Abstract
This paper examines the synergetic development between small- and medium-sized enterprises (SMEs) and platforms in China–ASEAN cross-border e-commerce, representing a dynamic system of interrelated market entities. By integrating synergy theory with evolutionary principles, this study develops an evolutionary game model to reflect collaborative development strategies and their evolutionary trajectories. The model reveals nine distinct equilibrium states, with particular attention to a bifurcation scenario demonstrating two stable configurations: mutual collaboration and mutual non-collaboration. Model validation is conducted through numerical simulations with parameters referenced from the DHgate platform case and relevant government policy documents. The findings illuminate key parameters that influence evolutionary trajectories, including initial conditions, regulatory interventions, and resource distribution mechanisms. Specifically, strong initial collaboration propensity, balanced governmental facilitation, and equitable benefit–cost sharing mechanisms are identified as critical factors promoting synergetic development. This research enriches cross-border e-commerce studies by pioneering the integration of synergy theory and the evolutionary game model, offering novel insights into the bilateral dynamics of SME–platform system development.
1. Introduction
The digital economy’s rapid growth has transformed international trade, with cross-border e-commerce emerging as one of the key drivers of this change [1]. This innovative business model has revolutionized traditional trade practices, creating a global digital marketplace that connects buyers and sellers seamlessly [2]. The online market encompassing the Association of Southeast Asian Nations (ASEAN) and China represents the fastest growing digital marketplace worldwide [3]. Southeast Asia’s e-commerce sector has experienced a remarkable surge in market value [4], growing from USD 43 billion in 2019 to USD 131 billion in 2022. Statista projects this upward trend to persist, with the market value expected to reach USD 211 billion by 2025. This rapid growth highlights the immense potential of the e-commerce industry in the region.
Collaboration in the e-commerce trade sector between China and ASEAN has been steadily increasing [5]. Several key policy initiatives have been implemented to foster this collaboration:
- The China-ASEAN Initiative on Establishing a Partnership for Digital Economy Cooperation (2020)
- The Action Plan on Implementing China-ASEAN Partnership on Digital Economy Cooperation (2022)
- The China-ASEAN Initiative on Enhancing Cooperation on E-Commerce (2023)
Moreover, seven ASEAN members established bilateral e-commerce cooperation agreements with China between 2017 and 2023. The proportion of ASEAN countries among the top 10 destinations for China’s cross-border e-commerce retail exports has also increased significantly since 2020. In the first half of 2022, China’s cross-border e-commerce exports to ASEAN skyrocketed by 98.5%, underscoring the strengthening ties between China and ASEAN in e-commerce trade.
Small- and medium-sized enterprises (SMEs) hold significant advantages in the China–ASEAN trade market. Their flat organizational structure enables quick decision making and innovation, allowing them to adapt swiftly to market changes and consumer demands [6]. By focusing on specific market niches and possessing deep industry knowledge, SMEs can provide highly customized and innovative products and services [7]. Cross-border e-commerce has greatly reduced entry barriers to international markets for SMEs, opening up new growth opportunities [8,9,10,11]. Evidence from global markets demonstrates SMEs’ strong willingness to participate in cross-border e-commerce despite resource constraints [12]. Successful platforms like eBay have played a crucial role in SME development, with 68% of surveyed sellers reporting that the platform helped them start their business, and 76% acknowledging its contribution to business growth [13]. Research indicates that utilizing established marketplace platforms such as Amazon or Alibaba proves more effective for cross-border sales compared to maintaining proprietary e-commerce websites [14]. This trend is reflected in the increasing number of SMEs leveraging digital platforms like eBay, Alibaba, and Etsy for international sales [15].
Despite the opportunities presented by cross-border e-commerce, SMEs often struggle to successfully navigate this business trend independently. They face challenges such as inadequate digital infrastructure and technical capacity [16], information security concerns, and high maintenance costs associated with digital technologies [17]. Efficient logistics and supply chain management, crucial for international trade success, often exceed SMEs’ capabilities. Cultural, linguistic, legal, and institutional differences can also hinder SMEs’ effective communication and marketing in diverse markets [18,19]. Furthermore, building international credibility and a brand image is a complex, long-term process. To overcome these obstacles, SMEs must seek external support, with cross-border e-commerce platforms playing a vital role in assisting SMEs to address these challenges.
Synergy is a concept that describes the collaborative interaction of two or more entities to produce a combined effect greater than the sum of their separate effects. In a business context, synergy refers to the ability of business units or companies to generate more value by working together than they would independently [20,21]. This is often achieved by sharing resources, activities, or knowledge to gain competitive advantages through lower costs or differentiation [22,23]. Firms create value by integrating internal and external resources to develop products or services for the market [24]. For SMEs engaging in cross-border e-commerce, their relationship with e-commerce platforms, as an external resource, significantly influences their value creation performance. Synergy with the platform is crucial, as it allows SMEs to access standardized basic services, such as technological infrastructure, market access, logistics support, and data analysis capabilities. By leveraging these platform-provided resources, SMEs can focus on developing their unique products and features, enhancing their competitive advantage in the market [25,26].
Therefore, exploring how to realize effective synergistic development between SMEs and cross-border e-commerce platforms is crucial. To thoroughly examine this critical issue, this paper builds a theoretical framework of synergistic development between China–ASEAN SMEs and cross-border e-commerce. Approaching from a dynamic perspective, this paper establishes an evolutionary game model combing synergy theory. This paper identifies the model’s equilibrium points and performs a stability analysis of these equilibria, revealing the equilibrium choices in strategic game behavior. Furthermore, simulations via MATLAB R2017a are conducted to explore the mechanisms of various influencing factors throughout the evolutionary process.
Distinct from previous studies that merely focused on static and one-way influence between SMEs and platforms, this paper integrates synergy theory with the evolutionary game model. This innovative approach sheds light on the intricate dynamics of cross-border e-commerce ecosystems, with emphasis on the mutual influence between SMEs and platforms within the same theoretical framework. This paper selects DHgate, a cross-border e-commerce platform that is deeply involved in China–ASEAN trade, as the practical reference for the initial values of simulation parameters; thus, a solid real-world foundation is provided. By elucidating the factors influencing SME–platform synergetic collaboration, this paper provides actionable insights for policymakers, aiming to foster a thriving cross-border e-commerce sector. Future research can build upon this framework to explore other aspects of cross-border e-commerce collaboration.
2. Literature Review
2.1. SMEs in Cross-Border E-Commerce
The digital transformation of international trade has fundamentally reshaped the global business landscape, democratizing access to international markets for SMEs—a domain previously dominated by large multinational corporations [15]. This shift is driven by the increasing accessibility and affordability of digital technologies, empowering SMEs to engage in digital exports [12]. Cross-border e-commerce has emerged as a particularly powerful catalyst for market innovation, enabling SMEs to reach new customers and expand their global footprint [27]. This digital empowerment underscores the growing imperative for SMEs to develop robust digital capabilities to remain competitive in the increasingly interconnected global marketplace.
Successfully navigating the complexities of cross-border e-commerce demands that SMEs master several critical operational dimensions. A crucial first step is identifying viable foreign market opportunities while simultaneously mitigating the challenges posed by information asymmetry [28]. This emphasis on market intelligence is reinforced by recent research demonstrating that cross-border e-commerce enhances SMEs’ understanding of evolving customer needs and preferences in different markets [29]. To effectively leverage this enhanced market understanding, SMEs must develop robust capabilities in customer data collection and analysis, enabling them to tailor their offerings and marketing strategies to specific target markets [30]. Consequently, a deep understanding of international market dynamics and nuanced customer behavior is paramount for SMEs seeking success in cross-border e-commerce.
While domestic and cross-border e-commerce share certain foundational marketing and operational principles, the latter presents distinct challenges that necessitate strategic adaptation for international markets [31]. Specifically, SMEs engaged in cross-border transactions face more intricate processes related to online payments, dispute resolution, and international contract negotiation [32]. These complexities highlight the critical need for a heightened focus on customer-centric sales and after-sales service strategies to build trust and ensure customer satisfaction in international markets. Supporting these customer-facing operations, the effective integration of information systems across manufacturing, marketing, and supply chain functions becomes essential for optimizing business performance in the cross-border context [33]. Therefore, robust information management systems and a strong customer service orientation are critical success factors for SMEs operating in the global e-commerce arena.
External factors exert a significant influence on the development and success of SMEs’ cross-border e-commerce operations. These encompass a range of considerations, including network service costs, the efficiency of electronic customs clearance procedures, and the complexities of navigating diverse legal and regulatory frameworks [34]. Complementing these operational considerations, building strong international brand recognition and awareness is crucial for expanding market share in overseas e-commerce markets [8]. This integrated perspective emphasizes that success in cross-border e-commerce requires SMEs to adopt a holistic approach, addressing both internal operational capabilities and external market dynamics, including the development of a strong international brand presence.
2.2. Platforms in Cross-Border E-Commerce
The development and success of cross-border e-commerce platforms depend on a complex interplay of factors, from establishing trust among participants to navigating intricate logistical and regulatory landscapes [35]. Trust is paramount for online transactions, especially in the cross-border context, where geographical and cultural distances create added uncertainty. Beyond trust, platform competitiveness relies on input costs, customer satisfaction, and service quality. Strategic decisions regarding overseas warehouses, informed by trade infrastructure assessments, are crucial for efficient delivery [36]. Establishing market, relational, and social legitimacy is also essential for a sustainable international presence [37]. This multifaceted perspective underscores the complexities of platform development in the cross-border arena.
Despite significant growth, cross-border e-commerce faces operational and regulatory challenges. Cumbersome customs procedures, complex regulatory environments, tax refund complexities, payment risks, talent shortages, and inconsistent management practices remain significant obstacles [38,39]. These challenges highlight the need for systematic improvements in both operational and regulatory frameworks to facilitate smoother cross-border trade. This need for improvement has led to the exploration and adoption of advanced technologies like Artificial Intelligence (AI).
