Systems Thinking and Entrepreneurial Persistence Among Technology Entrepreneurs in China
Abstract
1. Introduction
2. Theoretical Background and Hypothesis Development
2.1. Entrepreneurial Persistence
2.2. Systems Thinking
2.3. Systems Thinking and Entrepreneurial Persistence
2.4. Systems Thinking and Psychological Ownership
2.5. The Mediating Effect of Psychological Ownership
2.6. The Moderating Effect of Resource Bricolage
3. Methods
3.1. Sampling and Data Collection
3.2. Questionnaire Design and Measurement of Variables
4. Results
4.1. Reliability and Construct Validity
4.2. Common Method Bias
4.3. Descriptive Statistics
4.4. Hypothesis Testing
4.4.1. Tests of Main and Mediation Effects
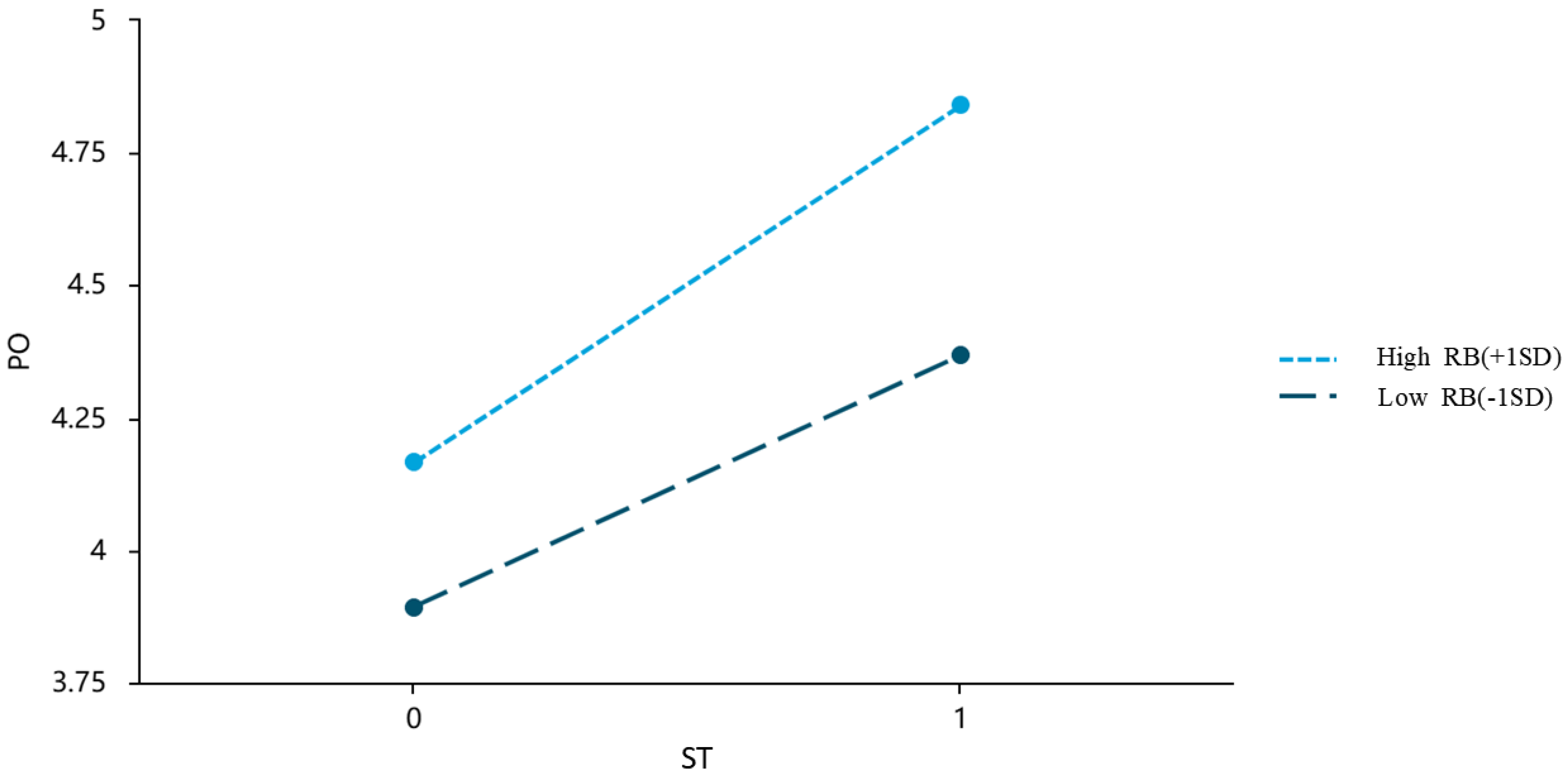
4.4.2. Tests of Moderating Effects
4.5. Robustness Checks
5. Discussion and Conclusions
5.1. Discussion
5.2. Theoretical Contributions
5.3. Management Insights
5.4. Limitations and Future Directions
Author Contributions
Funding
Data Availability Statement
Acknowledgments
Conflicts of Interest
Appendix A
| Constructs | Items | Measurement Items | References |
|---|---|---|---|
| Systems Thinking | ST1 | 1. I can recognise positive feedback loops for user growth. | Sweeney &Sterman [61] Stave & Hopper [62] |
| ST2 | 2. I can anticipate the delayed impact of technology iterations. | ||
| ST3 | 3. I can define cross-platform interaction boundaries. | ||
| ST4 | 4. I can design modular system architectures. | ||
| ST5 | 5. I can focus on high-converting user paths. | ||
| Entrepreneurial persistence | EP1 | 1. A critical factor in my success is that I do not give up easily. | Sabiu et al. [63] |
| EP2 | 2. I have the staying power to do work that requires long hours and hard work. | ||
| EP3 | 3. When I hit a snag in what I am doing, I don’t stop until I have found a way to get around it. | ||
| EP4 | 4. I need to prove I can succeed. | ||
| Psychological ownership | PO1 | 1. I feel that the people I work with in my organization should not invade my workspace. | Avey et al. [64] |
| PO2 | 2. I am confident in contributing to my organization’s success. 3. I can make a positive difference in this organization. 4. I would challenge anyone in my organization if I thought something was done wrong. | ||
| PO3 | 5. I feel I belong in this organization. | ||
