Abstract
A novel filtering magic-T (FMT) with a compact size, a broad bandwidth, and a wide stopband rejection based on the dielectric-covered L-shaped groove (DCLSG) half-mode substrate integrated waveguide and the spoof surface plasmon polariton (HMSIW-SSPP) structure is proposed for the first time. A HMSIW magic-T (HMT) based on dual-layer substrates is first designed. Then, we construct the proposed FMT by periodically etching the subwavelength DCLSG SSPP structure into the HMT. The proposed FMT achieves a bandpass filtering response and a nearly 50% reduction of longitudinal dimension attributed to the bandpass characteristics and strong slow-wave property of the DCLSG HMSIW-SSPP structure. In addition, beneficial from the regulable cut-off frequencies of the DCLSG HMSIW-SSPP structure, the proposed FMT provides a wide impedance bandwidth and independently adjustable lower and upper cut-off frequencies of the passband. Finally, a prototype of the proposed FMT is fabricated to validate this design idea. The measured results illustrate that the FMT has a 3-dB fractional bandwidth of 40.23% and a 20-dB stopband rejection up to 2.12 f0 (f0: center frequency of the passband).
1. Introduction
The Magic-T is the vital four-port passive component in the RF front-end system. It has been used in various scenarios, such as mixer and monopulse antennas [1,2,3]. For a magic-T, the input port of the structure that operates as the power divider (PD) is named the sum port, while the input port of the structure that acts as the reverse-phase PD (balun) is called the difference port. Owing to the substrate integrated waveguide (SIW) with the advantages of easy integration with planar structures, high power capacity, and low insertion loss, researchers present multiple SIW and half mode SIW (HMSIW) magic-Ts by using slotline-to-SIW transition [4,5] and stripline-to-SIW transition techniques [6]. However, these SIW magic-Ts do not integrate with bandpass filters (BPFs), so it is hard to exclude unwanted signals. Since the direct link between the BPF and magic-T increases the footprint and the insertion loss [7], researchers propose filtering magic-T (FMT) by integrating magic-T and BPF into one joint-function component. To date, there are mainly two popular approaches to designing the SIW FMTs [8,9,10,11,12,13,14].
One approach is to use orthogonal degenerate modes of the SIW resonators to accomplish the input ports’ isolations and the functions of filtering PD and balun [8,9,10,11]. Another approach is to design the two output channels of the filtering balun (PD) with opposite coupling coefficients while maintaining that of the filtering PD (balun) with identical coupling coefficients [12,13,14]. Nevertheless, the above papers have not discussed or optimized the stopband performance of the SIW FMTs, while the wide stopband rejection is often necessary for microwave devices with filtering functions. Although researchers propose a frequency-tunable FMT using HMSIW evanescent-mode (EVA) cavity resonators [15], whose stopband rejection achieves 10.2 f0 (f0: center frequency of the passband), it operates at a relatively low frequency, and its insertion loss needs to improve. In addition, all the FMTs in [8,9,10,11,12,13,14,15] can only provide a fractional bandwidth (FBW) smaller than 8.62%, which is not appropriate for wideband applications. Moreover, using high-order resonators to meet wideband applications may lead to a large size [16]. A recent study in [17], reports an FMT based on hybrid SIW and coplanar waveguide (CPW) resonators to implement the compactness and 3rd-order filtering response, but its FBW is just 7.58%. Thus, designing a SIW FMT with compact size, wide bandwidth, and wide stopband rejection remains a challenge.
In recent years, spoof surface plasmon polaritons (SSPPs) have been proven to be a valuable technique in the designs of passive microwave devices, attributing to its merits of a slow-wave (SW) characteristic and strong field confinement [18,19,20,21,22]. These things considered, various filtering devices, including BPFs [23,24], dual-band BPFs [25,26], filtering power dividers [27,28], and diplexers [29,30], have been proposed by combining the high-pass property of SIW (or HMSIW) and the low-pass property of SSPP structure. Nevertheless, to the best of the authors’ knowledge, the FMT based on the hybrid SIW and SSPP (SIW-SSPP) or HMSIW-SSPP structure has not been explored.
