Abstract
The challenges in reducing emissions within agricultural supply chains mainly arise from the short-term self-interested behaviors of various stakeholders. To study the impact of the agricultural producer’s dual fairness concerns toward the manufacturer and retailer on profit distribution and emission reduction decisions, this paper develops a centralized model and two decentralized models (with and without dual fairness concerns) for a three-level agricultural supply chain. The paper derives the optimal emission reduction decisions, participant profits, and overall supply chain profits under different decision-making scenarios. The main findings are as follows: First, the centralized model results in higher supply chain profit, emission reduction, and market demand compared to decentralized models, where these factors remain unchanged regardless of fairness concerns. Second, in decentralized decision-making, fairness concerns raise the agricultural producer’s profit while reducing those of the manufacturer and retailer. The manufacturer always earns the highest profit, followed by the retailer. Finally, the agricultural producer’s fairness concerns do not affect emission reduction or overall profit, but they change profit distribution, with increasing concern toward one participant decreasing their profit and increasing the other’s. These findings fill the theoretical gap in existing research and provide valuable theoretical insights for governments and stakeholders in making decisions.
1. Introduction
As global attention on the sustainable development goals—specifically SDG 7 (low energy consumption) and SDG 13 (low pollution and low emissions)—increases, reducing greenhouse gas emissions in agricultural supply chains has become a critical issue [1]. In practice, agricultural production, especially during the planting and livestock stages, often incurs high carbon reduction costs. According to the Food and Agriculture Organization (FAO), changes in emissions from farming and land use contribute to approximately 65% of the total emissions in the agricultural food system [2]. Therefore, effectively balancing economic development with ecological concerns at the agricultural production stage is crucial to achieving sustainable development goals.
However, due to a lack of sufficient incentives, such as financial subsidies and support for adopting low-carbon technologies, agricultural producers are often reluctant to change traditional farming and livestock practices. They continue to rely on chemical fertilizers, pesticides, and overgrazing, all of which hinder overall emission reduction efforts [3]. Taking the beef supply chain as an example, ranchers are often at a disadvantage compared to packers and retailers. In the U.S. beef industry, ranchers are responsible for raising cattle but operate on thin margins, with little control over pricing or product distribution. Packers process the cattle into beef, and retailers handle sales to consumers, giving them significant bargaining power over ranchers [4,5]. This imbalance can create feelings of unfairness among ranchers, who may feel exploited by packers and retailers. The financial burden of adopting sustainable practices or low-carbon technologies is high, and without sufficient incentives, ranchers may be hesitant to invest [6,7,8,9]. Meanwhile, packers and retailers, with their greater bargaining power, can push the costs of sustainability onto ranchers, leaving them feeling their interests are overlooked and fostering a sense of inequity in the supply chain.
Despite the growing consumer demand for low-carbon agricultural products [10,11], agricultural producers in the supply chain fail to reap the associated benefits [3]. Studies show that farmers receive only 14.5% of the revenue in the agricultural supply chain [12,13], while manufacturers and retailers typically earn larger profits [3,14]. This unfair profit distribution exacerbates the challenges faced by agricultural producers in the low-carbon transition, further diminishing their motivation to invest in emission reduction. As a result, agricultural producers are increasingly raising their voices for the fairness of profit distribution within the supply chain, aiming to narrow the gap between their profits and those of manufacturers and retailers. Analyzing the impact of the agricultural producer’s dual fairness concerns on supply chain operations helps to better understand the relationships in profit distribution, promote effective cooperation among supply chain participants, and facilitate the low-carbon transformation of the agricultural supply chain. Specifically, dual fairness concerns refer to the agricultural producer’s concerns about the distribution of profits with both the manufacturer and the retailer in the three-tier agricultural supply chain.
With the development of behavioral economics, fairness concerns have become increasingly relevant in supply chain management. In recent years, fairness issues in supply chain operations have attracted growing academic attention [15,16,17,18,19,20,21,22], particularly regarding their influence on decision-making and coordination mechanisms. For example, Wang et al. investigated manufacturer fairness concerns in an e-commerce supply chain, finding that such concerns reduce system efficiency, leading to lower prices and profits in decentralized decision-making models [23]. Additionally, Wang et al. also found that retailers’ fairness concerns can reduce waste recycling, hindering the manufacturers’ efforts to meet their social responsibilities [24]. This highlights that fairness concerns can hinder optimal performance, underscoring the importance of effective coordination mechanisms. In contrast, Yoshihara and Matsubayashi studied fairness concerns among competing retailers and found that these concerns enable moderate differentiation and facilitate balanced coordination, ultimately enhancing overall supply chain profits [25]. Xue et al. proposed a subsidy mechanism to ease small suppliers’ fairness concerns, preventing supply shortages and enhancing both manufacturer profits and supply chain efficiency [26]. This contrast suggests that the impact of fairness concerns may vary depending on the specific context and structure of the supply chain. Similarly, Chen et al. analyzed fairness concerns of backup suppliers, finding that manufacturers can balance the interests of two suppliers through revenue-sharing mechanisms [27]. Zhao et al. focused on vertical competition in a two-tier product and service supply chain with extended warranties, demonstrating that retailers’ fairness concerns significantly affect pricing strategies and the distribution of profits [28]. These studies collectively emphasize that fairness concerns can have significant implications, not just for supply chain efficiency but also for strategic decisions like contract design and pricing.
An emerging stream of research investigates fairness concerns within the context of green and low-carbon supply chains. Li et al. investigated green product design in a supply chain with one manufacturer and two retailers, where one retailer had fairness concerns. They found that the fairness-driven retailer sets higher prices and captures a smaller market share, ultimately harming the manufacturer’s profits [29]. Similarly, Zhou et al. and Xiao et al. examined the impact of retailers’ fairness concerns on low-carbon supply chain coordination [15,30]. Zhou et al. concluded that cooperative advertising contracts cannot achieve channel coordination, regardless of retailers’ fairness concerns [15]. Xiao et al. found that weak fairness concerns among retailers make a revenue-sharing contract more profitable for the entire supply chain, whereas stronger fairness concerns favor centralized contracts [30]. In addition, Li et al. explored how retailers’ fairness concerns influence carbon reduction efficiency in a two-tier green supply chain, showing that fairness concerns encourage manufacturers to reduce emissions [31]. In contrast, Zhang et al. found that retailers’ concerns about fairness do not significantly affect the environmental quality of green products [32]. Wang et al. examined the impact of manufacturers’ fairness concerns on decision-making and coordination in a green e-commerce supply chain, highlighting the importance of fairness in balancing the interests of different supply chain members [33]. Furthermore, Toktaş-Palut studied a three-stage green supply chain involving manufacturers and remanufacturers, finding that increased consumer attention to green products boosts investments in eco-friendly production, leading to fairer distribution and enhanced environmental and economic performance [34].
Fairness concerns in agricultural supply chains have gained increasing attention in recent years, driven by the unfair distribution of profits resulting from disparities in bargaining power. Barling et al. emphasized the importance of policy interventions to address power asymmetries, ensuring a fairer distribution of value in food value chains [16]. Similarly, Cooper et al. examined the trade-offs within food value chains and concluded that achieving equitable ‘win–win–win’ outcomes for all actors requires not only technical improvements but also supportive external environments to mitigate fairness-related tensions [35]. Governance structures also play a crucial role in shaping fairness perceptions within agricultural supply chains. Hoang et al. studied the milk value chain in Vietnam and found that relational governance models offer farmers more fairness and power in the short term, while captive governance models may offer potential benefits but also lead to fairness concerns over time [36]. Furthermore, Gudbrandsdottir et al. developed a methodological approach to quantify fairness in agricultural systems by creating operational indicators, such as profit margins and market power, to assess fairness through simulations. Their work highlights the importance of fairness perceptions in understanding power dynamics and equity [37]. This perspective is supported by Kang et al.’s findings, which demonstrate that fairness concerns in farmer enterprises can exacerbate double marginalization, ultimately reducing supply chain efficiency [38]. Both studies emphasize the need to address concerns about fairness in agricultural supply chains to improve efficiency and equity.
Although existing studies generally recognize the importance of fairness concerns in supply chain coordination, their findings are not entirely consistent, suggesting that the effects of fairness concerns may differ depending on the specific type and structure of the supply chain. In two-tier supply chains, fairness concerns have been found to either hinder or facilitate coordination and performance, depending on behavioral assumptions and contractual mechanisms. For instance, some studies indicate that fairness concerns reduce efficiency and profit margins, while others show that, when appropriately addressed, such concerns can enhance coordination, improve contract effectiveness, or even stimulate environmental investment. These contrasting results highlight the context-dependent nature of fairness concerns in supply chains.
Despite the growing attention to fairness in agricultural supply chains—particularly due to power asymmetries and unequal profit distribution—most existing research has primarily focused on two-tier industrial supply chains, emphasizing the interactions between manufacturers and retailers. However, fairness concerns in the three-tier agricultural supply chains involving the agricultural producer, manufacturer, and retailer remain underexplored. This research gap is particularly important because the agricultural producer often faces fairness pressures from both upstream and downstream partners. The existing literature has yet to examine the dual fairness concerns, leading to an incomplete understanding of fairness-related behaviors and profit allocation in agricultural supply chains. Investigating the dual fairness concerns in this more complex structure could offer valuable insights for enhancing both decision-making and the balance between equity and efficiency across the agricultural supply chain.
