Next Article in Journal
Change Point Detection in Financial Market Using Topological Data Analysis
Previous Article in Journal
Manufacturing Supply Chain Resilience Amid Global Value Chain Reconfiguration: An Enhanced Bibliometric–Systematic Literature Review
 
 
Font Type:
Arial Georgia Verdana
Font Size:
Aa Aa Aa
Line Spacing:
Column Width:
Background:
Article

Quantifying Tail Risk Spillovers in Chinese Petroleum Supply Chain Enterprises: A Neural-Network-Inspired Multi-Layer Machine Learning Framework

1
School of Economics and Management, Nanjing Tech University, Nanjing 211816, China
2
School of Economics and Management, University of Chinese Academy of Sciences, Beijing 100190, China
*
Authors to whom correspondence should be addressed.
These authors contributed equally to this work.
Systems 2025, 13(10), 874; https://doi.org/10.3390/systems13100874
Submission received: 20 August 2025 / Revised: 23 September 2025 / Accepted: 2 October 2025 / Published: 6 October 2025
(This article belongs to the Section Complex Systems and Cybernetics)

Abstract

This study constructs a neural-network-inspired multi-layer machine learning model ( R Q L N e t ) to measure and analyze the effects of tail risk spillover and its associated sensitivities to macroeconomic factors among petroleum supply chain enterprises. On this basis, the study constructs a tail risk spillover network and analyzes its network-level structural features. The results show the following: (1) The proposed model improves the accuracy of tail risk measurement while addressing the issue of excessive penalization in spillover weights, offering enhanced interpretability and structural stability and making it particularly suitable for high-dimensional tail risk estimation. (2) Tail risk spillovers propagate from up- and midstream to downstream and ultimately to end enterprises. Structurally, the up- and midstream are the main sources, whereas the downstream and end enterprises are the primary recipients. (3) The tail risk sensitivities of Chinese petroleum supply chain enterprises exhibit significant differences across macroeconomic factors and across types of enterprises. Overall, the sensitivities to CIMV and LS are higher. (4) The network evolves in stages: during trade frictions, spillovers accelerate and core nodes strengthen; during public-health events, intra-community cohesion increases and cross-community spillovers decline; in the recovery phase, cross-community links resume and concentrate on core nodes; and during geopolitical conflicts, spillovers are core-dominated and cross-community transmission accelerates.

1. Introduction

As a key pillar of the global energy system, oil exerts substantial influence over macroeconomic performance and geopolitical developments [1]. As one of the most important global energy commodities, oil price volatility affects energy costs and inflation. It also generates systemic shocks across economies through trade, investment, and financial channels [2,3,4,5]. With the acceleration of the global push toward carbon neutrality and the ongoing energy transition, oil’s carbon risk profile has become more salient. Its prices and demand exhibit heightened sensitivity to green policies, climate-related shocks, and geopolitical conflicts [6,7]. Oil enterprises span exploration, production, transportation, refining, and marketing. They perform key resource-allocation functions in international energy markets and serve as a critical hub for risk transmission between the industrial supply chain and the financial system [8]. As traditional energy enterprises, these enterprises face price-volatility pressures from deepening energy financialization. Under emission constraints and the green transition, they also face uncertainty in operations and asset values [9,10]. Petroleum supply chain enterprises are vulnerable to external shocks and can significantly affect other industries under extreme scenarios [11]. Therefore, accurately measuring tail risk spillovers among petroleum supply chain enterprises is crucial. It helps elucidate risk transmission in energy markets, assess carbon-risk exposure, and safeguard industrial stability as well as financial-system security.
The current measurement approaches to tail risk spillovers can be broadly classified into three categories. First, VAR, GARCH, and their extensions are employed to characterize tail risk spillovers [12,13,14]. For instance, Bei et al. [15] employ a GARCH-Copula-CoVaR framework to examine extreme spillovers between the shipping and commodity markets. Second, traditional C o V a R models based on l a s s o regression, as well as quantile-regression approaches, are widely adopted; however, in high-dimensional settings, they are prone to estimation bias and overfitting [16,17,18]. While Chen et al. [19] incorporate machine learning methods to improve estimation accuracy, the approach may still induce excessive penalization of inter-node spillover weights. Third, deep-learning neural networks and related architectures are increasingly being used to measure tail risk spillovers; however, such approaches generally exhibit limited economic interpretability [20,21,22,23]. For example, Lu et al. [24] employ a quantile LSTM-GNN to quantify tail risk spillovers between energy and agricultural commodity markets. To address these limitations, this paper proposes a neural-network-inspired multi-layer machine learning model ( R Q L N e t ). The model is designed for high-dimensional tail risk measurement, preserves estimation accuracy and economic interpretability, and effectively mitigates excessive penalization. This constitutes the paper’s first contribution.
Extant research on tail risk spillovers among petroleum supply chain enterprises largely focuses on energy enterprises in the aggregate, with limited systematic exploration of the internal structure of the oil supply chain [25,26,27,28,29,30]. These studies also predominantly rely on enterprise-level log returns to measure spillover effects, while devoting limited attention to the systematic influences of both macroeconomic and micro-level factors. Although Chen et al. [19] introduced certain macro- and micro-level variables, they did not cover key factors such as geopolitical risk and crude-oil prices, which are highly salient for the oil market. There remains a lack of systematic assessment of aggregate tail risk sensitivities to macro-factors for petroleum supply chain enterprises, as well as evidence on heterogeneity across supply chain segments. Building on these gaps, this study incorporates a more comprehensive set of macro-variables to improve the precision of spillover measurement for Chinese petroleum supply chain enterprises. On this basis, this study constructs a tail risk spillover network and conducts a systematic sensitivity analysis by supply chain segment, thereby uncovering the heterogeneous responses of segment-level tail risks to macro-factors. These elements constitute this paper’s second contribution.
In summary, this study integrates the hierarchical structure of neural networks with the regularization-driven feature selection mechanism of machine learning. To address the limited economic interpretability of neural networks and the accuracy and over-penalization issues in traditional l a s s o and machine learning approaches, this study develops R Q L N e t to measure tail risk spillovers among petroleum supply chain enterprises and their sensitivities to macroeconomic factors. On this basis, this study constructs a tail risk spillover network and analyzes its network-level structural features. The contributions of this paper include the following: (1) The proposal of a neural-network-inspired multi-layer machine learning model, which further enhances estimation accuracy and economic interpretability in high-dimensional tail risk measurement, effectively mitigating excessive penalization and enabling more precise identification of tail risks. (2) The incorporation of macro-factors highly relevant to the oil sector—such as geopolitical risk and crude-oil prices—to improve the precision of tail risk measurement for petroleum supply chain enterprises, and, on that basis, the construction of the tail risk spillover network. (3) This study yields the following meaningful conclusions: the up- and midstream are the primary sources of risk spillovers, while the downstream and end enterprises are the main recipients within the network. Tail risk sensitivities to macro-factors exhibit significant heterogeneity across both factor dimensions and enterprise-type dimensions, and the network evolves in stages—spillovers accelerate and core nodes strengthen during trade frictions; they concentrate within communities with constrained cross-community links in the early public-health phase, followed by recovery and greater concentration toward core nodes; and they become core-dominated with faster cross-community transmission during geopolitical conflicts.

2. Model Construction

Figure 1 illustrates the overall research framework and process adopted in this study.

