Joint Successful Transmission Probability, Delay, and Energy Efficiency Caching Optimization in Fog Radio Access Network
Abstract
:1. Introduction
- 1.
- Stochastic geometry tools are used to derive expressions of the probabilities of direct and transit F-APs and association probabilities with F-APs, STP, EE, and average delay.
- 2.
- The optimization problem is formulated to obtain the optimal cache placement that maximizes the multi-objective function of the weighted sum of STP, EE, and delay.
- 3.
- To obtain the optimal cache placement that balances the performance, a novel normalized cuckoo search algorithm (NCSA) is proposed.
- 4.
- The numerical results show that the proposed hybrid caching scheme in F-RAN outperforms the well-known benchmark caching schemes.
2. System Model
2.1. Network Model
2.2. Caching Model
2.3. Association Model
- 1.
- If content m is cached by F-APs within R, is associated with the nearest one of them to its location. as illustrated in Figure 1, i.e., user A. Here, the associated F-AP is called ’direct F-AP’ and denoted as .
- 2.
- If a F-AP caching content m does not exist within R, is associated with the nearest available F-AP within R, which in turn fetches content m from the nearest C-AP to its location. This event is illustrated in Figure 1, i.e., user B. In this work, the available F-AP is defined as a F-AP caches a content that is not requested by the users within its associated region. Due to the two-hop transmission, is called a ‘transit F-AP’.
3. Analysis of Performance Metrics
3.1. STP Analysis
3.2. Delay Analysis
3.3. EE Analysis
4. Performance Optimization
| Algorithm 1: Normalized Cuckoo Search Algorithm (NCSA). |
![]() |
Complexity Analysis and Implementation Cost
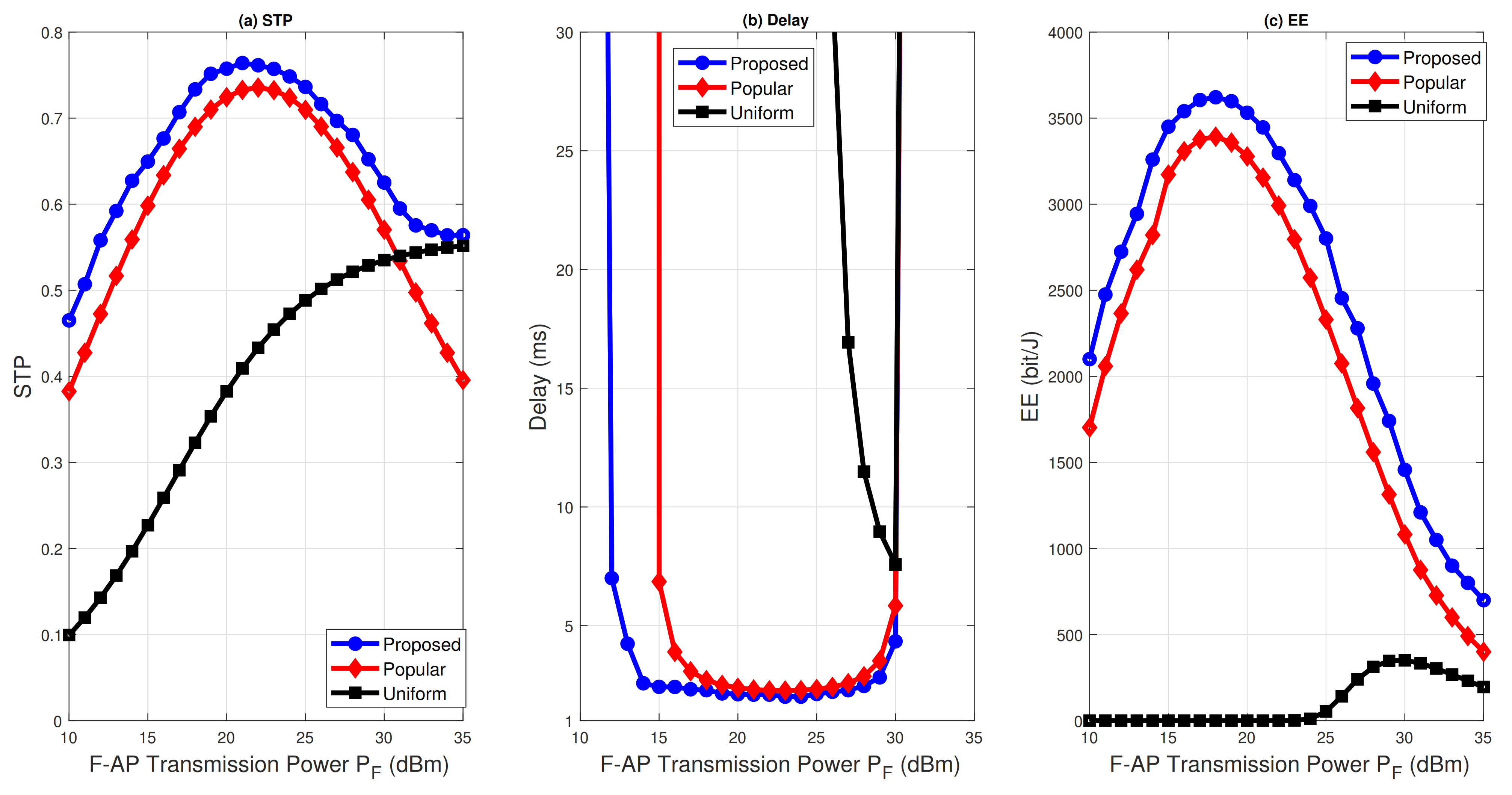
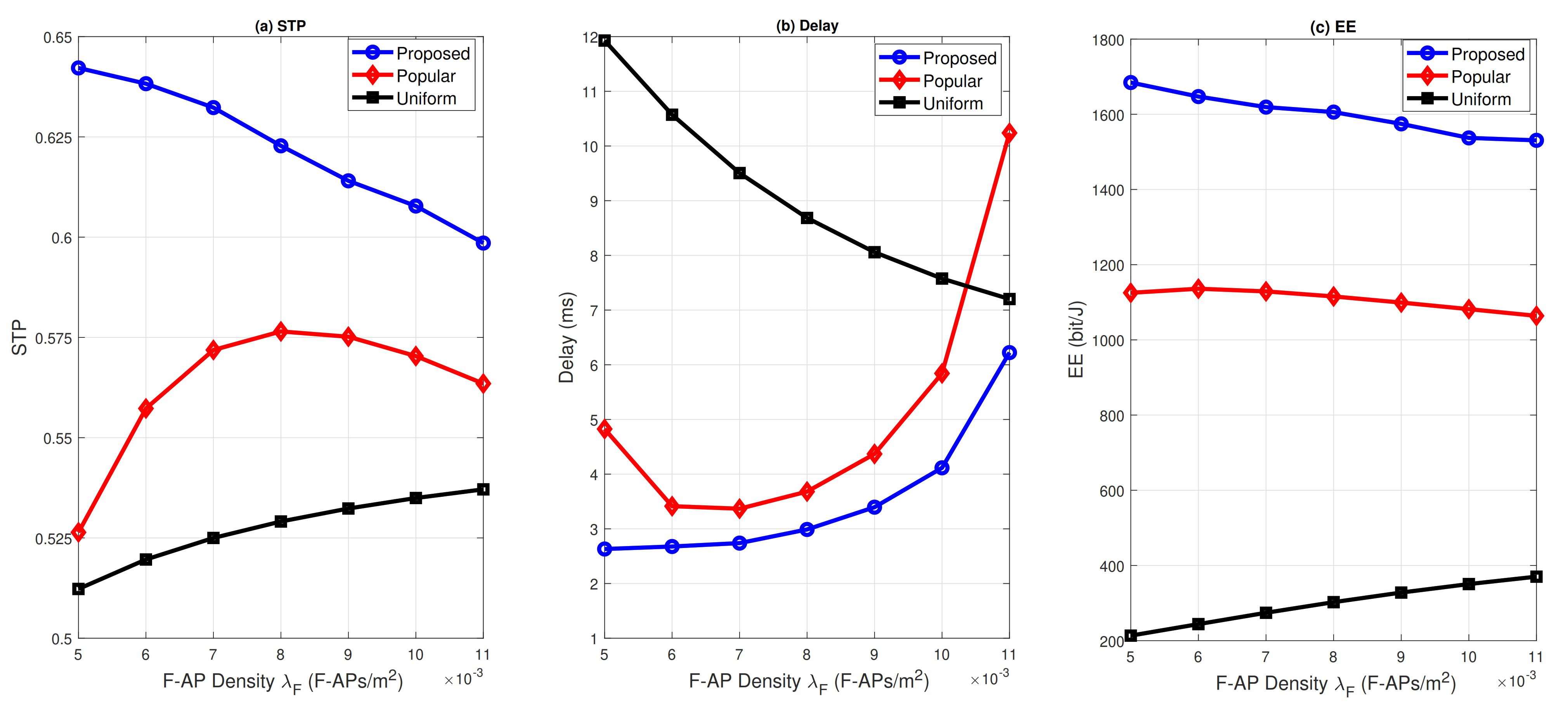
5. Numerical Results
6. Limitations and Future Research Directions
7. Concluding Remarks
Author Contributions
Funding
Conflicts of Interest
Appendix A. Proof of Lemma 1
Appendix B. Proof of Lemma 2
Appendix C. Proof of Theorem 1
Appendix D. Proof of Theorem 2
References
- Habibi, M.A.; Nasimi, M.; Han, B.; Schotten, H.D. A Comprehensive Survey of RAN Architectures Toward 5G Mobile Communication System. IEEE Access 2019, 7, 70371–70421. [Google Scholar] [CrossRef]
- Hu, Z.; Hu, C.; Li, Z.; Li, Y.; Wei, G. Power allocation for video segment based caching strategy in F-RAN architecture. China Commun. 2021, 18, 215–227. [Google Scholar] [CrossRef]