This paper proposes a novel FMT with a compact size, a wide bandwidth, and a wide stopband rejection using the dielectric-covered L-shaped groove (DCLSG) HMSIW-SSPP structure for the first time. The dispersion properties of the DCLSG HMSIW-SSPP unit cell are investigated first. Then, an HMSIW magic-T (HMT) based on dual-layer substrates is designed. Finally, we create the proposed FMT by periodically inserting the subwavelength DCLSG SSPP structure into the HMT. The DCLSG HMSIW-SSPP unit cell with gradient groove length is utilized to realize the momentum matching and mode conversion from the HMSIW to the required HMSIW-SSPP structure. The numerical simulations are conducted using the CST Microwave Studio [31].
The paper is organized as follows. In Section 2, the dispersion properties of the DCLSG HMSIW-SSPP unit cell are investigated. The detailed design procedures of the HMT and FMT are presented in Section 3 and Section 4, respectively. The experimental results of the proposed FMT are discussed in Section 5. Section 6 gives the conclusions.
2. Dispersion Characteristics Analysis of Unit Cells
Figure 1a illustrates the configuration of the SIW, which consists of two copper layers (yellow part) and one dielectric layer (pink part). Two rows of vias connect the lower and upper copper layers. Figure 1b is the structure of the HMSIW, whose lateral size reduces by 50% compared to the SIW. Its lateral width is w = 6.4 mm. Figure 1c shows the configuration of the DCLSG SSPP unit cell. It is composed of two copper layers and two dielectric layers. The L-shape groove is inserted into the upper copper layer. The groove’s lateral and longitudinal lengths are denoted as h and hl, respectively, and the groove’s width is denoted as g. Combining the DCLSG SSPP unit cell with the HMSIW, we obtain the proposed DCLSG HMSIW-SSPP unit cell, as illustrated in Figure 1d. The thickness of the copper layer is t0 = 0.018 mm. The dielectric layer is selected as the Rogers 4350B substrate (εr = 3.48 and tanδ = 0.004) with a thickness of h0 = 0.508 mm. The detailed dimensions of the four models are given in Figure 1.
Figure 1.
Configurations of (a) SIW, (b) HMSIW, (c) DCLSG SSPP unit cell, and (d) DCLSG HMSIW-SSPP unit cell. The detailed dimensions are d = 0.6 mm, s = 0.9 mm, w = 6.4 mm, h = 2.94 mm, hl = 1 mm, g = 0.4 mm, p = 2 mm, t0 = 0.018 mm, and h0 = 0.508 mm.
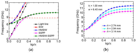
The dispersion curves of the models in Figure 1 are compared and plotted in Figure 2a, which are calculated using the eigenmode solver in CST Microwave Studio. The light’s dispersion curve is also plotted in Figure 2a. As shown in Figure 2a, the lower cut-off frequencies of the HMSIW and SIW are approximately equal and exhibit high-pass properties. The DCLSG SSPP structure operates in the SW region and enables low-pass characteristics. The DCLSG HMSIW-SSPP structure features dispersion properties of both the HMSIW and SSPP structures. It provides a bandpass property with a lower frequency (6.3 GHz) and an upper cut-off frequency (10.91 GHz), which offers theoretical support to the implementation of bandpass filtering devices. As illustrated by the red dash curve in Figure 2a, the normalized propagation constant of the DCLSG HMSIW-SSPP structure is larger than two times that of HMSIW at 8.7 GHz, which means that the proposed DCLSG HMSIW-SSPP structure has a >50% size reduction.

Figure 2.
Simulated dispersion curves of (a) SIW, HMSIW, SSPP unit cell, and HMSIW-SSPP unit cell, (b) HMSIW-SSPP unit cell with different lateral groove length h, (c) HMSIW-SSPP unit cell with different longitudinal groove length hl, and (d) HMSIW-SSPP unit cell with different width w.
