OFDM PAPR Reduction via Time-Domain Scattered Sampling and Hybrid Batch Training of Synchronous Neural Networks
Abstract
:1. Introduction
- As an alternative NN-based PAPR reduction approach, we propose a synchronous neural network solution surpassing conventional CF-based approaches. The proposed method accurately generates CF-like output signals by synchronously learning both real and imaginary parts of raw OFDM input signals and mapping them to the desired target output. Hence, higher PAPR reduction performance and lower OoB power leakage can be achieved compared to conventional ANN solutions.
- To find a neural network with desirable characteristics, we propose a network-selection algorithm to explore a wide variety of candidate solutions during the training stage. The algorithm scans the neighborhood of conventional SCF or ICF searching for the mapping network with the highest PAPR reduction for a maximum allowable BER threshold.
- To prevent overfitting traps and arrive at a network model that generalizes well to new data during deployment, we propose an algorithm for the compilation of a 3-D training dataset that randomly scatters the training samples of the same OFDM symbol across multiple different 2-D slices within the dataset. Thus, hybrid OFDM symbols are constructed from the time-domain samples of multiple different raw OFDM symbols during the training stage.
- Through the numerical evaluation of the system performance, we show that the proposed SNN-CF scheme achieves superior performance in terms of PAPR reduction capability, while exhibiting less OoB radiation for both QPSK and 16-QAM compared with ANN. Moreover, the proposed scheme maintains adequate BER levels for higher order modulations such as 16-QAM, where the asynchronous approach shows rapid BER degradation.
2. Related Works
3. OFDM Model
3.1. Signal Model
3.2. Performance Metric
4. Benchmark Techniques
4.1. Selected Mapping
4.2. Clipping-Based Techniques
4.2.1. Iterative Clipping and Filtering
4.2.2. Simplified Clipping and Filtering
5. Proposed Neural Network Solution
5.1. Network Architecture
5.2. Proposed Dataset Compilation and Network Selection
| Algorithm 1 Proposed Dataset Compilation. |
|
| Algorithm 2: Proposed SNN-CF Network Selection. |
|
6. Complexity Analysis
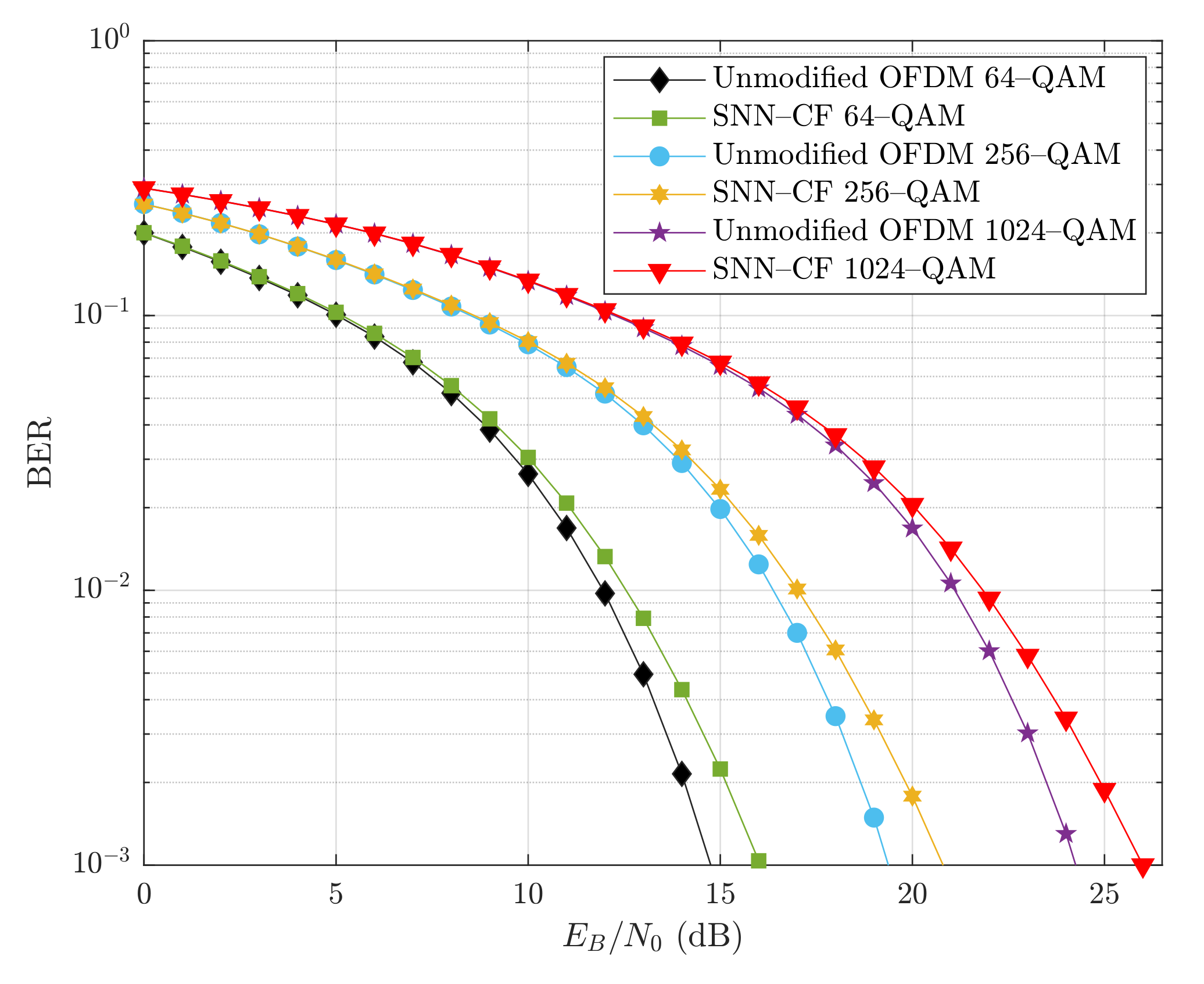
7. Numerical Results and Discussion
7.1. Simulation Setup
7.2. Results and Discussion
8. Conclusions
Author Contributions
Funding
Conflicts of Interest
References
- Muller, S.H.; Huber, J.B. OFDM with reduced peak-to-average power ratio by optimum combination of partial transmit sequences. Electron. Lett. 1997, 33, 368–369. [Google Scholar] [CrossRef] [Green Version]
- Tellado, J.; Cioffi, J.M. Peak Power Reduction for Multicarrier Transmission. Available online: http://citeseerx.ist.psu.edu/viewdoc/summary?doi=10.1.1.55.3075 (accessed on 15 July 2021).
- Anoh, K.; Adebisi, B.; Rabie, K.M.; Tanriover, C. Root-Based Nonlinear Companding Technique for Reducing PAPR of Precoded OFDM Signals. IEEE Access 2018, 6, 4618–4629. [Google Scholar] [CrossRef]