- Bani-Bakr, A.; Dimyati, K.; Hindia, M.N.; Wong, W.R.; Al-Omari, A.; Sambo, Y.A.; Imran, M.A. Optimizing the Number of Fog Nodes for Finite Fog Radio Access Networks under Multi-Slope Path Loss Model. Electronics 2020, 9, 2175. [Google Scholar] [CrossRef]
- Bani-Bakr, A.; Dimyati, K.; Hindia, M.N.; Wong, W.R.; Imran, M.A. Feasibility study of 28 GHz and 38 GHz millimeter-wave technologies for fog radio access networks using multi-slope path loss model. Phys. Commun. 2021, 101401. [Google Scholar] [CrossRef]
- Emara, M.; Elsawy, H.; Sorour, S.; Al-Ghadhban, S.; Alouini, M.S.; Al-Naffouri, T.Y. Optimal Caching in 5G Networks With Opportunistic Spectrum Access. IEEE Trans. Wirel. Commun. 2018, 17, 4447–4461. [Google Scholar] [CrossRef]
- Wang, R.; Li, R.; Wang, P.; Liu, E. Analysis and Optimization of Caching in Fog Radio Access Networks. IEEE Trans. Veh. Technol. 2019, 68, 8279–8283. [Google Scholar] [CrossRef]
- Peng, A.; Jiang, Y.; Bennis, M.; Zheng, F.C.; You, X. Performance Analysis and Caching Design in Fog Radio Access Networks. In Proceedings of the 2018 IEEE Globecom Workshops (GC Wkshps), Abu Dhabi, UAE, 9–13 December 2018; pp. 1–6. [Google Scholar] [CrossRef] [Green Version]
- Jiang, F.; Yuan, Z.; Sun, C.; Wang, J. Deep Q-Learning-Based Content Caching With Update Strategy for Fog Radio Access Networks. IEEE Access 2019, 7, 97505–97514. [Google Scholar] [CrossRef]
- Jiang, Y.; Ma, M.; Bennis, M.; Zheng, F.C.; You, X. User Preference Learning-Based Edge Caching for Fog Radio Access Network. IEEE Trans. Commun. 2019, 67, 1268–1283. [Google Scholar] [CrossRef] [Green Version]
- Jia, S.; Ai, Y.; Zhao, Z.; Peng, M.; Hu, C. Hierarchical content caching in fog radio access networks: Ergodic rate and transmit latency. China Commun. 2016, 13, 1–14. [Google Scholar] [CrossRef]
- Liu, J.; Bai, B.; Zhang, J.; Letaief, K.B. Cache Placement in Fog-RANs: From Centralized to Distributed Algorithms. IEEE Trans. Wirel. Commun. 2017, 16, 7039–7051. [Google Scholar] [CrossRef] [Green Version]
- Wei, X. Joint Caching and Multicast for Wireless Fronthaulin Fog Radio Access Networks. In Proceedings of the 2017 IEEE 86th Vehicular Technology Conference (VTC-Fall), Toronto, ON, Canada, 24–27 September 2017; pp. 1–5. [Google Scholar] [CrossRef]
- Li, Z.; Chen, J.; Zhang, Z. Socially Aware Caching in D2D Enabled Fog Radio Access Networks. IEEE Access 2019, 7, 84293–84303. [Google Scholar] [CrossRef]
