Next Article in Journal
Waste Picker Organizations and Their Contribution to the Circular Economy: Two Case Studies from a Global South Perspective
Next Article in Special Issue
Ranking of Sustainability Indicators for Assessment of the New Housing Development Projects: Case of the Baltic States
Previous Article in Journal / Special Issue
Improving the Sustainability of Farming Practices through the Use of a Symbiotic Approach for Anaerobic Digestion and Digestate Processing
 
 
Font Type:
Arial Georgia Verdana
Font Size:
Aa Aa Aa
Line Spacing:
Column Width:
Background:
Article

Bacterial Pathogen Occurrence and Persistence in Livestock Mortality Biopiles

1
College of Natural Resources, University of Wisconsin-Stevens Point (UWSP), Stevens Point, WI 54481, USA
2
Department of Geography & Environmental Studies, Wilfrid Laurier University, Waterloo, ON N2L 3C5, Canada
3
Department Biological Engineering, Dalhousie University, Halifax, NS B3H 4R2, Canada
4
Department of Agriculture, Dalhousie University, Bible Hill, NS B2N 5E3, Canada
*
Author to whom correspondence should be addressed.
Resources 2017, 6(4), 49; https://doi.org/10.3390/resources6040049
Submission received: 8 August 2017 / Revised: 11 September 2017 / Accepted: 14 September 2017 / Published: 26 September 2017
(This article belongs to the Special Issue Sustainability Indicators for Environment Management)

Abstract

:
Properly managed biopiles can be used for slaughterhouse-residual degradation and bacterial pathogen inactivation, which otherwise represent a major health risk in the environment. Biopiles were used to dispose of slaughterhouse-residuals and determine the occurrence and persistence patterns of indicators of pathogenic bacteria. The indicator bacteria included the family Enterobacteriaceae, total coliforms, Escherichia coli, nalidixic acid-resistant E. coli, and Streptococcus fecalis. The slaughterhouse-residual biopiles remained static for 164 d in 2006 and 141 d in 2007. In biopile effluent samples, exponentially decreasing populations of the indicator bacteria were observed. Indicator bacteria presence in biopile and soil samples suggested their retention and persistence in, but not migration from, the media. Though the family Enterobacteriaceae, total coliforms, and Escherichia coli shared behavioral correlations, they exhibited different fates in all media compared to S. fecalis, which was observed to persist and re-grow. The behavior of inoculated nalidixic acid-resistant E. coli suggested that inactivation was the primary process in the biopiles. However, the biopiles constituted continual sources of the indicator bacteria due to their persistence in isolated and protected locations, and changes in dominant species. While biopiling slaughterhouse-residuals was effective to inactivate >99% (log reductions) of indicator bacteria, tertiary methods and biopiling phases should be employed to ensure inactivation of pathogenic bacteria in animal waste biopiles. The fate of bacterial indicators in this system exhibited trends not-as-yet observed for animal waste biopiling activities, which generates numerous questions for further research.

1. Introduction

In a milliliter of freshwater or a gram of soil, bacteria can number in the billions [1]. In a human or animal gastro-intestinal tract, bacteria are essential to aid digestion and deter pathogen colonization, but they can be excreted at levels upwards of 10 billion per gram of feces [2]. Unfortunately, many bacteria can be pathogenic, such as some coliform bacteria that are common human and animal enteric micro-organisms [3]. An agricultural livestock slaughterhouse is therefore a large and potential source of pathogenic bacteria [4].
Bacterial survival patterns have been extensively described [5,6]. In different media, bacteria can persist from hours to years. For example, Salmonellae sp. can persist for 35 d or 190 d at 22–27 °C in pitted or solid manure systems, respectively [6], for 110 d to 968 d in soil [7], and for 90 d in manure slurries and dirty water [8]. As well, total and fecal coliforms, and Streptococcus fecalis can persist in simulated groundwater environments for six months [9]. In soil, bacteria tend to be confined to the top 10 cm [10], which prevents them from infiltrating other media [11] and encourages their inactivation [12]. Different bacteria species however, may persist due to differences in local soil conditions. As an example, pathogenic bacteria that survive a composting process can leach into upper soil zones [12]. Though most pathogens do not survive the thermophilic conditions in livestock mortality biopiles (i.e., biopiles that are static compost piles), biopile homogeneity is critical since they may persist as clusters, in space and over time, in non-thermophilic zones [13].
Strategies that bacteria use to survive are also well known. For example, protective coatings, spore-formation, slowed metabolism, miniaturization by cell division, or increased production and storage of proteins, ATP, and RNA, have been detailed [14]. Bacteria may also generate biofilms or inhabit protected, non-thermophilic zones that are often available within solid aggregates [15].
Bacterial pathogen survival in the environment depends on many factors [16], but mainly temperature [17]. Canadian compost standards, for example, stipulate that 55 °C should be maintained for at least 3–15 d to ensure pathogen inactivation [18]. Other survival factors include: osmotic potential; water content; humidity; adsorption to or sorption within particulate media; sunlight; nutrient availability; competition with and predation by indigenous micro-flora; aggregation; and anti-microbial and various toxic substances [14,19]. Biopiling, however, offers additional inactivation means, such as toxicity from decomposition products, and microbial antagonism and competition [17]. The anaerobic biopile environment also encourages pathogen degradation due to alkaline pH conditions and the presence of volatile fatty acids, ammonia, and sulfide [20]. For example, pH extremes affect the stability and function of biological macro-molecules, and the concentration of metabolites and inorganic ions [21].
From a regulatory perspective, most global standards focus on total coliforms, Escherichia coli, and S. fecalis due to their ecology, easy enumeration, and the virulence of certain strains [22]. For example, Canadian compost standards require low levels of fecal coliforms and Salmonellae sp. as a measure of process efficiency [18]. Canadian drinking water standards also require 0 total coliform cfu·100 mL−1 [23]. As well, Canadian standards for agricultural water use of 1000 total coliform and 100 fecal coliform cfu·100 mL−1 [24] correspond with World Health Organization (WHO) (2006) [25] guidelines.
This research intended to quantify the occurrence and persistence (over time and in space) of indicators of bacterial pathogens in solid and liquid media during the biopiling of slaughterhouse-residuals (SLRs). To study this topic, a facility was constructed that allowed for analysis of physical, biological, chemical, and hydrological biopile parameters (Michitsch et al., 2010) [26]. Five indicators of pathogenic bacteria were monitored: the family Enterobacteriaceae (EB), TC bacteria, Escherichia coli (EC), nalidixic acid-resistant E. coli (EC NAR), and Streptococcus fecalis (SF).

