Degradation Prediction of GaN HEMTs under Hot-Electron Stress Based on ML-TCAD Approach
Abstract
:1. Introduction
2. Flow Diagram for Degradation Prediction
3. Degradation Properties by TCAD
3.1. Structures and Parameter Setting
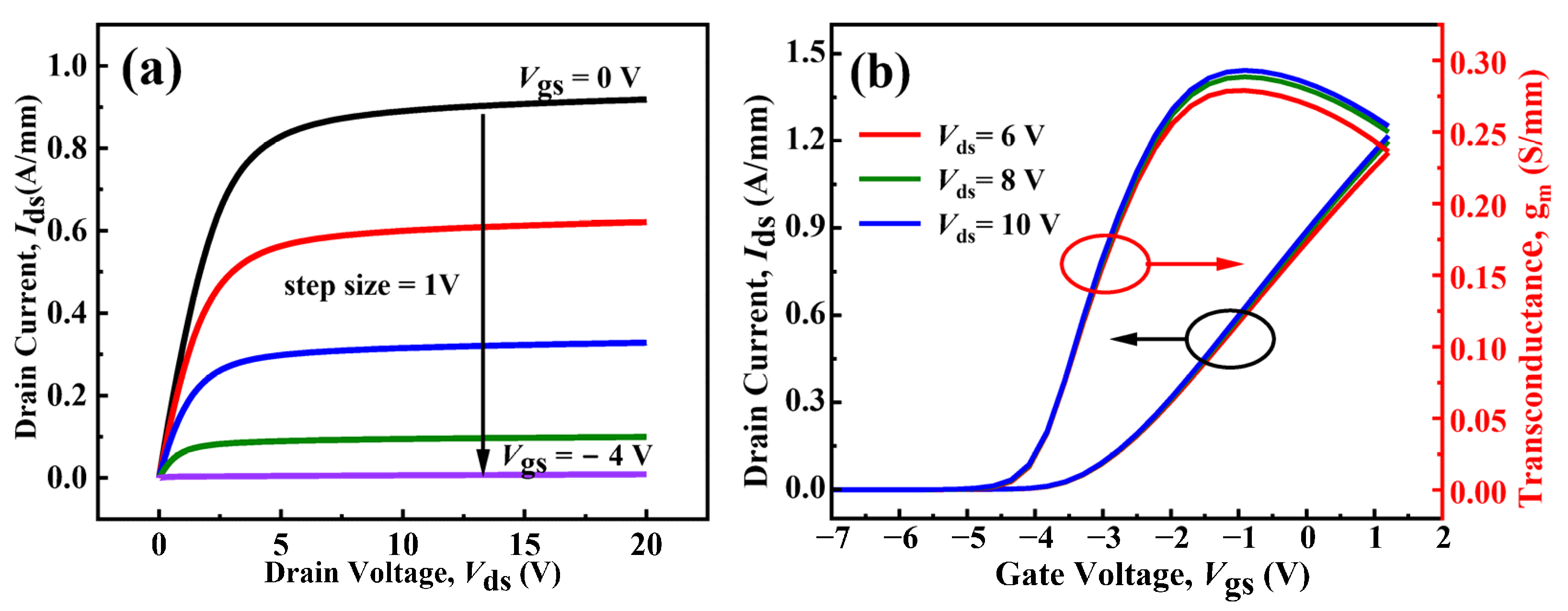
3.2. Degradation Results for GaN HEMTs
4. ML Algorithms for HCI Degradation
5. Results and Discussion
6. Conclusions
Author Contributions
Funding
Acknowledgments
Conflicts of Interest
References
- Sun, R.; Lai, J.; Chen, W.; Zhang, B. GaN Power Integration for High Frequency and High Efficiency Power Applications: A Review. IEEE Access 2020, 8, 15529–15542. [Google Scholar] [CrossRef]
- Chen, K.J.; Haberlen, O.; Lidow, A.; Tsai, C.L.; Ueda, T.; Uemoto, Y.; Wu, Y. GaN-on-Si Power Technology: Devices and Applications. IEEE Trans. Electron Devices 2017, 64, 779–795. [Google Scholar] [CrossRef]
- Oka, T. Recent Development of Vertical GaN Power Devices. Jpn. J. Appl. Phys. 2019, 58, SB0805. [Google Scholar] [CrossRef]
- Chu, R. GaN Power Switches on the Rise: Demonstrated Benefits and Unrealized Potentials. Appl. Phys. Lett. 2020, 116, 090502. [Google Scholar] [CrossRef]
- Gryglewski, D.; Wojtasiak, W.; Kamińska, E.; Piotrowska, A. Characterization of Self-Heating Process in Gan-Based Hemts. Electronics 2020, 9, 1305. [Google Scholar] [CrossRef]
- Meneghini, M.; Stocco, A.; Bertin, M.; Marcon, D.; Chini, A.; Meneghesso, G.; Zanoni, E. Time-Dependent Degradation of AlGaN/GaN High Electron Mobility Transistors under Reverse Bias. Appl. Phys. Lett. 2012, 100, 033505. [Google Scholar] [CrossRef]
- Cai, X.; Du, C.; Sun, Z.; Ye, R.; Liu, H.; Zhang, Y.; Duan, X.; Lu, H. Recent Progress of Physical Failure Analysis of GaN HEMTs. J. Semicond. 2021, 42, 051801. [Google Scholar] [CrossRef]
- Amar, A.; Radi, B.; El Hami, A. Electrothermal Reliability of the High Electron Mobility Transistor (Hemt). Appl. Sci. 2021, 11, 10720. [Google Scholar] [CrossRef]
- Angelotti, A.M.; Gibiino, G.P.; Florian, C.; Santarelli, A. Trapping Dynamics in Gan Hemts for Millimeter-Wave Applications: Measurement-Based Characterization and Technology Comparison. Electronics 2021, 10, 137. [Google Scholar] [CrossRef]
- Sahoo, D.K.; Lal, R.K.; Kim, H.; Tilak, V.; Eastman, L.F. High-Field Effects in Silicon Nitride Passivated GaN MODFETs. IEEE Trans. Electron Devices 2003, 50, 1163–1170. [Google Scholar] [CrossRef]