- Breiling, H.; Muller-Weinfurtner, S.H.; Huber, J.B. SLM peak-power reduction without explicit side information. IEEE Commun. Lett. 2001, 5, 239–241. [Google Scholar] [CrossRef]
- Armstrong, J. Peak-to-average power reduction for OFDM by repeated clipping and frequency domain filtering. Electron. Lett. 2002, 38, 246–247. [Google Scholar] [CrossRef]
- Wang, Y.; Luo, Z. Optimized Iterative Clipping and Filtering for PAPR Reduction of OFDM Signals. IEEE Trans. Commun. 2011, 59, 33–37. [Google Scholar] [CrossRef]
- Deng, S.; Lin, M. Recursive Clipping and Filtering with Bounded Distortion for PAPR Reduction. IEEE Trans. Commun. 2007, 55, 227–230. [Google Scholar] [CrossRef]
- Wang, L.; Tellambura, C. A simplified clipping and filtering technique for PAPR reduction in OFDM systems. IEEE Signal Process. Lett. 2005, 12, 453–456. [Google Scholar] [CrossRef]
- Baxley, R.J.; Zhao, C.; Zhou, G.T. Constrained Clipping for Crest Factor Reduction in OFDM. IEEE Trans. Broadcast. 2006, 52, 570–575. [Google Scholar] [CrossRef]
- Anoh, K.; Tanriover, C.; Adebisi, B. On the Optimization of Iterative Clipping and Filtering for PAPR Reduction in OFDM Systems. IEEE Access 2017, 5, 12004–12013. [Google Scholar] [CrossRef]
- Liu, X.; Zhang, X.; Xiong, J.; Gu, F.; Wei, J. An Enhanced Iterative Clipping and Filtering Method Using Time-Domain Kernel Matrix for PAPR Reduction in OFDM Systems. IEEE Access 2019, 7, 59466–59476. [Google Scholar] [CrossRef]
- Sohn, I.; Kim, S.C. Neural Network Based Simplified Clipping and Filtering Technique for PAPR Reduction of OFDM Signals. IEEE Commun. Lett. 2015, 19, 1438–1441. [Google Scholar] [CrossRef]
- Yamashita, K.; Ohta, M.; Jiang, W. Reducing peak-to-average power ratio of multicarrier modulation by Hopfield neural network. Electron. Lett. 2002, 38, 1370–1371. [Google Scholar] [CrossRef]
- Hopfield, J.J.; Tank, D.W. Neural computation of decisions in optimization problems. Biol. Cybern. 1985, 52, 141–152. [Google Scholar] [CrossRef] [PubMed]
- Sohn, I. RBF Neural Network Based SLM Peak-to-Average Power Ratio Reduction in OFDM Systems. ETRI J. 2007, 29, 402–404. [Google Scholar] [CrossRef]
- Jabrane, Y.; Jiménez, V.P.G.; Armada, A.G.; Said, B.A.E.; Ouahman, A.A. Reduction of Power Envelope Fluctuations in OFDM Signals by using Neural Networks. IEEE Commun. Lett. 2010, 14, 599–601. [Google Scholar] [CrossRef] [Green Version]
- Sohn, I. A Low Complexity PAPR Reduction Scheme for OFDM Systems via Neural Networks. IEEE Commun. Lett. 2014, 18, 225–228. [Google Scholar] [CrossRef]
- Kim, M.; Lee, W.; Cho, D. A Novel PAPR Reduction Scheme for OFDM System Based on Deep Learning. IEEE Commun. Lett. 2018, 22, 510–513. [Google Scholar] [CrossRef]
- Technical Report R1-060023: Cubic Metric in 3GPP-LTE. 3GPP Technical Specification Group Radio Access Network WG1. Available online: https://www.3gpp.org/ftp/tsg_ran/wg1_rl1/TSGR1_AH/LTE_AH_0601/Docs/ (accessed on 15 July 2021).