2. Materials and Methodology

Experiments 1 (E1) and 2 (E2) were conducted in 2006 and 2007, starting on calendar days (CD) 217 and 164 and lasting 164 d and 141 d, respectively. Approximately 800 kg of locally-sourced swine, lamb, bovine, and rabbit slaughterhouse-residuals (SLRs) were placed on ≈30 cm of sawdust and covered by ≈30 cm of sawdust from spruce (Picea rubens Sarg.) and hemlock (Tsuga canadensis [L.] Carr.) to create biopiles. The biopiles formed 2.6 m × 4.6 m × 1.8 m (wide/long/high) windrows, which were established on top of ≈30 cm sandy-loam, humo-ferric podzol soil layers of the Truro series [27]. The soil layers were compacted to a bulk density of ≈1.15 g cm−3. This soil–biopile matrix was formed in each of three concrete cells that were constructed in Bible Hill, Nova Scotia (43°33′N, 80°13′W). The cells were reproducible in design and function, and capable of capturing all effluent from the cell [26]. Each cell had inner dimensions of 2.6 m × 4.6 m × 3.3 m (wide/long/deep), and the floor and drain perimeters were lined with self-expanding tape to ensure that all effluent exited down a central floor drain. From each drain, PVC piping (10 cm diam.) extended to a sampling hut where biopile effluent was quantified hourly by tipping buckets.
In both experiments, the biopile effluent from each cell was sampled three to four times per week and stored in sterilized 250 mL containers, refrigerated, and analyzed for the indicator bacteria within 24 h at the Nova Scotia Agricultural College (Truro, NS, Canada). Enumeration methods were previously described (Michitsch et al., 2011) [28]. In both experiments, TC and EC were enumerated using the HACH™ mColi-Blue (HACH Company, Loveland, CO, USA, 2000) [29] and PetriFilm™ E. coli/Coliform Count Plate (3M Canada, London, ON, Canada) methods. EC NAR enumeration was adapted from established methods [16,30]. The PetriFilm™ Enterobacteriaceae Count Plate method (3M Canada) was used for EB enumeration. SF was enumerated using USEPA (2005) [31] Method 1600 and APHA Method 9230 C [32]. EB and SF were enumerated only in the final effluent samples in E1, but for all samples in E2.
Solid media (i.e., soil, sawdust, SLRs) were sampled at the start of each experiment, and similarly analyzed for EB, TC, EC, and SF [28]. At the start of the first experiment, 108.5 cfu·g−1 of EC NAR was inoculated into each biopile according to Michitsch et al. (2009; 2011) [28,33]. During the second experiment on CDs, 200 and 259, 109.1 and 109.2 cfu·g−1 were inoculated into the biopiles, respectively. The EC NAR was similarly analyzed in the solid media. At the end of each experiment, each biopile was sampled at three vertical locations at each of three horizontal locations equally spaced along the biopile, for nine total solid biopile samples per cell. After the biopiles were removed, soil samples were collected from an equidistant 3 × 2 (long/wide) grid below the soil surface from 0–10 cm and 10–20 cm depths in each cell. The solid media samples were processed to form ≥10:1 diluent:sample mixtures [34] to prevent particle interference during bacterial enumeration [35].
Indicator bacteria enumeration data were normalized by a Log10 transformation (McSpadden-Gardener, 2007) [36] and analyzed over time (repeated measures) and in space (cell or biopile location) using Proc GLM and Proc CORR (SAS, Cary, NC, USA, 2008) [37]. For the biopile effluent samples, the indicator enumerations were not analyzed in space due to the conglomeration of liquid from each cell into single samples.

3. Results

3.1. Slaughterhouse-Residual Media

The SLRs in E1 contained relatively low levels of TC and EC (<104 cfu·g−1; Table 1) compared to E2 (<109 cfu·g−1; Table 2). However, TC and EC levels were not correlated with one another in the SLRs in either experiment. As well, EC NAR was not detected in this source material for either experiment.

3.2. Sawdust and Biopile Media

In E1, initial TC levels in the sawdust (≈5000 cfu·g−1) were two magnitudes higher than the final biopile TC levels (30 cfu·g−1) after 164 d of biopiling (Table 1). EC was not detected. Conversely, no TC was detected at the start of E2 in the sawdust, but ≈500 cfu·g−1 was detected after 141 d of biopiling. In the second experiment, the final levels of EB and SF in the biopile media were similar to the final levels of TC in the biopile media in E1 (≈100 cfu·g−1; Table 2). However, the initial sawdust and final biopile EB levels were similar, whereas little SF was initially detected. As well, EB, TC, and SF were positively correlated (p ≤ 0.10; r2 = 0.27–0.48) with one another when detected in the final biopile media, while EC was not detected in E2.

3.3. Soil Media

In initial and final 0–10 and 10–20 cm deep soil samples underneath the biopiles in E1, ≈100 cfu·g−1 of EB (i.e., no initial value for E1) and TC were detected (Table 1). In E2, ≈105 cfu·g−1 of EB and TC were detected in the samples, though no TC was detected in the 10–20 cm deep samples (Table 2). EB and TC were thus positively correlated (p ≤ 0.05; r2 = 0.29–0.47) in the initial and final 0–10 cm soil samples. Neither EC nor SF were detected in any soil sample.