- Meneghesso, G.; Meneghini, M.; Stocco, A.; Bisi, D.; de Santi, C.; Rossetto, I.; Zanandrea, A.; Rampazzo, F.; Zanoni, E. Degradation of AlGaN/GaN HEMT Devices: Role of Reverse-Bias and Hot Electron Stress. Microelectron. Eng. 2013, 109, 257–261. [Google Scholar] [CrossRef]
- Rao, H.; Bosman, G. Hot-Electron Induced Defect Generation in AlGaN/GaN High Electron Mobility Transistors. Solid. State. Electron. 2013, 79, 11–13. [Google Scholar] [CrossRef]
- Meneghini, M.; Stocco, A.; Silvestri, R.; Meneghesso, G.; Zanoni, E. Degradation of AlGaN/GaN High Electron Mobility Transistors Related to Hot Electrons. Appl. Phys. Lett. 2012, 100, 233508. [Google Scholar] [CrossRef]
- Meneghini, M.; Stocco, A.; Silvestri, R.; Ronchi, N.; Meneghesso, G.; Zanoni, E. Impact of Hot Electrons on the Reliability of AlGaN/GaN High Electron Mobility Transistors. In Proceedings of the 2012 IEEE International Reliability Physics Symposium (IRPS), Anaheim, CA, USA, 15–19 April 2012. [Google Scholar] [CrossRef]
- Bisi, D.; Chini, A.; Soci, F.; Stocco, A.; Meneghini, M.; Pantellini, A.; Nanni, A.; Lanzieri, C.; Gamarra, P.; Lacam, C.; et al. Hot-Electron Degradation of AlGaN/GaN High-Electron Mobility Transistors during RF Operation: Correlation with GaN Buffer Design. IEEE Electron Device Lett. 2015, 36, 1011–1014. [Google Scholar] [CrossRef]
- Ruzzarin, M.; Meneghini, M.; Rossetto, I.; van Hove, M.; Stoffels, S.; Wu, T.L.; Decoutere, S.; Meneghesso, G.; Zanoni, E. Evidence of Hot-Electron Degradation in GaN-Based MIS-HEMTs Submitted to High Temperature Constant Source Current Stress. IEEE Electron Device Lett. 2016, 37, 1415–1417. [Google Scholar] [CrossRef]
- Gao, Z.; Rampazzo, F.; Meneghini, M.; de Santi, C.; Chiocchetta, F.; Marcon, D.; Meneghesso, G.; Zanoni, E. Degradation Mechanism of 0.15 Μm AlGaN/GaN HEMTs: Effects of Hot Electrons. Microelectron. Reliab. 2020, 114, 113905. [Google Scholar] [CrossRef]
- Chen, X.; Boumaiza, S.; Wei, L. Modeling Bias Dependence of Self-Heating in GaN HEMTs Using Two Heat Sources. IEEE Trans. Electron Devices 2020, 67, 3082–3087. [Google Scholar] [CrossRef]
- Valletta, A.; Mussi, V.; Rapisarda, M.; Lucibello, A.; Natali, M.; Peroni, M.; Lanzieri, C.; Fortunato, G.; Mariucci, L. Hybrid Electrothermal Simulations of GaN HEMT Devices Based on Self-Heating Free Virtual Electrical Characteristics. IEEE Trans. Electron Devices 2021, 68, 3740–3747. [Google Scholar] [CrossRef]