Figure 2b,c illustrate the impacts of the transverse groove length (h) and longitudinal groove length (hl) on the cut-off frequencies of the DCLSG HMSIW-SSPP structure. As the h (hl) increases from 2.74 mm (0.9 mm) to 3.14 mm (1.1 mm), the upper cut-off frequency decreases from 11.55 GHz (11.20 GHz) to 10.36 GHz (10.59 GHz), while the lower one is almost unchanged, remaining at around 6.3 GHz (6.3 GHz). Figure 2d demonstrates the dispersion curves of the DCLSG HMSIW-SSPP unit cell versus diverse values of w. As w increases from 5.9 to 6.9 mm, the lower cut-off frequency decreases from 6.82 to 5.86 GHz, while the upper one keeps almost constant, remaining at around 10.9 GHz. Thus, we can independently regulate the lower and upper cut-off frequencies of the DCLSG HMSIW-SSPP structure by altering its geometric dimensions, which offers the feasibility of designing the bandpass filtering device with an independently controllable wide bandwidth.
3. Design of HMT
Figure 3a,b show that we first designed an HMT based on dual-layer Rogers 4350B substrates and three copper layers. In this design, Port 4 on substrate 2 is served as the sum port and excites SIW through the tapered microstrip line (ML). Then, the longitudinal slot with a width of g1 = 1.8 mm divides the SIW into two symmetrical HMSIWs. The tapered MLs with a length of l2 realize the mode and impedance transition from the HMSIWs to the output uniform MLs ports. Figure 3c shows the simulated S-parameters of the sum port driven. It exhibits a high-pass transmission response from 6.9 to 10.5 GHz, and the |S24| is approximately equal to the |S34|. Figure 3d is the simulated phases of the S24 and S34, showing a maximum phase difference of 2.4° between Ports 2 and 3 within 6 to 10.5 GHz. Thus, the function of PD is achieved.

Figure 3.
Configurations and simulated results of HMT. (a) Exploded view. (b) Top view (Substrate 1 is set as transparent to show intuitively). (c) S-parameters of sum port driven. (d) The phase of sum port driven. (e) S-parameters of difference port driven. (f) The phase of difference port driven. The detailed dimensions are w1 = 3 mm, l1 = 5.82 mm, d2 = 2 mm, d1 = 2.8 mm, g0 = 1.2 mm, p0 = 4.31 mm, g1 = 1.8 mm, g2 = 1.16 mm, w = 6.4 mm, w2 = 4 mm, l2 = 12.5 mm, l3 = 7.9 mm, and w0 = 1.1 mm.
Port 1 on substrate 1 is served as the difference port and excites symmetric HMSIWs through the slot coupling. Herein, the width of the slot under Port 1′s feed line is reduced to g0 = 1.2 mm, which improves the impedance matching of input and the isolation between the sum and difference ports. Substrate 1 is extended along the x-axis direction to cover the HMSIW parts. Figure 3e shows the simulated S-parameters of the difference port driven. It achieves the high-pass transmission response from 6.85 to 10.5 GHz, and the input power is equally divided at Ports 2 and 3. Figure 3f illustrates the simulated phases of the S21 and S31, which demonstrate that Ports 2 and 3 achieve a maximum phase difference of 181.6° from 6 to 10.5 GHz. Therefore, the balun function is obtained. The structures in the HMT served as the PD and balun functions share the output ports. Moreover, the results in Figure 3d,f indicate that the fields excited by the sum and difference ports possess different symmetry, which enables the natural physical isolation between the sum and difference ports [32].
Herein, we introduce two perturbation vias to enhance the reflection performance of the difference and sum ports. The diameter of the perturbation via is 0.6 mm. Figure 4 shows the simulated S-parameters of the HMT with or without perturbation vias. The lower end of the |S11| at 7.8 GHz decreases from −12.16 to −19.22 dB, and that of |S44| reduces from −13.90 to −28.85 dB, indicating the perturbation vias can effectively enhance the reflection performance of the HMT’s two input ports. The role of the perturbation vias is equivalent to the narrow-to-wide SIW transition in [33]. The perturbation vias reduce the width of the HMSIW, raising the lower cut-off frequency of the HMT’s passband. In addition, the widths of input and output MLs in the HMT are set as 1.1 mm (corresponding to the characteristic impedance of 50 Ω), which facilitates connecting with the SMA connectors to test.
Figure 4.
Simulated S-parameters of HMT with or without perturbation vias. (a) Difference port is driven. (b) Sum port is driven.
