Full-Duplex MAC Protocol Based on CSMA/CA for Switching Transmission Mode
Abstract
1. Introduction
- Hybrid transmission switching algorithm: We propose a new criterion for selecting the transmission mode. The AP selects the transmission mode according to the MCS level rather than the channel capacity. The proposed algorithm focuses on improving network throughput even with unused link periods, significantly improving network throughput.
- Analytical model for hybrid transmission: FD pair probability should be analyzed first to adequately evaluate network performance. Most previous studies have paid little attention to FD pair probability. In contrast, we explicitly consider FD pair probability in the analytical model to improve model accuracy. Simulation results verify the proposed analytical model’s accuracy.
2. System Model
3. Proposed Algorithm
| Algorithm 1 Hybrid transmission switching algorithm. |
Require: Node i that wins the channel competition
|
4. Performance Analysis
Saturation Throughput
5. Performance Evaluation
- Proposed: The proposed algorithm determines the transmission mode from the required transmission time. Considering unused link periods, the AP selects the transmission mode with the shortest required transmission time.
- BRU: Each node transmits buffer state information to the AP during the unused link period. The AP uses the reported information to provide transmission opportunities to nodes without contention.
- XD: XD proposes hybrid switching transmission by dynamically configuring the antenna mode to maximize the instantaneous sum rate. Thus, MAC protocol overheads were not considered.
- HD: HD is the traditional IEEE 802.11 DCF. All nodes, including the AP, operate in HD mode. HD is based on CSMA/CA with the BEB algorithm [21].
5.1. Results Based on the Number of Nodes
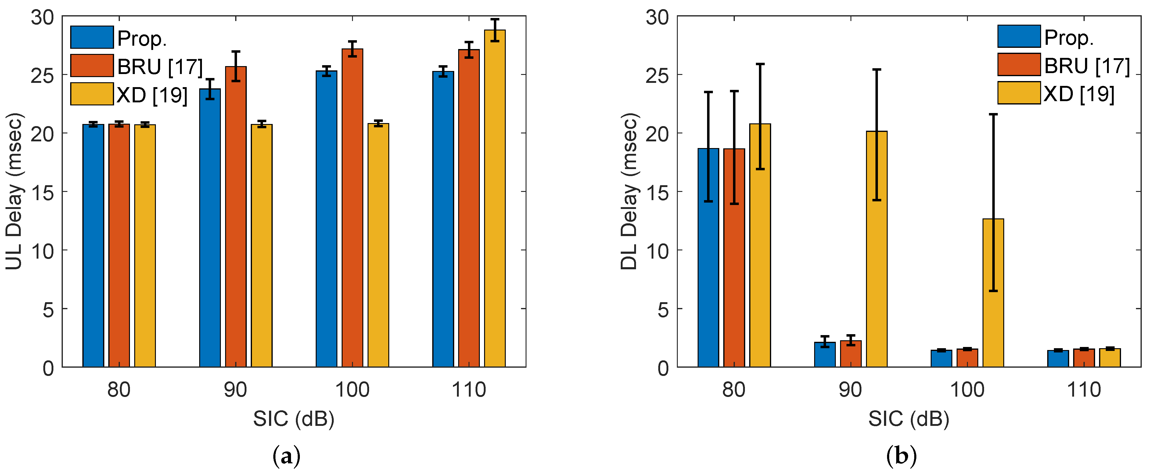
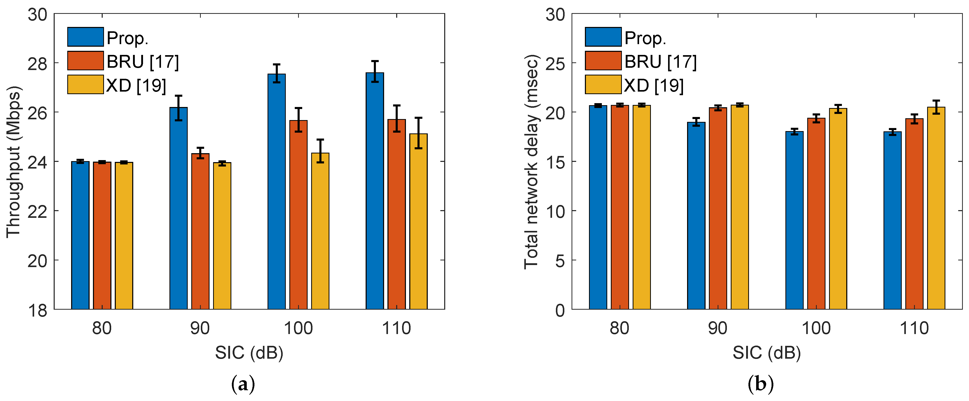
5.2. Results Based on SIC
6. Conclusions
Author Contributions
Funding
Conflicts of Interest
References
- Choi, J.I.; Jain, M.; Srinivasan, K.; Levis, P.; Katti, S. Achieving single channel, full duplex wireless communication. In Proceedings of the Annual International Conference on Mobile Computing and Networking (ACM MobiCom), Chicago, IL, USA, 20–24 September 2010; pp. 1–12. [Google Scholar]
- Bharadia, D.; McMilin, E.; Katti, S. Full duplex radios. In Proceedings of the ACM Special Interest Group on Data Communication (SIGCOMM), Hong Kong, China, 12–16 August 2013; pp. 375–386. [Google Scholar]
- Chung, M.; Sim, M.S.; Kim, J.; Kim, D.K.; Chae, C.B. Prototyping real-time full duplex radios. IEEE Commun. Mag. 2015, 53, 56–64. [Google Scholar] [CrossRef]