| PO4 | 6. I feel this organization’s success is my success. | ||
| Resource bricolage | RB1 | 1. I can acquire or learn new technologies in my field. | Senyard et al. [67,68] |
| RB2 | 2. I can leverage networks to address new entrepreneurial challenges. | ||
| RB3 | 3. I can guide customers to participate or replace resources to seize the new business opportunities. | ||
| RB4 | 4. I can respond to policy calls for innovation in technology, products, and operations. | ||
| RB5 | 5. I can to combine all the resources at hand to meet any new challenges facing the enterprise. |
| Number | Question |
|---|---|
| 1 | Briefly introduce your entrepreneurial experience. |
| 2 | Has there been any experience of bricolage in combining resources during the entrepreneurial process? If so, please give examples. |
| 3 | When faced with a new entrepreneurial challenge, how do you find an effective solution using existing resources? If so, please provide examples. |
| 4 | When faced with a new business opportunity, how do you use the resources at hand to seize it? If yes, please provide examples. |
| 5 | Did you have any experience in combining resources that you had planned to use for other purposes to meet new challenges during the start-up process? If so, please provide examples. |
References
- Zhang, T.; Wei, L.; Liu, J. How China’s Digital Technology Development Affects the Environmental Costs Related to Global Value Chains? Evidence from Regional Manufacturing Sectors. Sci. Total Environ. 2023, 886, 163978. [Google Scholar] [CrossRef]
- China Academy of Labour and Social Security Sciences. 2023 Digital Economy Era Youth Employment and Entrepreneurship Development Report. 2023. Available online: https://www.calss.net.cn/p1/kybgList/20230601/38515.html (accessed on 12 May 2025).
- Lu, S.; Yu, H. Research on Digital Business Model Innovation Based on Emotion Regulation Lens. Front. Psychol. 2022, 13, 842076. [Google Scholar] [CrossRef] [PubMed]
- Zhou, Q. The Impact of Cross-Cultural Adaptation on Entrepreneurial Psychological Factors and Innovation Ability for New Entrepreneurs. Front. Psychol. 2021, 12, 724544. [Google Scholar] [CrossRef] [PubMed]
- U.S. Bureau of Labor Statistics. Entrepreneurship and the U.S. Economy. 2023. Available online: https://www.usa.gov/agencies/bureau-of-labor-statistics (accessed on 18 July 2025).