3.4. Liquid Media

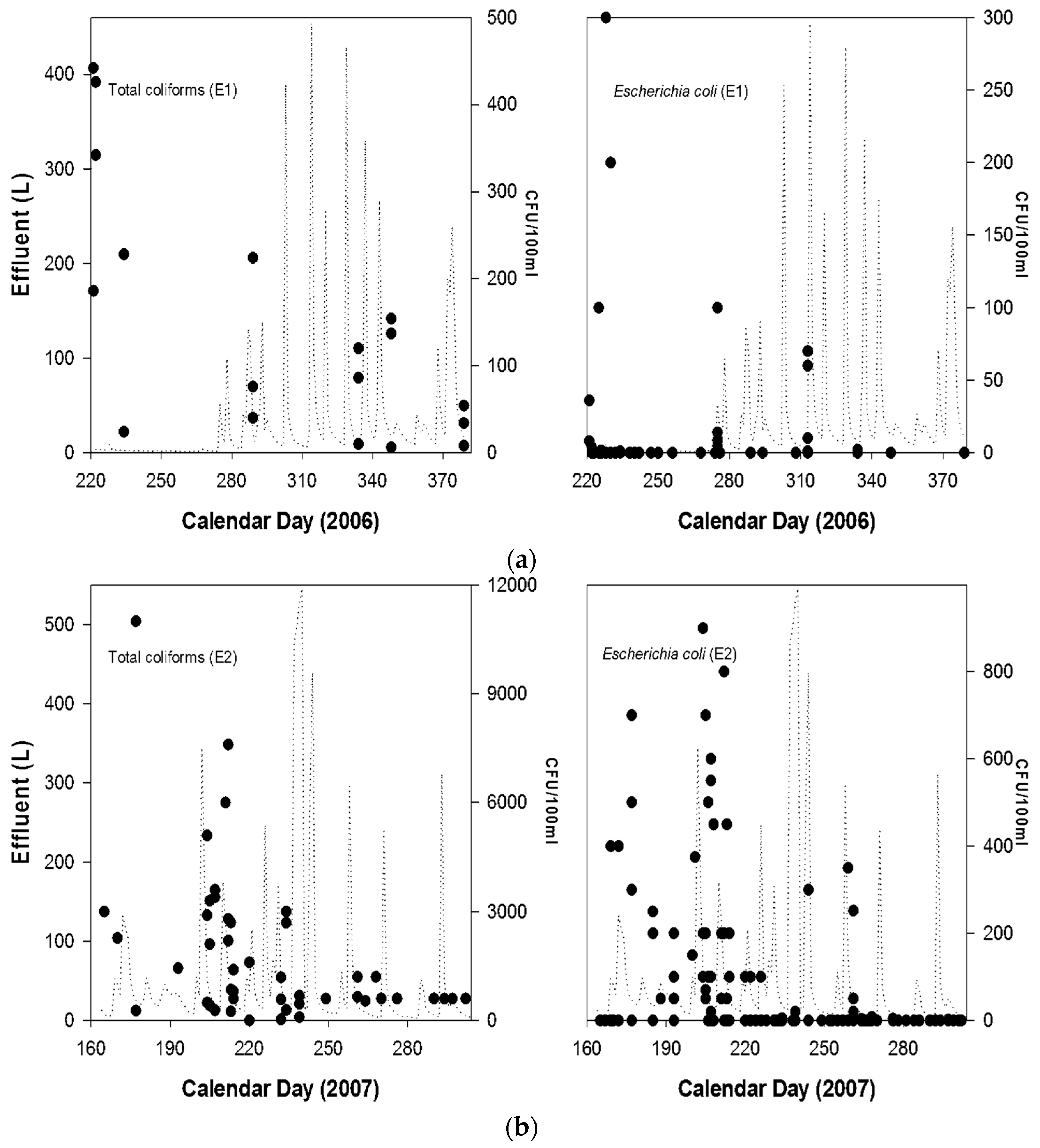
Large reductions of EB, TC, and EC were observed in cell effluent as biopiling progressed in both experiments (Figure 1). This was reported by Michitsch et al., 2011 using comparisons of indicator bacteria load [28]. However, though all other TC levels in E1 were <500 cfu·100 mL−1, TC counts in E1 were unexpectedly elevated on CD 275 (3.1 × 104 cfu·100 mL−1) and CD 313 (3000 cfu·100 mL−1; Figure 1). For EC in E1, only CD 275 yielded a detection level that was significantly greater than zero (p ≤ 0.05). After excluding the two outlying TC counts in E1, the initial levels of TC and EC declined exponentially (Figure 2). In E2, the enumerated levels of the indicator bacteria were much higher than E1 (Figure 1). However, EC NAR inoculations on CDs 200 and 259 coincided with elevated EB, TC, and EC (CD 200 only) detections. Similarly to E1, the exclusion of some outliers yielded exponentially decreasing trends for the indicator bacteria in cell effluent samples in E2 (Figure 2). Lastly, the EB levels remained consistently higher than TC and EC levels during the population decline (Figure 1).
An exponential increase of SF in E2 was observed in cell effluent samples (Figure 1). During the decrease in EB, TC, and EC levels in E2, <500 cfu·100 mL−1 of SF was detected in cell effluent samples. However, an exponential increase of SF up to ≈104 cfu·100 mL−1 was observed from CD 275 onward once EB, TC, and EC population levels had stabilized at low levels.
Due to these trends, significant differences were found for EB, TC, EC, and SF counts over time, and when compared to one another (p ≤ 0.05–0.01; r2 = 0.55–0.88). At the p ≤ 0.10 level, TC and EC counts in E1 were correlated in all cells, as were EB, TC, and EC (p ≤ 0.01) in E2. For SF in E2, however, the nine total comparisons between SF and the three EB indicator bacteria (i.e., three contrasts by three cells) resulted in three negative, one positive, and five insignificant correlations at the p ≤ 0.05 level.

3.5. Persistent Pathogens and Escherichia coli NAR

Using a load interpolation (i.e., concentration × volume), 3.5 × 104 cfu·m−2 and 3.1 × 106 cfu·m−2 of EC NAR accumulated during E1 and E2, respectively [28]. In E1, only a single detection of EC NAR (300 cfu·100 mL−1) on CD 247 from all effluent samples was found to be >0 cfu·100·mL−1. In E2, a maximum count of 3000 cfu·100 mL−1 was detected twice in effluent samples from Cell 1, occurring on successive days after it was inoculated on CD 200. At other times in E2, low and sporadic detection of EC NAR occurred after the inoculations of EC NAR on CDs 200 and 259, and only after precipitation events.

4. Discussion

Due to an established hierarchy [38,39], detection of (potentially pathogenic) EC should elicit a detection of TC, as should detection of EC and TC for a detection of EB. As well, since EC NAR mimics EC behavior but is not naturally present in the environment, it is commonly used as a tracer indicator bacterium of pathogenic EC bacteria. However, since SF is not a member of the EB family, its detection patterns would not be expected to follow those of the EB members. These trends were observed in this research.