- Dang, T.; Peng, M. Joint Radio Communication, Caching, and Computing Design for Mobile Virtual Reality Delivery in Fog Radio Access Networks. IEEE J. Sel. Areas Commun. 2019, 37, 1594–1607. [Google Scholar] [CrossRef]
- Wei, Y.; Yu, F.R.; Song, M.; Han, Z. Joint Optimization of Caching, Computing, and Radio Resources for Fog-Enabled IoT Using Natural Actor–Critic Deep Reinforcement Learning. IEEE Internet Things J. 2019, 6, 2061–2073. [Google Scholar] [CrossRef]
- Jiang, Y.; Hu, Y.; Bennis, M.; Zheng, F.C.; You, X. A Mean Field Game-Based Distributed Edge Caching in Fog Radio Access Networks. IEEE Trans. Commun. 2020, 68, 1567–1580. [Google Scholar] [CrossRef] [Green Version]
- Guo, B.; Zhang, X.; Sheng, Q.; Yang, H. Dueling Deep-Q-Network Based Delay-Aware Cache Update Policy for Mobile Users in Fog Radio Access Networks. IEEE Access 2020, 8, 7131–7141. [Google Scholar] [CrossRef]
- Rahman, G.M.S.; Peng, M.; Yan, S.; Dang, T. Learning Based Joint Cache and Power Allocation in Fog Radio Access Networks. IEEE Trans. Veh. Technol. 2020, 69, 4401–4411. [Google Scholar] [CrossRef]
- Althamary, I.; Huang, C.W.; Lin, P.; Yang, S.R.; Cheng, C.W. Popularity-Based Cache Placement for Fog Networks. In Proceedings of the 2018 14th International Wireless Communications Mobile Computing Conference (IWCMC), Limassol, Cyprus, 25–29 June 2018; pp. 800–804. [Google Scholar] [CrossRef]
- Xing, H.; Cui, J.; Deng, Y.; Nallanathan, A. Energy-Efficient Proactive Caching for Fog Computing with Correlated Task Arrivals. In Proceedings of the 2019 IEEE 20th International Workshop on Signal Processing Advances in Wireless Communications (SPAWC), Cannes, France, 2–5 July 2019; pp. 1–5. [Google Scholar] [CrossRef] [Green Version]
- Wang, K.; Li, J.; Yang, Y.; Chen, W.; Hanzo, L. Content-Centric Heterogeneous Fog Networks Relying on Energy Efficiency Optimization. IEEE Trans. Veh. Technol. 2020, 69, 13579–13592. [Google Scholar] [CrossRef]
- Wang, K.; Li, J.; Yang, Y.; Chen, W.; Hanzo, L. Energy-Efficient Multi-Tier Caching and Node Association in Heterogeneous Fog Networks. In Proceedings of the 2020 IEEE 92nd Vehicular Technology Conference (VTC2020-Fall), Victoria, BC, Canada, 4–7 October 2020; pp. 1–5. [Google Scholar] [CrossRef]
- Zhang, H.; Liu, X.; Long, K.; Nallanathan, A.; Leung, V.C.M. Energy Efficient Resource Allocation and Caching in Fog Radio Access Networks. In Proceedings of the 2018 IEEE Global Communications Conference (GLOBECOM), Abu Dhabi, UAE, 9–13 December 2018; pp. 1–6. [Google Scholar] [CrossRef]