- Song, F.; Zhao, C. Why Do Chinese Enterprises Make Imitative Innovation? An Empirical Explanation Based on Government Subsidies. Front. Psychol. 2022, 13, 802703. [Google Scholar] [CrossRef] [PubMed]
- Arnold, R.D.; Wade, J.P. A Definition of Systems Thinking: A systems approach. Procedia Comput. Sci. 2015, 44, 669–678. [Google Scholar] [CrossRef]
- Ferreira-Neto, M.N.; De Carvalho Castro, J.L.; De Sousa-Filho, J.M.; De Souza Lessa, B. The Role of Self-Efficacy, Entrepreneurial Passion, And Creativity in Developing Entrepreneurial Intentions. Front. Psychol. 2023, 14, 1134618. [Google Scholar] [CrossRef]
- Huang, M.J.; Li, Z.B.; Su, X.F. Anticipated Regret, Entrepreneurial Cognition, and Entrepreneurial Persistence. Front. Psychol. 2022, 13, 788694. [Google Scholar] [CrossRef]
- Maclure, K.; Stewart, D. Digital Literacy Knowledge and Needs of Pharmacy Staff: A Systematic Review. J. Innov. Health Inform. 2016, 23, 840. [Google Scholar] [CrossRef][Green Version]
- Bai, Q.; Chen, H.; Zhou, J.; Li, G.; Zang, D.; Sow, Y.; Shen, Q. Digital Literacy and Farmers’ Entrepreneurial Behavior-Empirical Analysis Based on CHFS2019 Micro Data. PLoS ONE 2023, 18, E0288245. [Google Scholar] [CrossRef]
- Wei, Z.; Lee, M.J.; Jia, Z.; Roh, T. Do Entrepreneurial Resources Drive Startup Activation? Mediating Effect of Entrepreneurial Orientation. Heliyon 2023, 9, E15603. [Google Scholar] [CrossRef]
- Morewedge, C.K. Psychological Ownership: Implicit and Explicit. Curr. Opin. Psychol. 2021, 39, 125–132. [Google Scholar] [CrossRef] [PubMed]
- Uthaileang, W.; Kiattisin, S. Developing the Capability of Digital Financial Literacy in Developing Countries: A Case of Online Loan for Small Entrepreneurs. Heliyon 2023, 9, e21961. [Google Scholar] [CrossRef] [PubMed]
- Yener, H. A study on effects of system thinking and decision-making styles over entrepreneurship skills. Turk. J. Eng. 2022, 6, 26–33. [Google Scholar] [CrossRef]
- Peng, X.; Guo, R.; Zu, J.; Song, X. The Impact of Resource Bricolage on Entrepreneurial Orientation in Start-Ups: The Moderating Roles of TMT Heterogeneity and TMT Behavioral Integration. Front. Psychol. 2022, 13, 900177. [Google Scholar] [CrossRef] [PubMed]
- Van Hugten, J.; Vanderstraeten, J.; van Witteloostuijn, A.; Coreynen, W. When the Going Gets Tough, the Entrepreneurs Get Less Entrepreneurial? PLoS ONE 2023, 18, e0290253. [Google Scholar] [CrossRef]
- Carter, R.G.; Mundorff, K.; Risien, J.; Bouwma-Gearhart, J.; Bratsch-Prince, D.; Brown, S.A.; Campbell, A.L.; Hartman, J.C.; Hasemann, C.A.; Hollenbeck, P.J.; et al. Innovation, Entrepreneurship, Promotion, And Tenure. Science 2021, 73, 1312–1314. [Google Scholar] [CrossRef]
- Knighton, S. Research, Innovation, and Entrepreneurship (A Powerful Combination of Forces). Appl. Nurs. Res. 2018, 44, 113. [Google Scholar] [CrossRef]
- Abeysekera, I. Innovation and Business Performance on Australia: Role of Entrepreneurship and Intrapreneurship in a Crisis. Front. Psychol. 2023, 14, 1126313. [Google Scholar] [CrossRef]
- Zhou, M.; Mu, W.; Li, F.; Zhou, Y.; Huang, D.; Wang, K.; Zhang, J. Entrepreneur-Region Fit and Entrepreneurial Success in China: The Effect of “Confucian” Personality. Front. Psychol. 2022, 12, 724939. [Google Scholar] [CrossRef]
- Rafiei, S.; Mehrtak, M.; Amerzadeh, M.; Rafiei, S.; Moosavi, S.; Kalhor, R. The Relationship Between Succession and Intellectual Capital with Entrepreneurship in Hospitals. BMC Health Serv. Res. 2023, 23, 474. [Google Scholar] [CrossRef]
- Fabbro, E.; Kyrdoda, Y.; Dore, S.; Marzi, G.; Borruso, G.; Battino, S.; Piani, G.C.; Vianelli, D. Is Entrepreneurship a Key Factor in the Development of European Countries? A Proposal for an Innovation Readiness Environment (IRE) Index. Open Res. Eur. 2024, 4, 12. [Google Scholar] [CrossRef]