4.1. Input Media

Bacterial levels in SLRs have been reported upwards of ≈1012 cfu·g−1 [1]. However, the indicator bacteria levels (i.e., EB, TC, EC, SF) detected in the SLRs in E1 (≈103 cfu·g−1) and E2 (≈107 cfu·g−1) were low in comparison (Table 1 and Table 2). As well, the levels of the individual indicator bacteria were not correlated in either experiment. This was attributed to methodological limitations, primarily the need for several serial dilutions during the processing of samples.

4.2. Sawdust and Biopile Media

Inconsistent trends were observed for levels of the indicator bacteria in the sawdust and biopile end-product. A lack of EC in both experiments, and SF in E1 biopile samples and E2 sawdust samples, was anticipated since these bacteria exist primarily in the gastro-intestinal tracts of warm-blooded animals [40]. The overall lack of EC also indicated that it did not persist in the biopiles, or was inactivated or transported away, since large amounts were initially contributed by the SLRs or EC NAR inoculations (Table 1 and Table 2). Inactivation of EC seemed likely, since little was detected in effluent at the end of either experiment. This confirmed the ability of biopiles to degrade the potentially pathogenic EC bacterium.
It was unclear why no TC was detected in the input sawdust in E2 (Table 2), since 4.8 × 103 cfu·g−1 were detected in E1 (Table 1). High variability in TC counts between the sawdust samples suggested bacterial survival in discrete locations, which may explain this discrepancy. However, this may have been random variability in the input media in E1 and E2, since the magnitudes of bacteria detected were less than the ≈109 cells·g−1 of bacteria that have been detected in nature [1]. Final levels of EB and TC in E1 (<500 cells·g−1), and EB, TC, and SF in E2 (<2000 cells·g−1) in the biopile media samples were relatively close in magnitude and statistically correlated with one another, but likewise variable. Nonetheless, these similarities suggested that stable populations of these bacteria were maintained to the end of biopiling, especially since EB and TC levels were similarly much lower than in the input SLRs.

4.3. Soil Media

Soil analyses were mainly performed to determine if the fecal indicators (EC, SF) could migrate from the biopiles via moving water to establish viable populations in the soil. For example, Winfield and Groisman (2003) [41] suggested that EC cannot survive indefinitely in the environment, but that continuous introduction from agricultural wastes (e.g., effluent from SLR biopiles) allows it to persist. EC and SF were not detected in initial soil samples, thus an initial presence did not confound final analyses (Table 1 and Table 2). However, EC and SF were also not detected in final soil samples. This inferred that these indicators did not dwell in the soil profile upon transport from the biopiles, since they were only detected in effluent from the cells [28].
Due to their natural ubiquity, EB and TC were detected in soil samples in both experiments with little variation (Sobsey et al., 2006 [6]; Table 1 and Table 2). For example, TCs are found naturally in soil, sediments, suspensions, and decaying organic matter [42], and tropical waters [43]. In both initial and final soil samples, average EB and TC levels in E1 (≈102 cfu·g−1) were three magnitudes lower than E2 (≈105 cfu·g−1), but the levels were variable as was observed in the biopile media. For example, elevated EB and TC levels occurred in Cell 2 in E1, but in Cell 3 in E2. However, only 40% of soil samples in E2 led to a positive EB detection, which highlighted the difficulty in monitoring soil microbial populations.

4.4. Persistence in Solid Media

The presence of the indicator bacteria in some final biopile and soil samples suggested they survived and persisted in spite of osmotic stress, temperature extremes, pH fluctuations, predation, etc [41]. Some bacteria likely became dormant, entered a viable-but-not-culturable (VBNC) state, inhabited protective biofilms, or hid within particle cores [44]. For example, Hartz et al. (2008) observed greater EC and Enterococci survival in sand than seawater, and suggested that internal zones of particulate matter offered protection, moisture, and nutrients to enhance survival [45]. Though EB and TC are ubiquitous in nature, the presence of SF in the final biopile samples supported this reasoning.
By sustaining a presence in the biopiles, a continual emigration of the indicator bacteria in moving water may have redistributed themselves in the solid media, which prolonged their existence [41]. Thus, an individual microbe did not necessarily persist but may have ‘traveled’ through the biopile/soil media at the time of sampling. This could have occurred due to high microbial levels in the biopiles, coupled with a lack of protective zones or surface binding sites in the biopile and soil media. Protection by different media is a plausible explanation, since the microbial indicator levels in cell effluent samples did not correspond well with trends of soil water content, or air, biopile, and soil temperature [28]. As well, a continually emigrating bacterial population supported the notion that the bacterial indicators in the biopiles maintained stable population levels.

4.5. Liquid Media

It was found that annual indicator bacteria effluent loads from a biopile comprised <0.01% of their levels contributed by the input media [28]. Thus, biopiling the SLRs successfully inactivated or retained the micro-organisms. Elevated indicator bacteria levels were observed at other times, but for explainable reasons such as an inoculation of EC NAR.
In E1, Cell 2 experienced a large effluent event on CD 275 due to prolonged water retention, as did all cells on CD 313 due to preceding precipitation events (Figure 1). These two separate flow events also coincided with increased indicator detection. However, after statistically excluding these outlying indicator levels, the remaining TC and EC levels in E1 were <500 cfu·100 mL−1 (Figure 2). These levels were well below the WHO (2006) [25] recommended limit of 1000 cfu·100 mL−1 for agricultural irrigation. As well, TC and EC levels proceeded to decrease exponentially as biopiling proceeded, which complemented the findings of Xu et al., (2009) in large-scale, cattle mortality biopiling trials [46]. Our observations highlighted the suitability of the biopiling process to inactivate bacterial pathogens (especially EC), and that little EC was transported away from the biopiles via effluent.
In E2, many precipitation events and the two EC NAR inoculations corresponded with elevated EB, TC, and EC detections (Figure 1). Similar exponential decreases were observed for indicator bacteria populations once outlier values were statistically excluded (Figure 2). The indicator bacteria levels enumerated in E2 were, however, notably higher than E1. As well, EB levels remained expectedly and consistently higher than TC and EC levels during the entire decline, which reflected the diversity of the species that belong to the family Enterobacteriaceae (>100 species). This observation also supported the quality of our data and analytical procedures.
Though EC declined to 0 cfu·100 mL−1 in E1 and E2, EB (E2 only) and TC (E1 and E2) were still detected in effluent samples at the end of biopiling. This suggested that EB and TC persisted, due likely to their ubiquity in the environment. Conversely, the exponential increase of SF observed late in the cell effluent samples in E2 suggested that it persisted until the biopile environment became hospitable for its growth. Statistical analyses confirmed these re-growth trends. As well, SF and the other bacterial indicators were not correlated when compared with external environmental measurements (e.g., biopile temperature; Michitsch et al., 2011 [28]), which highlighted the different survival characteristics of these unrelated bacterial families.
From a persistence perspective stance, the optimistic view suggested that SF persisted at low levels then re-grew once suitable habitat conditions returned. The pessimistic view suggested bacterial persistence at high levels, but in a VBNC state. The use of emergent enumeration technologies (e.g., Polymerase chain reaction (PCR)) was not accessible for this research, which may have clarified this anomaly by enumerating SF regardless of its metabolic state. However, our results indicated a trend not-as-yet observed for animal waste biopiling activities, and one infrequently reported in other media or studies. Further research is warranted on this topic.