2.1. C o V a R Estimation via a Neural-Network-Inspired Multi-Layer Machine Learning Model

The Value-at-Risk ( V a R ) model is defined as follows:
P ( X i , t V a R i , t , τ T a i l ) = τ
Using quantile regression, we estimate each node’s V a R from macroeconomic factors and log weekly returns. The specification is given by
X i , t = α i T a i l + γ i T a i l + ε i , t , V a R i , t , τ T a i l ^ = α ^ i T a i l + γ ^ i T a i l M t 1
where X i , t denotes the log weekly return of node i at time t . Log return is calculated as X i , t = ln p t ln p t 1 . p t represents the price of node i at time t . M t 1 denotes the macroeconomic factor observed at time t 1 . α i T a i l and γ i T a i l are parameters to be estimated.
The Conditional Value-at-Risk ( C o V a R ) model is defined as follows:
P { X j , t C o V a R j , t , τ T a i l | R j , t } = τ
Extending the frameworks introduced in Härdle et al. [31] and Chen et al. [19], this study constructs a neural-network-based multi-layer machine learning algorithm. This algorithm estimates the C o V a R and associated link functions for nodes within Chinese petroleum supply chain enterprises. The estimation equations are given by
X j , t = g ( β j | R j Τ R j , t ) + ε j , t
C o V a R j | R ˜ j , t , τ T a i l ^ = g ^ ( β ^ j | R ^ j Τ R ˜ j , t )
where R j , t = { X j , t , M t 1 , B j , t 1 } represents the set of multivariate variables associated with the node. X j , t = { X 1 , t , X 2 , t , , X k 1 , t } denotes log returns of all other nodes except for the given node, and k − 1 is the number of these other nodes. B j , t 1 denotes enterprise-specific characteristics of the individual node and β j | R j = { β j | j , β j | M , β j | B j } Τ denotes the parameter set associated with the explanatory variable R j , t . Equation (5) indicates that C o V a R is influenced not only by other nodes but also by the smooth link function g ( . ) . Moreover, R ˜ j , t = { V a R j , t , τ T a i l ^ , M t 1 , B j , t 1 } . Additionally, Figure 2 illustrates the C o V a R estimation procedure built on the R Q L N e t model proposed in this paper.
The R Q L N e t model is designed to handle high-dimensional financial time-series data efficiently and adopts a multi-layer architecture to mitigate the excessive penalization often encountered in conventional machine learning frameworks. In contrast to traditional neural networks that focus on accurate point forecasting, the present framework centers on quantile estimation, making it especially suitable for C o V a R analysis. Recent studies have demonstrated the effectiveness of these approaches in handling high-dimensional data redundancy and optimizing the structural stability of models [32,33,34]. The underlying algorithm adapts the Lasso regression of Belloni and Chernozhukov [35] and Chernozhukov et al. [36], and integrates quantile and path-tracking techniques tailored to tail risk features. The specific details are as follows:
Layer 1 combines quantile regression and path-following Lasso regularization to perform initial quantile estimation and variable selection, providing the foundation for subsequent nonlinear processing and kernel estimation in the weighting layer. In this layer, the number of paths is set to 150, and generalized cross-validation is used to ensure the optimal regularization parameter. Quantile regression utilizes the quantile loss function to accurately estimate tail risk and optimizes path selection through the path-following algorithm. Through the initial Lasso regularization, the regression coefficients for each node are assigned different weights, which provide foundational support for subsequent steps. These coefficients serve as initial weights for the kernel regression in the following weighting layer, ensuring reasonable weight distribution for each variable in the subsequent regression process, avoiding excessive penalization, and improving the model’s stability and accuracy.
Layer 2 transforms the linear quantile regression results from Layer 1 into nonlinear quantile regression to better capture the nonlinear characteristics of financial markets, especially during extreme periods such as financial crises [27].
Layer 3 performs kernel regression using the initial variable selection coefficients from Layer 1 and the nonlinear functions, assigning appropriate weights to each variable and thus providing reasonable kernel weights for the variables in the subsequent Layer 4.
Layer 4 further optimizes the model by using a path-following Lasso regularization regression with kernel weights. In this layer, the number of paths is set to 500, and the optimal path is selected using the AIC criterion. Tail risk is accurately estimated through nonlinear quantile regression and the quantile loss function. Based on this, Lasso regularization is performed using the kernel-weighted path regression coefficients, reducing over-penalization and improving the model’s accuracy and stability, thereby providing more reasonable support for the final regression results. The iteration process stops when the change in coefficients between iterations is smaller than a predefined threshold or when the maximum number of iterations is reached.

2.2. Measuring Tail Risk Spillover Effects and Constructing the Tail Risk Spillover Network

Based on Equation (5), the tail risk spillover effect is defined as follows:
D ^ j | R ˜ j = g ^ ( β ^ j | R j Τ R j , t ) R j , t | R j , t = R ˜ j , t = g ^ ( β ^ j | R ˜ j Τ R ˜ j , t ) β ^ j | R ˜ j
where D ^ j | R ˜ j denotes the gradient that measures the marginal effect of covariates. D ^ j | R ˜ j = { D ^ j | j , D ^ j | M , D ^ j | B j } Τ , where D ^ j | j = { D ^ j | i | 1 i k , i j } captures the risk spillover effects among nodes.
The directed weighted tail risk spillover network is constructed, with its adjacency matrix given as follows [31]:
A s = 0 D ^ 1 | 2 s D ^ 1 | 3 s D ^ 1 | k s D ^ 2 | 1 s 0 D ^ 2 | 3 s D ^ 2 | k s D ^ 3 | 1 s D ^ 3 | 2 s 0 D ^ 3 | k s D ^ k | 1 s D ^ k | 2 s D ^ k | 3 s 0
where the k -order adjacency matrix A s represents the risk spillover effects among nodes in petroleum supply chain enterprises. Here, D ^ 1 | 2 s is the absolute value of D ^ 1 | 2 s , representing the tail risk spillover weight from nodes 2 to 1. D ^ 2 | 1 s represents the tail risk spillover weight from nodes 1 to 2.

2.3. Network-Level Structural Metrics

At the network level, the average path length, average clustering coefficient, network density, modularity, assortativity, and degree centralization constitute key metrics for assessing overall connectedness among nodes. This study uses these metrics to characterize the tail risk spillover network among petroleum supply chain enterprises, as follows:
(1)
The average clustering coefficient captures the tendency of nodes to form cohesive local groups. Higher values reflect stronger local substructures, potentially accelerating the accumulation and spillover of tail risk.
(2)
The average path length represents the mean of the shortest paths between any two nodes. Smaller values reflect the faster propagation of tail risk spillovers across the network.
(3)
Network density measures the ratio of observed to potential links. Larger values indicate denser spillover relations.
(4)
Modularity evaluates the extent of community partitioning. Higher modularity indicates more distinct subgroups and, to some extent, constrains cross-community tail risk spillovers.
(5)
Assortativity captures the degree correlation between connected nodes. With positive assortativity, high-degree nodes tend to connect with high-degree nodes (and low with low), whereas negative assortativity implies that high-degree nodes are more likely to connect with low-degree nodes, and vice versa.
(6)
Degree centralization gauges the extent to which degrees concentrate in a few core nodes. Networks with high degree centralization are more likely to be dominated by core nodes in tail risk spillovers, whereas those with low degree centralization favor risk dispersion and structural stability.

3. Empirical Analysis

3.1. Data

The sample includes Chinese petroleum supply chain enterprises publicly traded in China’s A-share market. In selecting and classifying the enterprises, this study employs the following three criteria: (1) the GICS classification and relevant literature [19,27], which provide a framework for categorizing enterprises along the upstream, midstream, downstream, and end segments of the petroleum supply chain; (2) authoritative financial databases, including WIND, RESSET, and iFinD, which offer comprehensive and reliable information for verifying the business scope and operations of potential candidates; (3) a thorough examination of each enterprise’s core business operations, its strategic direction for future development, and its position within the supply chain. For state-owned enterprises, special attention is given to their national strategic roles and their specific mandates, which often reflect their importance in national energy security and market stability. This approach ensures that the selected enterprises are representative of the petroleum supply chain. The enterprises are categorized into four groups: oil exploration and production enterprises (upstream enterprises), oil transportation and storage enterprises (midstream enterprises), oil refining and sales enterprises (downstream enterprises), and petrochemical product enterprises (end enterprises).
The sample period spans 3 July 2015 to 31 March 2023. This horizon covers major events, including large swings in China’s financial markets starting in 2016, which significantly impacted the oil market [19]; intensified trade frictions between China and the United States beginning in 2018, which disrupted global energy markets [37]; the global public-health event (COVID-19) starting in late 2019, which led to substantial volatility in oil prices [38]; and regional geopolitical conflicts, particularly the Russia–Ukraine war beginning in 2022, which further heightened energy price instability [39]. Prior research shows that knowledge and information agglomeration within supply chain networks amplifies the propagation of external shocks across enterprises [40]. Enterprise-level data are drawn from the RESSET database; detailed enterprise information and classifications are reported in Table 1.
The selection of internal characteristic variables for petroleum supply chain enterprises follows Naeem et al. [41]. This study includes total assets (SIZE) to reflect enterprise size, the market-to-book ratio (MTB) to capture growth potential, the leverage ratio (LEV) to represent capital structure, and maturity mismatch (MM) to proxy liquidity risk. Variable definitions and descriptions are provided in Table 2; data are sourced from the RESSET database.
Following Gong et al. [42], this study selects macro-variables spanning financial markets, energy markets, and geopolitics. In addition, this study incorporates indicators that reflect changes in government economic, financial, and monetary policies to more comprehensively characterize the external environment shaping tail risk spillovers among petroleum supply chain enterprises. Definitions and sources are summarized in Table 3. Specifically, CIMV comes from the PBC School of Finance, Tsinghua University, and is drawn from the RESSET database; WI is taken from the Wind database; YS and LS are provided by the Ministry of Finance of the People’s Republic of China together with the China Foreign Exchange Trade System; OIL is from the Shanghai International Energy Exchange; and EPU index is obtained from the Federal Reserve Bank of St. Louis (FRED) database.

3.2. Comparative Analysis of Competing Models

Figure 3 compares measurements of five models of tail risk ( C o V a R ). A large body of research [46,47,48] uses Quantile Vector Autoregression (QVAR) to identify tail risk spillovers; however, QVAR is mainly suited to low-dimensional settings, and its estimation stability and coverage decline markedly in high-dimensional environments, as also seen in Figure 3. To alleviate high dimensionality, many studies [49,50,51] introduce Lasso with quantile regression to induce sparsity and enhance interpretability, yet Figure 3 shows that its calibration for tail risk measurement in high dimensions remains insufficient. By contrast, the Gradient Boosting Machine combined with quantile regression achieves higher point accuracy than the preceding two, but when tail sparsity, conditional heteroskedasticity, and temporal dependence coexist, the tree model’s high variance and piecewise, discontinuous approximation more readily lead to an overshoot of conditional quantiles, so the estimated tail risk exceeds the realized level and C o V a R violations occur [52]. In comparison, the machine learning model integrating quantile regression proposed by Chen et al. [19] ( M L ) markedly improves accuracy in high-dimensional samples and reduces overfitting, albeit with some shrinkage in spillover weights. Building on these developments, the R Q L N e t proposed in this paper further raises overall measurement accuracy—especially achieving a closer fit to realized returns in non-tail periods—while effectively avoiding excessive penalization of spillover weights, thereby attaining a better trade-off between accuracy and structural robustness.
Table 4 reports the statistical evaluation of C o V a R estimates across the five models. Following the visual comparison in Figure 3, the M L model and our R Q L N e t rank highest in measurement accuracy; moreover, Table 4 shows that R Q L N e t attains the lowest mean pinball loss and passes the Christoffersen conditional-coverage test [53]. Table 5 examines robustness under small changes in the quantile level, and the results indicate that R Q L N e t delivers high Pearson correlations with extremely small two-sided p-values, demonstrating strong stability against quantile perturbations.
Figure 4a,b compare the spillover weights between nodes for the M L model and the proposed R Q L N e t model at a selected point in time. Compared to traditional M L models, the proposed R Q L N e t model achieves accurate C o V a R estimation without sacrificing tail risk spillover weights. Moreover, it significantly reduces excessive penalization, yielding a more reasonable and structurally robust spillover network.
Figure 5 illustrates the aggregated spillover weights during the sample period. The M L model exhibits noticeable excessive penalization, with some nodes showing zero spillover weights throughout the period. By contrast, the R Q L N e t model significantly mitigates this issue by effectively preserving spillover weights between nodes and more comprehensively capturing the structural characteristics of the tail risk spillover network.