To address this gap, this study introduces the concept of dual fairness concerns based on follower behavior preferences and builds mathematical models for emission reduction decision-making in the agricultural supply chain. By analyzing how the agricultural producer’s dual fairness concerns toward both the manufacturer and the retailer influence supply chain profit, participant profits, and emission reduction (ER) level, the study extends existing theoretical research and provides a new perspective for understanding fairness dynamics in the multi-agent agricultural supply chain.
The remainder of this study is organized as follows: Section 2 constructs a centralized decision-making model, a decentralized decision-making model without fairness concerns, and a decentralized decision-making model with fairness concerns. It also derives the optimal emission reduction strategies and profits for participants in the agricultural supply chain. In Section 3, the research results are analyzed and discussed from three perspectives: profits, the ER level, market demand, and the intensity of fairness concerns. Section 4 presents numerical experiments to examine the impacts of government carbon quotas, emission reduction costs, fairness concerns, and carbon trading prices on the ER level and profits. Section 5 provides managerial implications for the stakeholders in the agricultural supply chain. Finally, Section 6 summarizes the study and offers directions for future research.
2. Mathematical Model
2.1. Problem Description
This paper investigates a three-tier agricultural supply chain comprising an agricultural producer, a manufacturer, and a retailer, all operating under a carbon cap-and-trade policy. The structure of the supply chain is illustrated in Figure 1. In this supply chain, the upstream agricultural producer not only pursues profit maximization but also exhibits dual fairness concerns—specifically, concerns about profit distribution with both the manufacturer and the retailer. In contrast, the manufacturer and the retailer are considered fairness-neutral and make rational decisions based solely on market mechanisms.
Figure 1.
Game-theoretic model structure based on dual fairness concerns.
Accordingly, this paper focuses on how the agricultural producer’s dual fairness concerns affect the decision-making and profit outcomes of individual participants within the framework of the carbon cap-and-trade policy. A Stackelberg game structure is adopted, where the manufacturer acts as the leader, and the agricultural producer and retailer are the followers, each aiming to maximize their profit or utility. This setting reflects the typical hierarchy in agricultural supply chains, where manufacturers often possess greater control over pricing and production decisions due to their central role in processing and coordination [13,39,40,41,42]. As shown in Figure 1, the decision sequence is as follows:
- (1)
- The manufacturer first sets the wholesale price;
- (2)
- The retailer then determines the optimal retail price based on the wholesale price;
- (3)
- Finally, the agricultural producer decides the ER level and the farmgate price based on the preceding decisions of the manufacturer and retailer.
Under the drive of policy guidance and market demand, the agricultural producer, manufacturer, and retailer are jointly promoting the low-carbon transformation of the agricultural supply chain. As shown in Figure 1, the agricultural producer grows or farms in a low-emission manner at an ER level of and sells them to manufacturers at a farmgate price of . Then, the manufacturer produces low-carbon agricultural products and sells them at a wholesale price of to the retailer, who in turn sells them at a retail price of to consumers. As shown in Figure 1, the ER level and the farmgate price are determined by the agricultural producer, while the manufacturer determines the wholesale price , and the retailer determines the retail price . The notations and definitions of the models in this paper are shown in Table 1.
Table 1.
Notations and Definitions.
This study employs the widely used linear demand function [18,43,44,45] in the previous literature, which decreases with decreasing retail prices and increases with increasing levels of the ER level . Specifically, the characteristics of market demand are:
Among them denotes the maximum potential market demand, denotes the demand coefficient for retail prices, denotes the retail price set by the retailer, denotes the elasticity coefficient of emission reduction with respect to demand, and is the unit emission reduction when the agricultural producer invests in emission reduction. In addition, this study assumes that to ensure that market demand is positive when the ER level is zero. We also assume that the coefficient to ensure that the effect of retail price on demand is greater than the effect of emission reduction on demand. To ensure that the model is solvable and the optimal decision is positive and finite, this study assumes that .
Under the carbon trading policy, the government sets a fixed carbon emission standard for the agricultural producer, called a “carbon quota,” which can be traded through the carbon trading market. For agricultural producers, if their total emissions exceed the carbon quota, they need to purchase carbon quotas to meet environmental standards. If their emissions are reduced and are below the carbon quota, excess carbon quotas can be sold to increase income.
In the agricultural supply chain, the initial unit emission of the agricultural producer is , and the unit carbon quota of products allocated by the government is ≥ . The carbon trading price is , which is determined exogenously by the carbon trading market. Therefore, when the agricultural producer reduces emissions, there are two possible outcomes: (1) The emissions after reduction are still higher than the carbon quota, that is, ; at this point, the cost of purchasing carbon quotas () needs to be deducted from the profits of agricultural producers. (2) The emissions after emission reduction are lower than the carbon quota, that is, . Therefore, () is equivalent to the additional income of emission reduction investment. At the same time, the emission reduction cost for the agricultural producer is , which is related to the emission reduction amount and is a one-time investment [46,47]. The parameter represents the emission reduction cost coefficient, and the larger , the higher the emission reduction cost [3,48]. This cost reflects the financial investments required by the agricultural producer to adopt low-carbon technologies and reduce emissions. Therefore, the profit of the agricultural producer is:
In Equation (2), the first term is the income of the agricultural producer from selling primary low-carbon agricultural products, the second term is the cost or income of purchasing or selling carbon quotas in the carbon trading market, and the third term is the emission reduction cost of the agricultural producer.
The manufacturer’s profit is:
The retailer’s profit is:
Supply chain profits are the sum of profits for the agricultural producer, the manufacturer, and the retailer:
In Equation (5), the first term represents the income generated by the agricultural supply chain system through the sale of low-carbon agricultural products, the second term represents the cost or income of purchasing or selling carbon quotas on the carbon trading market, and the third term represents the cost related to emission reduction.
In order to analyze the impact of fairness concerns on the agricultural producer, we developed three models, namely the centralized decision-making model and two decentralized decision-making models (with or without fairness concern), denoted as , , .
2.2. Centralized Model ()
The centralized model aims to maximize the total profit of the supply chain by jointly determining the optimal emission reduction level and sales price . In this model, the agricultural producer does not exhibit altruistic preference behavior. As mentioned before, supply chain profits are the sum of profits for the agricultural producer, the manufacturer, and the retailer: .
The optimal decision and supply chain profit are obtained through Equation (5) (see Appendix A for proof). This process involves calculating the partial derivatives of the supply chain profit function with respect to and , setting them equal to zero to identify the optimal conditions. By solving these equations simultaneously, the optimal values for and are determined. These values are then substituted into the demand and profit functions to calculate the optimal market demand and total profit under centralized decision-making.
2.3. Decentralized Model Without Fairness Concerns ()
In the decentralized decision-making model, the agricultural producer, the manufacturer, and the retailer are three independent entities whose goal is to maximize their own profits. Firstly, the manufacturer determines its unit profit ; Then, the retailer selects its own unit profit based on the unit profit of the manufacturer. Finally, the agricultural producer determines the ER level and the farmgate price based on the decisions of the manufacturer and retailer. In this situation, the agricultural producer does not show concerns about fairness.
The manufacturer and the retailer in the downstream supply chain set their unit profits to and , to ensure a certain profit margin. Therefore, wholesale and retail prices meet the following requirements:
The manufacturer’s profit is , and the retailer’s profit is .
The agricultural producer’s profit is:
Solving this Stackelberg game, the optimal decision for the model is as follows (see Appendix A for proof). Backward induction is used to solve the game from the last stage to the first. The process involves three stages. (1) Stage 3 (agricultural producer): the producer chooses the emission reduction level and farmgate price by maximizing its profit using first-order conditions. (2) Stage 2 (retailer): based on the producer’s decisions, the retailer sets its unit profit by maximizing its own profit, solving the derivative of its profit function with respect to . (3) Stage 1 (manufacturer): the manufacturer then sets its unit profit to maximize its profit, considering the retailer’s and producer’s decisions. The optimal decisions of all entities are obtained by substituting these values into the respective profit functions.
2.4. Decentralized Model with Fairness Concerns ()
In the agricultural supply chain, imbalanced market forces often lead to uneven profit distribution, with disadvantaged participants often receiving lower profits than leaders. When these vulnerable participants demonstrate concerns about fairness, they expect to receive a relatively fair share of the overall profit. Otherwise, it may affect their long-term willingness to cooperate with other participants [49]. Therefore, we consider the agricultural producer, as the ultimate follower in the supply chain, to have fairness concern coefficients and for the manufacturer and retailer, respectively, in order to explore their impact on decision-making and profits. In real-world supply chains, fairness concerns have been empirically observed in contexts such as contract farming and cooperative production, where upstream producers often compare their returns with those of downstream partners. Behavioral studies and experiments in supply chain management indicate that fairness concerns can significantly influence pricing, effort levels, and collaboration willingness [20,50]. Thus, incorporating fairness concern coefficients not only aligns with existing theoretical frameworks but also reflects observed behavioral tendencies in agricultural and low-carbon supply chains.
When the agricultural producer shows dual fairness concerns towards both the manufacturer and retailer, they care not only about their own profits but also about the fairness of the profit distribution between the manufacturer and retailer. In this scenario, the agricultural producer seeks to maximize their own utility, which is represented by the following utility function:
The parameters are fairness concern coefficients, indicating the intensity of the agricultural producer’s attention to profit differences among other entities [50]. and represent the equitable payoff proportion of the agricultural producer, while and respectively represent the fair reference points of the agricultural producer towards the manufacturer and the retailer [50]. When , that is, the profit of the agricultural producer is equal to the fair reference point relative to the manufacturer, then he believes that its profit distribution relative to the manufacturer is fair. If , the agricultural producer believes that the profit distribution relative to the manufacturer is unfair and has a negative impact on their utility, that is, . If , the agricultural producer believes that their profits are higher than the fair reference point compared to manufacturers, which has a positive effect on their utility, i.e., .