4.6. Persistent Pathogens and Escherichia coli NAR

The fate of the EC NAR inoculated into the biopiles was instrumental to understanding the potential for bacterial pathogen persistence. This bacterium has found use as a tracer since it mimics the behavior of pathogenic EC species, it is neither pathogenic nor environmentally endogenous, and it is easily enumerated due to its resistance to the antibiotic nalidixic acid [47]. It has been used to study enteric bacterial fate in sub-surface [48] and stream [16] environments, tile drain effluent following manure application [49], and in aquifers [50]. Like EC, the fate of EC NAR is assumed to represent the fate of all pathogenic bacteria.
In E1, EC NAR was mixed with sawdust, soil, and SLRs, and placed in dialysis bags that were inserted into the biopiles and left in place for the duration of the experiment [28]. The bags mimicked the internal biopile environment and allowed for water and nutrient diffusion, but prevented EC NAR migration into the bulk media. At the end of E1, no EC NAR, or inherent TC or EC, were detected in any bag. Jamieson et al. (2004) indicated that nutrient diffusion limitations and obstruction of pores may affect bag-borne indicators [16]. However, this likely did not affect EC NAR survival in this research since the bags appeared moist, flexible, and intact upon examination at the end of E1. This implied that inactivation was the dominant process in the biopiles.
Little EC NAR accumulated in cell effluent in E1 or E2 compared to the high levels inoculated (≈109 cfu·g−1). The highest detection of EC NAR (3000 cfu·100 mL−1) was enumerated in biopile effluent immediately following inoculation on CD 200 in E2, due primarily to transport associated with a large precipitation event of 102 mm (Figure 1). However, little EC NAR was detected in E1 or following the second inoculation on CD 259 in E2. This suggested EC NAR inactivation or retention in the biopiles. However, EC NAR was infrequently detected at low levels (≤3 cfu·100 mL−1) in some effluent samples during the ≈7 weeks following the second inoculation of EC NAR and until E2 was terminated. This suggested that it had persisted in the media or avoided detection.
In spite of irregular detection of EC NAR in cell effluent samples, it was not found in solid media samples before or after either experiment. Thus, EC NAR was likely inactivated and not retained in the biopiles. It can be inferred that pathogenic bacteria would likely experience the same fate in biopiles. However, if EC NAR had persisted in the biopiles to allow its detection in cell effluent at the end of E2, then other pathogenic bacteria may have survived the biopiling process. This conundrum highlights why secondary methods (e.g., tertiary biopiling phases, effluent and run-off control measures) are performed and recommended to promote and ensure bacterial pathogen degradation in decomposition processes.

5. Summary

Pathogenic bacteria may persist in different media for extended periods in viable or non-culturable states with the potential to re-grow. Temperature, soil water content, and nutrient availability can be controlling factors. In this research, the slaughterhouse-residuals and inoculated nalidixic acid-resistant E. coli represented large sources of the indicator bacteria, but certain media (e.g., soil) were void of the indicator bacteria while other media (e.g., biopile effluent) showed exponentially decreasing populations of the indicator bacteria in both experiments. This highlighted the suitability of biopiling for partial bacterial pathogen inactivation. Low-level presence of Enterobacteriaceae, total coliforms, and E. coli in final biopile and soil samples, however, suggested their persistence but not migration from the media, whereas S. fecalis exhibited re-growth patterns in less ideal environmental conditions. The fate of inoculated nalidixic acid-resistant E. coli supported inactivation as the primary process in the biopiles. However, the biopiles harbored constant populations of the indicator bacteria due to persistence in isolated locations and changes in dominant bacterial species. This suggested that tertiary biopiling phases and secondary methods are necessary to ensure pathogen degradation.

Acknowledgments

This research was supported by Agri-Futures Nova Scotia, Advancing Canadian Agriculture and Agri-Food Agreement (ACAAF), New Brunswick Agriculture Council Inc./Conseil Agricole du Noveau Brunswick Inc. (NBAC-CANB), Agriculture and Agri-Food Canada (AAFC), Natural Science and Engineering Research Council of Canada (NSERC), Nova Scotia Department of Agriculture (NSDA), and Dalhousie University. Supplemental resources were attributed by Nova Scotia Agricultural College (NSAC) and Soil & Crop Improvement Association of Nova Scotia (SCIANS).

Author Contributions

R.M., R.G., R.J. and G.S. conceived and designed the experiments. R.M. performed the experiments, analyzed the data, and wrote the paper with guidance from all co-authors. R.G., R.J. provided materials, laboratory space and expertise.

Conflicts of Interest

The authors declare no conflict of interest.

Abbreviations

(CD) calendar day; (cfu) colony forming unit; (E1) Experiment 1; (E2) Experiment 2; (EB) Family Enterobacteriaceae; (EC) Escherichia coli; (EC NAR) nalidixic acid-resistant E. coli; (SF) Streptococcus fecalis; (SLR) slaughterhouse-residual; (TC) total coliform; (VBNC) viable-but-not-culturable.