3.3. Analysis of Tail Risk Spillover Effects and Their Sensitivities to Macroeconomic Factors

Table 6 reports, for each enterprise, the top three spillover targets ranked by tail risk spillover intensity during the sample period. The ranking reveals the principal directions and structural characteristics of tail risk spillovers across enterprise categories within the network. The main findings are as follows:
First, upstream enterprises: The main directions of tail risk spillover intensity remain concentrated on downstream and end enterprises, while intra-upstream spillovers persist at the selected nodes. Overall, upstream spillovers are dominated by vertical diffusion toward downstream and end enterprises, accompanied by a small degree of spillovers to midstream enterprises. A typical case is the bidirectional spillover relation between CPCC and CNPC.
Second, midstream enterprises: Tail risk spillover intensity is predominantly cross-category, pointing mainly to downstream and end enterprises, while retaining bidirectional spillover paths with upstream enterprises. Overall, midstream enterprises continue to serve as a bridge in the supply chain, transmitting risks from the resource end to the processing and terminal stages.
Third, downstream enterprises: Tail risk spillover intensity is strong within downstream enterprises themselves and extends visibly to end enterprises, accompanied by selective reverse spillovers toward upstream enterprises in the updated ranking. Overall, downstream enterprises form within-category cyclic spillovers while extending to end enterprises, whereas spillover paths to upstream enterprises appear at a limited set of nodes.
Finally, end enterprises: Tail risk spillover intensity first concentrates within same-category end enterprises, extends to downstream enterprises, and, to some extent, traces back to up- and midstream enterprises. Overall, the main spillover directions are toward same-category end enterprises and downstream enterprises, accompanied by a small number of spillover paths to up- and midstream enterprises.
Table 7 reports, for each enterprise, the top three sources by tail risk acceptance intensity during the sample period. This ranking highlights the principal directions and structural characteristics of risk acceptance across different categories of enterprises within the tail risk spillover network. The main findings are as follows:
First, upstream enterprises: Sources of tail risk acceptance intensity concentrate within same-category upstream enterprises, followed by mid- and downstream enterprises. Overall, the resource stage forms a strong internal chain of risk acceptance, while some nodes accept tail risk spillovers from mid- and downstream enterprises. A representative case is TPC, whose primary sources are HBP, XJZDPTC, and QHEC, indicating dense intra-upstream acceptance among core upstream nodes.
Second, midstream enterprises: Sources are predominantly cross-category, coming mainly from up- and downstream enterprises, and retaining reverse spillovers from end enterprises. Overall, the midstream serves as a bridge within the supply chain, accepting tail risk spillovers from upstream and reverse spillovers from downstream. A representative case is CPE, whose sources are dominated by upstream nodes such as HBP and TPC, reflecting close risk linkages with the resource stage at the transportation segment.
Third, downstream enterprises: Sources of tail risk acceptance intensity are strong within same-category downstream enterprises, and also come from up- and midstream enterprises; some nodes accept spillovers from end enterprises. Overall, the downstream forms a within-category network of risk acceptance in the processing stage and concentrates acceptance from upstream segments. A representative case is RP, whose primary sources are HZOPG and HYP, indicating sustained linkages to the midstream while preserving strong within-downstream connections.
Finally, end enterprises: Sources of tail risk acceptance intensity first concentrate within same-category end enterprises, come from downstream enterprises, and, finally, come from up- and midstream enterprises at some nodes. Overall, end enterprises form a strong internal network of risk acceptance in the terminal stage and accept spillover inputs from earlier segments of the supply chain. A representative case is STINM, whose primary sources are JYFT and AAMT, evidencing dense risk acceptance relationships among end enterprises.
For each enterprise acting as an intermediate node along tail risk spillover paths, Table 8 and Table 9 summarize the top three spillover targets by count and the top three acceptance sources by count. Taken together, these rankings indicate where intermediary nodes predominantly absorb tail risk inputs and where they subsequently route them within the supply chain network.
First, upstream enterprises: As intermediary nodes, upstream firms primarily accept inputs from upstream peers, supplemented by mid- and downstream sources; they route spillovers chiefly toward the mid- and downstream while retaining intra-upstream channels. A representative case is QHEC, which accepts from HBP, TPC, and COSL and routes to TPC, ZJJLHM, and SSTP.
Second, midstream enterprises: Midstream intermediaries absorb spillovers cross-category, mainly from up- and downstream, with selected end inputs, and relay them both upward and downward, consistent with a bridge role. For example, HZOPG accepts from NHCI, RP, and CPE and routes to ZJRZ, XJZDPTC, and RP.
Third, downstream enterprises: Downstream intermediaries receive substantial inputs within the downstream segment, alongside material inflows from midstream, and transmit onward to the end and midstream while maintaining within-downstream circulation. A representative case is RP, which accepts from HYP, HZOPG, and HFC and routes to JES, HZOPG, and HYP.
Finally, end enterprises: End-segment intermediaries first accept from same-category end firms, followed by mid- and downstream sources, and route primarily within the end segment and toward the downstream, with limited paths back to the upstream. For instance, JYFT accepts from JES, ZJJLHM, and GHRAP and routes to STINM, HFC, and DQHK.
Figure 6 and Table 10 document significant cross-factor differences in the network-level tail risk sensitivities of Chinese petroleum supply chain enterprises. Pairwise tests show that sensitivities to CIMV are statistically higher than those to LS, OIL, GPR, and EPU; LS exceeds OIL but is not statistically different from GPR or EPU; OIL is significantly lower than GPR and EPU; and GPR and EPU do not differ significantly. CIMV dominates, LS is second-order but persistent, while OIL is weaker and more state-contingent; and GPR and EPU are material and often co-move. This result contrasts with existing studies emphasizing crude oil price fluctuations and geopolitical disturbances as key drivers of tail risks in oil enterprises [54,55].
First, 2018: Trade frictions accompanied by pronounced volatility in China’s financial markets. Tail risk sensitivities to CIMV and LS rise the most, consistent with elevated option-implied volatility and tighter domestic funding conditions. GPR and EPU also strengthen as uncertainty surrounding external relations and policy calibration increases, whereas the OIL channel remains comparatively contained, reflecting China’s importer position and partial policy buffers that dampen the price pass-through to listed firms.
Second, early 2020: Public-health shock. Sensitivities tilt toward CIMV—reflecting a volatility surge—while LS remains elevated amid precautionary liquidity demand; cross-community diffusion weakens and local clustering rises. OIL becomes comparatively muted as demand compression and inventory/administrative adjustments dominate the commodity channel. GPR and EPU are present but do not exceed the volatility–liquidity channels during the initial shock phase.
Third, 2021: Post-pandemic recovery. With demand normalization, the OIL factor strengthens and narrows its gap with LS, though CIMV remains the leading driver. Episodic increases in EPU accompany regulatory recalibrations, while GPR contributes intermittently. Shorter average spillover paths and higher clustering are consistent with a re-connected network in which commodity and volatility channels jointly transmit tail risks.
Fourth, 2022: Regional geopolitical conflict. Sensitivities to GPR and EPU rise markedly, and CIMV remains high; the OIL channel also intensifies with supply risk and price spikes, yet on average remains below GPR with EPU. Elevated degree centralization and low modularity indicate accelerated cross-community spillovers under core-node dominance, with geopolitical/policy uncertainty and market-volatility channels jointly amplifying tail risk transmission.
Figure 7 and Table 11 indicate significant differences in tail risk sensitivities to macroeconomic factors among different types of petroleum supply chain enterprises.
First, 2018: Trade frictions accompanied by pronounced volatility in China’s financial markets. Tail risk sensitivities to CIMV and LS rise across the network. This increase is most visible for end and downstream enterprises in the CIMV and GPR/EPU dimensions—consistent with headline-risk exposure and demand-side uncertainty—whereas the up- and midstream exhibit stronger sensitivity to LS, reflecting tighter funding conditions in China. The OIL channel remains comparatively contained for all four categories.
Second, early 2020: Public-health shock. Sensitivities tilt toward CIMV, and LS remains elevated. The up- and midstream maintain higher sensitivity to LS than the downstream and end, while OIL weakens for all categories as demand compression and inventory adjustments dampen the commodity channel. GPR and EPU are present but remain below the volatility–liquidity channels during the initial shock.
Third, 2021: Post-pandemic recovery. With demand normalization, sensitivity to OIL strengthens especially in downstream and end enterprises, narrowing its gap with LS, while CIMV continues to lead. Episodic increases in EPU are concentrated in the downstream and end segments. Table 11 is consistent with these patterns: OIL sensitivities are significantly higher in the downstream and end than in the up- and midstream.
Fourth, 2022: Regional geopolitical conflict. Sensitivities to GPR and EPU rise markedly, with the downstream and end registering the largest responses. CIMV remains high for all categories, and OIL intensifies, again mostly in the downstream and end. By contrast, LS remains stronger in the up- and midstream, in line with the pairwise results showing higher LS sensitivities for those categories. These patterns indicate that, under core-node dominance, geopolitical and policy-uncertainty channels together with market-volatility transmit tail risks broadly across the supply chain tiers in China.