AI is increasingly transforming cross-border e-commerce by enhancing platform capabilities and operational efficiency [40]. AI-powered systems optimize key operations, from product recommendations and personalized marketing to customer service and fraud detection [41]. Effective AI implementation requires integrating technological resources (e.g., algorithms, data infrastructure) with human expertise (e.g., data scientists, AI engineers) to maximize platform performance [42].
Alibaba’s platform demonstrates effective AI integration in e-commerce. By combining data, algorithms, and infrastructure, they create powerful AI capabilities [43]. Techniques like sentiment analysis and feature extraction, using machine learning and natural language processing, enable personalized services based on customer feedback [44]. This data-driven approach allows for continuous marketing strategy refinement based on real-time consumer sentiment.
2.3. Collaboration Between SMEs and Platforms
Cross-border e-commerce platforms play a pivotal role in facilitating SMEs’ international expansion by addressing key challenges and providing crucial support. This support can be categorized into several key areas.
Overcoming Operational and Logistical Barriers: One of the most significant hurdles for SMEs entering international markets is the complexity and cost of logistics. Platform partnerships directly address this by allowing SMEs to bypass substantial capital investments in infrastructure [45]. This collaboration yields economic benefits through reduced transaction costs [46,47] and economies of scope [26]. Platforms also facilitate business partnership expansion and strengthen network connections through both formal and informal interactions [47], creating a more integrated and efficient supply chain.
Mitigating Information Asymmetry and Enhancing Market Access: Information asymmetry poses a significant challenge for SMEs operating in unfamiliar international markets. Platforms mitigate this by providing access to aggregated consumer data and market insights, a resource often unavailable to independent overseas suppliers [48]. This enhanced market understanding enables SMEs to build consumer identification [49] and trust [50], capitalize on niche market opportunities [51], and accelerate innovation [52], especially when operating across multiple platforms [29].
Navigating Regulatory and Legal Complexities: Navigating the diverse regulatory and legal frameworks of target markets is another major obstacle for SMEs, particularly in business-to-business (B2B) export trade [53,54]. Platforms can play a crucial role in simplifying this process. For instance, to address data privacy regulations, platforms can facilitate the adoption of strategic approaches such as automated consent management platforms and compliance monitoring software, significantly reducing manual effort and associated costs for SMEs [15].
Leveraging Advanced Technologies Like AI: AI offers transformative potential for SMEs in cross-border e-commerce, but its implementation can be challenging. Platforms democratize access to these powerful tools, including chatbots, personalization engines, and predictive analytics [55]. Chatbots enhance customer interaction by simulating personalized exchanges, fostering trust and satisfaction [56,57]. Advanced AI image generation also empowers businesses, such as fashion brands, to offer innovative digital services like virtual try-ons [58]. While AI integration presents challenges related to technology, organization, and resources [59,60], platforms can help SMEs overcome these barriers.
Providing Complementary Services and Building a Robust Ecosystem: Beyond these specific areas, platforms provide a range of complementary services, including online advertising and financial solutions [15]. This comprehensive support system, encompassing logistics, market access, regulatory compliance, AI capabilities, and complementary services, creates a robust ecosystem that enhances SMEs’ competitiveness in international markets while mitigating associated risks.
2.4. Summary
Previous studies highlight the importance of collaboration between SMEs and cross-border e-commerce platforms, emphasizing the benefits, influencing factors, and key aspects for successful cross-border e-commerce development. However, the majority of the existing literature adopts a one-sided perspective, primarily focusing on SMEs and emphasizing the role of platforms as service providers in a unidirectional relationship.
While some studies acknowledge the potential for mutual benefit, such as Wu et al. [52] highlighting how synergy strengthens SMEs’ market insights and innovation, and Hasiloglu and Kaya [61] suggesting profit increases for both parties when platforms leverage economies of scale, the dynamic, two-way interaction between SMEs and platforms remains underexplored. This limited perspective fails to capture the co-evolutionary nature of their relationship and the specific conditions that foster synergy.
Moreover, existing research lacks a formal examination of how collaborative strategies evolve over time and how external factors, such as regulatory interventions and resource distribution mechanisms, influence these dynamics.
3. Research Framework
3.1. Research Design Overview
This research aims to address these critical gaps by developing a dynamic model of SME–platform interaction in cross-border e-commerce. By integrating synergy theory with the evolutionary game model, this study will explore the co-evolutionary trajectories of SME–platform collaboration, examining the influence of key parameters, such as initial collaboration propensity, governmental facilitation, and benefit–cost sharing mechanisms. This framework will provide novel insights into the bilateral dynamics of SME–platform system development, contributing to a more comprehensive understanding of this crucial relationship. The research design flowchart is presented in Figure 1.
Figure 1.
Research design framework for SME–platform synergetic evolution analysis.
3.2. Theoretical Foundation of SME–Platform Synergy
There is a significant synergistic effect between virtual e-commerce networks and real production networks [10]. The synergistic effect of platforms lies in the ability of complementors to engage in efficient cooperation and competition with diverse entities, leading to the creation of value. This capability manifests in how well complementors leverage complementary resources and capabilities within the platform ecosystem [52,62].
The framework in Figure 2 presents a comprehensive system of SME–Platform collaboration in cross-border e-commerce, structured across multiple interconnected layers. At its core, the framework illustrates the synergistic relationships between SMEs and platforms, supported by government facilitation. This collaborative foundation is enhanced through digital technology empowerment and generates significant value co-creation outcomes.
Figure 2.
Synergy framework between SMEs and cross-border e-commerce platforms.
The core of the framework illustrates the collaboration between SMEs and platforms, which generates three primary synergies: Knowledge & Innovation Synergy, Efficiency Synergy, and Growth Synergy. The Knowledge & Innovation Synergy involves the exchange of information, expertise, and insights, fostering a culture of continuous learning and innovation [52,63,64]. The Efficiency Synergy encompasses improvements in operational processes and cost reduction, reflecting the optimization of resources and streamlining of operations [65,66,67]. The Growth Synergy signifies the expansion of business operations and overall company development, representing the tangible outcomes of successful collaboration in terms of market presence and financial performance [22,68,69]. These synergies are interconnected and mutually reinforcing, creating a virtuous cycle of improvement and growth.
The parts neighboring the core of the framework delineate how these synergies benefit specific operational areas of both SMEs and platforms.
In terms of SMEs, Knowledge & Innovation Synergy enhances R&D, production, marketing, and transaction processes. This connection suggests that collaboration leads to improved product development, manufacturing techniques, marketing strategies, and sales processes. Efficiency Synergy optimizes production, marketing, settlement, logistics, and financing operations. This indicates that collaboration results in streamlined processes across the value chain, from production to financial management. Growth Synergy boosts marketing, transaction, and financing activities. This implies that collaboration facilitates market expansion, increased sales, and improved access to capital.
In terms of the platforms, Knowledge & Innovation Synergy improves customer retention strategies, business pattern development, and service quality. This suggests that collaboration enhances platforms’ ability to understand and meet customer needs, innovate business models, and improve overall service delivery. Efficiency Synergy enhances customer retention, service quality, and business scale. This indicates that collaboration leads to more effective customer management, improved service delivery, and the ability to scale operations efficiently. Growth Synergy facilitates business pattern refinement, business scale expansion, and service quality improvements. This implies that collaboration enables platforms to adapt their business models, grow their user base, and continuously enhance their service offerings.
The Digital Technology Empowerment layer represents the fundamental technological infrastructure that enables and enhances SME–platform collaboration. This encompasses four essential categories of digital technologies: Cloud Computing & Analytics provides the foundation for data processing and business intelligence; Mobile Commerce Technology enables seamless multi-device transactions and customer engagement; AI & Automation Systems powers intelligent operations and process optimization; and Integration & Security Systems ensures secure and efficient connectivity between platforms and SMEs. These technologies serve as crucial enablers that transform synergistic potential into practical collaborative capabilities.
The Value Co-Creation Outcomes layer demonstrates how the synergistic collaboration, empowered by digital technologies, generates comprehensive value across multiple dimensions. Economic Value manifests through revenue growth, cost reduction, and market expansion, representing the direct financial benefits of collaboration. Operational Value emerges through process optimization, resource utilization, and quality improvement, reflecting enhanced operational capabilities. Strategic Value develops through competitive advantage, market positioning, and innovation capability, indicating strengthened market presence. Social Value materializes in job creation, digital inclusion, and sustainable development, highlighting the broader societal impact of SME–platform collaboration.
In the context of China–ASEAN e-commerce, governmental facilitation plays a significant role in the collaboration between SMEs and cross-border e-commerce platforms. Policy documents like the “China-ASEAN Initiative on Establishing a Partnership for Digital Economy Cooperation” and the “China-ASEAN Initiative on Enhancing Cooperation on E-Commerce” emphasize the importance of SME participation in cross-border e-commerce trade. The China and ASEAN governments’ role as facilitators is illustrated through various support mechanisms in Figure 2. These include financial support, such as subsidies; infrastructure development, like industrial parks and transportation cooperation; business environment improvement through convenient clearance processes; knowledge dissemination via expositions, forums, and vocational training; and digital infrastructure enhancement with cyber security measures. These governmental initiatives create a conducive environment for SMEs and platforms to collaborate effectively by addressing various aspects of business operations and development.
In summary, this framework illustrates the various synergies and mutual benefits that arise from the collaboration between SMEs and cross-border e-commerce platforms, facilitated by governmental supports. The framework emphasizes the interconnected nature of these elements, where technological capabilities enhance synergistic relationships, leading to comprehensive value creation that benefits both individual participants and the broader economic ecosystem. By leveraging these synergies, both SMEs and platforms can drive growth, innovation, and operational improvements in the dynamic world of cross-border trade.
3.3. Model Selection Rationale
The selection of evolutionary game theory as the primary analytical model for this research on synergy between SMEs and platforms in cross-border e-commerce is supported by several key aspects:
Alignment with the core concept of Evolutionary Stable Strategy: The synergy framework involves two main populations: SMEs and cross-border e-commerce platforms. These populations engage in repeated interactions that involve both cooperation and conflicts of interest. The core concept of evolutionary stable strategy in evolutionary game theory, which refers to a strategy that cannot be invaded by other strategies under natural selection once adopted by a population [70], aligns well with the dynamics between these two populations. This research aims to identify the strategies that lead to stable and mutually beneficial collaboration between SMEs and platforms.