4. Design of FMT
As shown in Figure 5, the proposed FMT is constructed by symmetrically inserting the subwavelength DCLSG SSPP structures into each branch of HMT’s HMSIWs without altering other dimensions. The proposed FMT’s structural parameters are given in Figure 5. The HMSIW-SSPP structures in the proposed FMT are mainly divided into three parts.
Figure 5.
Configurations of FMT. The detailed dimensions are h = 2.94 mm, hl = 1 mm, h1 = 0.77 mm, h2 = 1.55 mm, h3 = 2.50 mm, h4 = 2.42 mm, h5 = 1.58 mm, and h6 = 0.77 mm.
Part I consists of three HMSIW-SSPP unit cells (M1, M2, and M3) with different groove lengths. Part II comprises two identical HMSIW-SSPP unit cells (M4) whose dimensions are identical to that in Figure 1a. The role of Part I is to implement the mode conversion and momentum matching from the HMSIW to the HMSIW-SSPP structures in Part II. Its operating principle can be explicated by the matching theory [34]. The dispersion curves of the HMSIW and the HMSIW-SSPP unit cells in Part I and Part II are analyzed and portrayed in Figure 6. As the unit cell changes from M1 to M3, the dispersion curve of the HMSIW-SSPP unit cell is far away from the HMSIW and approximates the unit cell M4. Thus, good momentum matching is achieved. Part II can determine the desired passband with lower and upper cut-off frequencies. The role of Part III is inverse to that of Part I. Figure 7 illustrates the simulated S-parameters of the proposed FMT. The 3-dB FBW of the difference port driven is 36.44% (7.07–10.22 GHz), and that of the sum port driven is 35.16% (7.15–10.20 GHz). Thus, a wideband FMT based on the HMSIW-SSPP structure is obtained.
Figure 6.
Dispersion curves of HMSIW and HMSIW-SSPP unit cells in Part I and Part II.
Figure 7.
Simulated S-parameters of the proposed FMT. (a) The difference port is driven. (b) The sum port is driven.
Figure 8 demonstrates the simulated S-parameters of the proposed FMT under the impacts of geometric parameters h, hl, and w in Part II. Owing to the structural symmetry between Ports 2 and 3, we only give the simulated results of S21 and S24. As illustrated in Figure 8a–d, as the h (hl) increases from 2.74 mm (0.9 mm) to 3.14 mm (1.1 mm), the upper cut-off frequency of the |S21| decreases from 10.75 GHz (10.47 GHz) to 9.64 GHz (9.95 GHz) and that of the |S24| decreases from 10.85 GHz (10.44 GHz) to 9.61 GHz (9.93 GHz). However, the lower cut-off frequencies of the |S21| and |S24| remain unchanged. As illustrated in Figure 8e,f, as the w increases from 5.9 to 6.9 mm, the lower cut-off frequency of the |S21| (|S24|) decreases from 7.62 GHz (7.68 GHz) to 6.6 GHz (6.74 GHz). Nevertheless, the lower cut-off frequencies of the |S21| and |S24| are almost unchanged. The rule of the simulated S-parameters affected by h, hl, and w coincides well with the dispersion analysis in Figure 2b–d. Thus, we can independently control the lower and upper cut-off frequencies of the proposed FMT’s passband by tuning several structural parameters.

Figure 8.
Passband controllability analysis of the FMT. (a) |S11| and |S21| with different values of h. (b) |S44| and |S24| with varying values of h. (c) |S11| and |S21| with different values of hl. (d) |S44| and |S24| with varying values of hl. (e) |S11| and |S21| with different values of w. (f) |S44| and |S24| with varying values of w.
Figure 9a,b demonstrate the configures of proposed FMT with three and four HMSIW-SSPP unit cells in Part II, respectively. The perturbation vias are located in the middle of Part II. Their simulated S-parameters of difference and sum ports driven are shown in Figure 10a,b, respectively. The increase of the unit cells in Part II slightly improves the selectivity and bandwidth of the FMT.
Figure 9.
Configurations of the proposed FMT with (a) three-unit cells in Part II and (b) four-unit cells in Part II.
