Presale Strategies for Fresh Agricultural Products Considering Option Ordering
Abstract
1. Introduction
2. Literature Review
2.1. Fresh Agricultural Product Loss Management
2.2. Presale Strategy
2.3. Option Ordering
3. Description of Decisions and Assumptions
3.1. Retailer Decision Description
3.2. Consumer Decision Description
- (1)
- If , consumers with valuation purchase during the presale period, while those with purchase during the spot-sale period. Thus, consumers’ utility-based decisions generate demand for the retailer in different periods: presale period demand is , and spot-sale period demand is . Here, market size is a random variable uniformly distributed over , representing demand uncertainty.
- (2)
- If , the utility of purchasing during the presale period is always lower than during the spot-sale period, causing all consumers to delay purchase until the spot period. In this case, presale period demand is , and the demand during the spot-sale period is . The model thus degenerates into a spot-sale strategy and is not discussed further.
3.3. Assumptions and Notation
4. Model Construction and Analysis
4.1. Decision Analysis for Wholesale Ordering
4.1.1. Spot-Sale Strategy Under Wholesale Ordering
4.1.2. Presale Strategy Under Wholesale Ordering
- When , ; when , ; when , . Here, implies . When , expected profit moves in the same direction as freshness-keeping effort; when , expected profit moves in the opposite direction to freshness-keeping effort.
4.2. Decision Analysis for Option Ordering
4.2.1. Spot-Sale Strategy Under Option Ordering
4.2.2. Presale Strategy Under Option Ordering
- When , ; when , ; when , . Here, when , . When , expected profit moves in the same direction as freshness-keeping effort; when , expected profit moves in the opposite direction to freshness-keeping effort.
4.3. Impact of Options on Presale
5. Numerical Analysis
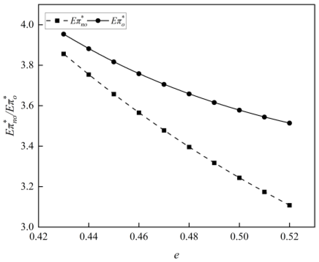
5.1. Impact of Consumer Presale Preference on Retailer Expected Profit and Demand Increment
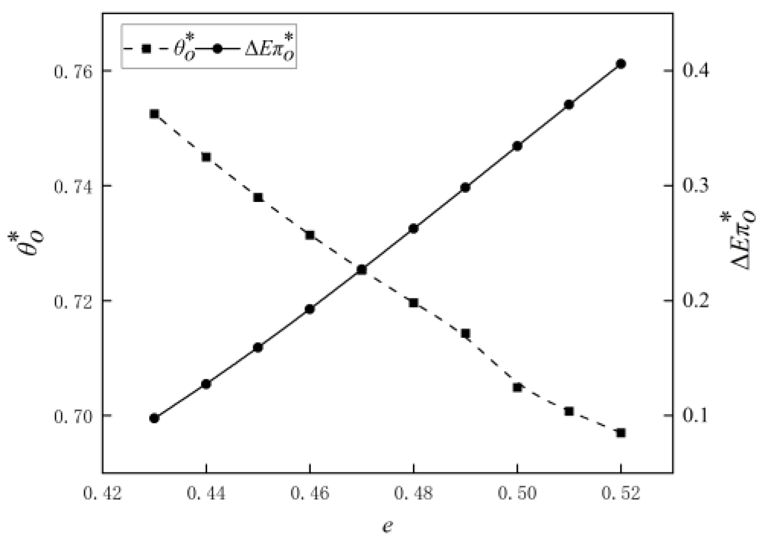
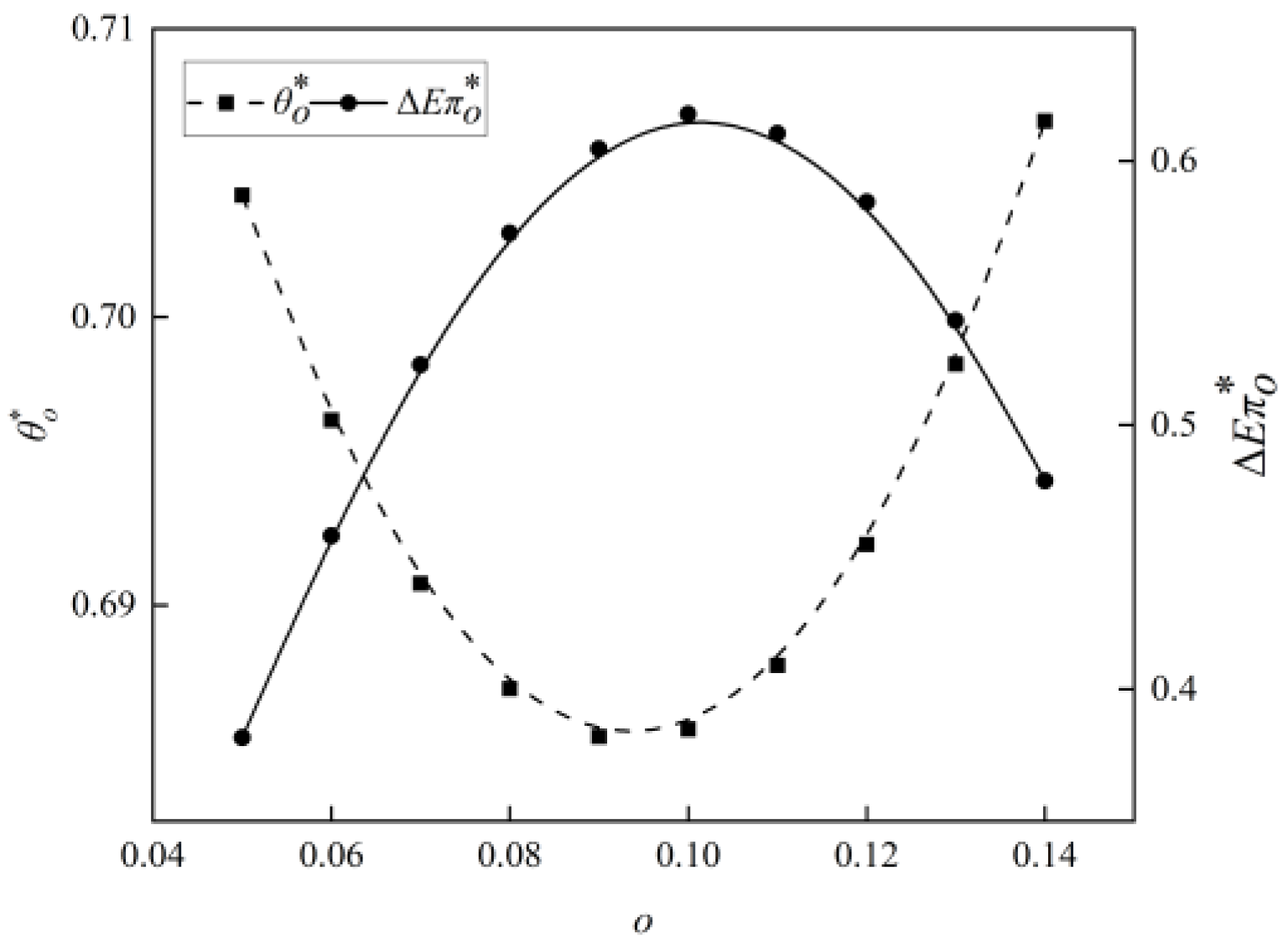
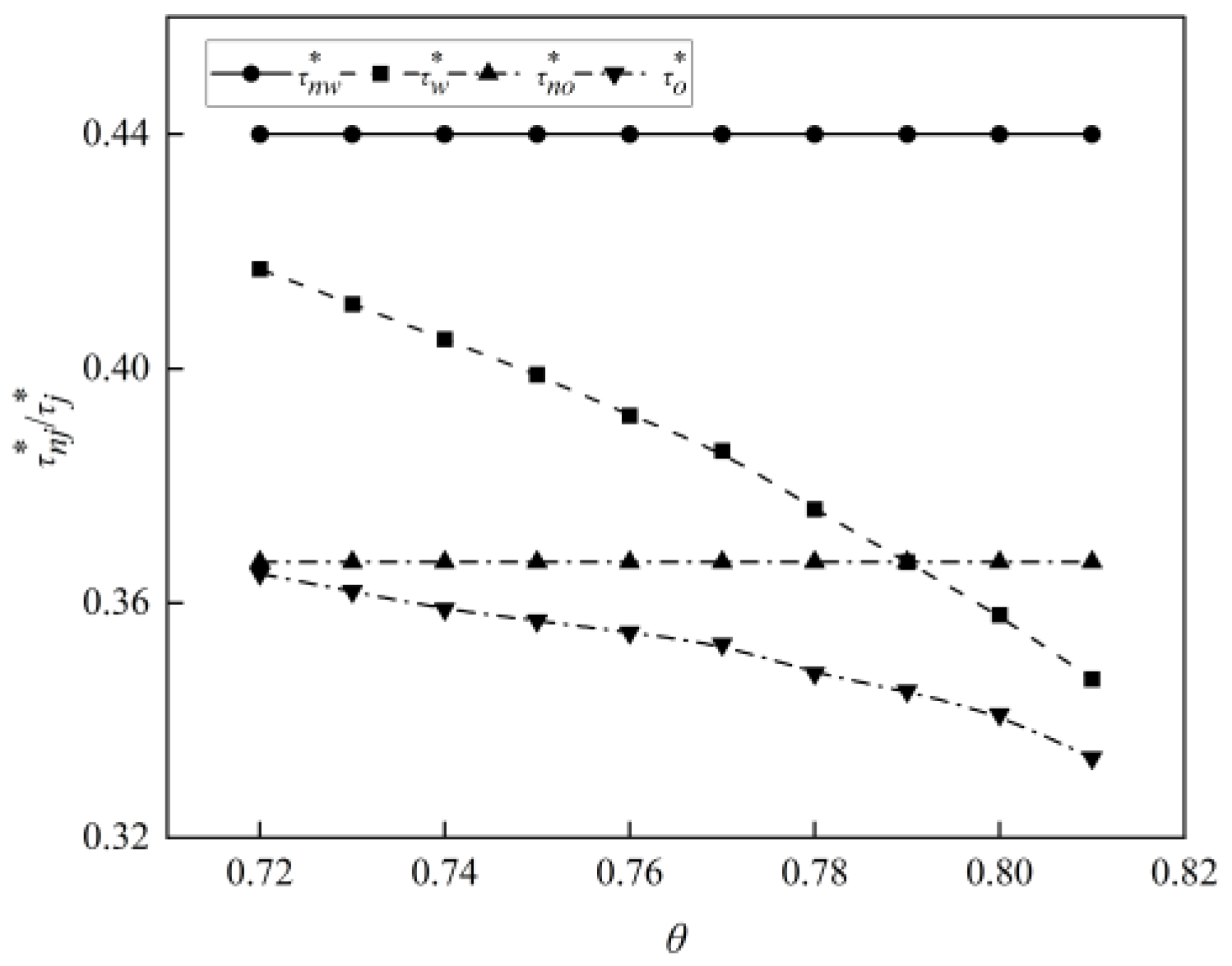