References

  1. Whitman, W.B.; Coleman, D.C.; Wiebe, W.J. Prokaryotes: The unseen majority. Proc. Natl. Acad. Sci. USA 1998, 85, 6578–6583. [Google Scholar] [CrossRef]
  2. Stecher, B.; Hardt, W.-D. The role of microbiota in infectious disease. Trends Microbiol. 2008, 16, 107–114. [Google Scholar] [CrossRef] [PubMed]
  3. Prescott, L.M.; Harley, J.P.; Klein, D.A. Microbiology, 3rd ed.; Wm. C. Brown Publishers: Dubuque, IA, USA, 1996. [Google Scholar]
  4. Park, S.Y.; Woodward, C.L.; Kubena, L.F.; Nisbet, D.J.; Birkhold, S.G.; Ricke, S.C. Environmental dissemination of foodborne Salmonella in preharvest poultry production: Reservoirs, critical factors, and research strategies. Crit. Rev. Environ. Sci. Technol. 2008, 38, 73–111. [Google Scholar] [CrossRef]
  5. Lemunier, M.; Francou, C.; Rousseaux, S.; Houot, S.; Dantigny, P.; Piveteau, P.; Guzzo, J. Long-term survival of pathogenic and sanitation indicator bacteria in experimental biowaste composts. Appl. Environ. Microbiol. 2005, 71, 5779–5786. [Google Scholar] [CrossRef] [PubMed]
  6. Sobsey, M.D.; Khatib, L.A.; Hill, V.R.; Alocilja, E.; Pillai, S. Pathogens in animal wastes and the impacts of waste management practices on their survival, transport and fate. In Animal Agriculture and the Environment: National Center for Manure and Animal Waste Management White Papers; Rice, J.M., Caldwell, D.F., Humenik, F.J., Eds.; ASABE: St. Joseph, MI, USA, 2006; pp. 609–666. [Google Scholar]
  7. Turpin, P.E.; Maycroft, K.A.; Rowlands, C.L.; Wellington, E.M.H. Viable but non-culturable Salmonellas in soil. J. Appl. Bacteriol. 1993, 74, 421–427. [Google Scholar] [CrossRef] [PubMed]
  8. Nicholson, F.A.; Groves, S.J.; Chambers, B.J. Pathogen survival during livestock manure storage and following land application. Bioresour. Technol. 2005, 96, 135–143. [Google Scholar] [CrossRef] [PubMed]
  9. Conboy, M.J.; Goss, M.J. Identification of an assemblage of indicator organisms to assess timing and source of bacterial contamination in groundwater. Water Air Soil Pollut. 2000, 129, 101–118. [Google Scholar] [CrossRef]
  10. Frey, S.D. Spatial distribution of soil organisms. In Soil Microbiology, Ecology, and Biochemistry; Paul, E.A., Ed.; Elsevier: Burlington, MA, USA, 2007; pp. 283–300. [Google Scholar]
  11. Dapilly, N.; Neyrat, A. Etude des microorganismes pathogènes dans les composts. Rapport de recherche bibliographique CREED. 1999. Available online: http://portailbiblio.ipsl-edu.com/gediweb5/;jsessionid=660489F566F7422719A267FF4E439BA9?0&docId=90141&page=home&displayTab=2&blocOngletId=15645 (accessed on 26 September 2017).
  12. Gale, P. Risks to farm animals from pathogens in composted catering waste containing meat. Vet. Rec. 2004, 155, 77–82. [Google Scholar] [CrossRef] [PubMed]
  13. Smith, J.E., Jr.; Millner, P.D.; Jakubowski, W.; Goldstein, N.; Rynk, R. (Eds.) Contemporary Perspectives on Infectious Disease Agents in Sewage Sludge and Manure; The JG Press, Inc.: Emmaus, UK, 2005. [Google Scholar]
  14. Van Elsas, J.D.; Ling, T.; Finlay, R.D.; Killham, K.; Trevors, J.T. Microbial interactions in soil. In Modern Soil Microbiology; van Elsas, J.D., Jansson, J.K., Trevors, J.T., Eds.; CRC Press, Taylor & Francis Group: Boca Raton, FL, USA, 2007; pp. 177–210. [Google Scholar]
  15. Islam, M.; Doyle, M.P.; Phatak, S.C.; Millner, P.; Jiang, X. Survival of Escherichia coli O157:H7 in soil and on carrots and onions grown in fields treated with contaminated manure composts or irrigation water. Food Microbiol. 2005, 22, 63–70. [Google Scholar] [CrossRef]
  16. Jamieson, R.C.; Joy, D.M.; Lee, H.; Kostaschuk, R.; Gordon, R.J. Persistence of enteric bacteria in alluvial streams. J. Environ. Eng. Sci. 2004, 3, 203–212. [Google Scholar] [CrossRef]
  17. Wilkinson, K.G. The biosecurity of on-farm mortality composting. J. Appl. Microbiol. 2007, 102, 609–618. [Google Scholar] [CrossRef] [PubMed]
  18. CCME (Canadian Council for Ministers of the Environment). Guidelines for Compost Quality; Report No. PN 1340; CCME: Winnipeg, MB, Canada, 2005. [Google Scholar]
  19. Jamieson, R.C. An Investigation of the Fate and Transport of Enteric Bacteria in Alluvial Streams. Ph.D. Thesis, University of Guelph, Guelph, ON, Canada, May 2005. [Google Scholar]
  20. Ahring, B.K. Perspectives for anaerobic digestion. Adv. Biochem. Eng. Biotechnol. 2003, 81, 1–30. [Google Scholar] [PubMed]
  21. Noonan, M.J.; Harman, H.; Keeley, G.M. An alternative method for reducing numbers of fecal coliform bacteria in slaughterhouse effluent. In Alternative Waste Treatment Systems; Bhamidimarri, R., Ed.; Elsevier Science Publishing Co., Inc.: New York, NY, USA, 1988; pp. 219–229. [Google Scholar]
  22. Yan, T.; Sadowsky, M.M. Determining sources of fecal bacteria in waterways. Environ. Monit. Assess. 2007, 129, 97–106. [Google Scholar] [CrossRef] [PubMed]