- Bhar, C.; Agrell, E. Energy-and Bandwidth-Efficient, QoS-Aware Edge Caching in Fog-Enhanced Radio Access Networks. IEEE J. Sel. Areas Commun. 2021. [Google Scholar] [CrossRef]
- Wan, C.; Jiang, Y.; Zheng, F.C.; Zhu, P.; Gao, X.; You, X. Analysis of Delay and Energy Efficiency in Fog Radio Access Networks with Hybrid Caching. In Proceedings of the 2019 IEEE Globecom Workshops (GC Wkshps), Big Island, HI, USA, 9–13 December 2019; pp. 1–6. [Google Scholar] [CrossRef]
- Jiang, Y.; Wan, C.; Tao, M.; Zheng, F.C.; Zhu, P.; Gao, X.; You, X. Analysis and Optimization of Fog Radio Access Networks With Hybrid Caching: Delay and Energy Efficiency. IEEE Trans. Wirel. Commun. 2021, 20, 69–82. [Google Scholar] [CrossRef]
- Jiang, Y.; Peng, A.; Wan, C.; Cui, Y.; You, X.; Zheng, F.C.; Jin, S. Analysis and Optimization of Cache-Enabled Fog Radio Access Networks: Successful Transmission Probability, Fractional Offloaded Traffic and Delay. IEEE Trans. Veh. Technol. 2020, 69, 5219–5231. [Google Scholar] [CrossRef]
- Bani-Bakr, A.; Hindia, M.N.; Dimyati, K.; Hanafi, E.; Tengku Mohmed Noor Izam, T.F. Multi-Objective Caching Optimization for Wireless Backhauled Fog Radio Access Network. Symmetry 2021, 13, 708. [Google Scholar] [CrossRef]
- Haenggi, M.; Ganti, R. Interference in Large Wireless Networks. Found. Trends Netw. 2009, 3, 127–248. [Google Scholar] [CrossRef]
- Singhal, C.; De, S. (Eds.) Resource Allocation in Next-Generation Broadband Wireless Access Networks; IGI Global: Hershey, PA, USA, 2017. [Google Scholar] [CrossRef]
- Di Renzo, M.; Zappone, A.; Lam, T.T.; Debbah, M. System-Level Modeling and Optimization of the Energy Efficiency in Cellular Networks—A Stochastic Geometry Framework. IEEE Trans. Wirel. Commun. 2018, 17, 2539–2556. [Google Scholar] [CrossRef]
- Yang, X.S.; Deb, S. Cuckoo Search via Lévy flights. In Proceedings of the 2009 World Congress on Nature Biologically Inspired Computing (NaBIC), Coimbatore, India, 9–11 December 2009; pp. 210–214. [Google Scholar] [CrossRef]
- Vo, D.N.; Schegner, P.; Ongsakul, W. Cuckoo search algorithm for non-convex economic dispatch. IET Gener. Transm. Distrib. 2013, 7, 645–654. [Google Scholar] [CrossRef]
- Wei, J.; Yu, Y. An Effective Hybrid Cuckoo Search Algorithm for Unknown Parameters and Time Delays Estimation of Chaotic Systems. IEEE Access 2018, 6, 6560–6571. [Google Scholar] [CrossRef]
- Mantegna, R.N. Fast, accurate algorithm for numerical simulation of Lévy stable stochastic processes. Phys. Rev. E 1994, 49, 4677–4683. [Google Scholar] [CrossRef] [PubMed]