- Murugapandiyan, P.; Nirmal, D.; Tanvir Hasan, M.; Varghese, A.; Ajayan, J.; Augustine Fletcher, A.S.; Ramkumar, N. Influence of AlN Passivation on Thermal Performance of AlGaN/GaN High-Electron Mobility Transistors on Sapphire Substrate: A Simulation Study. Mater. Sci. Eng. B Solid State Mater. Adv. Technol. 2021, 273, 115449. [Google Scholar] [CrossRef]
- Minetto, A.; Deutschmann, B.; Modolo, N.; Nardo, A.; Meneghini, M.; Zanoni, E.; Sayadi, L.; Prechtl, G.; Sicre, S.; Haberlen, O. Hot-Electron Effects in AlGaN/GaN HEMTs under Semi-ON DC Stress. IEEE Trans. Electron Devices 2020, 67, 4602–4605. [Google Scholar] [CrossRef]
- Mukherjee, K.; Darracq, F.; Curutchet, A.; Malbert, N.; Labat, N. TCAD Simulation Capabilities towards Gate Leakage Current Analysis of Advanced AlGaN/GaN HEMT Devices. Microelectron. Reliab. 2017, 76–77, 350–356. [Google Scholar] [CrossRef]
- Mishra, S.; Chaturvedi, N. Multi-Output Deep Learning Model for Simultaneous Prediction of Figure of Merits (I on, G m, and v Th) of Gallium Nitride High Electron Mobility Transistors. J. Appl. Phys. 2022, 131, 064901. [Google Scholar] [CrossRef]
- Abubakr, A.; Hassan, A.; Ragab, A.; Yacout, S.; Savaria, Y.; Sawan, M. High-Temperature Modeling of the I-V Characteristics of GaN150 HEMT Using Machine Learning Techniques. In Proceedings of the 2018 IEEE International Symposium on Circuits and Systems (ISCAS), Florence, Italy, 27–30 May 2018. [Google Scholar] [CrossRef]
- Jarndal, A. GaN HEMT Electrothermal Modeling Using Feedback Neural Networks Technique. In Proceedings of the 2019 International Conference on Electrical and Computing Technologies and Applications (ICECTA), Ras Al Khaimah, United Arab Emirates, 19–21 November 2019. [Google Scholar] [CrossRef]
- Vicente, J.G.; Serrano, D.; Vasic, M. Test Bench Setup for Characterization of GaN HEMT. In Proceedings of the 2021 21st International Symposium on Power Electronics (Ee), Novi Sad, Serbia, 27–30 October 2021. [Google Scholar] [CrossRef]
- Khusro, A.; Husain, S.; Hashmi, M.S.; Ansari, A.Q. Small Signal Behavioral Modeling Technique of GaN High Electron Mobility Transistor Using Artificial Neural Network: An Accurate, Fast, and Reliable Approach. Int. J. RF Microw. Comput. Eng. 2020, 30, e22112. [Google Scholar] [CrossRef]
- Wang, Z.; Li, L.; Yao, Y. A Machine Learning-Assisted Model for GaN Ohmic Contacts Regarding the Fabrication Processes. IEEE Trans. Electron Devices 2021, 68, 2212–2219. [Google Scholar] [CrossRef]