- Yang, P.; Xiao, Y.; Xiao, M.; Li, S. 6G Wireless Communications: Vision and Potential Techniques. IEEE Netw. 2019, 33, 70–75. [Google Scholar] [CrossRef]
- Xin, Y.; Heberling, A.D.; Oteri, K.; Gan, M.; Tsodik, G.; Ngoc, T.L.; Shilo, S.; Liang, D.; Au, E.; Yang, R.; et al. IEEE 802.11-18/0498r6: Technical Report on Full Duplex for 802.11; Technical Report; IEEE: Waikoloa, HI, USA, 2018. [Google Scholar]
- Tang, A.; Wang, X. A-Duplex: Medium access control for efficient coexistence between full-duplex and half-duplex communications. IEEE Trans. Wirel. Commun. 2015, 14, 5871–5885. [Google Scholar] [CrossRef]
- Kim, S.; Sim, M.S.; Chae, C.B.; Choi, S. Asymmetric Simultaneous Transmit and Receive in WiFi Networks. IEEE Access 2017, 5, 14079–14094. [Google Scholar] [CrossRef]
- Kim, J.K.; Lee, W.J.; Chae, C.B.; Kim, J.H. Performance Analysis of Fair Medium Access Control Protocol for Asymmetric Full Duplex in WLAN. IEEE Access 2020, 8, 140546–140557. [Google Scholar] [CrossRef]
- Ahn, H.; Park, Y.D.; Kim, D.; Suh, Y.J. A Full-Duplex MAC Protocol Based on Buffer Status Report for Successive Full-Duplex Link Setup. IEEE Commun. Lett. 2019, 23, 1506–1509. [Google Scholar] [CrossRef]
- Chen, T.; Diakonikolas, J.; Ghaderi, J.; Zussman, G. Hybrid Scheduling in Heterogeneous Half- and Full-Duplex Wireless Networks. IEEE/ACM Trans. Netw. 2020, 28, 764–777. [Google Scholar] [CrossRef]
- Ren, Y.; Chin, K.W.; Soh, S. A Distributed Link Scheduler for In-Band Full Duplex Wireless Networks. IEEE Trans. Veh. Technol. 2020, 69, 5255–5267. [Google Scholar] [CrossRef]
- Lee, J.; Quek, T.Q.S. Hybrid Full-/Half-Duplex System Analysis in Heterogeneous Wireless Networks. IEEE Trans. Wirel. Commun. 2015, 14, 2883–2895. [Google Scholar] [CrossRef]
- Liu, S.; Fu, L.; Xie, W. Hidden-Node Problem in Full-Duplex Enabled CSMA Networks. IEEE Trans. Mob. Comput. 2020, 19, 347–361. [Google Scholar] [CrossRef]
- Murad, M.; Eltawil, A.M. Performance Analysis and Enhancements for In-Band Full-Duplex Wireless Local Area Networks. IEEE Access 2020, 8, 111636–111652. [Google Scholar] [CrossRef]
- Kim, J.K.; Kim, W.K.; Kim, J.H. A new full duplex MAC protocol to solve the asymmetric transmission time. In Proceedings of the IEEE Global Communications Conference Workshops (GC Wkshps), San Diego, CA, USA, 6–10 December 2015; pp. 1–5. [Google Scholar]
- Alim, A.; Saruwatari, S.; Watanabe, T. Asym-FDMAC: In-band full-duplex medium access control protocol for asymmetric traffic in wireless LAN. Wirel. Netw. 2020, 26, 807–822. [Google Scholar] [CrossRef]
- Ahn, H.T.; Shu, Y.J. Full-duplex MAC protocol using buffer status reports during unused uplink periods in WLAN. Ad Hoc Netw. 2019, 94, 1–11. [Google Scholar] [CrossRef]