- Baştuǧ, E.; Bennis, M.; Kountouris, M.; Debbah, M. Cache-enabled small cell networks: Modeling and tradeoffs. EURASIP J. Wirel. Commun. Netw. 2015, 2015, 1–11. [Google Scholar] [CrossRef]
- Tamoor-ul-Hassan, S.; Bennis, M.; Nardelli, P.H.J.; Latva-Aho, M. Modeling and analysis of content caching in wireless small cell networks. In Proceedings of the 2015 International Symposium on Wireless Communication Systems (ISWCS), Brussels, Belgium, 25–28 August 2015; pp. 765–769. [Google Scholar] [CrossRef] [Green Version]
- Tsiropoulou, E.E.; Mitsis, G.; Papavassiliou, S. Interest-aware energy collection & resource management in machine to machine communications. Ad Hoc Netw. 2018, 68, 48–57. [Google Scholar] [CrossRef]
- Huang, X.L.; Ma, X.; Hu, F. Machine Learning and Intelligent Communications. Mob. Netw. Appl. 2018, 23, 68–70. [Google Scholar] [CrossRef] [Green Version]
- Yu, S.M.; Kim, S. Downlink capacity and base station density in cellular networks. In Proceedings of the 2013 11th International Symposium and Workshops on Modeling and Optimization in Mobile, Ad Hoc and Wireless Networks (WiOpt), Tsukuba Science City, Japan, 13–17 May 2013; pp. 119–124. [Google Scholar]
Short Biography of Authors
![]() | Alaa Bani-Bakr received the B.Sc. and M.Sc. degrees in electrical/telecommunication engineering from Mutah University, Karak, Jordan, in 2002 and 2006, respectively. He is currently pursuing the Ph.D. degree with the University of Malaya, Kuala Lumpur, Malaysia. He was a Lecturer at the Department of Electrical Engineering, AlBaha University, Saudi Arabia, from 2010 to 2012. His research interests are fog radio access networks, cache-enabled wireless networks, mmWave communication systems, stochastic analysis, and optimization. |
![]() | Kaharudin Dimyati graduated from the University of Malaya, Malaysia, in 1992. He received the Ph.D. degree from the University of Wales Swansea, U.K., in 1996. He is currently a Professor at the Department of Electrical Engineering, Faculty of Engineering, University of Malaya. Since joining the university, he has been actively involved in teaching, postgraduate supervision, research, and administration. To date, he has supervised 15 Ph.D. students and 32 master by research students. He has published over 100 journal articles. He is a member of IET and IEICE. He is a Professional Engineer and a Chartered Engineer. |