The specific situation where the agricultural producer shows fairness concerns towards retailers is similar to the above situation. According to the profits obtained from the previous section, it can be inferred that = . Therefore, the range of values for and is , , and . The lower limit of the range indicates that the fair reference point of the agricultural producer is not lower than their profit without considering fairness concerns, while the upper limit of the range indicates that the fair reference point of the agricultural producer cannot be higher than the profits of the manufacturer and retailer.
The agricultural supply chain studied in this paper includes an agricultural producer, a manufacturer, and a retailer. Assuming that the manufacturer only purchases primary agricultural products from a single agricultural producer for processing, and the retailer only wholesales agricultural products from a single manufacturer. However, in reality, manufacturers and retailers typically adopt a one-to-many model, where manufacturers purchase primary agricultural products from multiple agricultural producers for processing, while retailers may wholesale agricultural products from multiple manufacturers to achieve economies of scale. Therefore, considering only the income gap between the agricultural producer and the manufacturer or the retailer is not sufficient, and it is necessary to introduce a relatively fair reference point. In this agricultural supply chain, both the manufacturer and retailer are leaders relative to the agricultural producer, and the profits and rights of the agricultural producer are subject to the manufacturer and retailer, resulting in his profits being lower than those of the manufacturer and retailer after introducing a fair reference point , .
Therefore, the problem of maximizing utility for the agricultural producer is defined as follows.
The manufacturer’s profit is , and the retailer’s profit is .
In this case, the decision-making process is as follows: (1) The manufacturer determines its unit profit . (2) The retailer then selects its own unit profit based on the unit profit of the manufacturer. (3) Finally, the agricultural producer determines the ER level and the farmgate price based on the decisions of the manufacturer and the retailer. In this case, with the agricultural producer exhibiting fairness concerns, the optimal decisions and profits of the three participants are determined through backward induction, as outlined in Section 2.3. The optimal decision of this model is as follows (see Appendix A for proof, where the solution results for and are complex), and the optimal decisions of the three models are shown in Table 2.
Table 2.
Optimal decisions across three models, including pricing, ER level, demand, and profit. Note: The parameters meet the requirements , in this table, let .
3. Model Analysis
3.1. Profits
Proposition 1.
The supply chain profit satisfies the following relationship (see Appendix A for proof):.
Firstly, the profit under centralized decision-making, , is significantly higher than the profits under decentralized decision-making, and . This result indicates that centralized decision-making has a significant advantage in improving supply chain efficiency and overall profit. In centralized decision-making, all parties optimize production and sales strategies through effective resource coordination and information sharing, reducing the impact of information asymmetry on decision-making and, thus, achieving higher efficiency and profits. In contrast, although decentralized decision-making grants more autonomy to the participants, the lack of coordination mechanisms often leads to inefficient resource allocation, negatively affecting the overall performance of the supply chain.
In decentralized decision-making with and without fairness concerns, the overall supply chain profit remains the same, i.e., . This phenomenon can be attributed to two reasons. First, as an agent with fairness concerns, the agricultural producer focuses on the difference between their own profit and the profits of the manufacturer and retailer. While increasing the ER level could indirectly boost the overall profit of all parties in the supply chain by driving market demand, the agricultural producer considers the direct costs of emission reduction, and their primary decision is based on achieving fairness in profit distribution rather than directly linking emission reduction to profit disparities. Therefore, fairness concerns do not directly impact their emission reduction decisions, reflecting that the agricultural producer’s emission reduction decision is independent. They aim for fair profit distribution by adjusting the farmgate price (see Appendix A for proof) rather than altering the ER level to narrow the profit gap. Second, in decentralized decision-making, each party in the supply chain (agricultural producer, manufacturer, retailer) independently seeks to maximize their own profit or utility. Although fairness concerns may lead some parties to make concessions in their decisions, the overall resource allocation and profit distribution tend toward balance, keeping the total profit stable. This phenomenon arises from the interdependence and compensation mechanisms among the parties: even though some participants’ profits might decrease due to fairness concerns in the supply chain, other parties can compensate by increasing pricing or reducing costs, thus maintaining the overall profit level.
These results suggest that supply chain managers and policymakers should prioritize establishing centralized or highly coordinated decision-making mechanisms to enhance overall efficiency and profitability. Centralized approaches enable better resource allocation, information sharing, and profit maximization, making them a valuable organizational goal. Furthermore, the finding that fairness concerns do not affect the overall supply chain profit under decentralized decision-making implies that integrating fairness considerations into pricing mechanisms (e.g., through fair contract designs or revenue-sharing models) can address equity issues without sacrificing efficiency. For policymakers, this highlights the importance of supporting policies that encourage collaboration and fair profit distribution, which can improve sustainability and equity while maintaining system-wide performance.
Proposition 2.
In both types of decentralized decision-making, the profits of the same participants satisfy the following relationships (see Appendix A for proof): , , .
and indicate that, in decentralized decision-making with fairness concerns, the profits of the manufacturer and retailers are lower than in the case without fairness concerns. This suggests that, under the decision-making environment where the agricultural producer pursues fairness, the manufacturer and retailer may need to sacrifice part of their profits to achieve a more balanced profit distribution. Meanwhile, indicates that when fairness concerns are considered, the profit of the agricultural producer actually increases. Considering fairness, this result suggests that agricultural producers may enhance their profit levels by adjusting the farmgate price or other strategies. This phenomenon reveals the complex role of fairness concerns in the decision-making of different participants. When the agricultural producer has fairness concerns, a game is formed over profit distribution between the participants, leading to a decrease in the profit of the manufacturer and retailer while the profit of the agricultural producer increases.
These results imply that supply chain managers and policymakers should carefully consider the impact of fairness concerns on profit distribution and stakeholder behavior. For managers, it is important to recognize that when upstream suppliers, such as agricultural producers, emphasize fairness, downstream partners like manufacturers and retailers may need to adjust the pricing or profit-sharing mechanisms to maintain cooperation and supply chain stability. Designing incentive-compatible contracts that address fairness concerns can help prevent conflict and ensure long-term collaboration. For policymakers, these findings highlight the importance of regulations or support measures that promote equitable profit distribution, especially for vulnerable upstream actors like farmers. Ensuring a fair and transparent supply chain environment can not only improve equity but also foster socially sustainable supply chains where all participants are motivated to engage and perform efficiently.
Proposition 3.
In the same type of decentralized decision-making, the profits of different participants satisfy the following relationships (see Appendix A for proof): (1) ; (2) and .
reflects a clear profit hierarchy among the entities in the decentralized decision-making process, considering fairness concerns. Specifically, the manufacturer earns the highest profit, followed by the retailer, with the agricultural producer earning the lowest profit. Despite the agricultural producers exhibiting concerns about fairness and attempting to narrow the profit gap for a fairer distribution, their profit still falls short of those of the manufacturer and retailer. This result indicates that while the agricultural producer’s efforts to increase their profit are beneficial, they do not surpass the profits of the other entities. Due to the higher market position and bargaining power of the manufacturer and retailer, they are able to secure more favorable positions in competition and achieve greater economic returns [39]. Therefore, when formulating relevant policies and strategies, effective measures should be taken to protect the economic interests of the agricultural producer, ensure a more balanced profit distribution within the supply chain, and promote the sustainable development of the supply chain.
and indicate a significant hierarchical difference in the profit distribution among entities in the decentralized decision-making process without considering fairness concerns. Specifically, the agricultural producer’s profit is only a quarter of the manufacturer’s profit, and the retailer’s profit is half of the manufacturer’s profit. This phenomenon reflects that, under intense market competition and rising operational cost pressures, the agricultural producer, as the starting point of the supply chain, is in a relatively disadvantaged position, while manufacturers occupy the highest profit position, and retailers fall in between. The imbalance in profit distribution not only affects the survival and development of the agricultural producer but also poses a challenge to the sustainability of the entire supply chain. The compression of the agricultural producer’s profit may lead to a lack of sufficient funds for low-carbon investments, further weakening their market competitiveness. Therefore, when formulating policies and optimizing decisions, it is crucial to consider the balance of interests among the entities to avoid excessive economic pressure on weaker entities, such as the agricultural producer, in market competition. By establishing a reasonable profit distribution mechanism and promoting coordination and cooperation among supply chain parties, the stability and sustainable development of the supply chain can be ensured, enhancing the economic benefit of the agricultural producer and strengthening the resilience and risk resistance of the supply chain.
These results highlight the urgent need for supply chain managers and policymakers to address profit imbalances within decentralized supply chains, especially under both fairness-aware and fairness-neutral settings. For managers, the clear profit hierarchy suggests the importance of implementing fair and inclusive profit-sharing mechanisms to ensure that upstream partners—particularly agricultural producers—are not disproportionately disadvantaged. Failure could risk supply chain disruption due to reduced participation or investment from weaker stakeholders.
For policymakers, the findings emphasize the necessity of targeted interventions, such as subsidies, price support policies, or bargaining platforms, to enhance the economic position of agricultural producers. Promoting equitable market structures and transparent negotiation mechanisms can help ensure a fairer distribution of profits, encourage low-carbon investments among producers, and strengthen the long-term sustainability and resilience of the supply chain. Ultimately, a more balanced and cooperative supply chain benefits not only vulnerable entities but also improves overall system stability and performance.