- Marques, C.S.; Valente, S.; Lages, M. The Influence of Personal and Organisational Factors on Entrepreneurship Intention: An Application in the Health Care Sector. J. Nurs. Manag. 2018, 26, 696–706. [Google Scholar] [CrossRef] [PubMed]
- Li, C.; Bilimoria, D.; Wang, Y.; Guo, X. Gender Role Characteristics and Entrepreneurial Self-Efficacy: A Comparative Study of Female and Male Entrepreneurs in China. Front. Psychol. 2020, 11, 585803. [Google Scholar] [CrossRef] [PubMed]
- Rogoll, L.; Schulz, K.; Schulz, J. Participatory modeling meets African swine fever—Systems thinking in action. BMC Vet. Res. 2025, 21, 313. [Google Scholar] [CrossRef] [PubMed]
- Monat, J.P.; Gannon, T.F. What Is Systems Thinking? A Review of Selected Literature Plus Recommendations. Am. J. Syst. Sci. 2015, 4, 11–26. [Google Scholar] [CrossRef]
- Ackoff, R.L. Systems Thinking and Thinking Systems. Syst. Dyn. Rev. 1994, 10, 175–188. [Google Scholar] [CrossRef]
- Leischow, S.J.; Best, A.; Trochim, W.M. Systems Thinking to Improve the Public’s Health. Am. J. Prev. Med. 2008, 35, S196–S203. [Google Scholar] [CrossRef]
- Irabor, T.J.; Yameogo, P.S.A.; Perrin, L. Gaming for Change-Exploring Systems Thinking and Sustainable Practices Through Complexity-Inspired Game Mechanics. Humanit. Soc. Sci. Commun. 2025, 12, 680. [Google Scholar] [CrossRef]
- Dodd, K.; Salmon, P.M.; Solomon, C. Applying A Systems Thinking Lens to Child Sexual Abuse in Sport: An Analysis of Investigative Report Findings and Recommendations. Child Abuse Negl. 2025, 165, 107488. [Google Scholar] [CrossRef]
- Zhang, J.; van Gorp, D.; Kievit, H. Digital Technology and National Entrepreneurship: An Ecosystem Perspective. J. Technol. Transf. 2023, 48, 1077–1105. [Google Scholar] [CrossRef]
- Su, Y.; Li, M. Applying Technology Acceptance Model in Online Entrepreneurship Education for New Entrepreneurs. Front. Psychol. 2021, 12, 713239. [Google Scholar] [CrossRef]
- Bai, J.Y.; Tian, Q.; Liu, X. Examining Job Complexity on Job Crafting Within Conservation of Resources Theory: A Dual-Path Mediation Model. Front. Psychol. 2021, 12, 737108. [Google Scholar] [CrossRef]
- Dou, G.; Yang, J.; Yang, L.; Liu, B.; Yuan, Y. Where There is Pressure, There is Motivation? The Impact of Challenge-Hindrance Stressors on Employees’ Innovation Performance. Front. Psychol. 2022, 13, 1020764. [Google Scholar] [CrossRef]
- Wang, H.; Sun, W.; Zhou, Y.; Li, T.; Zhou, P. Teachers’ Assessment Literacy Improves Teaching Efficacy: A View from Conservation of Resources Theory. Front. Psychol. 2022, 13, 1007830. [Google Scholar] [CrossRef] [PubMed]
- Pierce, J.L.; Kostova, T.; Dirks, K.T. The State of Psychological Ownership: Integrating and Extending a Century of Research. Rev. Gen. Psychol. 2003, 7, 84–107. [Google Scholar] [CrossRef]
- Morewedge, C.K.; Weiss, L. Psychological Ownership: Actors’ and Observers’ Perspectives. Behav. Brain Sci. 2023, 46, e344. [Google Scholar] [CrossRef] [PubMed]
- Iseki, S.; Sasaki, K.; Kitagami, S. Development of a Japanese Version of the Psychological Ownership Scale. PeerJ 2022, 10, e13063. [Google Scholar] [CrossRef]
- Senge, P.M. The Fifth Discipline: The Art and Practice of the Learning Organization; Doubleday/Currency: New York, NY, USA, 1990; ISBN 0-385-26094-6. [Google Scholar]
- Renz, F.M.; Posthuma, R. 30 Years of Psychological Ownership Theory: A Bibliometric Review and Guide for Management Scholars. J. Manag. Hist. 2023, 29, 179–204. [Google Scholar] [CrossRef]
- Karjanto, N.; Peng, A. Exploring Sustainability Through the Lens of the Lotka-Volterra Model in Population Ecology. bioRxiv 2025. [Google Scholar] [CrossRef]
- Lehtonen, K.; Uuskylä, P.; Jalonen, H. A Systems Thinking Approach for Examining the Turning Points in the Finnish Public Sport Policy. Front. Sports Act. Living 2025, 7, 1591211. [Google Scholar] [CrossRef]