5.2. Impact of Option Contract Parameters on the Presale Implementation Threshold and Retailer Profitability
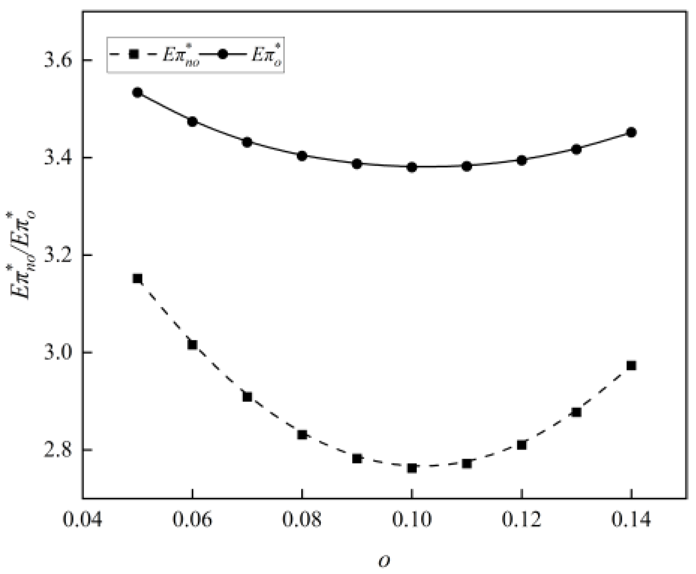
5.3. Impact of Consumer Presale Preference on Retailer Ordering Decisions
5.4. Impact of Presale Preference on Retailers’ Optimal Freshness-Keeping Effort
6. Conclusions
6.1. Research Conclusions
- (1)
- A critical threshold for consumer presale preference exists for implementing presale strategies under both wholesale and option ordering. Only when the consumer presale preference factor exceeds this threshold can retailers achieve higher market share and expected profits from presale strategies compared to spot-sale strategies, indicating that presale strategies can address the market share and profit losses driven by product perishability and demand uncertainty inherent in traditional spot-sale strategies. Additionally, this threshold is higher under option ordering, indicating that retailers face stricter conditions and greater implementation challenges when adopting presales under option ordering.