3.2. ER Level and Market Demand
Proposition 4.
The relationship between the ER level and market demand follows the following equations (see Appendix A for proof): (1)
; (2)
.
Firstly, in centralized decision-making, both the ER level and market demand reach their highest levels because all participants coordinate and work towards maximizing the overall supply chain profit, thereby achieving higher efficiency in resource allocation and decision-making. However, in decentralized decision-making, regardless of whether the agricultural producer exhibits fairness concerns, the ER level and market demand do not improve and remain at one-quarter of those in the centralized decision-making model.
Interestingly, the ER level and market demand are identical in both decentralized decision-making scenarios, whether or not fairness concerns are considered by the agricultural producer. This counterintuitive result can be attributed to the agricultural producer’s focus on the disparity between their own profits and those of the manufacturer and retailer rather than on the impact of emission reductions on overall supply chain profits. Although increasing the ER level could potentially increase market demand and contribute to higher supply chain profits, the agricultural producer, driven by fairness concerns, prioritizes an equitable distribution of profits among the entities in the supply chain. Their decision-making is thus centered around fairness in profit allocation rather than the indirect benefits of emission reductions. Additionally, the agricultural producer’s fairness concerns do not imply that the manufacturer or retailer would provide subsidies for emission reductions. Without such external incentives, the agricultural producer’s emission reduction decisions are not directly connected to profit disparities. Therefore, the producer’s primary objective remains the pursuit of fairness in profit distribution rather than optimizing emission reductions or supply chain profits. This further explains why fairness concerns do not directly influence the agricultural producer’s emission reduction decisions, as their decision-making is independent of the profit gaps between entities and lacks a direct connection to emission reduction.
A similar trend is also observed in market demand. According to the definition of the market demand function in this study, market demand is influenced by retail prices and the ER level. Since the agricultural producer has weak fairness concerns regarding retailers, their pricing decisions are not affected by the agricultural producer. Furthermore, the agricultural producer focuses on profit gaps, and their emission reduction decisions are independent of fairness concerns. Therefore, while fairness concerns may influence the direction and outcome of decisions, they do not result in significant differences in the overall level of market demand.
These results imply that supply chain managers and policymakers must recognize the limitations of decentralized decision-making—particularly in achieving environmental goals such as emission reductions (ER)—and the importance of coordinated, incentive-driven mechanisms. For managers, the findings suggest that relying solely on individual actors, especially agricultural producers with fairness concerns, is insufficient to drive substantial improvements in ER or market demand. Instead, collaborative strategies, such as cost-sharing contracts, subsidies, or green partnerships, are essential to align environmental goals with profit motives.
For policymakers, this highlights the need to design targeted policy tools, such as emission reduction subsidies, tax incentives, or regulatory frameworks, that directly support and motivate upstream actors like agricultural producers. By linking environmental performance to economic benefits, policies can help overcome the misalignment between fairness-driven decision-making and overall supply chain sustainability. Ultimately, fostering coordination and providing direct incentives are key to achieving both environmental and economic objectives in decentralized supply chains.
3.3. Fairness Concern Intensity
Proposition 5.
The relationships between the ER level, market demand, participant profits, and supply chain profits with fairness concerns are as follows (see Appendix A for proof): (1) and are independent of the fairness concern coefficients and ; (2) is negatively correlated with and positively correlated with ; (3) is positively correlated with and negatively correlated with .
Firstly, the ER level, market demand, and supply chain profits are independent of the fairness concern coefficients and . This result suggests that, under both centralized and decentralized decision-making, the agricultural producer’s core decisions are primarily driven by other factors, such as cost structures, rather than fairness concerns, which do not significantly impact their strategy choices. The reasons for this are as follows: (1) The agricultural producer, as entities with fairness concerns, focuses on the gap between his own profits and that of the manufacturer and retailer. While increasing the ER level may indirectly boost market demand and overall supply chain profits, the agricultural producer considers the direct costs of emission reduction. Their primary decision-making focus remains on achieving fairness in profit distribution, with no direct link between emission reduction and profit gaps. Therefore, fairness concerns do not directly influence their emission reduction decisions, highlighting that the agricultural producer’s emission reduction decisions are independent. (2) According to the definition of the market demand function in this study, market demand is influenced by retail prices and the ER level. Since the agricultural producer has weaker bargaining power in the supply chain and their fairness concerns do not affect the retailers’ profit-maximizing goals, their fairness concerns will not directly influence the retailers’ pricing decisions. Moreover, the agricultural producer mainly focuses on the profit gap between himself, the manufacturer, and the retailer. Therefore, his fairness concerns do not substantially affect their own emission reduction decisions. As a result, regardless of whether the agricultural producer exhibits fairness concerns, the overall level of market demand remains unchanged. (3) Supply chain profits are the result of the interaction between various stages and are influenced by multiple factors, such as retail prices, production costs, market demand, and the ER level. Given that these factors remain constant in the analysis, supply chain profits do not change whether or not the agricultural producer considers fairness concerns. Agricultural producers might view fairness concerns as a strategy for maintaining long-term relationships, but this strategy does not directly impact supply chain profits in the short term.
Secondly, the manufacturer’s profit is negatively correlated with and positively correlated with . This difference likely arises from the varying impacts of different fairness concerns on the interests of different stages of the supply chain. Specifically, when the agricultural producer’s fairness concerns toward the manufacturer increase, the manufacturer may need to make pricing concessions, thereby reducing its profit margin. However, when the agricultural producer focuses more on the retailer’s profit, it may enhance the manufacturer’s profitability. Thus, the agricultural producer’s varying focus on fairness concerns can significantly affect the manufacturer’s decisions and performance. Similarly, the retailer’s profit is positively correlated with and negatively correlated with . This suggests that when the agricultural producer focuses more on the profit gap with the manufacturer, the retailer’s profit increases. Conversely, when the agricultural producer focuses more on fairness toward the retailer, the retailer may face profit compression. The changes in the retailer’s profit reflect the interplay of interests among supply chain participants, especially the trade-off between resource allocation and fairness expectations. The relationship between the agricultural producer’s profit and fairness concerns coefficients and is more complex, making it difficult to determine a straightforward positive or negative correlation. Therefore, numerical experiments are conducted to analyze this relationship further.
This finding highlights the nuanced and multifaceted role of fairness concerns in supply chain decision-making. While fairness concerns do not directly alter key operational outcomes—such as emission reduction levels, market demand, or total supply chain profit—they significantly influence the distribution of profits among supply chain participants, especially in decentralized decision-making contexts. For supply chain managers, this suggests that fairness-driven behavior may not necessarily lead to improved overall performance unless accompanied by effective coordination mechanisms or incentive-based strategies.
For policymakers, it is crucial to recognize that weaker entities, such as agricultural producers, often rely on fairness considerations to safeguard their economic interests. However, without structural support—such as subsidies for emission reduction or improved bargaining frameworks—their pursuit of fairness may not translate into more sustainable supply chain practices. Therefore, when optimizing supply chain strategies, both businesses and policymakers should actively incorporate fairness mechanisms that not only improve profit balance but also foster long-term cooperation and resilience. Designing transparent negotiation platforms, equitable pricing models, and targeted incentive policies can help achieve a more inclusive and sustainable supply chain where all participants are empowered to contribute to collective goals.
4. Numerical Experiments
In this section, we conduct a numerical experiment to analyze the complex relationship between various parameters and the resulting profit and the ER level, as well as to validate the accuracy and applicability of the theoretical model. First, we present a numerical analysis of the key outcomes, focusing on the effects of the emission reduction cost coefficient and the government-allocated free carbon emissions on both the ER level and profits. Second, we conduct a sensitivity analysis from two perspectives: the influence of fairness concerns on the profits of participants and the impact of carbon trading prices on the ER level and profits. This helps gain insights into the emission reduction behavior of participants within the agricultural supply chain. Finally, the section discusses the implications of the research findings for policy formulation. This analysis provides valuable insights into the emission reduction behavior of participants within the agricultural supply chain.