Figure 10.
Simulated S-parameters of the proposed FMT with different unit cells in Part II of (a) difference port driven and (b) sum port driven.
5. Measurement and Discussion
To validate the above analysis, the FMT prototype with two-unit cells in Part II is fabricated, and its photograph is displayed in Figure 11. Its dual-layer substrates are fabricated separately using the printed circuit board (PCB) process. Then, seven screws are utilized to fix the dual-layer substrates. The SMA connectors are welded to the four MLs ports before testing by the Agilent Technologies E8363B network analyzer. Figure 12a illustrates the simulated and measured S-parameters of the difference port driven. It exhibits a measured 3-dB FBW of 40.23% from 6.95 to 10.45 GHz. In the passband, the measured minimum insertion loss (IL) is 1.09 dB (excluding intrinsic 3 dB loss of the balun), and the measured return loss (RL) is higher than 11.35 dB. In addition, its measured 20-dB stopband rejection reaches 2.12 f0.
Figure 11.
Photograph of the proposed HMSIW-SSPP FMT.

Figure 12.
Simulated and measured results of the FMT. (a) |S11|,|S21|, and |S31|. (b) |S44|,|S24|, and |S34|.
The simulated and measured S-parameters of the sum port driven are demonstrated in Figure 12b. As can be observed, it exhibits a 3-dB FBW of 38.96% from 7.11 to 10.55 GHz, a minimum IL of 1.27 dB (excluding the 3-dB PD loss), and an RL of better than 15.01 dB. It produces a wide stopband rejection of 20 dB up to 2.08 f0. The measured 3-dB FBW of the sum and difference ports driven are wider than their simulated ones, which are mainly caused by the air gap between the two layers of PCBs from machining and assembling tolerance. Although three resonances at 11.78, 14.2, and 17.36 GHz and two resonances at 13.15 and 17.09 GHz are observed in the stopband of the difference and sum ports driven, respectively, which radiate power to the space, their bandwidth is very narrow. They hardly affect the overall stopband performance of the FMT.
The isolation performances of the FMT are shown in Figure 13. In the operating band, the measured isolation between Ports 2 and 3 is >15.87 dB, and that between Ports 1 and 4 is >27.17 dB. Moreover, the FMT’s simulated and measured balance performances are demonstrated in Figure 14. When the sum port is driven, the measured worst amplitude imbalance (AI) and phase imbalance (PI) between Ports 2 and 3 are 0.25 dB and 3.5°, respectively. When the difference port is driven, the measured worst AI and PI between Ports 2 and 3 are 0.39 dB and 4.7°, respectively. The measured performance is in good consistency with the simulated ones.
Figure 13.
Simulated and measured isolation performances of the proposed FMT.
Figure 14.
Simulated and measured balance performances of the FMT. (a) Amplitude imbalance. (b) Phase difference.
Figure 15a,b show the simulated electric-field distributions of the proposed FMT at various frequencies. When the difference port is driven, the two-channel reverse-phase signals equally transmit to Ports 2 and 3 at 8.7 GHz because it operates within the dual cut-off frequencies of the HMSIW-SSPP’s passband. The signals at 5.4 GHz and 11 GHz are prohibited since they are below the HMSIW-SSPP’s lower cut-off frequency and above the HMSIW-SSPP’s upper one, respectively. On the other hand, the two-channel in-phase signals are efficiently guided to the output ports in the passband (8.7 GHz) when the sum port is driven. However, the signals operating at the out-of-band, such as 5.4 and 11 GHz, are blocked gradually. The simulated electric-field distributions in Figure 15a,b exhibit a good consistency with the simulated S-parameters of the FMT shown in Figure 7. Moreover, the simulated electric-field distributions of the HMT at 8.7 GHz are plotted in Figure 16a,b. At 8.7 GHz, the FMT achieves a nearly 50% longitudinal size reduction and higher electric-field constraints than the HMT, which verifies the propagation constant’s properties of the HMSIW and DCLSG HMSIW-SSPP structure described in Figure 2a.
Figure 15.
Simulated z-component electric-field distributions of the proposed FMT on the plane of z = 0.526 mm. (a) The difference port is driven. (b) The sum port is driven.