  23. Health Canada. Guidelines for Canadian Drinking Water Quality: Summary Table. 2008. Available online: http://www.hc-sc.gc.ca/ewh-semt/alt_formats/hecs-sesc/pdf/pubs/water-eau/sum_guide-res_recom/summary-sommaire-eng.pdf (accessed on 1 October 2008).
  24. CCME (Canadian Council for Ministers of the Environment). Canadian Water Quality Guidelines for the Protection of Agricultural Water Uses: Summary Table. 2005. Available online: http://ceqg-rcqe.ccme.ca/ (accessed on 1 October 2008).
  25. WHO (World Health Organization). Guidelines for the Safe Use of Wastewater, Excreta, and Greywater; Wastewater Use in Agriculture; WHO: Geneva, Switzerland, 2006; Volume 2. [Google Scholar]
  26. Michitsch, R.; Gordon, R.; Jamieson, R. A system to evaluate livestock mortality biopiles. J. Appl. Agric. Res. 2010, 3, 85–101. [Google Scholar]
  27. Webb, K.T.; Thompson, R.L.; Beke, G.J.; Nowland, J.L. Soils of Colchester County, Nova Scotia: Nova Scotia Soil Survey; Report No. 19. Land Resource Research Centre Contribution No. 85-45; Minister of Supply and Services Canada: Ottawa, ON, Canada, 1991. [Google Scholar]
  28. Michitsch, R.; Jamieson, R.; Gordon, R.; Stratton, G.; Lake, C. Bacterial pathogen indicator transport from livestock mortality biopiles. J. Environ. Qual. 2011, 44, 1355–1365. [Google Scholar] [CrossRef] [PubMed]
  29. HACH Company. The Use of Indicator Organisms to Assess Public Water Safety. Technical Information Series—Booklet No. 13. 2000. Available online: http://www.hach.com/fmmimghach?/CODE%3AL7015547%7C1 (accessed on 1 December 2007).
  30. USEPA. USEPA Method 1603: Results of the Interlaboratory Validation of EPA Method 1603 (Modified mTEC) for E. coli in Wastewater Effluent; ID# EPA-821-R-04-009; United States Environmental Protection Agency, Office of Water: Washington, DC, USA, 2004.
  31. USEPA. USEPA Method 1600: Enterococci in Water by Membrane Filtration Using Membrane-Enteroccus Indoxyl-β-d-glucoside Agar (mEI); ID# EPA-821-R-04-023; United States Environmental Protection Agency, Office of Water: Washington, DC, USA, 2005.
  32. Eaton, A.D.; Clesceri, L.S.; Greenberg, A.E. Standard Methods for the Examination of Water and Wastewater; APHA: Washington, DC, USA; AWWA: Denver, CO, USA; WEF: Alexandria, VA, USA, 1995. [Google Scholar]
  33. Michitsch, R.C. Bacterial Pathogen Fate in Slaughterhouse-residual Biopiles. Ph.D. Thesis, Dalhousie University, Halifax, NS, Canada, July 2009. [Google Scholar]
  34. Zuberer, D.A. Recovery and enumeration of viable bacteria. In Methods of Soil Analysis Part 2: Microbiological and Biochemical Properties; Bigham, J.M., Mickelson, S.H., Eds.; Soil Science Society of America, Inc.: Madison, WI, USA, 1994; pp. 127–129. [Google Scholar]
  35. Andrews, W.H.; Hamack, T.S.E. Microbiological methods. In Official Methods of Analysis of AOAC International; Horwitz, W., Latimer, G.W., Jr., Eds.; Association of Official Analytical Chemists International: Gaithersburg, MD, USA, 2005. [Google Scholar]
  36. McSpadden-Gardener, B.B. Statistical analyses of microbiological and environmental data. In Modern Soil Microbiology; van Elsas, J.D., Jansson, J.K., Trevors, J.T., Eds.; CRC Press, Taylor & Francis Group: Boca Raton, FL, USA, 2007; pp. 553–583. [Google Scholar]
  37. SAS. The SAS System for Windows: Release 9.1.3; SAS Institute: Cary, NC, USA, 2008. [Google Scholar]
  38. Holt, J.G. (Ed.) Bergey’s Manual of Determinative Bacteriology; Williams and Wilkins: Baltimore, MD, USA, 1984; Available online: https://archive.org/details/bergeysmanualofd1957amer (assessed on 26 September 2017).
  39. Holt, J.G. (Ed.) Bergey’s Manual of Systematic Bacteriology; Williams and Wilkins: Philadelphia, PA, USA, 1984; Available online: https://searchworks.stanford.edu/view/318937 (assessed on 26 September 2017).
  40. Dworkin, M. (Ed.) The Prokaryotes: A Handbook on the Biology of Bacteria, 3rd ed.; Springer Science & Business Media: New York, NY, USA, 2006; Volume 1–7. [Google Scholar]
  41. Winfield, M.D.; Groisman, E.A. Role of nonhost environments in the lifestyles of Salmonella and Escherichia coli. Appl. Environ. Microbiol. 2003, 69, 3687–3694. [Google Scholar] [CrossRef] [PubMed]
  42. Namura, M.; Hijikata, T.; Miyanaga, K.; Tanji, Y. Detection of Escherichia coli with fluorescent labeled phages that have a broad host range to E. coli in sewage water. Biotechnol. Prog. 2008, 24, 481–486. [Google Scholar] [CrossRef] [PubMed]
  43. Hazen, T. Fecal coliforms as indicators in tropical waters: A review. Environ. Toxicol. 1988, 3, 461–477. [Google Scholar] [CrossRef]
  44. Nybroe, O.; Brandt, K.K.; Nicolaisen, M.H.; Sörensen, J. Methods to detect and quantify bacteria in soil. In Modern Soil Microbiology; van Elsas, J.D., Jansson, J.K., Trevors, J.T., Eds.; CRC Press, Taylor & Francis Group: Boca Raton, FL, USA, 2007; pp. 283–316. [Google Scholar]