4.1. Main Results
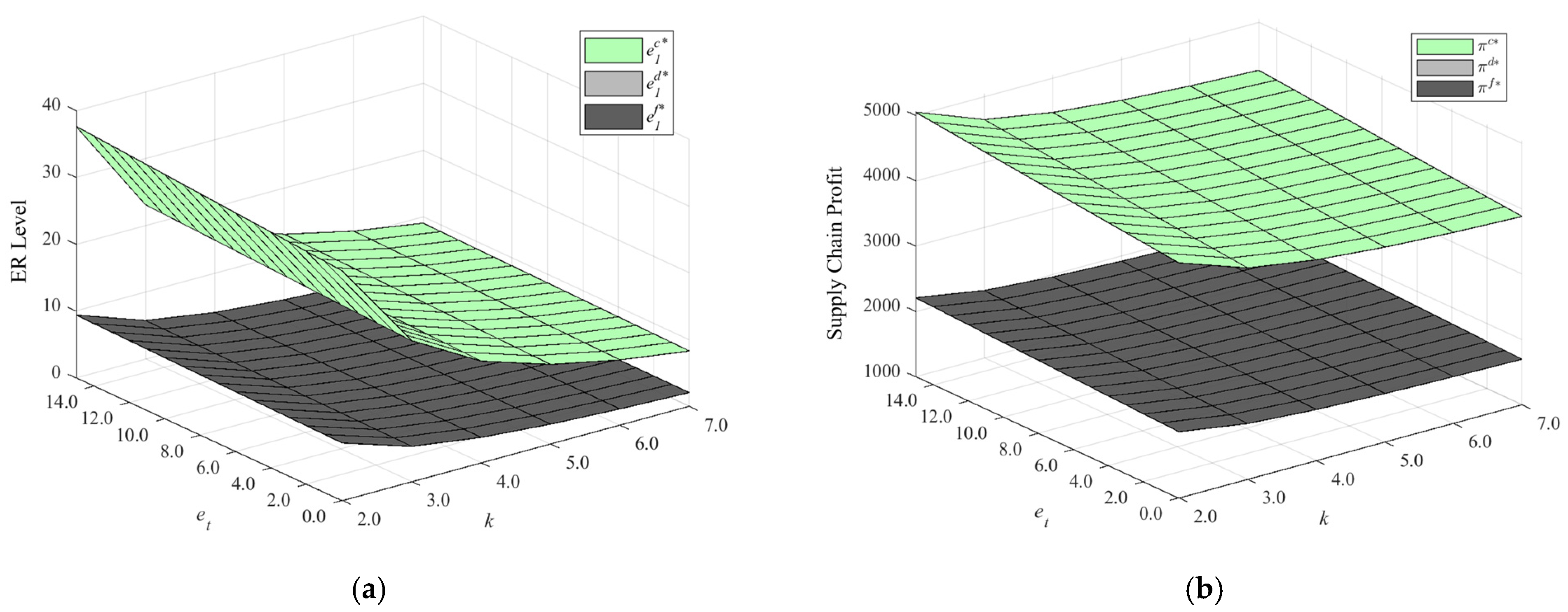
In this section, we conduct numerical analyses that compare the ER levels and profit outcomes under different decision-making models—with and without dual fairness concerns. These comparisons aim to illustrate how the introduction of dual fairness concerns influences emission reduction decisions and profit distribution among supply chain participants under the carbon cap-and-trade policy. Specifically, we examine the effects of two key factors—the unit amount of free carbon emissions and the ER cost coefficient —on outcomes across different models. These parameters were selected because they represent important drivers of ER behavior in the carbon trading context, with reflecting government policy incentives and capturing cost-side pressures on the agricultural producer. The parameters satisfy .
- (1)
- Comparison of ER levels and profits under centralized vs. decentralized models
From Figure 2a, it can be observed that the centralized decision-making model achieves the highest ER level in the low-carbon agricultural supply chain, indicating that this model places greater emphasis on carbon reduction efforts. This suggests that the centralized model effectively meets emission reduction targets and promotes environmental sustainability. Additionally, the ER levels under both decentralized models are identical, indicating that the agricultural producer’s fairness concerns do not influence their emission reduction decisions. Furthermore, as shown in Figure 2b, the centralized model clearly outperforms in terms of overall system profit, indicating that it focuses on optimizing the performance of the entire system, thereby enhancing the profitability of the low-carbon agricultural supply chain.

Figure 2.
Comparison of ER levels and profits across different models (vary with the government carbon quota and ER cost coefficient). (a) Comparison of ER levels. (b) Comparison of supply chain’s profits. (c) Comparison of the agricultural producer’s profits. (d) Comparison of the manufacturer’s profits. (e) Comparison of the retailer’s profits.
- (2)
- Differential impact of fairness concerns on the participants’ profits
Figure 2c–e further demonstrate that under the decentralized decision-making model with fairness concerns, the agricultural producer earns higher profits, whereas the profits of the manufacturer and retailer decline. This suggests that the producer’s fairness concerns enhance their own profitability but simultaneously reduce the earnings of the other supply chain participants. In such a scenario, the long-term sustainable operation of the agricultural supply chain largely depends on whether the manufacturer and retailer can improve their corporate image or proactively align with government low-carbon policies.
- (3)
- Impact of ER costs and carbon quotas on ER levels and profits
In Figure 2, the profits of the agricultural producer, manufacturer, and retailer decline as the reduction cost coefficient increases but rise with an increase in the government’s free carbon allowance (see Appendix A for proof). The finding highlights that a higher reduction cost coefficient imposes a heavier financial burden on the agricultural producer, thereby weakening their incentive to invest in emission-reduction technologies. As a result, both market demand and overall supply chain profits diminish. Conversely, when the government allocates more free carbon allowances, the agricultural producer is encouraged to invest more in low-carbon production, which enhances the ER level and increases the supply of low-carbon agricultural products. This not only boosts market demand but also allows the agricultural producer to secure a larger share of the low-carbon market. Ultimately, the profits of all supply chain participants improve, contributing to the sustainable development of the agricultural supply chain in the long term.
4.2. Sensitivity Analysis
In this section, we conduct a sensitivity analysis on the impact of fairness concerns and carbon trading prices. Specifically, we examine how fairness concerns influence the profits of participants and how carbon trading prices affect the ER level and overall profit.
- (1)
- Impact of fairness concerns on participants’ profits
We numerically analyze how the concern of fairness affects the profits of the participants in the agricultural supply chain. The analysis assumes that the parameters satisfy . In Figure 3a, , ; in Figure 3b, , ; in Figure 3c, , .
Figure 3.
Participants’ profits (vary with the agricultural producer’s fairness concerns). (a) Participants’ profits (vary with the agricultural producer’s concern for fairness towards the manufacturer). (b) Participants’ profits (vary with the agricultural producer’s concern for fairness towards the retailer). (c) Participants’ profits (vary with the agricultural producer’s dual fairness concerns).
As shown in Figure 3, in decentralized decision-making scenarios with fairness concerns, the manufacturer consistently achieves the highest profit, followed by the retailer, while the agricultural producer’s profit remains the lowest. This suggests that, although fairness concerns enhance the agricultural producer’s profit, they still cannot surpass the profits of the manufacturer or retailer due to the market structure, the participants’ relative power, and the decision-making sequence. In Figure 3a, it can be seen that as the agricultural producer’s fairness concern towards the manufacturer increases, both the agricultural producer’s and the retailer’s profits rise while the manufacturer’s profit declines. Similarly, Figure 3b shows that as the agricultural producer’s fairness concern towards the retailer increases, the profits of both the agricultural producer and the manufacturer increase while the retailer’s profit decreases.
These observations highlight that the agricultural producer’s intensity of fairness concerns significantly impacts the profits of all participants in the supply chain. When the agricultural producer’s fairness concern towards one participant increases while the concern for others remains unchanged, the profits of the continuously considered party typically decrease, while the profits of the other participant increase. This phenomenon reflects the interdependence of interests among the supply chain participants. The agricultural producer’s decisions not only affect their own and the concerned party’s profitability but also influence the profit distribution of other participants. Therefore, while considering fairness, the agricultural producer must carefully balance the interests of all participants to ensure the sustainable development of the supply chain.
- (2)
- Impact of carbon trading prices on the ER levels and profits
This section aims to analyze the impact of carbon trading prices on the ER level and profits. The findings suggest that the carbon trading market positively influences the sustainability of the agricultural supply chain. In this case, the following parameter values are considered: Figure 4 and Figure 5 show that as carbon trading prices rise, the ER level, supply chain profit, agricultural producer profit, manufacturer profit, and retailer profit all increase. This indicates that the carbon trading market positively influences the operation of the low-carbon agricultural supply chain. When the agricultural producer’s carbon emissions exceed the government-set carbon quota, they must purchase additional carbon allowances from the carbon trading market. However, the agricultural producer is more inclined to sell any surplus carbon allowances, generating carbon trading revenue. The existence of the carbon trading market motivates agricultural producers to enhance their emission reduction efforts, improve the ER level, capture a larger market share, and ultimately secure higher profits.
Figure 4.
ER levels across three models varying with changes in carbon trading prices.
Figure 5.
Profits in a decentralized model with fairness concerns varying with changes in carbon trading prices.
From Figure 4, it is clear that the agricultural producer’s emission reduction decisions are unaffected by their fairness concerns. This is mainly because the agricultural producer typically focuses on maximizing their own profits or utility. Increasing the ER level incurs additional costs, which can reduce their immediate profit. Consequently, fairness concerns regarding the profits of other participants do not drive the agricultural producer’s investment in further emission reduction. Instead, the financial benefits derived from carbon trading serve as the primary motivator for their emission reduction decisions.
5. Managerial Implications
This section offers managerial insights for stakeholders, including agricultural producers, manufacturers, retailers, and policymakers, with the goal of supporting optimized decision-making, enhancing supply chain coordination, and promoting sustainable development. By examining the behaviors of different stakeholders within the supply chain, this study provides practical recommendations to help them better respond to market dynamics and improve overall supply chain performance.
- (1)
- Promoting centralized decision-making to improve efficiency
The results indicate that centralized decision-making significantly improves overall supply chain efficiency compared to decentralized approaches—particularly in terms of higher profitability, greater emission reductions, and increased market demand. Therefore, stakeholders are encouraged to adopt centralized decision-making models that promote collaborative planning, resource sharing, and integrated strategies to maximize supply chain performance. 1) Managerial recommendations: enterprises should consider investing in shared digital platforms—such as blockchain, the Internet of Things (IoT), or Enterprise Resource Planning (ERP) systems—to enhance transparency and coordination. For instance, a centralized system can enable agricultural producers, manufacturers, and retailers to jointly optimize pricing, production schedules, and emission reduction efforts, thereby mitigating inefficiencies caused by information asymmetry. 2) Policy recommendations: governments and industry associations can facilitate supply chain integration by offering subsidies for collaborative low-carbon initiatives or providing tax incentives to companies that adopt centralized decision-making tools and technologies.