- Ghani, U.; Teo, T.; Li, Y.; Usman, M.; Islam, Z.U.; Gul, H.; Naeem, R.M.; Bahadar, H.; Yuan, J.; Zhai, X. Tit for Tat: Abusive Supervision and Knowledge Hiding the Role of Psychological Contract Breach and Psychological Ownership. Int. J. Environ. Res. Public Health 2020, 17, 1240. [Google Scholar] [CrossRef]
- Chen, X.; Lee, C.; Hui, C.; Lin, W.; Brown, G.; Liu, J. Feeling Possessive, Performing Well? Effects of Job-Based Psychological Ownership on Territoriality, Information Exchange, and Job Performance. J. Appl. Psychol. 2023, 108, 403–424. [Google Scholar] [CrossRef] [PubMed]
- Zhou, X.; Zhang, L.; Su, X. Entrepreneurial Institutional Environment and Entrepreneurial Orientation: The Mediating Role of Entrepreneurial Passion. Front. Psychol. 2022, 13, 840548. [Google Scholar] [CrossRef] [PubMed]
- Deng, X.; Wang, Y.; Sun, X. How Turbulence Brings Benefit: The Influence of Dynamic Team Environment on Entrepreneurial Team Innovation. Front. Psychol. 2020, 11, 759. [Google Scholar] [CrossRef]
- Avey, J.B.; Wernsing, T.S.; Palanski, M.E. Exploring the Process of Ethical Leadership: The Mediating Role of Employee Voice and Psychological Ownership. J. Bus. Ethics 2012, 107, 21–34. [Google Scholar] [CrossRef]
- Bernhard, F.; O’Driscoll, M.P. Psychological ownership in small family-owned businesses: Leadership style and nonfamily-employees’ work attitudes and behaviors. Group Organ. Manag. 2011, 36, 345–384. [Google Scholar] [CrossRef]
- Peng, H.; Pierce, J. Job- and organization-based psychological ownership: Relationship and outcomes. J. Manag. Psychol. 2015, 30, 151–168. [Google Scholar] [CrossRef]
- Feng, B.; Chen, M. The Impact of Entrepreneurial Passion on Psychology and Behavior of Entrepreneurs. Front. Psychol. 2020, 11, 1733. [Google Scholar] [CrossRef]
- Tu, Y.; Hao, X.; Rosak-Szyrocka, J.; Vasa, L.; Zhao, X. Obsessive Passion, Opportunity Recognition, and Entrepreneurial Performance: The Dual Moderating Effect of the Fear of Failure. Front. Psychol. 2023, 13, 1037250. [Google Scholar] [CrossRef]
- Zhao, S.; Zhou, Y.; Guan, H.; Xu, W. Entrepreneurial Passion Psychology Based Influencing Factors of New Venture Performance. Front. Psychol. 2021, 12, 696963. [Google Scholar] [CrossRef]
- Du, Y.; Hu, H.; Wang, Z. Entrepreneurs’ Felt Responsibility for Constructive Change and Entrepreneurial Performance: A Moderated Mediation Model of Technology Action and Market Orientation. Front. Psychol. 2021, 12, 751821. [Google Scholar] [CrossRef]
- Hou, F.; Qi, M.D.; Su, Y.; Tan, X.X.; Yang, B.X. Trickle Down Effects of Entrepreneurial Bricolage and Business Model Innovation on Employee Creativity: Evidence from Entrepreneurial Internet Firms in China. Front. Psychol. 2022, 12, 801202. [Google Scholar] [CrossRef] [PubMed]
- Yuan, Y.H. A Study From a Psychological Perspective of High Performance to Explore the Relationship Among Resource Bricolage, Social Capital, Entrepreneurial Attitude, and Intention. Front. Psychol. 2022, 13, 944151. [Google Scholar] [CrossRef] [PubMed]
- Hsu, D.K. ‘This Is My Venture!’ The Effect of Psychological Ownership on Intention to Reenter Entrepreneurship. J. Small Bus. Entrep. 2013, 26, 387–402. [Google Scholar] [CrossRef]
- Yitshaki, R. Entrepreneurs’ Emotional Intelligence as a Factor Explaining Entrepreneurial Psychological Ownership and High-Tech Start-Up Growth. J. Small Bus. Enterp. Dev. 2021, 28, 489–514. [Google Scholar] [CrossRef]
- Cardon, M.S.; Kirk, C.P. Entrepreneurial passion as mediator of the self-efficacy to persistence relationship. Entrep. Theory Pract. 2013, 39, 1027–1050. [Google Scholar] [CrossRef]
- National Bureau of Statistics of China & Ministry of Science and Technology. China High-Tech Industry Statistical Yearbook. 2023. Available online: https://www.shujuku.org/china-statistical-yearbook-on-high-technology-industry-2023.html (accessed on 19 May 2025).