3.4. Network-Level Structural Analysis of Tail Risk Spillovers

Figure 8 reports the network-level metrics of the tail risk spillover network among Chinese petroleum supply chain enterprises over the sample period. The detailed evidence is as follows:
First, 2018: Trade frictions accompanied by pronounced volatility in China’s financial markets. Network density and the average clustering coefficient rose jointly, while the average path length remained relatively short. These patterns indicate more spillover paths, tighter local ties, and shorter spillover routes. Assortativity remained negative, implying frequent spillovers from core nodes to peripheral nodes. Modularity was moderate to episodically elevated, and degree centralization increased without sustained concentration. Overall, spillover paths multiplied and tail risk spillovers accelerated, forming a core-to-periphery structure. Cross-community paths remained open, and under core-node dominance, the network retained some capacity for diversified risk absorption.
Second, early 2020: Public-health shock. Network density declined and the average path length increased, whereas the average clustering coefficient and modularity remained elevated. This configuration indicates stronger intra-community cohesion and weaker cross-community spillovers. Assortativity moved from near-zero back to negative with small magnitude; degree centralization showed episodic upticks but no persistent escalation. Overall, tail risk spillovers concentrated within local communities, cross-community spillovers were constrained, and the overall connectivity of spillovers declined.
Third, 2021: Post-pandemic recovery. Network density and the average clustering coefficient rebounded and remained relatively high, while the average path length shortened markedly. Modularity declined, assortativity remained negative, and degree centralization reached temporary highs. Overall, cross-community spillover paths reconnected and spillover efficiency recovered. The core–periphery structure remained stable, with spillovers further concentrated in a few core nodes.
Fourth, 2022: Regional geopolitical conflict. Network density remained high; the average path length was on average shorter, albeit volatile; and modularity was low. Assortativity was negative and stable, while degree centralization rose significantly. Overall, spillover paths became more core-dominated, and cross-community spillovers accelerated and broadened in scope. Core nodes centrally bore and transmitted tail risks from many nodes, producing a concentrated exposure pattern with high dependence.
Figure 9 indicates the tail risk spillover network structure derived from the R Q L N e t model. The results indicate that this model identifies spillover directions and intensities, whose distribution across distinct categories of petroleum supply chain enterprises closely corresponds to the empirical patterns documented in Chen et al. [19]. This demonstrates that the model effectively resolves the excessive penalization problem associated with traditional C o V a R estimation methods. While maintaining estimation accuracy, the model also captures a more realistic spillover mechanism of tail risk among nodes, highlighting its robustness and methodological rigor.

3.5. Data Validation

Table 12 reports the ADF unit-root test results for the log-return series of each node (enterprise) in the Chinese petroleum supply chain. All series refute the unit-root null at the 1% significance level; the ADF statistics range from −9.95 to −7.27, indicating stationarity. This stationarity provides the necessary precondition for subsequent tail risk spillover measurement and network construction. Methodologically, the ADF test is a classical tool for assessing stationarity in financial time-series and is widely used in empirical energy-finance research [56].
Table 13 reports the skewness and kurtosis of node-level returns for Chinese petroleum supply chain enterprises, which capture the asymmetry and tail heaviness of the log-return distribution. All nodes exhibit kurtosis above 3, indicating pronounced leptokurtosis and heavy tails. Skewness is two-sided across nodes—some are right-skewed and others are left-skewed—with a few nodes approximately symmetric. These characteristics indicate clear departures from normality and an elevated probability of tail events. Accordingly, tail-oriented risk measures provide a solid statistical foundation for this study. Identifying tail risk spillovers within a quantile framework enables a more accurate characterization of risk intensity and direction under extreme states, thereby providing a robust foundation for constructing the tail risk spillover network.
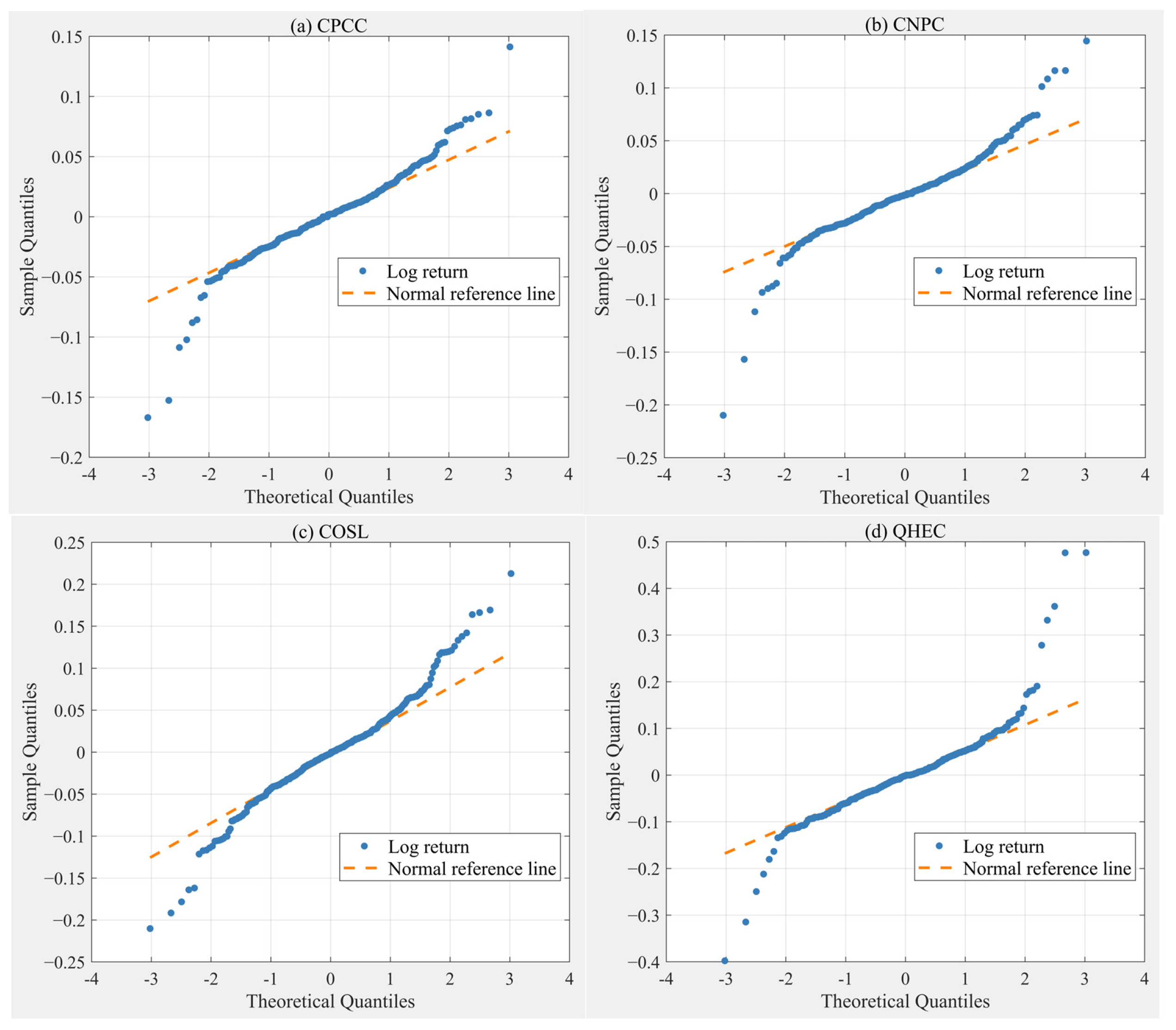
Figure 10 presents Q–Q plots of log returns for CPCC, CNPC, COSL, and QHEC to assess deviations from the theoretical normal distribution. The mid-quantiles broadly align with the reference line, while both tails bend away: the lower tail deviates downward and the upper tail upward, revealing pronounced asymmetry and heavy tails. This visual evidence corroborates the statistical findings in Table 9 and further indicates that the standard normal assumption is inadequate for capturing extreme risks in the oil market.