Figure 16.
Simulated z-component electric-field distributions of the HMT on the plane of z = 0.526 mm. (a) The difference port is driven. (b) The sum port is driven.
Table 1 compares our design with other reported SIW magic-Ts and FMTs. Compared to the designs in [4,5], the proposed FMT realizes bandpass filtering response and miniaturization attributed to the bandpass characteristic and SW effect of the HMSIW-SSPP structure, and we can easily control the upper and lower cut-off frequencies of the passband by altering the structural parameters. Moreover, compared to the reported state-of-the-art FMT based on SIW technology [8,9,10,12,13,14,17], our proposed FMT exhibits the unique advantages of the wide operating bandwidth and wide stopband performance while maintaining a relatively compact size.
Table 1.
Comparisons with previously reported SIW magic-Ts and FMTs.
6. Conclusions
This paper proposes a novel FMT based on the DCLSG HMSIW-SSPP structure for the first time. First, the dispersion properties of the DCLSG HMSIW-SSPP unit cell were investigated. The results show that the DCLSG HMSIW-SSPP structure has a >50% size reduction than HMSIW and we can independently regulate its lower and upper cut-off frequencies by changing structural dimensions. Then, an HMT based on dual-layer substrates was designed, and the proposed FMT was constructed by inserting the DCLSG SSPP structures into the HMT. The proposed FMT exhibits independently adjustable lower and upper cut-off frequencies of the passband. Finally, a prototype of the proposed FMT was fabricated to verify this design idea. The experimental results are in good consistency with the simulated ones. Compared with SIW magic-Ts in [4,5] and FMTs in [8,9,10,12,13,14,17], this design achieves the superiorities of compactness, wide filtering bandwidth, wide stopband rejection, and ease to design. It could be a capable candidate for future wireless communication systems.
Author Contributions
Conceptualization, H.L. and B.X.; methodology, H.L.; software, H.L.; validation, H.L. and B.X.; formal analysis, H.L.; investigation, H.L. and J.X.; writing—original draft preparation, H.L.; writing—review and editing, B.X. and J.X.; supervision, J.X. All authors have read and agreed to the published version of the manuscript.
Funding
This research received no external funding.
Data Availability Statement
The details data of this study are included in this article.
Conflicts of Interest
The authors declare no conflict of interest.
References
- He, F.F.; Wu, K.; Hong, W.; Han, L.; Chen, X. A planar magic-T structure using substrate integrated circuits concept and its mixer applications. IEEE Trans. Microw. Theory Tech. 2011, 59, 72–79. [Google Scholar] [CrossRef]
- Nagaraju, D.; Verma, Y.K. A compact wideband planar magic tee for monopulse antenna array applications. IEEE Microw. Wirel. Compon. Lett. 2021, 31, 429–432. [Google Scholar] [CrossRef]
- Huang, G.-L.; Zhou, S.-G.; Chio, T.-H. Highly-Efficient Self-Compact Monopulse Antenna System with Integrated Comparator Network for RF Industrial Applications. IEEE Trans. Ind. Electron. 2017, 64, 674–681. [Google Scholar] [CrossRef]
- He, F.F.; Wu, K.; Hong, W.; Tang, H.J.; Zhu, H.B.; Chen, J.X. A Planar Magic-T Using Substrate Integrated Circuits Concept. IEEE Microw. Wireless Compon. Lett. 2008, 18, 386–388. [Google Scholar]