- (2)
- Addressing fairness issues to stabilize profit distribution
Although fairness concerns do not alter the total profit of the supply chain, they have a significant impact on how profits are distributed among stakeholders. In particular, when agricultural producers place a high emphasis on fairness, the profit margins of manufacturers and retailers tend to be compressed. To maintain stable collaboration and ensure equitable outcomes, it is essential for supply chain participants to reasonably adjust pricing mechanisms and cost-sharing arrangements. Specific practical strategies include: 1) Contract design: introducing revenue-sharing or cost-sharing contracts to ensure that agricultural producers receive a more equitable share of profits; 2) Fairness-driven negotiations: encouraging retailers and manufacturers to build long-term partnerships with producers and avoid exploiting short-term bargaining advantages; 3) Policy intervention: enabling governments to set minimum profit margins for agricultural suppliers to prevent unfair profit distribution, drawing on principles similar to those of fair trade practices.
- (3)
- Enhancing ER level and market demand
The results further indicate that centralized decision-making significantly enhances both emission reduction levels and market demand, whereas fairness considerations have a comparatively smaller impact on these outcomes. Producers’ decisions regarding emission reductions are primarily driven by cost factors, underscoring the importance of external incentives. In decentralized systems, market demand is often influenced by pricing and emission reduction performance, requiring businesses to carefully balance sustainability objectives within their pricing strategies. Specific feasible measures include: 1) Green supply chain incentives: manufacturers and retailers can adopt premium pricing strategies for low-carbon products to motivate producers to invest in emission reduction technologies; 2) Enhancing consumer low-carbon preferences: retailers can promote eco-labeling and carbon footprint disclosures to stimulate demand for sustainable products, thereby indirectly encouraging producers to improve their environmental performance; 3) Government support: policymakers can introduce carbon taxes or provide subsidies for low-carbon agricultural practices to make investments in emission reduction more financially viable for producers.
- (4)
- Strategic response to the intensity of fairness concern
The study reveals that when producers place greater emphasis on fairness toward retailers, retailers’ profits decrease while manufacturers’ profits increase; conversely, when producers focus more on fairness toward manufacturers, manufacturers’ profits decline, and retailers’ profits improve. These findings demonstrate that variations in fairness attention intensity directly influence profit distribution among stakeholders. Consequently, supply chain participants must respond flexibly to differing fairness concerns and adjust their collaboration strategies accordingly. 1) Management insights: stakeholders should recognize that shifts in fairness attention intensity can significantly alter profit distribution, and thus, manufacturers and retailers should adapt their pricing, profit allocation, and partnership approaches in response to producers’ fairness expectations to maintain long-term stability. 2) Strategic recommendations: manufacturers and retailers can utilize flexible contract mechanisms—such as profit-sharing agreements or dynamic pricing strategies—to balance stakeholder interests and reinforce overall supply chain resilience.
- (5)
- Policy and industry recommendations
To translate these research findings into broader practical applications, policymakers and industry organizations can adopt several measures to promote sustainable supply chain development and equitable profit distribution. 1) Establish fairness guidelines: industry organizations—such as agricultural cooperatives or retail associations—should formulate voluntary fairness standards to prevent excessive imbalances in profit distribution among supply chain participants; 2) Support the low-carbon transition: governments can provide financial assistance to small-scale producers for adopting emission reduction technologies, thereby lowering cost barriers and facilitating the shift toward low-carbon agricultural practices; 3) Encourage vertical integration: policymakers should support the formation of joint ventures among farmers, processors, and retailers to replicate the efficiency and coordination benefits associated with centralized decision-making.
In conclusion, this study emphasizes that while centralized decision-making maximizes efficiency, fairness issues in decentralized supply chains still need to be actively managed to avoid imbalanced profit distribution. By implementing collaborative contracts, transparent tools, and policy incentives, stakeholders can improve overall profits, sustainability, and the stability of supply chain cooperation. Future management strategies should focus on digital transformation, dynamic profit distribution, and government regulatory support to drive the practical application of these research findings.
6. Conclusions
Given that existing research has not fully examined the complex role of agricultural producers’ dual fairness concerns within a three-tier agricultural supply chain, this study investigates scenarios in which the agricultural producer exhibits fairness concerns toward both the manufacturer and the retailer. By developing one centralized decision model and two decentralized decision models—with and without dual fairness concerns—we derive the optimal emission reduction decisions, individual participant profits, and total supply chain profits under each decision-making scenario. To highlight the differences across the three scenarios, we conduct a detailed comparative analysis of the model outcomes from three key perspectives: (1) profits; (2) ER level and market demand; and (3) fairness concern intensity.
Additionally, this study employs numerical experiments to validate the scientific soundness and applicability of the theoretical model, analyzing the impact of various parameters on the operation of the agricultural supply chain. First, we compare the ER levels, participant profits, and overall supply chain profits across different decision-making models by varying the unit amount of free carbon quotas and the emission reduction cost coefficient. Next, we investigate the influence of dual fairness concerns on participant profits, as well as the impact of carbon trading prices on ER level, participant profits, and overall supply chain profit. Finally, we discuss the managerial implications of the research findings. The main conclusions of this study are as follows:
(1) Centralized vs. decentralized decision-making: Under centralized decision-making, the overall supply chain profit, ER level, and market demand are all higher compared to decentralized decision-making. Notably, in both decentralized scenarios—regardless of whether fairness concerns are considered—the overall supply chain profit, ER level, and market demand remain unchanged.
(2) Impact of fairness concerns on profits: In both decentralized decision-making scenarios, the inclusion of fairness concerns leads to an increase in the agricultural producer’s profit, while the profits of the manufacturer and retailer decrease. Additionally, regardless of whether fairness concerns are present, the profit ranking among participants remains unchanged: the manufacturer consistently earns the highest profit, followed by the retailer, with the agricultural producer receiving the lowest.
(3) Dual fairness concerns and profit distribution: Although the agricultural producer’s dual fairness concerns do not affect their own emission reduction decisions or the overall supply chain profit, they do alter the profit distribution among participants. Specifically, when the agricultural producer expresses fairness concerns towards a particular participant, that participant’s profit tends to decrease. Moreover, as the agricultural producer’s fairness concern towards one participant increases—while the concern for the other remains constant—the profit of the targeted participant generally decreases, whereas the other participant’s profit increases. The dynamic underscores the interdependence of interests within the supply chain, illustrating that the agricultural producer’s fairness-driven decisions not only affect individual profitability but also influence profit distribution within the supply chain through market interactions.
(4) Impact of ER Costs, carbon quotas, and trading prices: Numerical experiments indicate that higher emission reduction costs lead to lower ER levels, reduced participant profits, and a decline in overall supply chain profit. Conversely, when government-provided free carbon quotas and carbon trading prices increase, both ER level, participant profits, and supply chain profit rise—especially when carbon trading prices are high, leading to a more substantial growth rate. These findings highlight the significant role of the carbon cap-and-trade policy in shaping emission reduction decisions within the agricultural supply chain. Therefore, moderately increasing carbon quotas and trading prices is crucial for improving both the sustainability and economic performance of the supply chain.
In light of these findings, this study contributes to the literature by modeling dual fairness concerns within a three-tier agricultural supply chain (agricultural producer–manufacturer–retailer), a structure that has largely been overlooked in previous research, which has primarily focused on two-tier chains involving only the manufacturer and retailer [15,28]. By considering fairness preferences toward two downstream partners, our model captures unique interdependencies in profit allocation that were not previously explored. While earlier studies (e.g., Wang et al. [23,24], Chen et al. [27], Zhao et al. [28]) found that fairness concerns in industrial supply chains tend to reduce efficiency under decentralized decision-making, our results reveal that although centralized decision-making still yields higher overall profits, emission reduction, and market demand, dual fairness concerns in agri–food chains mainly influence the distribution of profits rather than operational efficiency. This nuanced impact partly supports the claims of Yoshihara and Matsubayashi [25] and Xue et al. [26] that fairness can facilitate coordination and contract effectiveness, yet also reflects the complexity introduced by the distinct roles and power asymmetries in agri–food systems.
In addition, our study integrates fairness concerns with emission reduction decisions—an area typically explored in the context of industrial or green product supply chains (e.g., Li et al. [31], Zhou et al. [15], Xiao et al. [30])—and extends it to the agri–food sector. Interestingly, fairness concerns in our model do not affect the overall ER levels or total supply chain profits but lead to asymmetric profit reallocation, in contrast to industrial settings where fairness often directly alters ER investment decisions [31,33]. Sensitivity analyses further demonstrate that ER costs, carbon quotas, and carbon trading prices significantly shape supply chain strategies, with particularly notable performance improvements under high carbon price scenarios—echoing aspects of the findings by Li et al. [29], Zhou et al. [15], and Xiao et al. [30]. Collectively, this research not only fills a gap in the dual fairness literature but also offers new theoretical insights into profit allocation mechanisms and fairness-driven decision-making in agricultural supply chains.
Future research could further advance our understanding of fairness concerns in agricultural supply chains by exploring two main directions. First, it would be valuable to examine the influence of fairness concerns from the manufacturer—typically the dominant party in the supply chain—on decision-making, especially in scenarios where partial integration exists between the manufacturer and retailer, with the agricultural producer remaining in a relatively weaker position. This research direction would usefully complement the present study, which centers on the fairness concerns of the weaker party.