Bounded rationality of players: In the context of China–ASEAN SME–platform collaboration, both parties are boundedly rational players. They lack complete information, knowledge, technological foundations, and decision-making capabilities to immediately find the optimal equilibrium strategy [28,36]. Evolutionary game theory accounts for this bounded rationality by modeling the process of learning and improvement through repeated games until strategies evolve to a stable state. This theoretical framework is particularly suitable for analyzing the dynamic evolution of strategies by SMEs and platforms in the face of uncertainty and limited rationality.
Dynamic evolution of strategies: The process of SMEs and platforms finding the optimal strategies for collaboration is not a one-shot game but rather a dynamic evolutionary process [71]. Both parties adjust their behaviors and strategies through repeated interactions, learning from past experiences and adapting to changes in the environment. Evolutionary game theory captures this dynamic process by modeling the evolution of strategies over time, considering the feedback and adaptations made by players in response to each other’s actions.
Fitness with the notion of synergy: The literature on the collaboration between SMEs and platforms highlights the importance of repeated interactions, learning, and adaptation in fostering successful collaboration and generating synergistic outcomes [52,64,72]. Evolutionary game theory provides a formal framework to model and analyze these dynamics, allowing for a deeper understanding of the conditions and strategies that lead to stable and mutually beneficial collaboration.
Applicability to complex systems: Cross-border e-commerce involves a complex system with SMEs and platforms as stakeholders, plus government policy as the external environment. Evolutionary game theory has been successfully applied to analyze complex systems in various domains, such as economics, biology, and social sciences. Its ability to model the evolution of strategies in multi-agent systems makes it a suitable tool for studying the dynamics in the China–ASEAN cross-border e-commerce collaboration.
In summary, the selection of the evolutionary game model as the primary analytical method for this research is justified by its alignment with the core concepts of evolutionary stable strategy, its ability to model the bounded rationality of players and the dynamic evolution of strategies, its fitness with the literature on synergy and collaboration, and its applicability to complex ecosystems. By employing evolutionary game theory, this research aims to provide novel insights into the conditions and strategies that foster stable and synergistic collaboration between SMEs and platforms in the context of China–ASEAN cross-border e-commerce.
4. Evolutionary Game Model
Based on the research framework presented in Figure 1, we now proceed to conduct a systematic game–theoretical analysis of the SME–platform system. This analysis consists of two major components: game model construction and comprehensive model analysis.
In the model construction phase, following the relationship between game players that was previously discussed in the theoretical foundation section, we formulate key assumptions and construct the payoff matrix to capture the strategic interactions between SMEs and platforms.
Subsequently, in the model analysis phase, we establish replication dynamic equations, solve the equation system, and investigate both the stability of equilibrium points and evolutionary stable strategies. This analytical approach allows us to rigorously examine the dynamic evolution of collaborative strategies between SMEs and platforms in cross-border e-commerce, providing insights into their synergetic development patterns.
4.1. Game Model Construction
Based on the abovementioned rationale of model selection, the following model assumptions are proposed.
- Participant.There are two types of game participants in the game system, namely, SMEs and cross-border e-commerce platforms (a and b denote SMEs and cross-border e-commerce platforms, respectively). All game participants are risk-neutral and of bounded rationality.
- Strategic choices.Each participant has two strategic choices, namely, “collaboration” and “non-collaboration”. Describe x as the proportion of SMEs choosing the “collaboration” strategy, while 1 − x is the proportion of SMEs choosing the “non-collaboration” strategy. Also, y denotes the proportion of cross-border e-commerce platforms choosing the “collaboration” strategy, while 1 − y denotes the proportion of cross-border e-commerce platforms choosing the “non-collaboration” strategy. Therefore, 0 ≤ x ≤ 1 and 0 ≤ y ≤ 1.
- External environment.The government is an external entity, which does not directly engage in cross-border e-commerce trade but supports SMEs and platforms through facilitation policies. If SMEs opt for the “collaboration” strategy, they receive governmental rewards, valued at H1. If cross-border e-commerce platforms choose the “collaboration” strategy, the government also offers them rewards, valued at H2.
Following the above assumptions, the payoff matrix for the game model is established, as shown in Table 1.
Table 1.
Payoff matrix of the game system.
Parameters in the matrix are defined as follows. Without collaboration, both SMEs and platforms can only achieve standard revenue, denoted as R1 and R2, respectively. Upon forming synergy by mutual collaboration, the parties generate a total excess return R in addition to their standard revenue, which is shared between them according to the proportions α and 1 − α. For SMEs, the benefits of collaboration are reflected in fulfilling their cross-border e-commerce service requirements at lower costs, while also aligning with consumer demands, quickly adapting to demand fluctuations, enhancing cost-efficiency, and streamlining operations. For cross-border e-commerce platforms, collaboration offers opportunities to enhance services’ qualities to SMEs with better understanding of customers and diversifying services offerings. The synergy also allows platforms to establish data-driven advantages, secure market share, and foster long-term business partnerships with SMEs.
Collaboration between the two parties inevitably entails additional development costs beyond their original expenses. The total excess cost, denoted as C, is shared between them in the proportions of β and 1 − β. For SMEs, these costs primarily comprise usage fees for the cross-border e-commerce platform services, logistics and warehousing expenses, and service charges for customs declaration and clearance. For cross-border e-commerce platforms, the costs are primarily associated with business development and marketing promotion; establishment of intelligent logistics and warehousing facilities; and implementation of cross-border e-commerce customs clearance systems. When both parties agree to share necessary information, technology, and services, if one party fails to comply with the agreed content or directly withdraws from the collaboration, the breaching party will be held accountable, with the penalty amount represented by θ.
4.2. Game Model Analysis
4.2.1. Replicator Dynamics Analysis
The replicator dynamics method is used to describe and simulate the way strategies spread and evolve within a population. By analyzing the relative performance of different strategies in the population, it simulates the process of natural selection to explain why certain strategies are retained or eliminated over time, thus determining which strategies will remain stable in the long term [73]. The replicator dynamic method effectively depicts evolutionarily stable strategies (ESS), and this paper chooses this method to study the strategic evolution of the China–ASEAN cross-border e-commerce game system.
Assume that the expected value for China–ASEAN SMEs when they choose the “collaboration” strategy is Ex, as in Equation (1):
and the expected value is E1−x when SMEs choose the “non-collaboration” strategy, as in Equation (2):
The average expected value for SMEs is set to ES, as in Equation (3):
The expected value for cross-border e-commerce platforms when they choose the “collaboration” strategy is Ey, as in Equation (4):
and the expected value is E1−y when platforms choose the “non-collaboration” strategy, as in Equation (5):
The average expected value for platforms is set to EL, as in Equation (6):
According to the replicator dynamic equation principles [74], using the expectation functions of Equations (1)–(6), the replicator dynamic equation for SME a choosing the “collaboration” strategy is calculated as in Equation (7):
Likewise, Ey and E1−y, respectively, denote the expected value for cross-border e-commerce platforms choosing the “collaboration” strategy and “non-collaboration” strategy, and EC denotes the average expected value. The replicator dynamic equation for the platforms b choosing the “collaboration” strategy is calculated as in Equation (8):
Hence, dynamic equations of the synergetic development system replication are obtained according to Equations (7)–(8), namely:
Let F(x) = G(y) = 0, four pure strategy solutions from Equation (9) are obtained, namely, E1(0,0), E2(1,0), E3(0,1), and E4(1,1). Furthermore, there exists E5(Sx*, Sy*) as a hybrid strategy that satisfies Equation (10):
It can be calculated that:
According to the definition of equilibrium point, E5(Sx*, Sy*) becomes the equilibrium point if and only if and .
4.2.2. Local Stability Analysis of Equilibrium Points
According to the method proposed by Friedman [75], the local stability of the equilibrium point can be determined by analyzing the Jacobian matrix J of the game system. If the equilibrium point satisfies both the determinant det(J) < 0 and the trace tr(J) < 0, then the equilibrium point is the ESS of the game system. If the determinant det(J) > 0 and trace det(J) > 0 are satisfied, the equilibrium point is an unstable point of the system. For the rest of the situations, the equilibrium point is a saddle point.
The Jacobian matrix J of the game system can be obtained from Equation (9), as in Equation (13):
F11, F12, F21, and F22 can be calculated as follows:
With the purpose of research convenience, this paper defines λ1, λ2, λ3, and λ4 as follows:
As αR > 0 and (1 − α)R > 0, then λ1 > 0 when λ3 > 0, and λ2 > 0 when λ4 > 0.
Based on the positive and negative possibilities of λ1, λ2, λ3, and λ4, the stability results of local equilibrium points under nine scenarios are obtained, as shown in Table 2.
Table 2.
Local stability of equilibrium point.
The ESS of the game system in scenario A, B, and C is (non-collaboration, non-collaboration); in scenario E, the ESS of the game system is (collaboration, non-collaboration); in scenario G, the ESS of the game system is (non-collaboration, collaboration); in scenario D, the local equilibrium point E5 (Sx*, Sy*) is a saddle point, and the game system evolves towards two evolutionarily stable strategies, i.e., (non-collaboration, non-collaboration) and (collaboration, collaboration). The direction of evolution depends on the initial collaborative strategy ratio of the game participants; in scenarios F, H, and I, the ESS of the game system is (collaboration, collaboration).
4.2.3. Evolution Results Analysis
The evolutionary phases of the game systems under nine scenarios are illustrated in Figure 3.
Figure 3.
Dynamic phase diagram of the evolutionary game. (a) Scenario A, (b) Scenario B, (c) Scenario C, (d) Scenario D, (e) Scenario E, (f) Scenario F, (g) Scenario G, (h) Scenario H, (i) Scenario I.
In scenarios where λ3 < 0 and λ4 < 0, and λ1 and λ3 are not simultaneously greater than 0, (0,0) is the unique ESS of the game system, as depicted in scenarios (a), (b), and (c) in Figure 3. In these three scenarios, SMEs are inclined to choose “non-collaboration” strategies, and cross-border e-commerce platforms also tend to choose “non-collaboration” strategies. So, (non-collaboration, non-collaboration) is the evolutionarily stable direction of the game system, leading the system to converge to the Pareto worst state.