4. Conclusions

This study uses A-share listed Chinese petroleum supply chain enterprises from 2015 to 2023 as the sample. Incorporating micro- and macro-factors, we build the R Q L N e t model to measure tail risk spillovers at the enterprise level and their sensitivities to macroeconomic factors. On this basis, we construct the tail risk spillover network and analyze its network-level structural features. The conclusions are as follows:
(1)
The proposed R Q L N e t model improves tail risk estimation accuracy and enhances risk identification during non-tail states. Compared with traditional methods, this model alleviates excessive penalization of spillover weights. It also provides stronger economic interpretability and structural stability, particularly suitable for high-dimensional tail risk measurement.
(2)
Tail risk spillovers generally propagate from up- and midstream to downstream and ultimately to end enterprises. Reverse spillovers are limited in scope. Upstream enterprises direct outgoing spillovers mainly to down- and midstream enterprises, with occasional links to end enterprises, while risk acceptance is predominantly intra-category. Midstream enterprises direct outgoing spillovers chiefly to downstream enterprises, while also routing to the upstream and, at a limited set of nodes, to end enterprises; risk acceptance comes mainly from up- and downstream enterprises. Downstream enterprises exhibit strong within-category spillovers that extend to the end and midstream enterprises; their risk acceptance is primarily within the category and from up- and midstream enterprises. End enterprises direct outgoing spillovers mainly within the category and to downstream enterprises; their risk acceptance is primarily within the category, with a non-trivial share originating from mid- and downstream enterprises. Structurally, the up- and midstream are the principal sources, whereas the downstream and end enterprises are the principal recipients.
(3)
Tail risk sensitivities of Chinese petroleum supply chain enterprises differ significantly across macroeconomic factors, generally showing higher sensitivity toward China’s financial market fluctuations and liquidity tightening. Meanwhile, tail risk sensitivities also vary distinctly across enterprise types. Downstream and end enterprises display elevated sensitivities to financial-policy conditions and market signals, and they respond materially to GPR and EPU in major shock episodes. Upstream enterprises are more sensitive to LS than to OIL, and oil-price shocks raise their tail risk in an episodic rather than persistent manner. Midstream enterprises remain relatively less sensitive in most periods, with a stronger response to LS and material increases only when logistics are severely disrupted.
(4)
The tail risk spillover network of Chinese petroleum supply chain enterprises exhibits stage-wise dynamics over the sample period. During trade frictions, spillover paths increase and propagation accelerates, core-to-periphery spillovers strengthen, while cross-community spillovers remain accessible. In the early phase of public-health events, spillovers concentrate within local communities, cross-community spillovers are constrained, and overall reachability declines. In the subsequent phase, cross-community links recover, spillover efficiency improves, and tail risk spillovers become further concentrated in a few core nodes. During geopolitical conflicts, spillovers are core-dominated, cross-community spillovers accelerate and broaden in coverage, and the network exhibits heightened dependence on core nodes.
This study constructs the R Q L N e t model to improve the accuracy of tail risk estimation and optimize the excessive penalization issue in spillover weights. However, this study faces limitations due to the reliance on cross-sectional data, which is commonly used in most econometric analyses of financial data, such as log-returns at specific time points. While some research has adopted interval econometrics to enhance the representativeness of the data over time, these approaches still exhibit limitations. Future research can expand upon this work by incorporating the latest artificial intelligence algorithms to capture more comprehensive interval data, which will provide better time representativeness for risk measurement and contribute to a more robust tail risk analysis.

Author Contributions

X.Z.: Data Curation, Writing—Original draft preparation and Analysis. L.W.: Conceptualization, Methodology and Project Administration. T.C. and T.X.: Formal analysis, Writing—Review and Editing, Funding Acquisition and Supervision. All authors have read and agreed to the published version of the manuscript.

Funding

This research is supported by Major projects of the National Social Science Foundation (22&ZD122), Youth Project of the National Social Science Foundation (25CJY108), National Natural Science Foundation of China (72342024).

Data Availability Statement

The raw data supporting the conclusions of this article will be made available by the authors on request.

Conflicts of Interest

The authors declare no conflicts of interest.