- Wu, T.L.; Kutub, S. Bin Machine Learning-Based Statistical Approach to Analyze Process Dependencies on Threshold Voltage in Recessed Gate AlGaN/GaN MIS-HEMTs. IEEE Trans. Electron Devices 2020, 67, 5448–5453. [Google Scholar] [CrossRef]
- Mishra, S.; Gaikwad, B.; Chaturvedi, N. Semi-Supervised Physics Guided Deep Learning Framework for Predicting the I-V Characteristics of GAN HEMT. arXiv 2021, arXiv:2110.10724. [Google Scholar]
- Vigneshwara Raja, P.; Nallatamby, J.C.; DasGupta, N.; DasGupta, A. Trapping Effects on AlGaN/GaN HEMT Characteristics. Solid. State. Electron. 2021, 176, 107929. [Google Scholar] [CrossRef]
- Das, S.; Kumari, V.; Sehra, K.; Gupta, M.; Saxena, M. TCAD Based Investigation of Single Event Transient Effect in Double Channel AlGaN/GaN HEMT. IEEE Trans. Device Mater. Reliab. 2021, 21, 416–423. [Google Scholar] [CrossRef]
- Chaudhuri, R.R.; Joshi, V.; Gupta, S.D.; Shrivastava, M. On the Channel Hot-Electron’s Interaction with C-Doped GaN Buffer and Resultant Gate Degradation in AlGaN/GaN HEMTs. IEEE Trans. Electron Devices 2021, 68, 4869–4876. [Google Scholar] [CrossRef]
- Faqir, M.; Verzellesi, G.; Meneghesso, G.; Zanoni, E.; Fantini, F. Investigation of High-Electric-Field Degradation Effects in AlGaN/GaN HEMTs. IEEE Trans. Electron Devices 2008, 55, 1592–1602. [Google Scholar] [CrossRef]
- Faqir, M.; Bouya, M.; Malbert, N.; Labat, N.; Carisetti, D.; Lambert, B.; Verzellesi, G.; Fantini, F. Analysis of Current Collapse Effect in AlGaN/GaN HEMT: Experiments and Numerical Simulations. Microelectron. Reliab. 2010, 50, 1520–1522. [Google Scholar] [CrossRef]
- Miccoli, C.; Martino, V.C.; Reina, S.; Rinaudo, S. Trapping and Thermal Effects Analysis for AlGaN/GaN HEMTs by Means of TCAD Simulations. IEEE Electron Device Lett. 2013, 34, 1121–1123. [Google Scholar] [CrossRef]
- Zhou, X.; Feng, Z.; Wang, Y.; Gu, G.; Song, X.; Cai, S. Transient Simulation of AlGaN/GaN HEMT Including Trapping and Thermal Effects. In Proceedings of the 2014 12th IEEE International Conference on Solid-State and Integrated Circuit Technology (ICSICT), Guilin, China, 28–31 October 2014. [Google Scholar] [CrossRef]
- Yang, J.; Cui, S.; Ma, T.P.; Hung, T.H.; Nath, D.; Krishnamoorthy, S.; Rajan, S. Determination of Trap Energy Levels in AlGaN/GaN HEMT. In Proceedings of the 71st Device Research Conference, Notre Dame, IN, USA, 23–26 June 2013; pp. 79–80. [Google Scholar] [CrossRef]