When λ1 > 0, λ2 < 0, λ3 > 0, and λ4 < 0, (1,0) is the only ESS of the game system, as shown in scenario (e) in Figure 3. In this scenario, SMEs tend to choose “collaboration” strategies, while cross-border e-commerce platforms tend to choose “non-collaboration” strategies. Thus, (collaboration, non-collaboration) is the evolutionarily stable direction of the game system.
If λ1 < 0, λ2 > 0, λ3 < 0, and λ4 > 0, (0,1) is the only ESS of the game system, as shown in scenario (g) in Figure 3. At this point, SMEs tend to choose “non-collaboration” strategies, while cross-border e-commerce platforms tend to choose “collaboration” strategies, making (non-collaboration, collaboration) the evolutionarily stable direction of the game system.
When λ1 > 0, λ2 > 0, λ3 < 0, and λ4 < 0, both (0,0) and (1,1) are ESS of the game system, as shown in scenario (d) in Figure 3. In this scenario, the game system will evolve towards either (non-collaboration, non-collaboration) or (collaboration, collaboration), depending on the initial collaborative strategy ratio of the game participants.
When λ1 > 0 and λ2 > 0, and provided that λ3 and λ4 are not both negative, (1,1) represents the sole ESS of the game system, corresponding to the scenarios F, H, and I depicted in Figure 3. Under these three scenarios, SMEs are inclined to opt for a “collaboration” strategy, as are cross-border e-commerce platforms. The (collaboration, collaboration) stance represents the evolutionarily stable trajectory of the game system, leading to convergence towards a Pareto optimal state, which benefits the sustainable growth of the cross-border e-commerce market.
5. Numerical Simulations
To validate our theoretical model and gain practical insights, we conduct comprehensive numerical simulations of the SME–platform collaboration system. These simulations utilize real-world data from DHgate, a leading Chinese cross-border e-commerce B2B platform, complemented by parameters derived from relevant government policy documents. This approach ensures our analysis reflects actual market conditions while maintaining theoretical rigor.
The simulation process employs MATLAB R2017a software to examine the evolutionary trajectories of collaboration strategies. By initializing the simulation parameters based on DHgate’s operational data and substituting these values into the key parameters λ1, λ2, λ3, and λ4, we can observe how the system evolves under various conditions. This analysis serves two primary purposes: first, to verify the theoretical predictions of our evolutionary game model, and second, to understand how different factors influence the emergence of stable collaboration strategies.
Our investigation focuses particularly on several critical factors that shape the ESS between SMEs and platforms. These include the extent of government facilitation, the initial propensity for collaboration, the distribution mechanisms for both excess returns and costs, and the impact of regulatory penalties. Through this detailed numerical analysis, we aim to provide actionable insights for both policymakers and market participants in fostering sustainable synergetic relationships within the cross-border e-commerce ecosystem.
5.1. Parameter Setting
This paper draws its real-world reference for the initial parameter values from DHgate. Established in 2004, DHgate holds the distinction of being China’s first B2B cross-border e-commerce platform and has since become one of the world’s leading B2B platforms for SMEs engaged in cross-border foreign trade. The platform’s significance is evident from its frequent citation as a classic research subject in numerous studies [76,77,78,79,80].
Beyond its fundamental role in facilitating commercial transactions, DHgate maintains a profound connection with the development of China–ASEAN cross-border e-commerce (see Table 3). The platform has consistently demonstrated its commitment to this sector through numerous projects and investments, with a notable presence in cities within the Guangxi Zhuang Autonomous Region of China, located along the China–ASEAN border. DHgate’s active participation in the China–ASEAN EXPO over the past decade, as well as its featured role as an invited speaker at numerous pertinent forums, further underscores its dedication to fostering cross-border e-commerce collaboration between China and ASEAN countries.
Table 3.
DHgate’s participation in China–ASEAN e-commerce cooperation and development.
Moreover, DHgate excels in its contributions to research and vocational training partnerships concerning China–ASEAN cross-border e-commerce trade. By actively engaging in knowledge-sharing and capacity-building initiatives, the platform plays a crucial role in enhancing the skills and competencies of SMEs and professionals involved in this dynamic sector.
Given its prominent position, extensive involvement, and significant contributions to the China–ASEAN cross-border e-commerce landscape, DHgate serves as an ideal real-world reference for initializing the parameter values in this study. By grounding the analysis in the actual experiences and practices of a leading platform, this paper aims to ensure the relevance and applicability of its findings to the real-world dynamics of cross-border e-commerce collaboration between SMEs and platforms in the China–ASEAN context.
To illustrate the application of the model, this paper analyzes a typical mobile accessory business on DHgate. According to Table 4, the commission for mobile accessories adopts a “tiered commission” collection model, with a commission rate not less than 0.5%. Considering the platform’s contribution to the excess profits generated during the collaboration process, α is assumed to be less than 0.995, with α set at 0.5. In this example, the annual sale of a typical SME in the mobile phone accessories trade sector is approximately CNY 270,000. For simplicity, the parameter R is set at 30. For businesses to register on DHgate, a security deposit of CNY 10 thousand is needed (barring special circumstances); hence, θ is set at 1. Regarding costs, DHgate charges an annual platform usage fee of CNY 3000, based on the 2024 registration fee standards. New store traffic support fees amount to approximately CNY 3000, while advertising fees range from CNY 10,000 to CNY 90,000. Training fees and other expenses total around CNY 4000. Therefore, the annual cost investment for ordinary SMEs falls between CNY 20,000 and CNY 100,000. There is no explicit data on the costs DHgate spends on each SME. This paper estimates that the costs DHgate spends on each SME is CNY 10,000 to CNY 50,000, with reference to other prestigious e-commerce platforms, such as Alibaba and Suning. Therefore, with 3 < C < 15, it is assumed that C equals 8. With the range of β being 0.09 < β < 0.91, β is assumed to be 0.5. In light of the cross-border e-commerce support policies issued by certain local authorities (for example, the government of Zhengzhou city in Henan Province, China), it is assumed H1 equals 0.5 and H2 equals 0.3. Under the aforementioned conditions, the settings for scenario D with λ1 > 0, λ2 < 0, λ3 > 0, and λ4 < 0 are satisfied.
Table 4.
Commission rate of accessories sales on DHgate platform.
5.2. Simulation on Evolutionarily Stable Strategies
This section conducts a multi-point simulation to verify the theoretical evolutionary trajectory based on the set initial values. According to the theoretical analysis, the evolutionary trajectory should correspond to the scenario depicted in scenario D. The multi-point simulation method offers several advantages. It allows for the exploration of a broader solution space from multiple initial conditions, enabling the identification of various possible evolutionary outcomes. Furthermore, this approach enhances the robustness analysis of the system and facilitates a comprehensive understanding of the diverse steady states and evolutionary paths of complex systems.
Under 100 iterations in the simulation, the results are presented in Figure 4, where the x-axis represents the collaboration ratio of China–ASEAN SMEs, and the y-axis represents the collaboration ratio of cross-border e-commerce platforms. It is clearly shown that the evolutionary trajectory and direction obtained from the multi-point method are largely consistent with scenario D. The simulation confirms the existence of ESS including (0,0) and (1,1), thereby verifying the theoretical analysis and demonstrating the accuracy and applicability of the model derivation. Interestingly, the simulation results also suggest that the evolutionary trajectory of the game system may be related to the initial collaboration strategy ratio of the participants. This finding warrants further investigation, which will be illustrated in the next subsection.
Figure 4.
Simulation results of ESS with λ1 > 0, λ2 < 0, λ3 > 0, and λ4 < 0. The multiple-colored curves represent different evolutionary trajectories of the system under various initial conditions.
By employing multi-point simulation using MATLAB R2017a, this paper validates the theoretical evolutionary trajectory, confirms the existence of ESS, and uncovers the potential influence of initial collaboration strategy ratios on the evolutionary dynamics. These insights provide a solid foundation for further analysis and understanding of the complex interactions between SMEs and cross-border e-commerce platforms.