- Kageyama, T.; Muta, O.; Gacanin, H. Performance Analysis of OFDM with Peak Cancellation Under EVM and ACLR Restrictions. IEEE Trans. Veh. Technol. 2020, 69, 6230–6241. [Google Scholar] [CrossRef] [Green Version]
- Marquardt, D.W. An Algorithm for Least-Squares Estimation of Nonlinear Parameters. J. Soc. Ind. Appl. Math. 1963, 11, 431–441. [Google Scholar] [CrossRef]
- Rapp, C. Effects of HPA-nonlinearity on a 4-DPSK/OFDM-signal for a digital sound broadcasting signal. ESA Spec. Publ. 1991, 332, 179–184. [Google Scholar]











| Scheme | Complexity |
|---|---|
| SLM [4] | |
| ICF [5] | |
| SCF [8] | |
| ANN [12] | |
| Proposed SNN-CF |
| Scheme | Parameter | Value |
|---|---|---|
| Common parameters | Underlying modulation | QPSK/16-QAM |
| Sub-carriers number, N | 256 | |
| Oversampling factor, | 4 | |
| Reference signal RCM, | 1.52 dB | |
| Cubic metric empirical factor, | 1.56 | |
| Cubic metric threshold, | [2.5,6] dB | |
| [0,9] dB | ||
| ICF, SCF | Clipping ratio, C | 6 dB |
| ICF | Number of iterations, L | 3 |
| SCF | Equivalency factor, | 3 |
| Standard deviation, | 1/2 | |
| SLM | Block size, U | 16 |
| ANN, SNN-CF | Network Architecture | FFMLP |
| Output layer activation type | Linear | |
| Normalization | Enabled | |
| ANN | Number of NN modules | 2 |
| Number of hidden layers, V | 2 | |
| Number of neurons in 1st layer, | 2 | |
| Number of neurons in 2nd layer, | 1 | |
| Hidden layers activation type | Triangular | |
| Training algorithm | Levenberg–Marquardt | |
| Training epochs | 100 | |
| SNN-CF | Number of NN modules | 1 |
| Number of hidden layers, V | 2 | |
| Number of neurons in 1st layer, | 2 | |
| Number of neurons in 2nd layer, | 2 | |
| Hidden layers activation type | Hyperbolic tangent | |
| Training algorithm | Proposed algorithm 2 | |
| Training epochs | 50 |
Publisher’s Note: MDPI stays neutral with regard to jurisdictional claims in published maps and institutional affiliations. |
© 2021 by the authors. Licensee MDPI, Basel, Switzerland. This article is an open access article distributed under the terms and conditions of the Creative Commons Attribution (CC BY) license (https://creativecommons.org/licenses/by/4.0/).
Share and Cite
Gendia, A.; Muta, O. OFDM PAPR Reduction via Time-Domain Scattered Sampling and Hybrid Batch Training of Synchronous Neural Networks. Electronics 2021, 10, 1708. https://doi.org/10.3390/electronics10141708
Gendia A, Muta O. OFDM PAPR Reduction via Time-Domain Scattered Sampling and Hybrid Batch Training of Synchronous Neural Networks. Electronics. 2021; 10(14):1708. https://doi.org/10.3390/electronics10141708
Chicago/Turabian StyleGendia, Ahmad, and Osamu Muta. 2021. "OFDM PAPR Reduction via Time-Domain Scattered Sampling and Hybrid Batch Training of Synchronous Neural Networks" Electronics 10, no. 14: 1708. https://doi.org/10.3390/electronics10141708
APA StyleGendia, A., & Muta, O. (2021). OFDM PAPR Reduction via Time-Domain Scattered Sampling and Hybrid Batch Training of Synchronous Neural Networks. Electronics, 10(14), 1708. https://doi.org/10.3390/electronics10141708