- (2)
- Compared to wholesale ordering, option ordering reduces the incremental market share and profits generated by presales. However, once consumer presale preference factors exceed a critical threshold, presales under option ordering yield higher expected profits. This suggests that while presales under option ordering may constrain market share expansion, they facilitate achieving higher expected profits.
- (3)
- Provided the critical threshold for implementing presales is met, the presale strategy under wholesale ordering better enables retailers to capture market share, indicating that the presale strategy under wholesale ordering is superior in addressing the market share losses caused by product perishability and demand uncertainty inherent in traditional spot-sale strategies. In this case, retailers should set lower presale prices to attract more low-valuation consumers. Conversely, the presale strategy under option ordering better enables retailers to achieve higher expected profits, indicating that the presale strategy under option ordering is superior in addressing the profit losses caused by product perishability and demand uncertainty inherent in traditional spot-sale strategies. In this scenario, retailers should set higher presale prices and target high-valuation core consumers. Simultaneously, retailers can effectively lower the critical threshold for presale implementation and broaden its applicability by optimizing freshness-keeping investments or adjusting option contract parameters.
- (4)
- Consumer presale preference (), as an exogenous parameter characterizing consumer behavior, is a key factor influencing the retailer’s optimal decisions. As increases, the retailer can set higher presale prices, capture a larger market share, and achieve higher expected profits, while reducing spot period procurement quantities. This underscores the importance for retailers to accurately assess consumer presale preferences—a parameter external to their control yet critical to their performance—when designing presale strategies.
6.2. Managerial Implications
- (1)
- Align ordering mode with strategic objectives. Retailers should first clarify their primary goal. If the objective is to rapidly expand market share, the “wholesale ordering + presale” strategy is recommended. By setting a lower presale price (e.g., 10–15% below the spot price), retailers can attract a broader consumer base, including those with lower valuations, thereby capturing a larger market share. Conversely, if the objective is profit maximization, the “option ordering + presale” strategy should be prioritized. Although this strategy requires a higher presale price (e.g., 5–10% below the spot price) and targets core consumers with stronger willingness to pay, it yields higher expected profits by leveraging the flexibility of options to adjust procurement after demand realization. (2) Optimize option contract parameters to proactively lower presale implementation thresholds: when selecting option contracts, retailers should prioritize options with lower strike prices and purchase prices within reasonable ranges. This approach reduces presale implementation barriers while maximizing expected profits.
- (2)
- Tailor strategies to retailer scale. For small and medium-sized retailers with limited bargaining power and data analytics capabilities, the wholesale ordering + presale strategy is more practical. This approach avoids the complexity of option contract management and allows retailers to use simple price discounts (e.g., “early bird” discounts) to quickly gauge market demand. For large cooperatives or e-commerce platforms with sophisticated risk management systems, the option ordering + presale strategy is preferable. These retailers can leverage demand information from presales to fine-tune option exercise decisions, optimizing the balance between procurement cost and inventory risk. Our numerical analysis shows that for a cooperative processing 2500 tons of Fuji apples annually, adopting the optimal “option ordering + presale” strategy can increase annual profit by approximately CNY 1.2–2.4 million (based on a procurement cost of CNY 7/kg and an 8–15% profit improvement).
- (3)
- Adapt strategies to product perishability. For highly perishable products (e.g., leafy greens, strawberries, fresh mushrooms) where the cost of overstock is extremely high, the “option ordering + presale” strategy is strongly recommended. The flexibility to replenish through option exercise after observing demand reduces the risk of catastrophic losses from unsold inventory. For less perishable items (e.g., apples, root vegetables, citrus) with longer shelf lives, the “wholesale ordering + presale” strategy can be more effective. Retailers can use higher presale discounts to maximize market penetration without the added cost of option premiums.
- (4)
- Quantify option contract optimization. Retailers should actively optimize option contract parameters based on their strategic objectives. Our numerical analysis, calibrated to real-world data from a fruit and vegetable cooperative in Yantai, provides specific guidance. If the goal is to maximize absolute profit, set the option purchase price () as low as possible (e.g., ) and negotiate a lower strike price (). Reducing from to can increase expected profit by . If the goal is to maximize the relative advantage of presales over spot sales (i.e., the profit increment ), set the purchase price around . At this optimal point, the profit increment is higher than at .