5.3. Impacts of Initial Collaborative Strategy Ratio
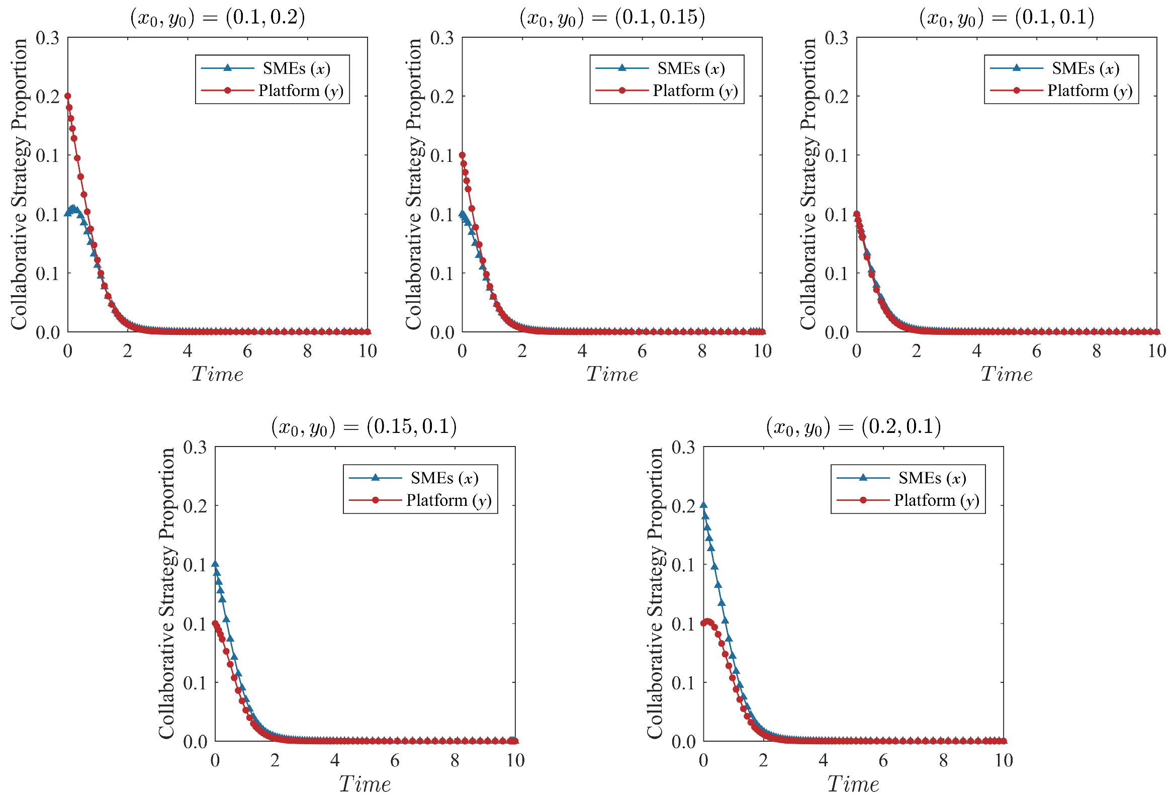
To explore the impacts of the initial collaborative strategy ratio, which is defined as (x0,y0), this paper selects various conditions of the initial collaborative strategy ratio. Figure 5 presents the simulation results under the (x0,y0) set of (0.1,0.9), (0.3,0.7), (0.5,0.5), (0.7,0.3), and (0.9,0.1). Figure 6 presents the simulation results under the (x0,y0) set of (0.1,0.2), (0.1,0.15), (0.1,0.1), (0.15,0.1), and (0.2,0.1). The x-axis represents time, while the y-axis represents the initial collaborative strategy ratio. As long as one of x0 or y0 is at least 0.5, the system will eventually converge to (1,1), and the convergence speed of the system increases as x0 and y0 increase. In practical terms, this means when the initial collaborative strategy ratio of either SMEs or the platform exceeds 50%, it will lead to collaboration between the two parties, and the higher the initial collaborative strategy ratio, the faster the process of achieving collaboration. When both x and y are not greater than 0.2, the system will ultimately converge to (0,0), and the convergence speed of the system increases as x0 and y0 decrease. This outcome suggests that with a lower initial collaborative strategy ratio between the parties, achieving collaboration becomes challenging, and the lower the initial collaborative strategy ratio, the quicker the collaboration fails.
Figure 5.
The impacts of the initial collaborative strategy ratio.
Figure 6.
The impacts of an initial collaborative strategy ratio with a lower value.
In summary, under the aforementioned conditions of initial values, the game system exhibits two evolutionarily stable strategies, which are (0,0) and (1,1). The accuracy of the model derivation and the analysis of scenario D is therefore validated. The impacts of the initial collaborative strategy ratio on the evolutionary process is dynamic. With the gradual increase in (x0,y0), the likelihood of the system converging towards collaboration initially diminishes, followed by an increase. Consequently, the party more inclined towards cooperation is likely to employ various strategies to foster mutual collaboration. In practice, cross-border e-commerce platforms may provide incentives like favorable policies to encourage SMEs towards greater participation in cooperation, thereby facilitating the accomplishment of mutual collaboration. Additionally, the expectation and willingness of SMEs to engage in collaborative prospects within the cross-border e-commerce sector are crucial for achieving scale effects throughout the industry.
5.4. Impacts of Governmental Facilitation
Figure 7 presents the simulation results with a different H1 and different (x0,y0). When the initial collaborative strategy ratio of game participants is (0.5,0.5), regardless of the value of H1, the game system converges to the Pareto optimal state point (1,1). As the value of H1 increases, it will prompt SMEs to converge to the “non-collaboration” strategy more quickly, but the overall speed of the game converging to (1,1) will slow down. With the initial collaborative strategy ratio set to a lower level, such as (0.2,0.2), the game system will converge to the Pareto inferior state (0,0) if H1 is at a quite low level. When H1 exceeds 2, the game system starts to converge to the (1,1) point. However, the convergence speed to (1,1) diminishes with an increasing value of H1. In the real-world context, when the willingness for collaboration between platforms and enterprises in the cross-border e-commerce market is relatively low, increasing rewards and support like governmental facilitation will motivate SMEs to seek cooperation, thereby driving the platform to cooperate, as well. Consequently, the likelihood of both parties achieving collaboration becomes higher, whereas when the initial collaborative strategy ratio is high enough, the effect of governmental facilitation is less pronounced since the game system will converge to (1,1) anyway.
Figure 7.
Impacts of governmental facilitation H1. (a) (x0,y0) = (0.5,0.5), (b) (x0,y0) = (0.2,0.2).
Likewise, Figure 8 shows the simulation results with a different H2 and different (x0,y0). The interpretation of Figure 7 is similar to that of Figure 6. With a relatively low initial collaborative strategy ratio, an increase in H2 will foster the willingness for the platform to cooperate, which in turn stimulates SMEs to, as well, thus increasing the probability of mutual collaboration. If the initial collaborative strategy ratio exceeds a certain level, the Pareto state will ultimately be reached under any condition of H2.
Figure 8.
Impacts of governmental facilitation H2. (a) (x0,y0) = (0.5,0.5), (b) (x0,y0) = (0.2,0.2).
5.5. Impacts of Excess Return and Its Sharing Ratio
The simulation results with different sets of excess return and its sharing ratio are presented in Figure 9. When R = 15, as α gradually increases, the game system initially converges to the point (0,0), then the evolution direction reverses, converging to the point (1,1), and ultimately converges back to the point (0,0). Additionally, at α = 0.5, the curve becomes the steepest, indicating that the game system’s convergence speed is at its maximum. When there is a significant gap in the excess return between the two parties, the likelihood of them reaching collaboration becomes very low. The smaller the disparity in the excess return, the greater the chances of successfully achieving collaboration. Interestingly, the results can be very different if R is high enough. When R = 30, the game system converges at the point (1,1), regardless of the excess return sharing ratio. Even when the gap in the excess return between participants is huge, both parties tend to collaborate since they are receiving considerable profits, whereas when α is not around 0.5, the process of the game system converging to the Pareto state would obviously take a much longer time. In summary, the overall impact varies based upon the specific combination of excess return and its sharing ratio.
Figure 9.
Impacts of excess return and its sharing ratio. (a) R = 15, (b) R = 30.
5.6. Impacts of Cost and Its Sharing Ratio
The simulation results with different sets of cost and its sharing ratio are presented in Figure 10. When C = 8, the game system converges to (1,1) under all five settings of β. The convergence speed is the fastest when β is exactly 0.5. When C = 20, the game system converges to (0,0), regardless of the value of β. However, the processes leading to convergence exhibit distinct trends from one another. If β = 0.5, the game system evolves to the Pareto worst state straightly. If β = 0.1, the game system initially evolves to (1,0), then it converges to (0,0) at the end. If β = 0.9, the game system tends to converge to (0,1) before it eventually reaches (0,0). In other words, both parties intend to collaborate when the total cost is so low that the cost for each is still bearable, regardless of the cost sharing ratio. When the total cost is too high, the party bearing the tiny part of the cost is motivated to initiate collaboration, but the willingness of the other party to collaborate is hugely impaired, so the collaboration is not about to happen at the end. If the cost sharing ratio is around 0.5, the collaboration falls apart as quickly as it can, since all participants avoid a high cost.
Figure 10.
Impacts of cost and its sharing ratio. (a) C = 8, (b) C = 20.
5.7. Impacts of Penalty Amount
Figure 11 illustrates the impacts of penalty amount on a defaulter, ranging from 0 to 15, with other parameters set to their initial values. From the simulation results, it can be clearly inferred that the evolutionary direction is irrelevant to the value of θ. Even if there is no punishment mechanism, i.e., θ equals to 0, the game system converges to (1,1) anyway. As θ incrementally increases, the convergence speed of the game system accelerates. The evolutionary trajectory becomes steepest when θ reaches 15. As a summary, the penalty on the defaulter alone does not dictate the evolutionary destination of the game system. Instead, the existence of the punishment mechanism acts as a booster for achieving the collaboration between the two parties due to the fact that the benefits of game participants are protected systematically.
Figure 11.
Impacts of penalty amount. (x0,y0) = (0.5,0.5).
6. Conclusions and Implications
6.1. Conclusions
The synergetic development of SMEs and cross-border e-commerce platforms is a critical issue that not only concerns the interests of market entities but also impacts the development of the cross-border e-commerce industry. Despite its importance, current research on their mutual collaboration is limited, necessitating further theoretical exploration. This paper employes synergy theory combined with the evolutionary game model to investigate the collaborative development process between China–ASEAN SMEs and cross-border e-commerce platforms.
An evolutionary game model is constructed to reflect their coordinated development strategy choices, and the dynamic equilibrium of strategy choices and evolutionary outcomes of both parties are analyzed. To validate the evolutionary game model and explore the influence of various factors, numerical simulations are conducted using real-world data referenced from the DHgate platform and relevant government policy documents.
This paper finds that there are nine evolutionarily stable scenarios in the collaborative development game system between China–ASEAN SMEs and cross-border e-commerce platforms. Among them, eight scenarios have a single evolutionarily stable direction. Scenario D, however, has two evolutionarily stable directions, including (non-collaboration, non-collaboration) and (collaboration, collaboration). The results of numerical simulations for Scenario D are consistent with the theoretically derived results, confirming the correctness and applicability of the evolutionary game model.
Furthermore, the factors influencing the evolutionary equilibrium strategies of both parties are simulated under different parameter changes to investigate the mechanisms of various influencing factors in the evolutionary game process. The following specific research conclusions are drawn:
Firstly, the initial collaborative strategy ratio directly influences the collaboration between SMEs and the cross-border e-commerce platform. If one party has a stronger initial intent to collaborate and takes proactive steps towards fostering collaboration, the other party with initially weaker intent will gradually enhance its willingness to collaborate, ultimately achieving mutual collaboration.