![]() | MHD Nour Hindia received the Ph.D. degree from the Faculty of Engineering in Telecommunication, University of Malaya, Kuala Lumpur, Malaysia, in 2015. He is currently involved with research in the field of wireless communications, especially in channel sounding, network planning, converge estimation, handover, scheduling, and quality of service enhancement for 5G networks. He is currently a Post-Doctoral Fellow from the Faculty of Engineering in Telecommunication, University of Malaya. Besides that, he is involved with research with the Research Group in Modulation and Coding Scheme for Internet of Things for Future Network. He has authored or co-authored a number of science citation index journals and conference papers. Dr. Hindia has participated as a Reviewer and a Committee Member of a number of ISI journals and conferences. |
![]() | Wei Ru Wong received the B.Eng. and Ph.D. degrees from the Department of Electrical Engineering, University of Malaya, Kuala Lumpur, Malaysia. After receiving the Ph.D. degree, she was a Postdoc with the Integrated Lightwave Research Group, University of Malaya. Her Ph.D. thesis involved the development of long-range surface plasmon-based biosensors for dengue detection. She is currently a Senior Lecturer with the Department of Electrical Engineering, University of Malaya. Her work on the dengue biosensor has received significant press coverage. Her research interests include the development of planar waveguides and optical fibers for sensing applications, especially those implemented using surface plasmons. |
![]() | Tengku Faiz Tengku Mohmed Noor Izam received the Ph.D. degree in electronic engineering from the University of Surrey, U.K., in 2016. He is currently a Lecturer with the Department of Electrical Engineering, University of Malaya, Malaysia. His research interests include parasitic antenna and MIMO systems with antenna selection. |











| Notation | Description |
|---|---|
| , M | Content library, total number of contents |
| , , | Point process of end-users, F-APs, C-APs |
| , | Point process of the F-APs that cache content m, do not cache content m |
| , | Point process of the available F-APs, unavailable F-APs with respect to content m |
| , , | Density of , , |
| , | Caching distribution, probability of caching content m at each F-AP |
| Probability of randomly requesting content m | |
| Content inactive probability | |
| Probability of the available F-APs with respect to content m | |
| , | Direct F-AP, transit F-AP with respect to content m |
| Nearest C-AP to | |