References

  1. Känzig, D.R. The Macroeconomic Effects of Oil Supply News: Evidence from OPEC Announcements. Am. Econ. Rev. 2021, 111, 1092–1125. [Google Scholar] [CrossRef]
  2. Choi, S.; Furceri, D.; Loungani, P.; Mishra, S.; Poplawski-Ribeiro, M. Oil prices and inflation dynamics: Evidence from advanced and developing economies. J. Int. Money Financ. 2018, 82, 71–96. [Google Scholar] [CrossRef]
  3. Gilje, E.P.; Loutskina, E.; Murphy, D. Drilling and Debt. J. Financ. 2020, 75, 1287–1325. [Google Scholar] [CrossRef]
  4. Yu, H.; Bansal, P.; Arjaliès, D.-L. International business is contributing to environmental crises. J. Int. Bus. Stud. 2023, 54, 1151–1169. [Google Scholar] [CrossRef]
  5. Saunders, A.; Spina, A.; Steffen, S.; Streitz, D.; Goldstein, I. Corporate Loan Spreads and Economic Activity. Rev. Financ. Stud. 2025, 38, 507–546. [Google Scholar] [CrossRef]
  6. Zhang, S. Carbon Returns across the Globe. J. Financ. 2024, 80, 615–645. [Google Scholar] [CrossRef]
  7. Yang, W.; Che, Z. Shadow banking risk exposure and green new quality productivity forces resilience: Pathways to development for Chinese firms. Int. Rev. Financ. Anal. 2025, 102, 104057. [Google Scholar] [CrossRef]
  8. Zhang, Y.; Gabauer, D.; Gupta, R.; Ji, Q. How connected is the oil-bank network? Firm-level and high-frequency evidence. Energy Econ. 2024, 136, 107684. [Google Scholar] [CrossRef]
  9. Nasrallah, N.; El Khoury, R.; Atayah, O.F.; Marashdeh, H.; Najaf, K. The impact of carbon awareness, country-governance, and innovation on the cost of equity: Evidence from oil and gas firms. Res. Int. Bus. Financ. 2025, 73, 102640. [Google Scholar] [CrossRef]
  10. Lamb, W.F.; Low, S.; Gordon, L.-M.; Mattila, M. How are oil and gas firms integrating carbon dioxide removal into their climate strategies? Energy Res. Soc. Sci. 2025, 127, 104237. [Google Scholar] [CrossRef]
  11. Dew-Becker, I. Tail Risk in Production Networks. Econometrica 2023, 91, 2089–2123. [Google Scholar] [CrossRef]
  12. Hau, L.; Liu, X.; Wu, X. Multiscale cross-sector tail credit risk spillovers in China: Evidence from EEMD-based VAR quantile analysis. Res. Int. Bus. Financ. 2025, 73, 102602. [Google Scholar] [CrossRef]
  13. Ma, Y.; Wei, B. Extreme conditional tail risk inference in ARMA–GARCH models. J. Econ. Dyn. Control 2025, 177, 105128. [Google Scholar] [CrossRef]
  14. Li, H.; Li, Y.; Luo, F.; Guo, L. Navigating extreme risk spillovers: Building a synergistic network of rare earths, green bonds, and clean energy markets in China. Energy Econ. 2025, 147, 108562. [Google Scholar] [CrossRef]
  15. Bei, H.; Wang, Q.; Yan, X.; Geng, X. Multiscale extreme risk spillover between shipping and commodity markets: An analysis based on GARCH-Copula-CoVaR. Energy Econ. 2025, 148, 108564. [Google Scholar] [CrossRef]
  16. Adrian, T.; Brunnermeier, M.K. CoVaR. Am. Econ. Rev. 2016, 106, 1705–1741. [Google Scholar] [CrossRef]
  17. Yang, G.; Li, Y.; Liu, X. Asymmetry and determinants of financial connectivity in G20: Evidence from a quantile-based and lasso regression analysis. N. Am. J. Econ. Financ. 2025, 77, 102379. [Google Scholar] [CrossRef]
  18. Yao, Y.; Feng, Z.; Liu, X. Heterogeneous information transmission between climate policy uncertainty and Chinese new energy markets: A quantile-on-quantile transfer entropy method. Int. Rev. Financ. Anal. 2025, 103, 104175. [Google Scholar] [CrossRef]
  19. Chen, T.; Zheng, X.; Wang, L. Systemic risk among Chinese oil and petrochemical firms based on dynamic tail risk spillover networks. N. Am. J. Econ. Financ. 2025, 77, 102404. [Google Scholar] [CrossRef]
  20. Jin, X.; Hussain Chang, B.; Han, C.; Uddin, M.A. The tail connectedness among conventional, religious, and sustainable investments: An empirical evidence from neural network quantile regression approach. Int. J. Financ. Econ. 2024, 30, 1124–1142. [Google Scholar] [CrossRef]
  21. Wu, R. Forecasting the European Union allowance price tail risk with the integrated deep belief and mixture density networks. Chaos Solitons Fractals 2025, 199, 116786. [Google Scholar] [CrossRef]
  22. Zhang, S.; Xu, Q.; Ding, X.; Han, K. Risk spillover between cryptocurrencies and traditional currencies: An analysis based on neural network quantile regression. Phys. A Stat. Mech. Its Appl. 2025, 667, 130560. [Google Scholar] [CrossRef]
  23. Wang, L.; Wang, Y.; Wang, J.; Yu, L. Forecasting nonlinear green bond yields in China: Deep learning for improved accuracy and policy awareness. Financ. Res. Lett. 2025, 85, 107889. [Google Scholar] [CrossRef]
  24. Lu, P.; Wang, Z.; Lu, K. Climate Disaster, Investor Attention, and Tail Risk: Graph-based CoVaR. Econ. Lett. 2025, 253, 112378. [Google Scholar] [CrossRef]
  25. Wu, F.; Xiao, X.; Zhou, X.; Zhang, D.; Ji, Q. Complex risk contagions among large international energy firms: A multi-layer network analysis. Energy Econ. 2022, 114, 106271. [Google Scholar] [CrossRef]
  26. Uddin, G.S.; Luo, T.; Yahya, M.; Jayasekera, R.; Rahman, M.L.; Okhrin, Y. Risk network of global energy markets. Energy Econ. 2023, 125, 106882. [Google Scholar] [CrossRef]
  27. Foglia, M.; Angelini, E.; Huynh, T.L.D. Tail risk connectedness in clean energy and oil financial market. Ann. Oper. Res. 2022, 334, 575–599. [Google Scholar] [CrossRef]
  28. Xing, X.; Xu, Z.; Wang, X.; Guo, K. Climate risk performance and tail risk contagion in energy stock markets: Evidence from China. Res. Int. Bus. Financ. 2025, 79, 103035. [Google Scholar] [CrossRef]
  29. Qi, X.; Zhao, T. Risk formulation mechanism among top global energy companies under large shocks. PLoS ONE 2025, 20, e0322462. [Google Scholar] [CrossRef]
  30. Deng, J.; Wang, S.; Hou, H.; Zheng, J.; Yin, S.; Chen, G. Asymmetric and heterogeneous impacts of climate policy uncertainty on risk spillovers in China’s traditional energy sector: A tail risk spillover network approach. Sustain. Futures 2025, 10, 100842. [Google Scholar] [CrossRef]
  31. Härdle, W.K.; Wang, W.; Yu, L. TENET: Tail-Event driven NETwork risk. J. Econom. 2016, 192, 499–513. [Google Scholar] [CrossRef]
  32. Duan, Y.; Mu, C.; Yang, M.; Deng, Z.; Chin, T.; Zhou, L.; Fang, Q. Study on early warnings of strategic risk during the process of firms’ sustainable innovation based on an optimized genetic BP neural networks model: Evidence from Chinese manufacturing firms. Int. J. Prod. Econ. 2021, 242, 108293. [Google Scholar] [CrossRef]
  33. Bai, L.; Song, C.; Zhou, X.; Tian, Y.; Wei, L. Assessing project portfolio risk via an enhanced GA-BPNN combined with PCA. Eng. Appl. Artif. Intell. 2023, 126, 106779. [Google Scholar] [CrossRef]
  34. Allouche, M.; Girard, S.; Gobet, E. Learning extreme expected shortfall and conditional tail moments with neural networks. Application to cryptocurrency data. Neural Netw. 2025, 182, 106903. [Google Scholar] [CrossRef]
  35. Belloni, A.; Chernozhukov, V. ℓ1-penalized quantile regression in high-dimensional sparse models. Ann. Stat. 2011, 39, 82–130. [Google Scholar] [CrossRef]
  36. Chernozhukov, V.; Karl Härdle, W.; Huang, C.; Wang, W. LASSO-driven inference in time and space. Ann. Stat. 2021, 49, 1702–1735. [Google Scholar] [CrossRef]
  37. Akadiri, S.S.; Ozkan, O. Risk across the spectrum: Unpacking the nexus of global oil uncertainty, geopolitical tensions, energy volatility, and US-China trade tensions. Energy Policy 2025, 202, 114609. [Google Scholar] [CrossRef]
  38. Li, D.; Zhang, F.; Yuan, D.; Cai, Y. Does COVID-19 impact the dependence between oil and stock markets? Evidence from RCEP countries. Int. Rev. Econ. Financ. 2024, 89, 909–939. [Google Scholar] [CrossRef]
  39. Almutairi, H.; Pierru, A.; Smith, J.L. Pandemic, Ukraine, OPEC+ and strategic stockpiles: Taming the oil market in turbulent times. Energy Econ. 2025, 144, 108319. [Google Scholar] [CrossRef]
  40. Che, Z.; Wu, C.; Liu, X. A four-factor model of knowledge agglomeration. Asia Pac. J. Manag. 2024. [Google Scholar] [CrossRef]
  41. Naeem, M.A.; Yousaf, I.; Karim, S.; Yarovaya, L.; Ali, S. Tail-event driven NETwork dependence in emerging markets. Emerg. Mark. Rev. 2023, 55, 100971. [Google Scholar] [CrossRef]
  42. Gong, X.-L.; Feng, Y.-K.; Liu, J.-M.; Xiong, X. Study on international energy market and geopolitical risk contagion based on complex network. Resour. Policy 2023, 82, 103495. [Google Scholar] [CrossRef]
  43. Caldara, D.; Iacoviello, M. Measuring Geopolitical Risk. Am. Econ. Rev. 2022, 112, 1194–1225. [Google Scholar] [CrossRef]
  44. Baker, S.R.; Bloom, N.; Davis, S.J. Measuring Economic Policy Uncertainty. Q. J. Econ. 2016, 131, 1593–1636. [Google Scholar] [CrossRef]
  45. Huang, Y.; Luk, P. Measuring economic policy uncertainty in China. China Econ. Rev. 2020, 59, 101367. [Google Scholar] [CrossRef]
  46. Ren, X.; Wang, S.; Mao, W.; Gozgor, G. Greening the energy industry: An efficiency analysis of China’s listed new energy companies and its market spillovers. Energy Econ. 2025, 145, 108414. [Google Scholar] [CrossRef]
  47. Jiang, D.; Jia, F.; Han, X. Quantile return and volatility spillovers and drivers among energy, electricity, and cryptocurrency markets. Energy Econ. 2025, 144, 108307. [Google Scholar] [CrossRef]
  48. He, Z.; Qian, W.; Miftah, B.; Zoynul Abedin, M. Quantile time-frequency spillovers among climate policy uncertainty, energy markets, and stock markets. Int. Rev. Econ. Financ. 2025, 103, 104428. [Google Scholar] [CrossRef]
  49. Ye, W.; Hu, C.; Guo, R. Tail risk network of Chinese green-related stocks market. Financ. Res. Lett. 2024, 67, 105802. [Google Scholar] [CrossRef]
  50. Zhang, X.; You, H. Network volatility, contagion, and two-pillar policies: Insights from Chinese financial sector data. N. Am. J. Econ. Financ. 2025, 79, 102449. [Google Scholar] [CrossRef]
  51. Zhang, Y.J.; Zhao, W. Tail Risks Everywhere and Crude Oil Returns: New Insights From Predictive Quantile Approaches. J. Futures Mark. 2025, 45, 685–704. [Google Scholar] [CrossRef]
  52. Taylor, J.W. Forecasting Value at Risk and Expected Shortfall Using a Semiparametric Approach Based on the Asymmetric Laplace Distribution. J. Bus. Econ. Stat. 2017, 37, 121–133. [Google Scholar] [CrossRef]
  53. Christoffersen, P.F. Evaluating Interval Forecasts. Int. Econ. Rev. 1998, 39, 841. [Google Scholar] [CrossRef]
  54. Ben Jabeur, S.; Boubaker, S.; Carmona, P.; Stef, N. How do environmental concerns and global economic conditions affect energy prices? Energy Policy 2025, 204, 114680. [Google Scholar] [CrossRef]
  55. Fang, X.; Liu, Y.; Roussanov, N.; Koijen, R. Getting to the Core: Inflation Risks Within and Across Asset Classes. Rev. Financ. Stud. 2025, hhaf050. [Google Scholar] [CrossRef]
  56. Jiang, Z.; Dong, X.; Yoon, S.-M. Impact of oil prices on key energy mineral prices: Fresh evidence from quantile and wavelet approaches. Energy Econ. 2025, 145, 108461. [Google Scholar] [CrossRef]
Figure 1. The research framework.
Figure 1. The research framework.
Systems 13 00874 g001
Figure 2. C o V a R estimation flowchart based on R Q L N e t model.
Figure 2. C o V a R estimation flowchart based on R Q L N e t model.
Systems 13 00874 g002
Figure 3. Log return series of the CNPC enterprise and C o V a R estimates from five comparative models.
Figure 3. Log return series of the CNPC enterprise and C o V a R estimates from five comparative models.
Systems 13 00874 g003
Figure 4. Heatmap of tail risk spillover weights among all nodes at a selected point in time: (a) M L ; (b) R Q L N e t .
Figure 4. Heatmap of tail risk spillover weights among all nodes at a selected point in time: (a) M L ; (b) R Q L N e t .
Systems 13 00874 g004
Figure 5. Heatmap of aggregate tail risk spillover weights across all nodes during the sample period: (a) M L ; (b) R Q L N e t .
Figure 5. Heatmap of aggregate tail risk spillover weights across all nodes during the sample period: (a) M L ; (b) R Q L N e t .
Systems 13 00874 g005
Figure 6. Network-level tail risk sensitivities of Chinese petroleum supply chain enterprises to macroeconomic factors.
Figure 6. Network-level tail risk sensitivities of Chinese petroleum supply chain enterprises to macroeconomic factors.
Systems 13 00874 g006
Figure 7. Tail risk sensitivities to macroeconomic factors across four types of Chinese petroleum supply chain enterprises: (a) CIMV; (b) LS; (c) OIL; (d) GPR; (e) EPU.
Figure 7. Tail risk sensitivities to macroeconomic factors across four types of Chinese petroleum supply chain enterprises: (a) CIMV; (b) LS; (c) OIL; (d) GPR; (e) EPU.
Systems 13 00874 g007
Figure 8. Network-level indicators of overall tail risk spillover characteristics: (a) Density; (b) Average clustering coefficient; (c) Average path length; (d) Assortativity; (e) Modularity; (f) Degree centralization.