Secondly, the governmental subsidy is crucial when the initial collaborative strategy ratios of both parties are low. With the increase in rewards from the authorities, the collaboration between SMEs and cross-border e-commerce platforms, which was previously deemed impossible, becomes feasible. While the initial collaborative strategy ratios of both parties are high enough, merely increasing the subsidy for one side exerts no influence on the evolutionary destination, but it might slow down the speed of convergence instead.
Thirdly, with a substantial rise in the total excess return, the inherent pursuit of maximizing benefits by businesses facilitates collaboration between both parties. An equitable excess return sharing ratio can expedite the realization of collaboration, albeit with a minor effect. Conversely, when the total excess return is relatively low, the fairness introduced by a balanced sharing ratio can appropriately elevate the willingness to collaborate between SMEs and cross-border e-commerce platforms.
Moreover, when the total cost is low enough, similar to the case of the total excess return, a less biased cost sharing ratio is beneficial for collaboration between SMEs and cross-border e-commerce platforms. If the total cost becomes far too high, the collaboration between the two parties would eventually collapse, no matter what the level of the cost sharing ratio is.
Lastly, intensifying the punishment for defaulting has a positive influence on safeguarding the interests of SMEs and cross-border e-commerce platforms, thus boosting the collaboration between the two parties to some extent, whereas the value of the penalty amount on the defaulter exerts no direct effect on the final state of the evolutionary game.
6.2. Academic Implications and Recommendations
6.2.1. Academic Implications
Pioneering the integration of synergy theory and the evolutionary game model to analyze the collaborative development between SMEs and e-commerce platforms, this paper is among the first batch of studies that attempt to uncover the two-way interaction between SMEs and platforms in the field of cross-border e-commerce, thus offering a novel approach to understanding the complex dynamics of collaboration in cross-border e-commerce ecosystems. This addresses one of the key research questions identified by Hazarika and Mousavi [81] regarding how different research designs can advance theoretical understanding of cross-border e-commerce dynamics.
With the emphasis on governmental facilitation, this paper presents the impact of the external environment on the development of cross-border e-commerce market entities. In addition, by investigating a pattern where SMEs intensify their digital transformation and attain more market opportunities with external resources, this paper expands the theoretical understanding of the narrowing digital gap for SMEs. This aligns with recent research by Hokmabadi et al. [82] highlighting the significant potential of e-commerce strategies in helping SMEs overcome traditional limitations and compete more effectively in digital markets.
6.2.2. Future Research Directions
Building upon this study’s theoretical framework, several promising directions for future research emerge. First, as Hazarika and Mousavi [81] emphasize, businesses may struggle without adequate internal capabilities, despite supportive policies. Future studies should therefore investigate how organizational capabilities, particularly, digital literacy and technological readiness, influence SME–platform collaboration outcomes. This aligns with findings from Valarezo et al. [83] on the critical role of digital skills and education levels in cross-border e-commerce adoption.
Second, following insights from Coco et al. [84] and Costa et al. [85] on capacity building, researchers could examine the effectiveness of training programs and co-creation initiatives in enhancing SMEs’ digital capabilities. Additionally, future studies could explore how socio-cultural factors shape collaboration patterns across ASEAN countries, providing valuable insights for developing targeted support mechanisms.
Additionally, the systematic analysis of factors influencing the evolutionary equilibrium strategies of SMEs and platforms provides a foundation for future research to explore the impact of these factors in greater depth. Researchers can conduct empirical studies or case analyses to further investigate the role of these factors in shaping collaborative dynamics and outcomes. By making these contributions and opening up new avenues for future research, this paper lays a solid foundation for the advancement of theoretical knowledge on cross-border e-commerce collaboration and the application of synergy theory and evolutionary game theory in this context.
6.3. Practical Implications
Our findings offer valuable insights for different stakeholders in the cross-border e-commerce ecosystem. For successful synergetic development, organizations must focus on strategic collaboration and systematic implementation of supporting mechanisms.
At the organizational level, SMEs should take a strategic approach to platform partnership, carefully evaluating potential collaborators based on product characteristics and platform advantages. Recent research demonstrates that SME leaders can effectively leverage digital technologies and external innovation resources for business development when proper partnerships are established [86]. Evidence from emerging markets further supports this approach, showing that e-commerce adoption significantly improves SME performance through enhanced trust and business agility [87].
Platform organizations play a crucial role in fostering successful collaborations through service optimization and fair benefit-sharing mechanisms. Their essential functions include facilitating product information dissemination, relationship building, and enabling efficient product sales in international markets [88]. Modern management systems supported by big data and cloud computing can strengthen information coordination, thereby reducing transaction costs and enhancing operational efficiency for both platforms and their SME partners.
The role of policy support cannot be understated in fostering successful SME–platform collaboration. Government intervention should be carefully calibrated based on market maturity and collaboration willingness, with increased facilitation being particularly effective in early stages, when collaboration propensity is low. Research from Indonesia emphasizes the importance of management digital literacy and technology utilization in SME digital transformation [89], suggesting that policymakers should prioritize educational initiatives and digital skills development [83]. Additionally, clear penalty mechanisms for contract breaches help maintain market order and protect stakeholders’ interests [90].
The synergetic development model presented in this study has broader implications beyond the China–ASEAN e-commerce context, particularly for less developed markets and diverse industries. In less developed ASEAN markets, where infrastructure and logistics remain key challenges [91], the SME–platform collaboration model can help overcome development barriers. For example, platforms can enhance product visibility and market access for SMEs in remote areas, while SMEs can contribute to platforms’ market expansion through local knowledge and networks. This mutual reinforcement exemplifies how synergetic effects can address development gaps in emerging markets.
Furthermore, the collaboration principles identified in our study—enhanced trust building, improved market access, and increased operational efficiency—can be adapted to various sectors beyond e-commerce. Industries such as agriculture, tourism, and traditional manufacturing can benefit from similar platform-based collaboration models in their digital transformation journey, particularly in regions with limited resources and infrastructure. This broader applicability demonstrates how our findings contribute to understanding collaborative development patterns in diverse market contexts.
Author Contributions
Conceptualization, B.F. and C.F.; methodology, B.F. and C.F.; software, B.F.; validation, B.F. and C.F.; formal analysis, B.F.; investigation, B.F. and C.F.; resources, B.F.; data curation, B.F. and C.F.; writing—original draft preparation, B.F. and C.F.; writing—review and editing, B.F. and C.F.; visualization, B.F. and C.F.; supervision, B.F.; project administration, C.F.; funding acquisition, C.F. All authors have read and agreed to the published version of the manuscript.
Funding
This research was funded by the National Social Science Fund of China under grant number 23&ZD088.
Institutional Review Board Statement
Not applicable.
Informed Consent Statement
Not applicable.
Data Availability Statement
The data presented in this study are available on reasonable request.
Acknowledgments
The authors would like to thank the editors, anonymous reviewers, Wei Mao from Guangxi University, as well as the discussants at the 11th Conference on Asia and Pacific Economies (CAPE) and the 1st Seminar of Guangdong-Hong Kong-Macao University Alliance for Economics, for their valuable comments and helpful suggestions.
Conflicts of Interest
The authors declare no conflicts of interest.
References
- Shanmugalingam, P.; Shanmuganeshan, A.; Manorajan, A.; Kugathasan, M.; Pathirana, G.Y. Does E-Commerce Really Matter on International Trade of Asian Countries: Evidence from Panel Data. PLoS ONE 2023, 18, e0284503. [Google Scholar] [CrossRef]
- Kim, T.Y.; Dekker, R.; Heij, C. Cross-Border Electronic Commerce: Distance Effects and Express Delivery in European Union Markets. Int. J. Electron. Commer. 2017, 21, 184–218. [Google Scholar] [CrossRef]
- Chen, L. Improving Digital Connectivity for E-Commerce: A Policy Framework and Empirical Note. In E-Commerce Connectivity in ASEAN; Economic Research Institute for ASEAN and East Asia: Jakarta, Indonesia, 2020; pp. 7–30. [Google Scholar]
- Kim, H. Globalization and Regulatory Change: The Interplay of Laws and Technologies in E-Commerce in Southeast Asia. Comput. Law Secur. Rev. 2019, 35, 105315. [Google Scholar] [CrossRef]
- Ha, H.T. Understanding China’s Proposal for an ASEAN-China Community of Common Destiny and ASEAN’s Ambivalent Response. Contemp. Southeast Asia 2019, 41, 223–254. [Google Scholar]
- O’Cass, A.; Weerawardena, J. Examining the Role of International Entrepreneurship, Innovation and International Market Performance in SME Internationalisation. Eur. J. Mark. 2009, 43, 1325–1348. [Google Scholar] [CrossRef]
- Knight, G.A. Entrepreneurship and Strategy in the International SME. J. Int. Manag. 2001, 7, 155–171. [Google Scholar] [CrossRef]
- Macchion, L.; Moretto, A.M.; Caniato, F.; Caridi, M.; Danese, P.; Vinelli, A. International E-Commerce for Fashion Products: What Is the Relationship with Performance? Int. J. Retail. Distrib. Manag. 2017, 45, 1011–1031. [Google Scholar] [CrossRef]
- Steinfield, C.; Bouwman, H.; Adelaar, T. The Dynamics of Click-and-Mortar Electronic Commerce: Opportunities and Management Strategies. Int. J. Electron. Comm. 2002, 7, 93–119. [Google Scholar] [CrossRef]
- Fariselli, P.; Oughton, C.; Picory, C.; Sugden, R. Electronic Commerce and the Future for SMEs in a Global Market-Place: Networking and Public Policies. Small Bus. Econ. 1999, 12, 261–275. [Google Scholar] [CrossRef]
- Tiessen, J.H.; Wright, R.W.; Turner, I. A Model of E-Commerce Use by Internationalizing SMEs. J. Int. Manag. 2001, 7, 211–233. [Google Scholar] [CrossRef]
- Elia, S.; Giuffrida, M.; Mariani, M.M.; Bresciani, S. Resources and Digital Export: An RBV Perspective on the Role of Digital Technologies and Capabilities in Cross-Border e-Commerce. J. Bus. Res. 2021, 132, 158–169. [Google Scholar] [CrossRef]
- eBay 2023 Small Business Report. Available online: https://www.ebayinc.com/small-business-report/ (accessed on 26 January 2025).