- Feng, W.; Che, W.; Deng, K. Compact Planar Magic-T Using E-Plane Substrate Integrated Waveguide (SIW) Power Divider and Slotline Transition. IEEE Microw. Wireless Compon. Lett. 2010, 20, 331–333. [Google Scholar] [CrossRef]
- Zhu, F.; Hong, W.; Chen, J.-X.; Wu, K. Design and Implementation of a Broadband Substrate Integrated Waveguide Magic-T. IEEE Microw. Wireless Compon. Lett. 2012, 22, 630–632. [Google Scholar] [CrossRef]
- Mansouree, M.; Yahaghi, A. Planar Magic-Tee Using Substrate Integrated Waveguide Based on Mode-Conversion Technique. IEEE Microw. Wireless Compon. Lett. 2016, 26, 307–309. [Google Scholar] [CrossRef]
- Shen, T.-M.; Huang, T.-Y.; Chen, C.-F.; Wu, R.-B. A Laminated Waveguide Magic-T with Bandpass Filter Response in Multilayer LTCC. IEEE Trans. Microw. Theory Tech. 2011, 59, 584–592. [Google Scholar] [CrossRef]
- Li, P.; Chu, H.; Chen, R.S. SIW magic-T with bandpass response. Electron. Lett. 2015, 51, 1078–1080. [Google Scholar]
- Li, H.-Y.; Xu, J.-X.; Zhang, X.Y. Substrate Integrated Waveguide Filtering Rat-Race Coupler Based on Orthogonal Degenerate Modes. IEEE Trans. Microw. Theory Tech. 2019, 67, 140–150. [Google Scholar] [CrossRef]
- Zhang, G.; Zheng, J.; Zhang, X.Y.; Yang, H.; Tang, W.; Yang, J. Dual-Band Balanced to Unbalanced Multilayer Filtering Magic-T Based on SIW Cavity. IEEE Microw. Wireless Compon. Lett. 2022, 32, 387–390. [Google Scholar]
- Cheng, Y.J.; Fan, Y. Compact substrate-integrated waveguide bandpass rat-race coupler and its microwave applications. IET Microw. Antennas Propag. 2012, 6, 1000–1006. [Google Scholar] [CrossRef]
- Rosenberg, U.; Salehi, M.; Bornemann, J.; Mehrshahi, E. A Novel Frequency-Selective Power Combiner/Divider in Single-Layer Substrate Integrated Waveguide Technology. IEEE Microw. Wireless Compon. Lett. 2013, 23, 406–408. [Google Scholar] [CrossRef]
- Zhang, Z.G.; Cheng, Y.J.; Fan, Y.; Zhang, Y.H. Compact substrate integrated waveguide rat-race filtering couplers with arbitrary angular interval between ports. Int. J. RF Microw. Comput.-Aided Eng. 2020, 30, e22168. [Google Scholar] [CrossRef]
- Hagag, M.F.; Khater, M.A.; Sinanis, M.D.; Peroulis, D. Ultra-Compact Tunable Filtering Rat-Race Coupler Based on Half-Mode SIW Evanescent-Mode Cavity Resonators. IEEE Trans. Microw. Theory Tech. 2018, 66, 5563–5572. [Google Scholar]
- Hao, Z.-C.; Ding, W.-Q.; Huo, X.-P. A wideband high selectivity filtering balun. Microw. Opt. Technol. Lett. 2015, 57, 1107–1110. [Google Scholar] [CrossRef]
- Wang, X.; Zong, Z.-Y.; Wu, W. Miniaturized filtering rat-race coupler based on hybrid circular substrate integrated waveguide and coplanar waveguide resonators. Int. J. RF Microw. Comput.-Aided Eng. 2022, 32, e22985. [Google Scholar]
- Shen, S.; Xue, B.; Yu, M.; Xu, J. A Novel Three-Dimensional Integrated Spoof Surface Plasmon Polaritons Transmission Line. IEEE Access 2019, 7, 26900–26908. [Google Scholar] [CrossRef]
- Xu, K.-D.; Zhang, F.; Guo, Y.; Ye, L.; Liu, Y. Spoof Surface Plasmon Polaritons Based on Balanced Coplanar Stripline Waveguides. IEEE Photon. Technol. Lett. 2020, 32, 55–58. [Google Scholar]
- Xu, K.-D.; Guo, Y.-J.; Yang, Q.; Zhang, Y.-L.; Deng, X.; Zhang, A.; Chen, Q. On-Chip GaAs-Based Spoof Surface Plasmon Polaritons at Millimeter-Wave Regime. IEEE Photon. Technol. Lett. 2021, 33, 255–258. [Google Scholar]