Figure 8. Network-level indicators of overall tail risk spillover characteristics: (a) Density; (b) Average clustering coefficient; (c) Average path length; (d) Assortativity; (e) Modularity; (f) Degree centralization.
Systems 13 00874 g008aSystems 13 00874 g008b
Figure 9. Tail risk spillover network among Chinese petroleum supply chain enterprises derived from the R Q L N e t model.
Figure 9. Tail risk spillover network among Chinese petroleum supply chain enterprises derived from the R Q L N e t model.
Systems 13 00874 g009
Figure 10. Q–Q plots of log returns for selected nodes: (a) COSL, (b) QHEC, (c) COSL, (d) QHEC.
Figure 10. Q–Q plots of log returns for selected nodes: (a) COSL, (b) QHEC, (c) COSL, (d) QHEC.
Systems 13 00874 g010
Table 1. Enterprise (node) information and classification.
Table 1. Enterprise (node) information and classification.
ExplorationTransportationRefiningPetrochemical
(1) CPCC (600028)(9) OOE(600583)(17) RP (002493)(25) JES(000301)
(2) CNPC (601857)(10) CPE(600339)(18) YYXCP (000819)(26) SET(601208)
(3) COSL (601808)(11) ZJJLHM(002318)(19) NHCI (000059)(27) GHRAP(300320)
(4) HBP (002554)(12) GE (600256)(20) SSP (600688)(28) AAMT(300218)
(5) QHEC (300191)(13) HYEG (600387)(21) HYP(000703)(29) STINM(300321)
(6) TPC (300164)(14) SIC (600500)(22) MPS(000637)(30) JYFT(300305)
(7) XJZDPTC (002207)(15) SSCG (002469)(23) DQHK(000985)(31) JSSFPM(600370)
(8) ZJRZ (002629)(16) HZOPG (002430)(24) SSTP (000554)(32) HFC(002064)
Note(s): The format is enterprise number, English abbreviation, stock code.
Table 2. Microeconomic factors.
Table 2. Microeconomic factors.
Intra-Enterprise Characteristic VariablesA Concrete Explanation
Total assets (SIZE)Total assets on firm financial statements
Market-to-book ratio (MTB)Market price of shares/net assets value per share
Maturity mismatch (MM)(Current liabilities—current assets)/total liabilities
Leverage (LEV)Total assets/total equity
Table 3. Macroeconomic factors.
Table 3. Macroeconomic factors.
Macro-State Variables (M)A Concrete Explanation
China implied volatility index (CIMV)Calculated from the VIX algorithm
Chinese crude-oil futures return (OIL)Weekly log return of crude-oil futures traded on the Shanghai Futures Exchange
China geopolitical risk index (GPR)Constructed following Caldara et al. [43]
Oil market macro-yield (WI)Weekly returns for oil, gas, and fuels for consumption (Full Return Index)
Term spread (YS)Yield to maturity on 10-year Treasury bonds minus yield to maturity on 6-month Treasury bonds
Liquidity spread (LS)March interbank offered rate minus March Treasury yield to maturity rate
Chemical firm index return (CR)SSE chemical firm weekly returns
Credit spread (CS)Difference between the yield to maturity on 10-year Treasury bonds and the yield to maturity on 10-year AAA corporate bonds
China economic policy uncertainty index (EPU)Constructed following Baker, Bloom, and Davis [44] and extended by Huang and Luk [45]
Table 4. Statistical assessment of C o V a R estimates based on five models.
Table 4. Statistical assessment of C o V a R estimates based on five models.
ModelMean Pinball LossMean Pinball Loss 95% CI (Low–High)Christoffersen StatChristoffersen p-Value
RQLNet0.00103(0.00091–0.00114)0.052330.81906
lasso0.01416(0.01161–0.01670)21.414230
ML0.00162(0.00140–0.00183)0.456380.49932
GBM0.00305(0.00219–0.00392)0.478480.48911
QVAR0.07144(0.05730–0.08558)3.538330.05997
Table 5. Statistical evaluation of C o V a R measures across quantile levels for the R Q L N e t model.
Table 5. Statistical evaluation of C o V a R measures across quantile levels for the R Q L N e t model.
Quantile-Level PairPearson Correlation CoefficientTwo-Sided p-ValueSignificance
0.05–0.030.947166.24952 × 10−173***
0.05–0.010.92783.21060 × 10−150***
0.03–0.010.975353.81145 ×10−229***
Node(s): p < 0.01, significance = ‘***’; p < 0.05, significance = ‘**’; p < 0.1, significance = ‘*’.
Table 6. Ranking of tail risk spillover targets by intensity for all enterprises.
Table 6. Ranking of tail risk spillover targets by intensity for all enterprises.
NodeTop 3 Spillover TargetsNodeTop 3 Spillover Targets
CPCCCNPC > SSP > STINMRPHZOPG > HYP > JES
CNPCGHRAP > CPCC > STINMYYXCPDQHK > ZJRZ > HZOPG
COSLOOE > QHEC > HYEGNHCIZJRZ > MPS > RP
HBPTPC > DQHK > QHECSSPNHCI > COSL > CPCC
QHECSSCG > SSTP > TPCHYPRP > JES > JYFT
TPCXJZDPTC > HBP > ZJRZMPSZJRZ > JYFT > YYXCP
XJZDPTCTPC > ZJRZ > MPSDQHKYYXCP > ZJRZ > SSTP
ZJRZYYXCP > SSTP > HFCSSTPZJRZ > QHEC > DQHK
OOECOSL > ZJJLHM > ZJRZJESXJZDPTC > RP > DQHK
CPEAAMT > MPS > SETSETGHRAP > AAMT > MPS
ZJJLHMJES > MPS > ZJRZGHRAPSSCG > YYXCP > SET
GEMPS > JES > SSCGAAMTJYFT > STINM > GHRAP
HYEGZJRZ > MPS > HYPSTINMAAMT > JYFT > JSSFPM
SICYYXCP > MPS > JESJYFTSTINM > ZJJLHM > AAMT
SSCGZJRZ > STINM > JYFTJSSFPMJES > AAMT > DQHK
HZOPGMPS > RP > XJZDPTCHFCZJRZ > RP > JSSFPM
Table 7. Ranking of tail risk acceptance sources by intensity for all enterprises.
Table 7. Ranking of tail risk acceptance sources by intensity for all enterprises.
NodeTop 3 Acceptance SourceNodeTop 3 Acceptance Source
CPCCCPE > COSL > HZOPGRPHZOPG > HYP > JES
CNPCCPCC > SSTP > COSLYYXCPSIC > DQHK > ZJRZ
COSLOOE > QHEC > HBPNHCISSP > YYXCP > HBP
HBPTPC > QHEC > ZJRZSSPSSTP > CPCC > COSL
QHECHBP > COSL > TPCHYPRP > HYEG > QHEC
TPCHBP > XJZDPTC > QHECMPSHZOPG > XJZDPTC > CPE
XJZDPTCTPC > HBP > JESDQHKYYXCP > HBP > ZJRZ
ZJRZTPC > SSTP > XJZDPTCSSTPQHEC > ZJRZ > DQHK
OOECOSL > TPC > CPEJESHBP > JSSFPM > RP
CPEHBP > TPC > JESSETCPE > GHRAP > STINM
ZJJLHMSTINM > JYFT > ZJRZGHRAPSTINM > AAMT > SET
GESET > HBP > JESAAMTSTINM > CPE > JSSFPM
HYEGZJRZ > SSTP > COSLSTINMJYFT > AAMT > TPC
SICYYXCP > AAMT > SSCGJYFTSTINM > AAMT > HYP
SSCGQHEC > ZJRZ > STINMJSSFPMSTINM > DQHK > HYP
HZOPGRP > YYXCP > STINMHFCZJRZ > JSSFPM > RP
Table 8. Ranking of top three intermediary spillover targets by number for intermediate nodes in tail risk spillover paths.
Table 8. Ranking of top three intermediary spillover targets by number for intermediate nodes in tail risk spillover paths.
NodeTop Three Spillover TargetsNodeTop Three Spillover Targets
CPCCCNPC > SSP > RPRPJES > HZOPG > HYP
CNPCCPCC > SSTP > STINMYYXCPDQHK > QHEC > JYFT
COSLOOE > QHEC > SSPNHCIHZOPG > SSP > XJZDPTC
HBPTPC > JES > QHECSSPCPCC > JYFT > COSL
QHECTPC > ZJJLHM > SSTPHYPRP > JES > TPC
TPCHBP > XJZDPTC > QHECMPSHYEG > XJZDPTC > CPCC
XJZDPTCTPC > SSCG > HBPDQHKYYXCP > SSTP > HBP
ZJRZYYXCP > ZJJLHM > SSCGSSTPZJRZ > QHEC > TPC
OOECOSL > ZJJLHM > TPCJESRP > XJZDPTC > GE
CPEHZOPG > HYEG > OOESETGHRAP > JES > GE
ZJJLHMJSSFPM > JES > HZOPGGHRAPZJRZ > JYFT > SET
GESSTP > HZOPG > JESAAMTSET > SSCG > DQHK
HYEGHBP > ZJRZ > MPSSTINMTPC > QHEC > ZJRZ
SICSSTP > NHCI > JESJYFTSTINM > HFC > DQHK
SSCGZJRZ > QHEC > STINMJSSFPMAAMT > DQHK > ZJJLHM
HZOPGZJRZ > RP > XJZDPTCHFCAAMT > ZJRZ > RP
Table 9. Ranking of top three intermediary acceptance sources by number for intermediate nodes in tail risk spillover paths.
Table 9. Ranking of top three intermediary acceptance sources by number for intermediate nodes in tail risk spillover paths.
NodeTop Three Acceptance SourcesNodeTop Three Acceptance Sources
CPCCQHEC > DQHK > XJZDPTCRPHYP > HZOPG > HFC
CNPCGHRAP > ZJJLHM > STINMYYXCPZJRZ > GHRAP > SIC
COSLOOE > CPE > SSPNHCIHYEG > SSP > SET
HBPTPC > CPE > COSLSSPSSTP > JSSFPM > HYEG
QHECHBP > TPC > COSLHYPHYEG > RP > QHEC
TPCHBP > STINM > XJZDPTCMPSHZOPG > CPE > HYEG
XJZDPTCTPC > MPS > JESDQHKYYXCP > JES > HBP
ZJRZHYEG > DQHK > HZOPGSSTPDQHK > SIC > HBP
OOECOSL > CPE > GEJESRP > GE > HYP
CPEHBP > TPC > GHRAPSETAAMT > GHRAP > JSSFPM
ZJJLHMZJRZ > QHEC > HZOPGGHRAPJES > HYEG > NHCI
GECPE > JSSFPM > SETAAMTCPE > JSSFPM > STINM
HYEGMPS > HYP > COSLSTINMSSCG > JYFT > HYEG
SICSSP > JES > NHCIJYFTJES > ZJJLHM > GHRAP
SSCGZJJLHM > JYFT > AAMTJSSFPMZJJLHM > DQHK > HYEG
HZOPGNHCI > RP > CPEHFCNHCI > JSSFPM > ZJJLHM
Table 10. T-test results for network-level tail risk sensitivities to macroeconomic factors.
Table 10. T-test results for network-level tail risk sensitivities to macroeconomic factors.
ComparisonStatisticp-ValueSignificanceComparisonStatisticp-ValueSignificance
CIMV vs. LS4.394841.29375 × 10−5***LS vs. GPRD−0.191130.848485
CIMV vs. OIL8.944133.40046 × 10−18***LS vs. EPU1.100740.27141
CIMV vs. GPRD3.450905.93302 × 10−4***OIL vs. GPRD−4.671883.61378 × 10−6***
CIMV vs. EPU4.852381.50780 × 10−6***OIL vs. EPU−3.790861.63308 × 10−4***
LS vs. OIL5.519524.86362 × 10−8***GPRD vs. EPU1.085190.27821
Node(s): p < 0.01, significance = ‘***’; p < 0.05, significance = ‘**’; p < 0.1, significance = ‘*’.
Table 11. T-test results for tail risk sensitivities to macroeconomic factors across four types of enterprises.
Table 11. T-test results for tail risk sensitivities to macroeconomic factors across four types of enterprises.
ComparisonStatisticp-ValueSignificanceComparisonStatisticp-ValueSignificance
Exploration–Transportation (CIMV)−1.957570.05068*Transportation–Refining (CIMV)0.253840.79969
Exploration–Refining (CIMV)−1.822820.06876*Transportation–Petrochemical (CIMV)−2.201490.02803**
Exploration–Petrochemical (CIMV)−4.174843.37337 × 10−5***Refining–Petrochemical (CIMV)−2.568160.01044**
Exploration–Transportation (LS)1.269050.20487 Transportation–Refining (LS)1.694950.09053*
Exploration–Refining (LS)2.722360.00665***Transportation–Petrochemical (LS)4.310111.88308 × 10−5***
Exploration–Petrochemical (LS)4.943281.01539 × 10−6***Refining–Petrochemical (LS)2.446450.01468**
Exploration–Transportation (OIL)−1.999390.04595**Transportation–Refining (OIL)−3.859171.25163 × 10−4***
Exploration–Refining (OIL)−5.543554.30165 × 10−8***Transportation–Petrochemical (OIL)−3.523004.56410 × 10−4***
Exploration–Petrochemical (OIL)−5.231482.26088 × 10−7***Refining–Petrochemical (OIL)0.342470.73209
Exploration–Transportation (GPR)−0.724170.46920 Transportation–Refining (GPR)−4.965578.76225 × 10−7***
Exploration–Refining (GPR)−5.557053.99297 × 10−8***Transportation–Petrochemical (GPR)−3.583373.66999 × 10−4***
Exploration–Petrochemical (GPR)−4.122614.27329 × 10−5***Refining–Petrochemical (GPR)0.772280.44021
Exploration–Transportation (EPU)−4.956149.36660 × 10−7***Transportation–Refining (EPU)−5.081784.91907 × 10−7***
Exploration–Refining (EPU)−9.605483.63996 × 10−20***Transportation–Petrochemical (EPU)−3.048500.00239***
Exploration–Petrochemical (EPU)−7.212242.08910 × 10−12***Refining–Petrochemical (EPU)1.697730.09000*
Node(s): p < 0.01, significance = ‘***’; p < 0.05, significance = ‘**’; p < 0.1, significance = ‘*’.
Table 12. Robustness tests of log returns for all enterprises (nodes).
Table 12. Robustness tests of log returns for all enterprises (nodes).
NodeADF Statisticp-ValueConclusionNodeADF Statisticp-ValueConclusion
CPCC−8.787790.01StationaryRP−8.007380.01Stationary
CNPC−9.417730.01StationaryYYXCP−8.686180.01Stationary
COSL−8.445550.01StationaryNHCI−8.303750.01Stationary
HBP−8.819470.01StationarySSP−9.300110.01Stationary
QHEC−7.522070.01StationaryHYP−8.666390.01Stationary
TPC−8.219890.01StationaryMPS−8.681470.01Stationary
XJZDPTC−7.266030.01StationaryDQHK−9.954720.01Stationary
ZJRZ−8.698480.01StationarySSTP−8.718140.01Stationary
OOE−7.944590.01StationaryJES−7.514870.01Stationary
CPE−8.016110.01StationarySET−7.840430.01Stationary
ZJJLHM−8.382140.01StationaryGHRAP−8.053840.01Stationary
GE−7.894400.01StationaryAAMT−7.733040.01Stationary
HYEG−8.641280.01StationarySTINM−8.033540.01Stationary
SIC−8.877320.01StationaryJYFT−8.190520.01Stationary
SSCG−8.623440.01StationaryJSSFPM−7.472260.01Stationary
HZOPG−7.782420.01StationaryHFC−8.633090.01Stationary
Node(s): p < 0.05 = Stationary.
Table 13. Distributional characteristics of log returns for all nodes.
Table 13. Distributional characteristics of log returns for all nodes.
Node Skewness Kurtosis Node Skewness Kurtosis
CPCC0.043694.14728RP0.379584.27340
CNPC0.418365.03359YYXCP0.199514.17136
COSL0.157524.45500NHCI−0.276043.86351
HBP0.211644.49154SSP0.539515.52913
QHEC1.270348.27444HYP−0.145423.29013
TPC−0.189483.94094MPS0.368723.8083
XJZDPTC0.272024.77516DQHK0.336234.66559
ZJRZ0.456275.62533SSTP−0.216844.30000
OOE−0.359044.79589JES0.430885.64143
CPE0.400184.71072SET−0.010443.81477
ZJJLHM−0.14184.14639GHRAP−0.064894.58036
GE0.314934.55317AAMT0.002554.07500
HYEG−0.346014.02324STINM−0.461364.64365
SIC−0.496715.17934JYFT0.138954.84106
SSCG−0.073714.37548JSSFPM0.199305.55749
HZOPG0.151003.43068HFC−0.169063.91033
Disclaimer/Publisher’s Note: The statements, opinions and data contained in all publications are solely those of the individual author(s) and contributor(s) and not of MDPI and/or the editor(s). MDPI and/or the editor(s) disclaim responsibility for any injury to people or property resulting from any ideas, methods, instructions or products referred to in the content.