6.3. Limitations and Future Research
Author Contributions
Funding
Data Availability Statement
Acknowledgments
Conflicts of Interest
Appendix A
Appendix B
- (1)
- If , then , , , , and is monotonically increasing on .
- (2)
- If , then for , , , , , and is monotonically increasing on ; . For , , , , and is monotonically decreasing on .
- (3)
- When , , , , , and is monotonically decreasing on . □
Appendix C
Appendix D
Appendix E
Appendix F
Appendix G
References
- He, B.; Gan, X.; Yuan, K. Entry of online presale of fresh produce: A competitive analysis. Eur. J. Oper. Res. 2019, 272, 339–351. [Google Scholar] [CrossRef]
- Fay, S.; Xie, J. The Economics of Buyer Uncertainty: Advance Selling vs. Probabilistic Selling. Market. Sci. 2010, 29, 1040–1057. [Google Scholar] [CrossRef]
- Fan, J.; Zhang, X.; Dan, B.; Tian, Y.; Chen, Z. Advance selling of fresh produce e-tailer with uncertain demand and risk-averse consumers. Manag. Decis. Econ. 2024, 45, 1702–1717. [Google Scholar] [CrossRef]
- Wu, S.; Li, B.; Chen, W.; Wang, M. Advance selling strategy of fresh products under two contracts. Int. J. Retail. Distrib. 2024, 52, 892–909. [Google Scholar] [CrossRef]
- Wang, C.; Chen, X. Option pricing and coordination in the fresh produce supply chain with portfolio contracts. Ann. Oper. Res. 2017, 248, 471–491. [Google Scholar] [CrossRef]
- Yang, L.; Tang, R.; Chen, K. Call, put and bidirectional option contracts in agricultural supply chains with sales effort. Appl. Math. Model. 2017, 47, 1–16. [Google Scholar] [CrossRef]
- Tang, Z.; Luo, X.; Chen, X.; Liu, H. Research on Joint Strategy of Order and Pre-sale of Perishable Goods Based on Option. Chin. J. Manag. Sci. 2020, 28, 57–67. [Google Scholar]
- Xu, Q.; Dong, Q.; Shi, B. Joint Strategy of Option Order and Deposit Inflation Pre-sale with Considering Consumers’ Risk Aversion. Chin. J. Manag. Sci. 2023, 31, 193–202. [Google Scholar]
- Cai, X.; Chen, J.; Xiao, Y.; Xu, X. Optimization and Coordination of Fresh Product Supply Chains with Freshness-Keeping Effort. Prod. Oper. Manag. 2010, 19, 261–278. [Google Scholar] [CrossRef]
- Ma, X.; Wang, S.; Islam, S.M.; Liu, X. Coordinating a three-echelon fresh agricultural products supply chain considering freshness-keeping effort with asymmetric information. Appl. Math. Model. 2019, 67, 337–356. [Google Scholar] [CrossRef]
- Yang, L.; Tang, R. Comparisons of sales modes for a fresh product supply chain with freshness-keeping effort. Transport. Res. E-Log. 2019, 125, 425–448. [Google Scholar] [CrossRef]
- Zhang, R.; Huang, Z.; Liu, B.; Wang, J. Freshness-keeping efforts and value-added service choice in fresh food supply chain. Comput. Ind. Eng. 2024, 190, 110063. [Google Scholar] [CrossRef]
- Liu, Y.; Ma, D.; Hu, J.; Zhang, Z. Sales mode selection of fresh food supply chain based on blockchain technology under different channel competition. Comput. Ind. Eng. 2021, 162, 107730. [Google Scholar] [CrossRef]
- Liu, C.; Chen, W.; Zhou, Q.; Mu, J. Modelling dynamic freshness-keeping effort over a finite time horizon in a two-echelon online fresh product supply chain. Eur. J. Oper. Res. 2021, 293, 511–528. [Google Scholar] [CrossRef]
- Dan, B.; Tian, Y.; Zhang, X.; Liu, M.; Ma, S. Cooperation Mode Selection and Information Sharing in a Fresh Produce Supply Chain With Freshness-Keeping Effort. Int. J. Electron. Comm. 2023, 27, 270–294. [Google Scholar] [CrossRef]
- Liu, M.; Dan, B.; Zhang, S.; Ma, S. Information sharing in an E-tailing supply chain for fresh produce with freshness-keeping effort and value-added service. Eur. J. Oper. Res. 2021, 290, 572–584. [Google Scholar] [CrossRef]