Second, future studies could extend the current model by considering fairness concerns and emission reduction decisions from a supply chain-wide perspective. In practice, emission control responsibilities and government-imposed carbon quotas are often applied across the entire supply chain, not just to agricultural producers. Therefore, it would be valuable to investigate how agricultural producers’ concerns about fairness influence their emission reduction decisions within the carbon cap-and-trade policy. Additionally, exploring how these concerns affect the collaborative efforts of manufacturers and retailers in meeting shared emission reduction targets would provide a more comprehensive understanding of supply chain dynamics under environmental regulations.
Author Contributions
Conceptualization, H.W.; Formal analysis, H.W.; Investigation, H.W.; Methodology, H.W.; Software, H.W.; Supervision, Q.Z. (Qilan Zhao); Validation, H.W.; Writing—original draft, H.W.; Writing—review and editing, H.W., Q.Z. (Qilan Zhao), H.C., J.G. and Q.Z. (Qiuxia Zhang). All authors have read and agreed to the published version of the manuscript.
Funding
This research received no external funding.
Data Availability Statement
No data were used for the research described in the article.
Conflicts of Interest
The authors declare no conflicts of interest.
Abbreviations
The following abbreviations are used in this manuscript:
| FAO | Food and Agriculture Organization |
| ER | Emission Reduction |
Appendix A. Proofs
- 1.
- Centralized Model Solution
Calculate the partial derivatives of Equation (5) with respect to the ER level and the sales price .
Set Equations (A1) and (A2) to zero and solve them jointly to obtain the optimal ER level and sales price in the centralized decision-making agricultural supply chain.
Substitute and into the demand function (1) and the profit function (5) to obtain the optimal market demand and the supply chain system profit .
- 2.
- Decentralized Model Solution without Fairness Concerns
Use backward induction to solve the optimal decisions of different entities in the three-level agricultural supply chain.
- (1)
- Third Stage: Agricultural Producer Decides Farmgate Price and ER Level
- Substitute Equations (1) and (7) into Equation (2) to obtain the agricultural producer’s profit function:
The Hessian matrix of is:
Since the first leading principal minor of the Hessian matrix is negative, i.e., , and the determinant is positive, i.e., , has a maximum. By solving and , we obtain:
- (2)
- Second Stage: Retailer Decides Unit Profit
Substitute Equations (1), (6) and (7) into Equation (4) to obtain the retailer’s profit function:
Substitute Equations (A8) and (A9) into (A10) to obtain the retailer’s profit function:
Calculate the partial derivative of Equation (A11) with respect to :
Set Equation (A12) to zero to obtain the retailer’s optimal unit profit:
- (3)
- First Stage: Manufacturer Decides Unit Profit
Substitute Equations (A8), (A9), (A13), (1) and (6) into the manufacturer’s profit function (3) to obtain:
Since , when the manufacturer sets its unit profit to , reaches its maximum:
Substitute Equation (A15) into Equations (A8), (A9) and (A13) to obtain the following optimal decisions:
- 3.
- Decentralized Model Solution with Fairness Concerns
- (1)
- Third Stage: Agricultural Producer Decides Farmgate Price and ER Level
Using backward induction, substitute Equations (1)–(4), (6) and (7) into Equation (10) to obtain:
By solving and , we obtain:
- (2)
- Second Stage: Retailer Decides Unit Profit
Substitute Equations (1), (6) and (7) into Equation (4) to obtain the retailer’s profit function:
Substitute Equations (A17) and (A18) into (A19) to obtain the retailer’s profit function:
Calculate the partial derivative of Equation (A20) with respect to
Set Equation (A21) to zero to obtain the retailer’s optimal unit profit:
- (3)
- First Stage: Manufacturer Decides Unit Profit
Substitute Equations (A17), (A18), (A22), (1) and (6) into the manufacturer’s profit function (3) to obtain:
Since , when the manufacturer sets its unit profit to , reaches its maximum:
Substitute Equation (A24) into Equations (A17), (A18) and (A22) to obtain the following optimal decisions:
- 4.
- Proof of Proposition 1
Since and , we can conclude that , which implies .
- 5.
- Proof of Adjusting Farmgate Price
Since and . To calculate the difference between and , we have .
- 6.
- Proof of Proposition 2
Since and , , which implies . Since and , , which implies . Since and , , which implies .
- 7.
- Proof of Proposition 3
Since and , by observation, we can see that . In addition, the agricultural producer’s profit and rights are constrained by the manufacturer and retailer, which makes the agricultural producer’s profit less than the manufacturer’s and retailer’s profits after introducing the fairness reference point, i.e., , , since , and, therefore, , , therefore .
- Since , and , by observation, we can see that and .
- 8.
- Proof of Proposition 4
Since , and , by observation and comparison, it is known that ; similarly, since , and , it follows that .
- 9.
- Proof of Proposition 5
To calculate the first-order partial derivative of , . Next, to calculate the first-order partial derivative of , . For the first-order partial derivative of with respect to , ; For the first-order partial derivative of , . For the first-order partial derivative of with respect to , since the result is complex and contains , , , and , it is difficult to determine the sign directly. Therefore, numerical experiments are conducted in this study for further analysis.
- 10.
- Impact of Emission Reduction Cost Coefficient
Calculate the first-order partial derivatives of the ER level and profit with respect to parameter in the centralized decision model, the decentralized decision model without fairness concerns, and the decentralized decision model with fairness concerns.
- (i)
- Centralized model
- (ii)
- Decentralized model without fairness concerns
- (iii)
- Decentralized model with fairness concerns
- 11.
- Impact of Government-Provided Free Carbon Allowances
Calculate the first-order partial derivatives of ER levels and profits with respect to the parameter in the following models.
- (i)
- Centralized model
- (ii)
- Decentralized model without fairness concerns
- (iii)
- Decentralized model with fairness concerns
References
- Costa, C.; Wollenberg, E.; Benitez, M.; Newman, R.; Gardner, N.; Bellone, F. Roadmap for Achieving Net-Zero Emissions in Global Food Systems by 2050. Sci. Rep. 2022, 12, 15064. [Google Scholar] [CrossRef]
- FAO Greenhouse Gas Emissions from Agrifood Systems: Global, Regional and Country Trends, 2000–2020; FAO: Rome, Italy, 2022.
- Wang, H.; Fan, X.; Guo, J.; Zhao, Q.; Dai, Z. Towards Sustainable Beef: The Role of Altruistic Preference in the Value Chain Transformation. Food Policy 2024, 127, 102687. [Google Scholar] [CrossRef]
- Bolotova, Y.V. Competition Issues in the U.S. Beef Industry. Appl. Econ. Perspect. Policy 2022, 44, 1340–1358. [Google Scholar] [CrossRef]
- Fischer, B.L.; Outlaw, J.L.; Anderson, D.P. The U.S. Beef Supply Chain: Issues and Challenges Proceedings of a Workshop on Cattle Markets; Agricultural and Food Policy Center, Texas A&M University: Kansas City, MO, USA, 2021. [Google Scholar]
- Pannell, D.J.; Crawford, M. Challenges in Making Soil-Carbon Sequestration a Worthwhile Policy. Farm Policy J. 2022, FPJ1901. [Google Scholar]
- Buck, H.J.; Palumbo-Compton, A. Soil Carbon Sequestration as a Climate Strategy: What Do Farmers Think? Biogeochemistry 2022, 161, 59–70. [Google Scholar] [CrossRef]
- Thamo, T.; Pannell, D.J. Challenges in Developing Effective Policy for Soil Carbon Sequestration: Perspectives on Additionality, Leakage, and Permanence. Clim. Policy 2016, 16, 973–992. [Google Scholar] [CrossRef]
- Wreford, A.; Ignaciuk, A.; Gruère, G. Overcoming Barriers to the Adoption of Climate-Friendly Practices in Agriculture; OECD: Paris, France, 2017. [Google Scholar]
- Li, X.; Jensen, K.L.; Clark, C.D.; Lambert, D.M. Consumer Willingness to Pay for Beef Grown Using Climate Friendly Production Practices. Food Policy 2016, 64, 93–106. [Google Scholar] [CrossRef]
- Katare, B.; Yim, H.; Byrne, A.; Wang, H.H.; Wetzstein, M. Consumer Willingness to Pay for Environmentally Sustainable Meat and a Plant-Based Meat Substitute. Appl. Econ. Perspect. Policy 2023, 45, 145–163. [Google Scholar] [CrossRef]
- USDA ERS. Food Dollar Series. Available online: https://www.ers.usda.gov/data-products/food-dollar-series/ (accessed on 5 April 2023).