- Li, S.; Zhou, M.; Wu, J.; Song, L.; Li, Y.; Li, H. X-duplex relaying: Adaptive antenna configuration. IEEE Commun. Lett. 2017, 21, 1083–1086. [Google Scholar] [CrossRef]
- Yao, C.; Song, L.; Li, Y. X-duplex radios: Flexible switching between full-duplex and half-duplex. IEEE Wirel. Commun. Lett. 2018, 7, 94–97. [Google Scholar] [CrossRef]
- Bianchi, G. Performance analysis of the IEEE 802.11 distributed coordination function. IEEE J. Sel. Areas Commun. 2000, 18, 535–547. [Google Scholar] [CrossRef]
- Institute of Electrical and Electronics Engineers. IEEE Standard for Information Technology-Telecommunications and Information Exchange Between Systems Local and Metropolitan Networks-Specific Requirements, Part 11: Wireless LAN Medium Access Control (MAC) and Physical Layer (PHY) Specifications; IEEE: Piscataway, NJ, USA, 2016. [Google Scholar]
- Lee, J.; Kim, W.; Lee, S.J.; Jo, D.; Ryu, J.; Kwon, T.; Choi, Y. An experimental study on the capture effect in 802.11a networks. In Proceedings of the ACM International Workshop on Wireless Network Testbeds, Experimental Evaluation and CHaracterization (WiNTECH), Montreal, QC, Canada, 9–14 September 2007; pp. 19–26. [Google Scholar]









| Parameter | Value | Parameter | Value |
|---|---|---|---|
| RTS size | 20 bytes | CTS size | 14 bytes |
| ACK size | 14 bytes | Payload size | 1500 bytes |
| SIFS | 16 μs | DIFS | 34 μs |
| Slot time | 9 μs | r | 20 m |
| 20 dBm | 15 dBm |
| MCS Level | 2 | 3 | 4 | 5 | 6 |
|---|---|---|---|---|---|
| Data rate (Mbps) | 18 | 24 | 36 | 48 | 54 |
| SIR threshold (dB) | 10–11 | 13–14 | 18–19 | 22–23 | 24–25 |
Publisher’s Note: MDPI stays neutral with regard to jurisdictional claims in published maps and institutional affiliations. |
© 2021 by the authors. Licensee MDPI, Basel, Switzerland. This article is an open access article distributed under the terms and conditions of the Creative Commons Attribution (CC BY) license (http://creativecommons.org/licenses/by/4.0/).
Share and Cite
Kim, J.-K.; Lee, W.-J.; Kim, J.-H. Full-Duplex MAC Protocol Based on CSMA/CA for Switching Transmission Mode. Electronics 2021, 10, 587. https://doi.org/10.3390/electronics10050587
Kim J-K, Lee W-J, Kim J-H. Full-Duplex MAC Protocol Based on CSMA/CA for Switching Transmission Mode. Electronics. 2021; 10(5):587. https://doi.org/10.3390/electronics10050587
Chicago/Turabian StyleKim, Jin-Ki, Won-Jae Lee, and Jae-Hyun Kim. 2021. "Full-Duplex MAC Protocol Based on CSMA/CA for Switching Transmission Mode" Electronics 10, no. 5: 587. https://doi.org/10.3390/electronics10050587
APA StyleKim, J.-K., Lee, W.-J., & Kim, J.-H. (2021). Full-Duplex MAC Protocol Based on CSMA/CA for Switching Transmission Mode. Electronics, 10(5), 587. https://doi.org/10.3390/electronics10050587