- Sweeney, L.B.; Sterman, J.D. Bathtub Dynamics: Initial Results of a Systems Thinking Inventory. Syst. Dyn. Rev. 2000, 16, 249–286. [Google Scholar] [CrossRef]
- Stave, K.; Hopper, M. What constitutes systems thinking? A proposed taxonomy. In Proceedings of the 25th International Conference of the System Dynamics Society, Boston, MA, USA, 29 July–2 August 2007; Volume 29, pp. 1–27. [Google Scholar]
- Sabiu, I.; Abdullah, A.; Amin, A. Impact of Motivation and Personality Characteristics on Bumiputeras’ Entrepreneurial Persistence in Malaysia. J. Dev. Entrep. 2017, 22, 1750009. [Google Scholar] [CrossRef]
- Avey, J.; Avolio, B.; Crossley, C. Psychological Ownership: Theoretical Extensions, Measurement and Relation to Work Outcomes. J. Organ. Behav. Manag. 2009, 30, 173–191. [Google Scholar] [CrossRef]
- SuperChance Venture Planet. Entrepreneurial Investment and Financing Report of Chinese University Professors and Scientists 2024. Available online: https://roll.sohu.com/a/901550225_122440406 (accessed on 5 June 2025).
- Baker, T.; Nelson, R.E. Creating Something from Nothing: Resource Construction through Entrepreneurial Bricolage. Adm. Sci. Q. 2005, 50, 329–366. [Google Scholar] [CrossRef]
- Senyard, J.; Baker, T.; Davidsson, P. Entrepreneurial Bricolage: Towards Systematic Empirical Testing. Front. Entrep. Res. 2009, 29, 5. [Google Scholar]
- Senyard, J.; Baker, T.; Steffens, P.; Davidsson, P. Bricolage as a Path to Innovativeness for Resource-Constrained New Firms. J. Prod. Innov. Manag. 2014, 31, 211–230. [Google Scholar] [CrossRef]
- Jia, X.D.; Tan, X.H. The Practical Value of Classical Grounded Theory and its Spirit for Chinese Management Research. Chin. J. Manag. 2010, 7, 656–665. [Google Scholar] [CrossRef]


| Variable | Category | Frequency | Percent | Variable | Category | Frequency | Percent |
|---|---|---|---|---|---|---|---|
| Gender | Male | 96 | 23.47% | Level of education | Undergraduate | 94 | 22.98% |
| Female | 313 | 76.53% | Postgraduate | 315 | 77.02% | ||
| Age | 24–30 years old | 67 | 16.38% | Firm age | 0~2 years | 241 | 58.92% |
| 31–40 years old | 213 | 52.08% | 2~4 years | 82 | 20.05% | ||
| 41–50 years old | 107 | 26.16% | 4~6 years | 62 | 15.16% | ||
| Over 50 years old | 22 | 5.38% | 6~8 years | 24 | 5.87% | ||
| Entrepreneurial experience | Yes | 409 | 100% | Entrepreneurial position | Yes | 106 | 25.92% |
| No | 0 | 0 | No | 303 | 74.08% | ||
| Industry | Internet industry | 119 | 29.10% | Firm scale | <10 | 225 | 55.01% |
| Medical industry | 53 | 12.96% | 10~30 people | 79 | 19.32% | ||
| Manufacturing industry | 96 | 23.47% | 31~50 people | 73 | 17.85% | ||
| Electronic and computer industry | 141 | 34.47% | >51 people | 32 | 7.82% |
| Number | Code | Gender | Age | Education | Firm Age | Industry |
|---|---|---|---|---|---|---|
| 1 | A | Male | 41 | PhD | 2 | Integrated circuits |
| 2 | B1 | Male | 47 | Master | 3 | Internet of things |
| 3 | B2 | Male | 36 | Master | 1 | Internet of things |
| 4 | C1 | Male | 39 | Master | 1 | Industrial software |
| 5 | C2 | Male | 42 | PhD | 1 | Industrial software |
| Raw Data Records | Initial Concepts | Open Coding | Selective Coding |
|---|---|---|---|