  45. Hartz, A.; Cuvelier, M.; Nowosielski, K.; Bonilla, T.D.; Green, M.; Esiobu, N.; McCorquodale, D.S.; Rogerson, A. Survival potential of Escherichia coli and Enterococci in subtropical beach sand: Implications for water quality managers. J. Environ. Qual. 2008, 37, 898–905. [Google Scholar] [CrossRef] [PubMed]
  46. Xu, W.; Reuter, G.; Inglis, D.; Larney, F.J.; Alexander, T.W.; Guan, J.; Stanford, K.; Xu, Y.; McAllister, T.A. A biosecure composting system for disposal of cattle carcasses and manure following infectious disease outbreak. J. Environ. Qual. 2009, 38, 437–450. [Google Scholar] [CrossRef] [PubMed]
  47. Kandeler, E. Physiological and biochemical methods for studying soil biota and their function. In Soil Microbiology, Ecology, and Biochemistry; Paul, E.A., Ed.; Elsevier: Burlington, MA, USA, 2007; pp. 53–83. [Google Scholar]
  48. Joy, D.; Lee, H.; Reaume, C.; Whiteley, H.; Zelin, S. Microbial contamination of subsurface tile drainage water from field application of liquid manure. Can. Agric. Eng. 1998, 40, 153–160. [Google Scholar]
  49. Dean, D.M.; Foran, M.E. The effect of farm liquid waste application on tile drainage. J. Soil Water Conserv. 1992, 5, 368–369. [Google Scholar]
  50. Harvey, R.W.; Harms, H. Tracers in groundwater: Use of microorganisms and microspheres. In Encyclopedia of Environmental Microbiology; Bitton, G., Ed.; Wiley-Interscience: New York, NY, USA, 2002; pp. 3194–3202. [Google Scholar]
Figure 1. Total coliform and Escherichia coli levels (cfu·100 mL−1) for (a) Experiments 1 (E1; 2006) and (b) 2 (E2, 2007), and (c) the family Enterobacteriaceae and Streptococcus fecalis levels (cfu·100 mL−1) for Experiment 2 (E2; 2007), in biopile effluent.
Figure 1. Total coliform and Escherichia coli levels (cfu·100 mL−1) for (a) Experiments 1 (E1; 2006) and (b) 2 (E2, 2007), and (c) the family Enterobacteriaceae and Streptococcus fecalis levels (cfu·100 mL−1) for Experiment 2 (E2; 2007), in biopile effluent.
Resources 06 00049 g001
Figure 2. Total coliform and Escherichia coli levels (cfu·100 mL−1) for (a) Experiments 1 (E1; 2006) and (b) 2 (E2; 2007) in biopile effluent.
Figure 2. Total coliform and Escherichia coli levels (cfu·100 mL−1) for (a) Experiments 1 (E1; 2006) and (b) 2 (E2; 2007) in biopile effluent.
Resources 06 00049 g002
Table 1. Bacterial indicator levels (cfu·g−1) in solid media including sawdust/biopile, soil, and slaughterhouse residuals in Experiment 1.
Table 1. Bacterial indicator levels (cfu·g−1) in solid media including sawdust/biopile, soil, and slaughterhouse residuals in Experiment 1.
TimenTC (cfu·g−1)EC (cfu·g−1)EB (cfu·g−1)SF (cfu·g−1)
Sawdust/Biopile
Initial 24.8 × 103 ± 5.8 × 1020 ± 0--
Final273.0 × 101 ± 1.5 × 1020 ± 08.1 × 101 ± 4.2 × 1020 ± 0
Soil
Initial21.0 × 102 ± 1.4 × 1020 ± 0--
10 cm §181.6 × 102 ± 5.0 × 1020 ± 03.3 × 102 ± 8.2 × 1020 ± 0
20 cm §185.3 × 102 ± 1.5 × 1030 ± 05.9 × 102 ± 1.7 × 1030 ± 0
Slaughterhouse residuals
Initial55.1 × 103 ± 3.5 × 1036.3 × 102 ± 1.3 × 103--
TC: total coliforms; EC: Escherichia coli; EB: Enterobacteriaceae; SF: Streptococcus fecalis; sawdust only; § final sample.
Table 2. Bacterial indicator levels (cfu·g−1) in solid media including sawdust/biopile, soil and slaughterhouse residuals in Experiment 2.
Table 2. Bacterial indicator levels (cfu·g−1) in solid media including sawdust/biopile, soil and slaughterhouse residuals in Experiment 2.
TimenTC (cfu·g−1)EC (cfu·g−1)EB (cfu·g−1)SF (cfu·g−1)
Sawdust/Biopile
Initial 40 ± 00 ± 02.2 × 103 ± 2.2 × 1031 ± 1
Final184.8 × 102 ± 1.4 × 1030 ± 01.8 × 103 ± 2.1 × 1039.7 × 101 ± 1.1 × 102
Soil
Initial51.0 × 105 ± 1.4 × 1050 ± 08.0 × 105 ± 1.1 × 1060 ± 0
10 cm §91.1 × 104 ± 3.3 × 1040 ± 01.4 × 105 ± 3.0 × 1050 ± 0
20 cm §90 ± 00 ± 03.0 × 105 ± 7.5 × 1050 ± 0
Slaughterhouse residuals
Initial61.5 × 107 ± 2.7 × 1074.3 × 105 ± 7.0 × 1055.1 × 108 ± 7.8 × 1089.1 × 101 ± 1.4 × 102
TC: total coliforms; EC: Escherichia coli; EB: Enterobacteriaceae; SF: Streptococcus fecalis; sawdust only; § final sample.

Share and Cite

MDPI and ACS Style

Michitsch, R.; Gordon, R.; Jamieson, R.; Stratton, G. Bacterial Pathogen Occurrence and Persistence in Livestock Mortality Biopiles. Resources 2017, 6, 49. https://doi.org/10.3390/resources6040049

AMA Style

Michitsch R, Gordon R, Jamieson R, Stratton G. Bacterial Pathogen Occurrence and Persistence in Livestock Mortality Biopiles. Resources. 2017; 6(4):49. https://doi.org/10.3390/resources6040049

Chicago/Turabian Style

Michitsch, Robert, Robert Gordon, Rob Jamieson, and Glenn Stratton. 2017. "Bacterial Pathogen Occurrence and Persistence in Livestock Mortality Biopiles" Resources 6, no. 4: 49. https://doi.org/10.3390/resources6040049

APA Style

Michitsch, R., Gordon, R., Jamieson, R., & Stratton, G. (2017). Bacterial Pathogen Occurrence and Persistence in Livestock Mortality Biopiles. Resources, 6(4), 49. https://doi.org/10.3390/resources6040049

Note that from the first issue of 2016, this journal uses article numbers instead of page numbers. See further details here.

Article Metrics

Back to TopTop