cite
Elgamoudi, A.; Benzerrouk, H.; Elango, G.A.; Landry, R.J. Quasi-Real RFI Source Generation Using Orolia Skydel LEO Satellite Simulator for Accurate Geolocation and Tracking: Modeling and Experimental Analysis. Electronics 2022, 11, 781. https://doi.org/10.3390/electronics11050781
Elgamoudi A, Benzerrouk H, Elango GA, Landry RJ. Quasi-Real RFI Source Generation Using Orolia Skydel LEO Satellite Simulator for Accurate Geolocation and Tracking: Modeling and Experimental Analysis. Electronics. 2022; 11(5):781. https://doi.org/10.3390/electronics11050781
Chicago/Turabian StyleElgamoudi, Abulasad, Hamza Benzerrouk, Ganapathy Arul Elango, and René Jr Landry. 2022. "Quasi-Real RFI Source Generation Using Orolia Skydel LEO Satellite Simulator for Accurate Geolocation and Tracking: Modeling and Experimental Analysis" Electronics 11, no. 5: 781. https://doi.org/10.3390/electronics11050781
APA StyleElgamoudi, A., Benzerrouk, H., Elango, G. A., & Landry, R. J. (2022). Quasi-Real RFI Source Generation Using Orolia Skydel LEO Satellite Simulator for Accurate Geolocation and Tracking: Modeling and Experimental Analysis. Electronics, 11(5), 781. https://doi.org/10.3390/electronics11050781
 
         
                                                


 
       