- Liu, C.; Hou, P. Dynamic modelling of cold chain logistics services under budget constraints for the delivery of fresh products in an urban area. Appl. Math. Model. 2024, 125, 809–835. [Google Scholar] [CrossRef]
- Ma, X.; Wang, J.; Bai, Q.; Wang, S. Optimization of a three-echelon cold chain considering freshness-keeping efforts under cap-and-trade regulation in Industry 4.0. Int. J. Prod. Econ. 2020, 220, 107457. [Google Scholar] [CrossRef]
- Liu, C.; Lv, J.; Hou, P.; Lu, D. Disclosing products’ freshness level as a non-contractible quality: Optimal logistics service contracts in the fresh products supply chain. Eur. J. Oper. Res. 2023, 307, 1085–1102. [Google Scholar] [CrossRef]
- Li, Y.; Tan, C.; Ip, W.H.; Wu, C.H. Dynamic blockchain adoption for freshness-keeping in the fresh agricultural product supply chain. Expert Syst. Appl. 2023, 217, 119494. [Google Scholar] [CrossRef]
- Cho, S.-H.; Tang, C.S. Advance selling in a supply chain under uncertain supply and demand. M&Som-Manuf. Serv. Oper. 2013, 15, 305–319. [Google Scholar]
- Li, C.; Zhang, F. Advance demand information, price discrimination, and preorder strategies. M&Som-Manuf. Serv. Oper. 2013, 15, 57–71. [Google Scholar]
- Yu, M.; Ahn, H.-S.; Kapuscinski, R. Rationing capacity in advance selling to signal quality. Manag. Sci. 2014, 61, 560–577. [Google Scholar] [CrossRef]
- Yu, M.; Kapuscinski, R.; Ahn, H.-S. Advance Selling: Effects of Interdependent Consumer Valuations and Seller’s Capacity. Manag. Sci. 2015, 61, 2100–2117. [Google Scholar] [CrossRef]
- Zhang, Q.; Cheng, X.; Tsao, Y.-C.; Zhang, D. Advance selling under deposit expansion and consumer’s valuation change. Oper. Res.-Ger. 2021, 22, 3633–3661. [Google Scholar] [CrossRef]
- Zhang, W.; Yang, W. Optimal pre-order strategy with delay in payments. Ann. Oper. Res. 2021, 305, 347–374. [Google Scholar] [CrossRef]
- Nasiry, J.; Popescu, I. Advance Selling When Consumers Regret. Manag. Sci. 2012, 58, 1160–1177. [Google Scholar] [CrossRef]
- Zhang, G.; Li, G.; Shang, J. Optimizing mixed bundle pricing strategy: Advance selling and consumer regret. Omega 2023, 115, 102782. [Google Scholar] [CrossRef]
- Xu, C.; Zhang, B.; Yang, H. Premium pricing and capacity rationing for advance selling with consumers regret. J. Retail. Consum. Serv. 2024, 81, 104021. [Google Scholar] [CrossRef]
- Cheng, Y.; Li, H.; Thorstenson, A. Advance selling with double marketing efforts in a newsvendor framework. Comput. Ind. Eng. 2018, 118, 352–365. [Google Scholar] [CrossRef]
- McCardle, K.; Rajaram, K.; Tang, C.S. Advance booking discount programs under retail competition. Manag. Sci. 2004, 50, 701–708. [Google Scholar] [CrossRef]
- Khouja, M.; Zhou, J. Channel and pricing decisions in a supply chain with advance selling of gift cards. Eur. J. Oper. Res. 2015, 244, 471–489. [Google Scholar] [CrossRef]
- Cachon, G.P.; Feldman, P. Is advance selling desirable with competition? Market. Sci. 2017, 36, 214–231. [Google Scholar] [CrossRef]
- Lu, D.; Wang, P. Dynamic pricing for new experience products in pre-sale mode with social learning. J. Retail. Consum. Serv. 2024, 76, 103569. [Google Scholar] [CrossRef]
- Zhang, Z.; Lim, W.; Cui, H.; Wang, Z. Partial refunds as a strategic price commitment device in advance selling in a service industry. Eur. J. Oper. Res. 2021, 291, 1062–1074. [Google Scholar] [CrossRef]
- Peng, W.; Tian, Z.; Wang, Y. Price guarantee for advance selling in the presence of preorder-dependent social learning. Int. J. Prod. Econ. 2020, 219, 115–122. [Google Scholar] [CrossRef]