- Zhang, W.; Zhang, Y.; Mao, W.; Ma, X.; Zhang, J.; Hao, Y. Influence of the Interface Acceptor-like Traps on the Transient Response of AlGaN/GaN HEMTs. IEEE Electron Device Lett. 2013, 34, 45–47. [Google Scholar] [CrossRef]
- Liu, C.; Chen, Y.Q.; Liu, Y.; Lai, P.; He, Z.Y.; En, Y.F.; Wang, T.Y.; Huang, Y. Effect of Atmosphere on Electrical Characteristics of AlGaN/GaN HEMTs under Hot-Electron Stress. IEEE Trans. Electron Devices 2021, 68, 1000–1005. [Google Scholar] [CrossRef]
- Takeda, E.; Suzuki, N. An Empirical Model for Device Degradation Due to Hot-Carrier Injection. IEEE Electron Device Lett. 1983, 4, 111–113. [Google Scholar] [CrossRef]
- Hu, C.; Tam, S.C.; Hsu, F.C.; Ko, P.K.; Chan, T.Y.; Terrill, K.W. Hot-Electron-Induced MOSFET Degradation—Model, Monitor, and Improvement. IEEE J. Solid State Circuits 1985, 20, 295–305. [Google Scholar] [CrossRef]













| Structure | Thickness (μm) | Doping Concentration (cm−3) |
|---|---|---|
| SiN | 0.05 | — |
| GaN cap | 0.003 | 5 × 1018 |
| AlGaN barrier | 0.02 | 2 × 1018 |
| AlGaN spacer | 0.002 | 1 × 1018 |
| GaN buffer | 2 | 1 × 1018 |
| SiC/Si | 0.001 | — |
| Parameter | Value | Unit |
|---|---|---|
| C1 | 1 × 1012 | - |
| W | 1 | um |
| β | 1.79 | - |
| n | 0.28611 | - |
Publisher’s Note: MDPI stays neutral with regard to jurisdictional claims in published maps and institutional affiliations. |
© 2022 by the authors. Licensee MDPI, Basel, Switzerland. This article is an open access article distributed under the terms and conditions of the Creative Commons Attribution (CC BY) license (https://creativecommons.org/licenses/by/4.0/).
Share and Cite
Wang, K.; Jiang, H.; Liao, Y.; Xu, Y.; Yan, F.; Ji, X. Degradation Prediction of GaN HEMTs under Hot-Electron Stress Based on ML-TCAD Approach. Electronics 2022, 11, 3582. https://doi.org/10.3390/electronics11213582
Wang K, Jiang H, Liao Y, Xu Y, Yan F, Ji X. Degradation Prediction of GaN HEMTs under Hot-Electron Stress Based on ML-TCAD Approach. Electronics. 2022; 11(21):3582. https://doi.org/10.3390/electronics11213582
Chicago/Turabian StyleWang, Ke, Haodong Jiang, Yiming Liao, Yue Xu, Feng Yan, and Xiaoli Ji. 2022. "Degradation Prediction of GaN HEMTs under Hot-Electron Stress Based on ML-TCAD Approach" Electronics 11, no. 21: 3582. https://doi.org/10.3390/electronics11213582
APA StyleWang, K., Jiang, H., Liao, Y., Xu, Y., Yan, F., & Ji, X. (2022). Degradation Prediction of GaN HEMTs under Hot-Electron Stress Based on ML-TCAD Approach. Electronics, 11(21), 3582. https://doi.org/10.3390/electronics11213582