- Dallocchio, M.; Lambri, M.; Sironi, E.; Teti, E. The Role of Digitalization in Cross-Border E-Commerce Performance of Italian SMEs. Sustainability 2024, 16, 508. [Google Scholar] [CrossRef]
- Yan, J. Data Privacy Regulation and Cross-Border e-Commerce. Empirica 2024, 51, 913–927. [Google Scholar] [CrossRef]
- Shemi, A.P.; Procter, C. E-Commerce and Entrepreneurship in SMEs: Case of myBot. J. Small Bus. Enterp. Dev. 2018, 25, 501–520. [Google Scholar] [CrossRef]
- Jahanshahi, A.A.; Zhang, S.X.; Brem, A. E-Commerce for SMEs: Empirical Insights from Three Countries. J. Small Bus. Enterp. Dev. 2013, 20, 849–865. [Google Scholar] [CrossRef]
- Yan, Z.; Lu, X.; Chen, Y.; Wang, K. Institutional Distance, Internationalization Speed and Cross-Border e-Commerce Platform Utilization. Manag. Decis. 2022, 61, 176–200. [Google Scholar] [CrossRef]
- Hornby, G.; Goulding, P.; Poon, S. Perceptions of Export Barriers and Cultural Issues: The SME e-Commerce Experience. J. Electron. Commer. Res. 2002, 3, 213–226. [Google Scholar]
- Benecke, G.; Schurink, W.; Roodt, G. Towards a Substantive Theory of Synergy. SA J. Hum. Resour. Manag. 2007, 5, 9–19. [Google Scholar] [CrossRef][Green Version]
- Juga, J. Organizing for Network Synergy in Logistics. Int. J. Phys. Distrib. Logist. Manag. 1996, 26, 51–67. [Google Scholar] [CrossRef]
- Ahuja, G.; Novelli, E. Redirecting Research Efforts on the Diversification-Performance Linkage: The Search for Synergy. Acad. Manag. Ann. 2017, 11, 342–390. [Google Scholar] [CrossRef]
- Rowley, J. Synergy and Strategy in E-business. Mark. Intell. Plan. 2002, 20, 215–222. [Google Scholar] [CrossRef]
- Sirmon, D.G.; Hitt, M.A.; Ireland, R.D. Managing Firm Resources in Dynamic Environments to Create Value: Looking Inside the Black Box. Acad. Manag. Rev. 2007, 32, 273–292. [Google Scholar] [CrossRef]
- Tiwana, A. Platform Synergy: Architectural Origins and Competitive Consequences. Inform. Syst. Res. 2018, 29, 829–848. [Google Scholar] [CrossRef]
- Wareham, J.; Fox, P.B.; Cano Giner, J.L. Technology Ecosystem Governance. Organ. Sci. 2014, 25, 1195–1215. [Google Scholar] [CrossRef]
- Pan, L.; Fu, X.; Li, Y. SME Participation in Cross-Border e-Commerce as an Entry Mode to Foreign Markets: A Driver of Innovation or Not? Electron. Commer. Res. 2023, 23, 2327–2356. [Google Scholar] [CrossRef]
- Plakoyiannaki, E.; Pavlos Kampouri, A.; Stavraki, G.; Kotzaivazoglou, I. Family Business Internationalisation through a Digital Entry Mode. Mark. Intell. Plan. 2014, 32, 190–207. [Google Scholar] [CrossRef]
- Weng, Q.; Wang, D.; Ii, S.D.L.; Schuetz, S. How Do Small-to-Medium-Sized e-Commerce Businesses Stay Competitive? Evidence on the Critical Roles of IT Capability, Innovation and Multihoming. Internet Res. 2024, 35, 126–151. [Google Scholar] [CrossRef]
- Hånell, S.M.; Rovira Nordman, E.; Tolstoy, D.; Özbek, N. “It’s a New Game out There”: E-Commerce in Internationalising Retail SMEs. Int. Mark. Rev. 2019, 37, 515–531. [Google Scholar] [CrossRef]
- Wang, F.; Yang, Y.; Tso, G.K.F.; Li, Y. Analysis of Launch Strategy in Cross-Border e-Commerce Market via Topic Modeling of Consumer Reviews. Electron. Commer. Res. 2019, 19, 863–884. [Google Scholar] [CrossRef]
- Abdulkarem, A.; Hou, W. The Influence of the Environment on Cross-Border E-Commerce Adoption Levels Among SMEs in China: The Mediating Role of Organizational Context. SAGE Open 2022, 12, 21582440221103855. [Google Scholar] [CrossRef]
- Bharadwaj, S.; Bharadwaj, A.; Bendoly, E. The Performance Effects of Complementarities Between Information Systems, Marketing, Manufacturing, and Supply Chain Processes. Inf. Syst. Res. 2007, 18, 437–453. [Google Scholar] [CrossRef]
- Solaymani, S.; Sohaili, K.; Yazdinejad, E.A. Adoption and Use of E-Commerce in SMEs. Electron. Commer. Res. 2012, 12, 249–263. [Google Scholar] [CrossRef]
- Gefen, D. E-Commerce: The Role of Familiarity and Trust. Omega 2000, 28, 725–737. [Google Scholar] [CrossRef]
- Liu, C.; Wu, J.; Lakshika Jayetileke, H. Overseas Warehouse Deployment for Cross-Border E-Commerce in the Context of the Belt and Road Initiative. Sustainability 2022, 14, 9642. [Google Scholar] [CrossRef]
- Kwak, J.; Zhang, Y.; Yu, J. Legitimacy Building and E-Commerce Platform Development in China: The Experience of Alibaba. Technol. Forecast. Soc. 2019, 139, 115–124. [Google Scholar] [CrossRef]
- Palvia, P. The Role of Trust in E-Commerce Relational Exchange: A Unified Model. Inf. Manag. 2009, 46, 213–220. [Google Scholar] [CrossRef]
- Liu, A.; Osewe, M.; Shi, Y.; Zhen, X.; Wu, Y. Cross-Border E-Commerce Development and Challenges in China: A Systematic Literature Review. J. Theor. Appl. Electron. Commer. Res. 2022, 17, 69–88. [Google Scholar] [CrossRef]
- He, P.; Wang, T.-Y.; Mardani, A.; Wang, X.-J.; Chen, Z.-S. Selling Mode Selection and AI Service Strategy in an E-Commerce Platform Supply Chain. Comput. Ind. Eng. 2024, 197, 110560. [Google Scholar] [CrossRef]
- Bawack, R.E.; Wamba, S.F.; Carillo, K.D.A.; Akter, S. Artificial Intelligence in E-Commerce: A Bibliometric Study and Literature Review. Electron. Mark. 2022, 32, 297–338. [Google Scholar] [CrossRef]
- Deng, G.; Zhang, J.; Xu, Y. How E-Commerce Platforms Build Channel Power: The Role of AI Resources and Market-Based Assets. J. Bus. Ind. Mark. 2023, 39, 173–188. [Google Scholar] [CrossRef]
- Zhang, D.; Pee, L.G.; Cui, L. Artificial Intelligence in E-Commerce Fulfillment: A Case Study of Resource Orchestration at Alibaba’s Smart Warehouse. Int. J. Inf. Manag. 2021, 57, 102304. [Google Scholar] [CrossRef]
- He, X.; Liu, Y. Knowledge Evolutionary Process of Artificial Intelligence in E-Commerce: Main Path Analysis and Science Mapping Analysis. Expert Syst. Appl. 2024, 238, 121801. [Google Scholar] [CrossRef]
- Tolstoy, D.; Jonsson, A.; Sharma, D.D. The Influence of a Retail Firm’s Geographic Scope of Operations on Its International Online Sales. Int. J. Electron. Commer. 2016, 20, 293–318. [Google Scholar] [CrossRef]
- Melville, N.; Kraemer, K.; Gurbaxani, V. Review: Information Technology and Organizational Performance: An Integrative Model of It Business Value. MIS Q. 2004, 28, 283–322. [Google Scholar] [CrossRef]
- Li, M.; Zheng, X.; Zhuang, G. Information Technology-Enabled Interactions, Mutual Monitoring, and Supplier-Buyer Cooperation: A Network Perspective. J. Bus. Res. 2017, 78, 268–276. [Google Scholar] [CrossRef]
- Zhang, X.; Zha, X.; Dan, B.; Liu, Y.; Sui, R. Logistics Mode Selection and Information Sharing in a Cross-Border e-Commerce Supply Chain with Competition. Eur. J. Oper. Res. 2024, 314, 136–151. [Google Scholar] [CrossRef]
- Ceccagnoli, M.; Forman, C.; Huang, P.; Wu, D.J. Cocreation of Value in a Platform Ecosystem! The Case of Enterprise Software. MIS Q. 2012, 36, 263–290. [Google Scholar] [CrossRef]
- Lin, F.-J.; Lin, Y.-H. The Effect of Network Relationship on the Performance of SMEs. J. Bus. Res. 2016, 69, 1780–1784. [Google Scholar] [CrossRef]
- Miric, M.; Boudreau, K.J.; Jeppesen, L.B. Protecting Their Digital Assets: The Use of Formal & Informal Appropriability Strategies by App Developers. Res. Policy 2019, 48, 103738. [Google Scholar] [CrossRef]
- Wu, A.; Song, D.; Liu, Y. Platform Synergy and Innovation Speed of SMEs: The Roles of Organizational Design and Regional Environment. J. Bus. Res. 2022, 149, 38–53. [Google Scholar] [CrossRef]
- Abdulkarem, A.; Hou, W. The Impact of Organizational Context on the Levels of Cross-Border E-Commerce Adoption in Chinese SMEs: The Moderating Role of Environmental Context. J. Theor. Appl. Electron. Commer. Res. 2021, 16, 2732–2749. [Google Scholar] [CrossRef]
- Chen, T.; Qiu, Y.; Wang, B.; Yang, J. Analysis of Effects on the Dual Circulation Promotion Policy for Cross-Border E-Commerce B2B Export Trade Based on System Dynamics during COVID-19. Systems 2022, 10, 13. [Google Scholar] [CrossRef]
- Madanchian, M. The Impact of Artificial Intelligence Marketing on E-Commerce Sales. Systems 2024, 12, 429. [Google Scholar] [CrossRef]