| We couldn’t afford industrial-grade sensors, so we took apart the consumer-grade bracelets, reprogrammed them, and plugged them into the production line to monitor equipment vibration. Although the accuracy is worse, the cost is only 1/10th. | Repurposing hardware | Resource reorganization using technology | Technology Bricolage |
| Low-cost technology substitution | |||
| Facing a scarcity of AI training data, we mined industrial creator forums to source alternative algorithmic resources. | Digital community prospecting | Using the web to access resources | Network Bricolage |
| Allow logistics companies to trial our IoT platform, provided that their drivers provide daily feedback on breakdown data. This real data is much more valuable than lab tests! | User-co-created R&D | Engage clients in resource creation | Customer Bricolage |
| Demand-driven iteration | |||
| The local talent policy is primarily focused on R&D personnel with a master’s degree, whereas our team consists of many undergraduates. We have partnered with universities to offer joint training, enhancing the education of our R&D staff. | Repackaging policy constraints | Resource reconfiguration in response to policy calls | Institutional Bricolage |
| Technology fusion of e-commerce inventory algorithms and medical image recognition to develop a defect detection system. This is a new solution pieced together from the technology of two failed projects | Cross-domain technology reconfiguration | Innovation in cross-disciplinary resource pooling | Combinatorial Bricolage |
| Modular solution bundling |
| Constructs | Items | Factor Loadings | Cronbach’s α | AVE | CR |
|---|---|---|---|---|---|
| Systems Thinking | ST1 | 0.645 | 0.903 | 0.653 | 0.904 |
| ST2 | 0.729 | ||||
| ST3 | 0.645 | ||||
| ST4 | 0.743 | ||||
| ST5 | 0.736 | ||||
| Entrepreneurial Persistence | EP1 | 0.773 | 0.798 | 0.513 | 0.808 |
| EP2 | 0.C | ||||
| EP3 | 0.673 | ||||
| EP4 | 0.745 | ||||
| Psychological Ownership | PO1 | 0.656 | 0.825 | 0.517 | 0.836 |
| PO2 | 0.786 | ||||
| PO3 | 0.752 | ||||
| PO4 | 0.581 | ||||
| PO5 | 0.564 | ||||
| Resource Bricolage | RB1 | 0.708 | 0.876 | 0.611 | 0.884 |
| RB2 | 0.736 | ||||
| RB3 | 0.767 | ||||
| RB4 | 0.741 | ||||
| RB5 | 0.756 |
| Variables | Mean | SD | 1 | 2 | 3 | 4 | 5 | 6 | 7 | 8 | 9 | 10 | 11 |
|---|---|---|---|---|---|---|---|---|---|---|---|---|---|
| 1. Gender | 1.765 | 0.424 | 1 | ||||||||||
| 2. Age | 2.205 | 0.775 | −0.047 | 1 | |||||||||
| 3. Level of education | 1.770 | 0.421 | −0.275 ** | −0.028 | 1 | ||||||||
| 4. Entrepreneurial position | 1.741 | 0.439 | −0.038 | −0.124 * | 0.048 | 1 | |||||||
| 5. Industry | 2.633 | 1.228 | −0.039 | 0.028 | 0.334 ** | −0.013 | 1 | ||||||
| 6. Firm age | 1.680 | 0.935 | 0.187 ** | 0.375 ** | −0.212 ** | −0.083 | 0 | 1 | |||||
| 7. Firm scale | 1.785 | 0.999 | 0.002 | −0.095 | −0.048 | −0.049 | −0.082 | −0.024 | 1 | ||||
| 8. Systems thinking | 3.948 | 0.721 | 0.043 | 0.064 | −0.004 | 0.007 | 0.041 | 0.171 ** | −0.052 | 1 | |||
| 9. Entrepreneurial persistence | 4.187 | 0.611 | 0.013 | 0.020 | 0.042 | 0.029 | 0.014 | 0.160 ** | −0.044 | 0.520 ** | 1 | ||
| 10. Psychological ownership | 4.581 | 0.478 | −0.048 | −0.093 | 0.197 ** | 0.074 | 0.103 * | 0.064 | −0.035 | 0.387 ** | 0.397 ** | 1 | |
| 11. Resource bricolage | 4.235 | 0.621 | −0.015 | 0.074 | 0.021 | −0.003 | 0.017 | 0.145 ** | 0.005 | 0.691 ** | 0.606 ** | 0.482 ** | 1 |