- Wang, X.; Tian, J.; Fan, Z.-P. Optimal presale strategy considering consumers’ preference reversal or inconsistency. Comput. Ind. Eng. 2020, 146, 106581. [Google Scholar] [CrossRef]
- Cachon, G.P. Supply chain coordination with contracts. Handb. Oper. Res. Manag. Sci. 2003, 11, 227–339. [Google Scholar]
- Wang, C.; Chen, X. Optimal ordering policy for a price-setting newsvendor with option contracts under demand uncertainty. Int. J. Prod. Res. 2015, 53, 6279–6293. [Google Scholar] [CrossRef]
- Wang, C.; Chen, J.; Chen, X. Pricing and order decisions with option contracts in the presence of customer returns. Int. J. Prod. Econ. 2017, 193, 422–436. [Google Scholar] [CrossRef]
- Chen, X.; Hao, G.; Li, L. Channel coordination with a loss-averse retailer and option contracts. Int. J. Prod. Econ. 2014, 150, 52–57. [Google Scholar] [CrossRef]
- Liu, Z.; Chen, L.; Li, L.; Zhai, X. Risk hedging in a supply chain: Option vs. price discount. Int. J. Prod. Econ. 2014, 151, 112–120. [Google Scholar] [CrossRef]
- Zhao, Y.; Ma, L.; Xie, G.; Cheng, T.E. Coordination of supply chains with bidirectional option contracts. Eur. J. Oper. Res. 2013, 229, 375–381. [Google Scholar] [CrossRef]
- Feng, S.; Liu, J.; Hu, X. Presale strategy for a dual-channel retailer considering sales effort. IEEE Access 2021, 9, 40318–40335. [Google Scholar] [CrossRef]
- Zhao, Z.; Cheng, Y. Two-stage decision model of fresh agricultural products supply chain based on option contract. IEEE Access 2022, 10, 119777–119795. [Google Scholar] [CrossRef]









| Symbol | Definition | Symbol | Definition |
|---|---|---|---|
| spot-sale price. | product survival rate. | ||
| presale price. | spot purchase quantity. | ||
| unit procurement cost. | total purchase quantity. | ||
| option purchase price. | market demand. | ||
| option strike price. | demand Increment, . | ||
| consumer valuation, . | expected profit under spot-sale strategy. | ||
| consumer presale preference factor, . | expected profit under presale strategy. | ||
| market size, . | profit Increment, . | ||
| level of freshness-keeping effort. | Subscript | denote the presale period and the spot-sale period under the presale strategy, and the spot-sale strategy, respectively. | |
| freshness-keeping cost. | Subscript | denote the wholesale and option ordering modes, respectively. |
Disclaimer/Publisher’s Note: The statements, opinions and data contained in all publications are solely those of the individual author(s) and contributor(s) and not of MDPI and/or the editor(s). MDPI and/or the editor(s) disclaim responsibility for any injury to people or property resulting from any ideas, methods, instructions or products referred to in the content. |
© 2026 by the authors. Licensee MDPI, Basel, Switzerland. This article is an open access article distributed under the terms and conditions of the Creative Commons Attribution (CC BY) license.
Share and Cite
Zhao, Z.; Dai, C. Presale Strategies for Fresh Agricultural Products Considering Option Ordering. Systems 2026, 14, 322. https://doi.org/10.3390/systems14030322
Zhao Z, Dai C. Presale Strategies for Fresh Agricultural Products Considering Option Ordering. Systems. 2026; 14(3):322. https://doi.org/10.3390/systems14030322
Chicago/Turabian StyleZhao, Zhong, and Chunyu Dai. 2026. "Presale Strategies for Fresh Agricultural Products Considering Option Ordering" Systems 14, no. 3: 322. https://doi.org/10.3390/systems14030322
APA StyleZhao, Z., & Dai, C. (2026). Presale Strategies for Fresh Agricultural Products Considering Option Ordering. Systems, 14(3), 322. https://doi.org/10.3390/systems14030322