- Marjerison, R.K.; Zhang, Y.; Zheng, H. AI in E-Commerce: Application of the Use and Gratification Model to the Acceptance of Chatbots. Sustainability 2022, 14, 14270. [Google Scholar] [CrossRef]
- Marjerison, R.K.; Dong, H.; Kim, J.-M.; Zheng, H.; Zhang, Y.; Kuan, G. Understanding User Acceptance of AI-Driven Chatbots in China’s E-Commerce: The Roles of Perceived Authenticity, Usefulness, and Risk. Systems 2025, 13, 71. [Google Scholar] [CrossRef]
- Zhang, Y.; Liu, C. Unlocking the Potential of Artificial Intelligence in Fashion Design and E-Commerce Applications: The Case of Midjourney. J. Theor. Appl. Electron. Commer. Res. 2024, 19, 654–670. [Google Scholar] [CrossRef]
- Wei, R.; Pardo, C. Artificial Intelligence and SMEs: How Can B2B SMEs Leverage AI Platforms to Integrate AI Technologies? Ind. Mark. Manag. 2022, 107, 466–483. [Google Scholar] [CrossRef]
- Schwaeke, J.; Peters, A.; Kanbach, D.K.; Kraus, S.; Jones, P. The New Normal: The Status Quo of AI Adoption in SMEs. J. Small Bus. Manag. 2024, 1–35. [Google Scholar] [CrossRef]
- Hasiloglu, M.; Kaya, O. An Analysis of Price, Service and Commission Rate Decisions in Online Sales Made through E-Commerce Platforms. Comput. Ind. Eng. 2021, 162, 107688. [Google Scholar] [CrossRef]
- Cenamor, J.; Parida, V.; Wincent, J. How Entrepreneurial SMEs Compete through Digital Platforms: The Roles of Digital Platform Capability, Network Capability and Ambidexterity. J. Bus. Res. 2019, 100, 196–206. [Google Scholar] [CrossRef]
- Simonse, L.W.L.; Hultink, E.J.; Buijs, J.A. Innovation Roadmapping: Building Concepts from Practitioners’ Insights. J. Prod. Innov. Manag. 2015, 32, 904–924. [Google Scholar] [CrossRef]
- Shou, Y.; Che, W.; Dai, J.; Jia, F. Inter-Organizational Fit and Environmental Innovation in Supply Chains. Int. J. Oper. Prod. Manag. 2018, 38, 1683–1704. [Google Scholar] [CrossRef]
- Zhang, M.; Pratap, S.; Huang, G.Q.; Zhao, Z. Optimal Collaborative Transportation Service Trading in B2B E-Commerce Logistics. Int. J. Prod. Res. 2017, 55, 5485–5501. [Google Scholar] [CrossRef]
- Harrison, J.S.; Hitt, M.A.; Hoskisson, R.E.; Ireland, R.D. Synergies and Post-Acquisition Performance: Differences versus Similarities in Resource Allocations. J. Manag. 1991, 17, 173–190. [Google Scholar] [CrossRef]
- Bilhuber Galli, E.; Müller-Stewens, G. How to Build Social Capital with Leadership Development: Lessons from an Explorative Case Study of a Multibusiness Firm. Leadersh. Q. 2012, 23, 176–201. [Google Scholar] [CrossRef]
- Zenger, T. Beyond Competitive Advantage: How to Solve the Puzzle of Sustaining Growth While Creating Value; Harvard Business Review Press: Brighton, MA, USA, 2016; ISBN 978-1-63369-001-1. [Google Scholar]
- Zhou, Y.M. Synergy, Coordination Costs, and Diversification Choices. Strateg. Manag. J. 2011, 32, 624–639. [Google Scholar] [CrossRef]
- McGill, B.J.; Brown, J.S. Evolutionary Game Theory and Adaptive Dynamics of Continuous Traits. Annu. Rev. Ecol. Evol. Syst. 2007, 38, 403–435. [Google Scholar] [CrossRef]
- Martin, J.A.; Eisenhardt, K.M. Cross-Business Synergy: Recombination, Modularity and the Multi-Business Team. In Academy of Management Proceedings; Academy of Management: Briarcliff Manor, NY, USA, 2003; Volume 2003, pp. 1–6. [Google Scholar] [CrossRef]
- Xu, S.; Hao, A. Understanding the Impact of National Culture on Firms’ Benefit-Seeking Behaviors in International B2B Relationships: A Conceptual Model and Research Propositions. J. Bus. Res. 2021, 130, 27–37. [Google Scholar] [CrossRef]
- Nowak, M.A.; Sigmund, K. Evolutionary Dynamics of Biological Games. Science 2004, 303, 793–799. [Google Scholar] [CrossRef]
- Karev, G.P. Replicator Equations and the Principle of Minimal Production of Information. Bull. Math. Biol. 2010, 72, 1124–1142. [Google Scholar] [CrossRef]
- Friedman, D. On Economic Applications of Evolutionary Game Theory. J. Evol. Econ. 1998, 8, 15–43. [Google Scholar] [CrossRef]
- Luo, L.; Ma, X.; Wang, Z. The Moderate-Reputation Trap: Evidence from a Chinese Cross-Border Business-to-Business e-Commerce Portal. Asia Pac. J. Manag. 2022, 39, 395–432. [Google Scholar] [CrossRef]
- Deng, Z.; Wang, Z. Early-Mover Advantages at Cross-Border Business-to-Business e-Commerce Portals. J. Bus. Res. 2016, 69, 6002–6011. [Google Scholar] [CrossRef]
- Guo, Y.; Bao, Y.; Stuart, B.J.; Le-Nguyen, K. To Sell or Not to Sell: Exploring Sellers’ Trust and Risk of Chargeback Fraud in Cross-Border Electronic Commerce. Inf. Syst. J. 2018, 28, 359–383. [Google Scholar] [CrossRef]
- Cui, Y.; Mou, J.; Cohen, J.; Liu, Y.; Kurcz, K. Understanding Consumer Intentions toward Cross-Border m-Commerce Usage: A Psychological Distance and Commitment-Trust Perspective. Electron. Commer. Res. Appl. 2020, 39, 100920. [Google Scholar] [CrossRef]
- Deng, Z.; Liesch, P.W.; Wang, Z. Deceptive Signaling on Globalized Digital Platforms: Institutional Hypnosis and Firm Internationalization. J. Int. Bus. Stud. 2021, 52, 1096–1120. [Google Scholar] [CrossRef]
- Hazarika, B.B.; Mousavi, R. Review of Cross-Border E-Commerce and Directions for Future Research. J. Glob. Inf. Manag. 2021, 30, 1–18. [Google Scholar] [CrossRef]
- Hokmabadi, H.; Rezvani, S.M.H.S.; de Matos, C.A. Business Resilience for Small and Medium Enterprises and Startups by Digital Transformation and the Role of Marketing Capabilities—A Systematic Review. Systems 2024, 12, 220. [Google Scholar] [CrossRef]
- Valarezo, Á.; Pérez-Amaral, T.; Garín-Muñoz, T.; Herguera García, I.; López, R. Drivers and Barriers to Cross-Border e-Commerce: Evidence from Spanish Individual Behavior. Telecommun. Policy 2018, 42, 464–473. [Google Scholar] [CrossRef]
- Coco, N.; Colapinto, C.; Finotto, V. Fostering Digital Literacy among Small and Micro-Enterprises: Digital Transformation as an Open and Guided Innovation Process. RD Manag. 2024, 54, 118–136. [Google Scholar] [CrossRef]
- Costa, J.; Castro, R. SMEs Must Go Online—E-Commerce as an Escape Hatch for Resilience and Survivability. J. Theor. Appl. Electron. Commer. Res. 2021, 16, 3043–3062. [Google Scholar] [CrossRef]
- Hermawati, W.; Febrianda, R.; Aminullah, E.; Ariyani, L.; Hidayat, A.S.; Fizzanty, T. SME Owners’ Roles for Mutual Reinforcement of Innovation and Entrepreneurship in Dealing with Digital Technologies: Case Studies of Selected Indonesian SMEs. Asian J. Technol. Innov. 2024, 1–26. [Google Scholar] [CrossRef]
- Anabila, P.; Kumi, D.K.; Ameyibor, L.E.K.; Allan, M.M. E-Commerce Adoption among Entrepreneurial Firms in Sub-Saharan Africa. J. Small Bus. Enterp. Dev. 2024, 31, 1400–1423. [Google Scholar] [CrossRef]
- Hu, L.; Filipescu, D.A.; Pergelova, A. Understanding SMEs’ Internationalization through Digital Platforms: The Role of Knowledge Sharing and Consumer Education. Int. Mark. Rev. 2024, 41, 1044–1073. [Google Scholar] [CrossRef]
- Destrian, O. The Influence of Manager’s Digital Literacy on SMEs’ Digital Transformation in Indonesia: A Micro-Foundational Context. IEEE Trans. Eng. Manag. 2025, 1–14. [Google Scholar] [CrossRef]
- Wang, Y.; Xu, J.; Zhang, G. An Evolutionary Game Study of Collaborative Innovation across the Whole Industry Chain of Rural E-Commerce under Digital Empowerment. Systems 2024, 12, 353. [Google Scholar] [CrossRef]
- Pushp, P.; Ahmed, F. The Global Value Chain: Challenges Faced by ASEAN Least Developed Countries. J. Policy Model. 2023, 45, 1223–1245. [Google Scholar] [CrossRef]
Disclaimer/Publisher’s Note: The statements, opinions and data contained in all publications are solely those of the individual author(s) and contributor(s) and not of MDPI and/or the editor(s). MDPI and/or the editor(s) disclaim responsibility for any injury to people or property resulting from any ideas, methods, instructions or products referred to in the content. |
© 2025 by the authors. Licensee MDPI, Basel, Switzerland. This article is an open access article distributed under the terms and conditions of the Creative Commons Attribution (CC BY) license (https://creativecommons.org/licenses/by/4.0/).