| Variables | Entrepreneurial Persistence | Psychological Ownership | Entrepreneurial Persistence |
|---|---|---|---|
| Gender | −0.014 (−0.278) | 0.021 (0.354) | −0.016 (−0.326) |
| Age | −0.098 ** (−3.442) | −0.049 (−1.441) | −0.093 ** (−3.270) |
| Level of education | 0.208 ** (3.889) | 0.081 (1.263) | 0.200 ** (3.745) |
| Entrepreneurial position | 0.059 (1.266) | 0.038 (0.691) | 0.054 (1.184) |
| Industry | 0.014 (0.786) | −0.008 (−0.393) | 0.015 (0.842) |
| Firm age | 0.051 * (2.093) | 0.070 * (2.404) | 0.043 (1.781) |
| Firm scale | −0.017 (−0.844) | −0.029 (−1.200) | −0.014 (−0.692) |
| Systems thinking | 0.365 ** (11.166) | 0.585 ** (14.942) | 0.302 ** (7.447) |
| Psychological ownership | 0.108 ** (2.611) | ||
| R2 | 0.295 | 0.382 | 0.307 |
| F | 20.968 *** | 30.876 *** | 19.667 *** |
| Pathway | Effect | SE | z/t | 95%CL | |
|---|---|---|---|---|---|
| LLCI | ULCI | ||||
| Main effect | 0.365 | 0.033 | 11.166 | 0.301 | 0.429 |
| Direct effect | 0.302 | 0.040 | 7.447 | 0.222 | 0.381 |
| Indirect effect | 0.063 | 0.032 | 1.953 | 0.023 | 0.153 |
| Variables | Psychological Ownership | Psychological Ownership | Psychological Ownership |
|---|---|---|---|
| Gender | 0.021 (0.354) | 0.011 (0.180) | 0.004 (0.063) |
| Age | −0.049 (−1.441) | −0.047 (−1.397) | −0.049 (−1.448) |
| Level of education | 0.081 (1.263) | 0.083 (1.302) | 0.085 (1.343) |
| Entrepreneurial position | 0.038 (0.691) | 0.035 (0.642) | 0.034 (0.626) |
| Industry | −0.008 (−0.393) | −0.011 (−0.523) | −0.012 (−0.572) |
| Firm age | 0.070 * (2.404) | 0.062 * (2.147) | 0.064 * (2.201) |
| Firm scale | −0.029 (−1.200) | −0.023 (−0.973) | −0.024 (−0.983) |
| Systems thinking | 0.585 ** (14.942) | 0.464 ** (8.728) | 0.469 ** (8.740) |
| Resource bricolage | 0.153 ** (3.321) | 0.152 ** (3.292) | |
| Systems thinking * Psychological ownership | 0.042 * (0.716) | ||
| R2 | 0.382 | 0.398 | 0.399 |
| F | 30.876 *** | 29.359 *** | 26.442 *** |
Disclaimer/Publisher’s Note: The statements, opinions and data contained in all publications are solely those of the individual author(s) and contributor(s) and not of MDPI and/or the editor(s). MDPI and/or the editor(s) disclaim responsibility for any injury to people or property resulting from any ideas, methods, instructions or products referred to in the content. |
© 2025 by the authors. Licensee MDPI, Basel, Switzerland. This article is an open access article distributed under the terms and conditions of the Creative Commons Attribution (CC BY) license (https://creativecommons.org/licenses/by/4.0/).
Share and Cite
Tao, Z.; Sun, J. Systems Thinking and Entrepreneurial Persistence Among Technology Entrepreneurs in China. Systems 2025, 13, 626. https://doi.org/10.3390/systems13080626
Tao Z, Sun J. Systems Thinking and Entrepreneurial Persistence Among Technology Entrepreneurs in China. Systems. 2025; 13(8):626. https://doi.org/10.3390/systems13080626
Chicago/Turabian StyleTao, Zhuo, and Jianmin Sun. 2025. "Systems Thinking and Entrepreneurial Persistence Among Technology Entrepreneurs in China" Systems 13, no. 8: 626. https://doi.org/10.3390/systems13080626
APA StyleTao, Z., & Sun, J. (2025). Systems Thinking and Entrepreneurial Persistence Among Technology Entrepreneurs in China. Systems, 13(8), 626. https://doi.org/10.3390/systems13080626