| , , | Probability of association with , , total probability of association with a F-AP when content m is requested |
| , , | Signal-to-interference ratio at when it is associated with , at when it is associated with , at |
| , , , , | Distance between and , access point ℓ and , and , and , access point ℓ and |
| , , , , | Small-scale channel coefficient between and , access point ℓ and , and , and , access point ℓ and |
| , , , | STP of content m when is associated with , when is associated with , over the link to , over the link to |
| , , | conditioned on , conditioned on , conditioned on |
| STP of | |
| , , , | Average delay of content m when is associated with , when is associated with , over the links from to , over the link from to |
| Average delay of | |
| , , | Required number of time slots to successfully receive content m conditioned on the distance over the link from to , from to , from to |
| , | EE of content m when is associated with , |
| EE of |
Publisher’s Note: MDPI stays neutral with regard to jurisdictional claims in published maps and institutional affiliations. |
© 2021 by the authors. Licensee MDPI, Basel, Switzerland. This article is an open access article distributed under the terms and conditions of the Creative Commons Attribution (CC BY) license (https://creativecommons.org/licenses/by/4.0/).
Share and Cite
Bani-Bakr, A.; Dimyati, K.; Hindia, M.N.; Wong, W.R.; Izam, T.F.T.M.N. Joint Successful Transmission Probability, Delay, and Energy Efficiency Caching Optimization in Fog Radio Access Network. Electronics 2021, 10, 1847. https://doi.org/10.3390/electronics10151847
Bani-Bakr A, Dimyati K, Hindia MN, Wong WR, Izam TFTMN. Joint Successful Transmission Probability, Delay, and Energy Efficiency Caching Optimization in Fog Radio Access Network. Electronics. 2021; 10(15):1847. https://doi.org/10.3390/electronics10151847
Chicago/Turabian StyleBani-Bakr, Alaa, Kaharudin Dimyati, MHD Nour Hindia, Wei Ru Wong, and Tengku Faiz Tengku Mohmed Noor Izam. 2021. "Joint Successful Transmission Probability, Delay, and Energy Efficiency Caching Optimization in Fog Radio Access Network" Electronics 10, no. 15: 1847. https://doi.org/10.3390/electronics10151847
APA StyleBani-Bakr, A., Dimyati, K., Hindia, M. N., Wong, W. R., & Izam, T. F. T. M. N. (2021). Joint Successful Transmission Probability, Delay, and Energy Efficiency Caching Optimization in Fog Radio Access Network. Electronics, 10(15), 1847. https://doi.org/10.3390/electronics10151847