- Wang, H.; Fan, X.; Zhao, Q.; Cui, P. Emissions Reduction Strategy in a Three-Stage Agrifood Value Chain: A Dynamic Differential Game Approach. PLoS ONE 2023, 18, e0294472. [Google Scholar] [CrossRef]
- Leahy, S.; Clark, H.; Reisinger, A. Challenges and Prospects for Agricultural Greenhouse Gas Mitigation Pathways Consistent with the Paris Agreement. Front. Sustain. Food Syst. 2020, 4, 69. [Google Scholar] [CrossRef]
- Zhou, Y.; Bao, M.; Chen, X.; Xu, X. Co-Op Advertising and Emission Reduction Cost Sharing Contracts and Coordination in Low-Carbon Supply Chain Based on Fairness Concerns. J. Clean. Prod. 2016, 133, 402–413. [Google Scholar] [CrossRef]
- Barling, D.; Samoggia, A.; Olafsdottir, G. Dynamics of Food Value Chains: Resilience, Fairness and Sustainability. Agriculture 2022, 12, 720. [Google Scholar] [CrossRef]
- Duffy, R.; Fearne, A.; Hornibrook, S. Measuring Distributive and Procedural Justice: An Exploratory Investigation of the Fairness of Retailer-Supplier Relationships in the Uk Food Industry. Br. Food J. 2003, 105, 682–694. [Google Scholar] [CrossRef]
- Li, Q.; Xiao, T.; Qiu, Y. Price and Carbon Emission Reduction Decisions and Revenue-Sharing Contract Considering Fairness Concerns. J. Clean. Prod. 2018, 190, 303–314. [Google Scholar] [CrossRef]
- Zhang, L.; Xue, B.; Liu, X. Carbon Emission Reduction with Regard to Retailer’s Fairness Concern and Subsidies. Sustainability 2018, 10, 1209. [Google Scholar] [CrossRef]
- Wang, Y.; Wang, D.; Cheng, T.C.E.; Zhou, R.; Gao, J. Decision and Coordination of E-Commerce Closed-Loop Supply Chains with Fairness Concern. Transp. Res. Part E. Logist. Transp. Rev. 2023, 173, 103092. [Google Scholar] [CrossRef]
- Sharma, A.; Dwivedi, G.; Singh, A. Game-Theoretic Analysis of a Two-Echelon Supply Chain with Option Contract under Fairness Concerns. Comput. Ind. Eng. 2019, 137, 106096. [Google Scholar] [CrossRef]
- Pan, K.; Cui, Z.; Xing, A.; Lu, Q. Impact of Fairness Concern on Retailer-Dominated Supply Chain. Comput. Ind. Eng. 2020, 139, 106209. [Google Scholar] [CrossRef]
- Wang, Y.; Yu, Z.; Shen, L. Study on the Decision-Making and Coordination of an e-Commerce Supply Chain with Manufacturer Fairness Concerns. Int. J. Prod. Res. 2019, 57, 2788–2808. [Google Scholar] [CrossRef]
- Wang, Y.; Su, M.; Shen, L.; Tang, R. Decision-Making of Closed-Loop Supply Chain under Corporate Social Responsibility and Fairness Concerns. J. Clean. Prod. 2021, 284, 125373. [Google Scholar] [CrossRef]
- Yoshihara, R.; Matsubayashi, N. Channel Coordination between Manufacturers and Competing Retailers with Fairness Concerns. Eur. J. Oper. Res. 2021, 290, 546–555. [Google Scholar] [CrossRef]
- Xue, C.; Wu, Y.D.; Zhu, W.; Zhao, X.; Chen, J. Mitigating Behavioral Supply Risk under Dual Sourcing: Evidence from an Order Allocation Game. Prod. Oper. Manag. 2022, 31, 1788–1801. [Google Scholar] [CrossRef]
- Chen, J.; Zhao, X.; Shen, Z. Risk Mitigation Benefit from Backup Suppliers in the Presence of the Horizontal Fairness Concern. Decis. Sci. 2015, 46, 663–696. [Google Scholar] [CrossRef]
- Zhao, D.; Zhang, X.; Ren, T.; Fu, H. Optimal Pricing Strategies in a Product and Service Supply Chain with Extended Warranty Service Competition Considering Retailer Fairness Concern. Math. Probl. Eng. 2019, 2019, 8657463. [Google Scholar] [CrossRef]
- Li, Q.; Guan, X.; Shi, T.; Jiao, W. Green Product Design with Competition and Fairness Concerns in the Circular Economy Era. Int. J. Prod. Res. 2020, 58, 165–179. [Google Scholar] [CrossRef]
- Xiao, Q.; Chen, L.; Xie, M.; Wang, C. Optimal Contract Design in Sustainable Supply Chain: Interactive Impacts of Fairness Concern and Overconfidence. J. Oper. Res. Soc. 2021, 72, 1505–1524. [Google Scholar] [CrossRef]
- Li, G.; Reimann, M.; Zhang, W. When Remanufacturing Meets Product Quality Improvement: The Impact of Production Cost. Eur. J. Oper. Res. 2018, 271, 913–925. [Google Scholar] [CrossRef]
- Zhang, Y.; Rao, X.; Wang, H.H. Organization, Technology and Management Innovations through Acquisition in China’s Pork Value Chains: The Case of the Smithfield Acquisition by Shuanghui. Food Policy 2019, 83, 337–345. [Google Scholar] [CrossRef]
- Wang, Y.; Fan, R.; Shen, L.; Jin, M. Decisions and Coordination of Green E-Commerce Supply Chain Considering Green Manufacturer’s Fairness Concerns. Int. J. Prod. Res. 2020, 58, 7471–7489. [Google Scholar] [CrossRef]
- Toktaş-Palut, P. An Integrated Contract for Coordinating a Three-Stage Green Forward and Reverse Supply Chain under Fairness Concerns. J. Clean. Prod. 2021, 279, 123735. [Google Scholar] [CrossRef]
- Cooper, G.S.; Rich, K.M.; Shankar, B.; Rana, V.; Ratna, N.N.; Kadiyala, S.; Alam, M.J.; Nadagouda, S.B. Identifying ‘Win-Win-Win’ Futures from Inequitable Value Chain Trade-Offs: A System Dynamics Approach. Agric. Syst. 2021, 190, 103096. [Google Scholar] [CrossRef] [PubMed]
- Hoang, V.; Nguyen, A.; Hubbard, C.; Nguyen, K.-D. Exploring the Governance and Fairness in the Milk Value Chain: A Case Study in Vietnam. Agriculture 2021, 11, 884. [Google Scholar] [CrossRef]
- Gudbrandsdottir, I.Y.; Olafsdottir, G.; Oddsson, G.V.; Stefansson, H.; Bogason, S.G. Operationalization of Interorganizational Fairness in Food Systems: From a Social Construct to Quantitative Indicators. Agriculture 2021, 11, 36. [Google Scholar] [CrossRef]
- Kang, K.; Wang, M.; Luan, X. Decision-Making and Coordination with Government Subsidies and Fairness Concerns in the Poverty Alleviation Supply Chain. Comput. Ind. Eng. 2021, 152, 107058. [Google Scholar] [CrossRef]
- FAO. Managing Risks to Build Climate-Smart and Resilient Agrifood Value Chains: The Role of Climate Services; FAO: Rome, Italy, 2022. [Google Scholar]
- Puri, M. How Access to Energy Can Influence Food Losses. Available online: https://www.fao.org/fsnforum/resources/reports-and-briefs/how-access-energy-can-influence-food-losses (accessed on 18 August 2023).
- Neven, D. Developing Sustainable Food Value Chains: Guiding Principles; FAO: Rome, Italy, 2014. [Google Scholar]
- FAO; UNDP. Toolkit for Value Chain Analysis and Market Development Integrating Climate Resilience and Gender Responsiveness; FAO: Rome, Italy; UNDP: New York, NY, USA, 2020. [Google Scholar]
- Zhang, L.; Zhou, H.; Liu, Y.; Lu, R. Optimal Environmental Quality and Price with Consumer Environmental Awareness and Retailer’s Fairness Concerns in Supply Chain. J. Clean. Prod. 2019, 213, 1063–1079. [Google Scholar] [CrossRef]
- Liu, J.; Ke, H.; Tian, G. Impact of Emission Reduction Investments on Decisions and Profits in a Supply Chain with Two Competitive Manufacturers. Comput. Ind. Eng. 2020, 149, 106784. [Google Scholar] [CrossRef]
- Wang, Y.; Yu, Z.; Shen, L.; Dong, W. Impacts of Altruistic Preference and Reward-Penalty Mechanism on Decisions of E-Commerce Closed-Loop Supply Chain. J. Clean. Prod. 2021, 315, 128132. [Google Scholar] [CrossRef]
- Swami, S.; Shah, J. Channel Coordination in Green Supply Chain Management. J. Oper. Res. Soc. 2013, 64, 336–351. [Google Scholar] [CrossRef]
- Yang, D.; Xiao, T. Pricing and Green Level Decisions of a Green Supply Chain with Governmental Interventions under Fuzzy Uncertainties. J. Clean. Prod. 2017, 149, 1174–1187. [Google Scholar] [CrossRef]
- Wang, Y.; Yu, Z.; Jin, M.; Mao, J. Decisions and Coordination of Retailer-Led Low-Carbon Supply Chain under Altruistic Preference. Eur. J. Oper. Res. 2021, 293, 910–925. [Google Scholar] [CrossRef]
- Rabin, M. Incorporating Fairness into Game Theory and Economics. Am. Econ. Rev. 1993, 83, 1281–1302. [Google Scholar]
- Liu, J.; Ke, H.; Zhang, R.; Duan, K. Who Exhibits Fairness Concern Is Better for Supply Chain Stability and the Environment. J. Clean. Prod. 2023, 386, 135645. [Google Scholar] [CrossRef]
Disclaimer/Publisher’s Note: The statements, opinions and data contained in all publications are solely those of the individual author(s) and contributor(s) and not of MDPI and/or the editor(s). MDPI and/or the editor(s) disclaim responsibility for any injury to people or property resulting from any ideas, methods, instructions or products referred to in the content. |
© 2025 by the authors. Licensee MDPI, Basel, Switzerland. This article is an open access article distributed under the terms and conditions of the Creative Commons Attribution (CC BY) license (https://creativecommons.org/licenses/by/4.0/).