- Wang, Z.; Feng, H.; Yang, X.; Xu, X.; Zheng, Y.; Ye, L. A Windmill-Shaped SSPP Waveguide for High-Efficiency Microwave and Terahertz Propagation. Electronics 2022, 11, 1293. [Google Scholar]
- Liu, L.; Liu, Y.; Jin, X.; Li, Z.; Tian, Y. A Broad Dual-Band Bandpass Filter Design Based on Double-Layered Spoof Surface Plasmon Polaritons. Electronics 2022, 11, 697. [Google Scholar]
- Chen, P.; Li, L.; Yang, K.; Chen, Q. Hybrid Spoof Surface Plasmon Polariton and Substrate Integrated Waveguide Broadband Bandpass Filter with Wide Out-of-Band Rejection. IEEE Microw. Wireless Compon. Lett. 2018, 28, 984–986. [Google Scholar]
- Tan, L.; Xu, K.; Liu, Y.; Guo, Y.; Cui, J. Spoof Surface Plasmon Polaritons Developed from SIW Using Ring Slots and Vias. Electronics 2021, 10, 1978. [Google Scholar]
- Yang, Z.-B.; Guan, D.-F.; Zhang, Q.; You, P.; Hou, X.-X.; Xu, S.-D.; Yong, S.-W. A hybrid substrate-integrated waveguide and spoof surface plasmon-polariton one-layer dual bandpass filter formed by resonant tunneling effect. Appl. Phys. Express 2018, 11, 114101. [Google Scholar]
- Lin, Y.; Xiao, B.; Li, X. Dual bandpass filter based on spoof surface plasmon polaritons and half-mode substrate integrated waveguide. Opt. Quantum Electron. 2022, 54, 12. [Google Scholar]
- Pan, B.C.; Yu, P.; Liao, Z.; Zhu, F.; Luo, G.Q. A Compact Filtering Power Divider Based on Spoof Surface Plasmon Polaritons and Substrate Integrated Waveguide. IEEE Microw. Wireless Compon. Lett. 2022, 32, 101–104. [Google Scholar]
- Moznebi, A.-R.; Afrooz, K. Bandwidth enhancement of a half-mode substrate integrated waveguide filtering power divider using spoof surface plasmon polariton. J. Phys. D Appl. Phys. 2021, 55, 025103. [Google Scholar] [CrossRef]
- Cui, Y.; Xu, K.-D.; Guo, Y.-J.; Chen, Q. Half-mode substrate integrated plasmonic waveguide for filter and diplexer designs. J. Phys. D Appl. Phys. 2022, 55, 125104. [Google Scholar]
- Soleimani, S.; Mirhadi, S.; Komjani, N. Design of a broadband diplexer based on substrate integrated plasmonic waveguide. Int. J. RF Microw. Comput.-Aided Eng. 2021, 31, e22854. [Google Scholar]
- CST Microwave Studio. CST Corp.: Darmstadt, Germany. Available online: www.cst.com (accessed on 28 July 2022).
- Yang, Z.-B.; Guan, D.; Zhang, Q.; Xu, H.; Lin, M.; Zhang, X.; Hong, R.; Yong, S.-W. Mode Composite Waveguide Based on Hybrid Substrate Integrated Waveguide and Spoof Surface Plasmon Polariton Structure. IEEE Trans. Circuits Syst. I Regul. Pap. 2021, 68, 1472–1480. [Google Scholar] [CrossRef]
- Hao, Z.C.; Kong, F.F. Developing high performance Q-band planar filters using the multilayered substrate integrated waveguide technique. Microw. Opt. Technol. Lett. 2017, 59, 698–703. [Google Scholar] [CrossRef]
- Zhang, D.; Zhang, K.; Wu, Q.; Jiang, T. A Compact Wideband Filter Based on Spoof Surface Plasmon Polaritons with a Wide Upper Rejection Band. IEEE Photon. Technol. Lett. 2020, 32, 1511–1514. [Google Scholar] [CrossRef]
Publisher’s Note: MDPI stays neutral with regard to jurisdictional claims in published maps and institutional affiliations. |
© 2022 by the authors. Licensee MDPI, Basel, Switzerland. This article is an open access article distributed under the terms and conditions of the Creative Commons Attribution (CC BY) license (https://creativecommons.org/licenses/by/4.0/).