Share and Cite

MDPI and ACS Style

Zheng, X.; Wang, L.; Chen, T.; Xu, T. Quantifying Tail Risk Spillovers in Chinese Petroleum Supply Chain Enterprises: A Neural-Network-Inspired Multi-Layer Machine Learning Framework. Systems 2025, 13, 874. https://doi.org/10.3390/systems13100874

AMA Style

Zheng X, Wang L, Chen T, Xu T. Quantifying Tail Risk Spillovers in Chinese Petroleum Supply Chain Enterprises: A Neural-Network-Inspired Multi-Layer Machine Learning Framework. Systems. 2025; 13(10):874. https://doi.org/10.3390/systems13100874

Chicago/Turabian Style

Zheng, Xin, Lei Wang, Tingqiang Chen, and Tao Xu. 2025. "Quantifying Tail Risk Spillovers in Chinese Petroleum Supply Chain Enterprises: A Neural-Network-Inspired Multi-Layer Machine Learning Framework" Systems 13, no. 10: 874. https://doi.org/10.3390/systems13100874

APA Style

Zheng, X., Wang, L., Chen, T., & Xu, T. (2025). Quantifying Tail Risk Spillovers in Chinese Petroleum Supply Chain Enterprises: A Neural-Network-Inspired Multi-Layer Machine Learning Framework. Systems, 13(10), 874. https://doi.org/10.3390/systems13100874

Note that from the first issue of 2016, this journal uses article numbers instead of page numbers. See further details here.

Article Metrics

Back to TopTop