Next Article in Journal
Systems Approach for the Adoption of New Technologies in Enterprises
Previous Article in Journal
Study on the Evolutionary Mechanism of Double-Round Monopoly of Super Platforms in China—Based on Four-Party Evolutionary Game
 
 
Font Type:
Arial Georgia Verdana
Font Size:
Aa Aa Aa
Line Spacing:
Column Width:
Background:
Article

Dynamic Mechanism of Digital Transformation in Equipment Manufacturing Enterprises Based on Evolutionary Game Theory: Evidence from China

1
Business School, Taizhou University, Taizhou 318000, China
2
School of Public Administration, Nanjing University of Finance and Economics, Nanjing 210003, China
*
Author to whom correspondence should be addressed.
Systems 2023, 11(10), 493; https://doi.org/10.3390/systems11100493
Submission received: 14 August 2023 / Revised: 19 September 2023 / Accepted: 23 September 2023 / Published: 25 September 2023

Abstract

:
The digital transformation of equipment manufacturing enterprises is a gradual process in which enterprises, governments, and consumers form stakeholders. The equipment manufacturing enterprise is the executive body of digital transformation, the government is the maker of subsidy policies, and consumers are the users of digital products. The impact of the tripartite relationship on the efficacy of digital transformation requires further investigation. This article applies evolutionary game theory to scrutinize the propelling mechanism behind digital transformation in manufacturing firms specializing in equipment production. The research results show that (1) the intensity of government subsidies significantly affects the transformation progress of equipment manufacturing enterprises; (2) the increase in consumer preference accelerates the evolution speed of enterprises’ choice of implementing digital transformation strategies; and (3) the equipment manufacturing industry needs to improve the flexibility and adaptability of enterprises through flexible production so it relies more on digital technology to enable production and management services. However, as a result of constraints in data gathering, there is inadequate data to back up the sensitivity analysis in the case analysis section, potentially resulting in inadequate argumentation. Based on game theory and the simulation results, combined with the case analysis, three policy recommendations were proposed to strengthen the construction of the digital infrastructure, establish a dynamic adjustment mechanism for subsidies, and build a collaborative digital ecosystem for development.

1. Introduction

The new round of information technology and industrial upgrading is accelerating the transformation of the international scientific and technological competition pattern, especially the development of the digital economy, which has become the main driving force for national economic growth. Given the continuous development and application of digital technology, the production and operation methods of enterprises are also changing [1]. Given the opportunity for digital transformation, enterprises use digital technology to reshape enterprise strategy, organizational structure, adaptability, production processes, and other links to adapt to the changing digital economic environment [2]. Gradually updating digital technology in industrial production has improved production efficiency and has become an important choice for major economies globally to accelerate economic and industrial transformation and upgrading. The “Global Digital Economy White Paper (2022)” released by the China Academy of Information and Communications shows that China, the United States, and Europe have formed a tripolar pattern of global digital economy development. In 2021, the scale of the US digital economy reached $15.3 trillion, accounting for over 65% of GDP and ranking first globally. During the same period, the scale of China’s digital economy was 7.1 trillion US dollars, ranking second globally but accounting for only 39.8% of GDP 1. In 2020, the digital transformation of the manufacturing market was $263.93 billion and is expected to reach $767.82 billion by 2026, for a compound annual growth rate of 19.48% in the 2021–2026 forecast period 2. The arrival of Manufacturing Industry 4.0 has accelerated the cultivation, development, and application of enterprise digital technology, making the production process more intelligent and modern. In this mode, traditional industry boundaries will gradually disappear, and various new industrial forms and models will emerge. The process of creating new value is changing, and the industrial chain, supply chain, and value chain are also restructured.
Digital transformation is a major technological revolution [3] and the beginning of a new economic paradigm, affecting industrial structure, consumer demand, and competition rules [4]. The digital transformation and the consequent innovation of business models have significantly altered consumer expectations and behaviors [5]. As a response, both individuals and organizations now strive to integrate diverse resources to achieve innovation [6]. The breakthrough development and comprehensive penetration of technologies, such as cloud computing, big data, the Internet of Things, and artificial intelligence, have led to drastic changes in enterprises’ technological environment [7]. Sensors collect and analyze data in real time from production and organizational environments [8,9]. Enterprises enhance their information processing capabilities by adopting digital technologies related to Industry 4.0 [10,11,12,13], expand and utilize resources in company processes [14], and improve the performance of manufacturing enterprises [15]. The new generation of information network technology is deeply integrated with the manufacturing industry, and advanced sensing technology, digital design and manufacturing, robots, and intelligent control systems are increasingly widely used, promoting profound changes in manufacturing research and development design, production processes, and enterprise management models. The form of the manufacturing industry is undergoing significant changes. Personalized customization has increasingly become an important manufacturing paradigm, leading to the transformation of production organizations and the social division of labor toward networking, flattening, and platformization. The boundaries of enterprises are also becoming increasingly blurred, presenting many new features.
Faced with increasingly fierce international competition and organizational change, enterprises face an increasingly complex external environment, with a significant increase in uncertainty [16]. Digital technology has become an important means for enterprises to establish strategic advantages [17]. Using digital technology to achieve the digital transformation of data acquisition, transmission, and value creation is an important way for enterprises to create competitive advantages in the digital era [18,19]. When enterprises face profound environmental disturbances, the market environment is relatively complex, technology iterates rapidly, and potential demands constantly change. On the one hand, digitalization drives improvements in total factor productivity through innovation [20]. On the other hand, digitization enriches the composition of innovation ecosystem elements, improves the collaborative and symbiotic relationship between innovation elements, and promotes enterprises to leverage their technological innovation advantages and engage in breakthrough innovation, ultimately leading to an increase in innovation efficiency [21]. Some manufacturing firms have enhanced the connection between investing in innovation, controlling costs, and safeguarding profits through digital transformation, resulting in substantial advancements in their innovation capabilities [22]. Similarly, digital transformation has accelerated the integration of innovation and sustainable development, optimizing business models and performance [23].
Digital technology has accelerated the change in business models in many industries and plays an important role in the resource-matching stage [24]. Given the arrival of the digital economy, digital technology has gradually penetrated all aspects of enterprise production and operations [25]. Within the enterprise, the digitization and intelligence of production processes have promoted the matching of digital resources with various existing resources, optimized production and manufacturing processes, and further reduced internal costs [26]. In addition, an improvement in digital capabilities promotes the corporate identity to identify and acquire valuable external digital resources to meet market policies and partner and customer needs and the matching and utilization of resources [27]. Therefore, digital resource identification is the foundation and guarantee of resource integration. The stronger the ability of enterprises to apply digital resources is, the more diverse the matching combination between digital and other types of resources is [28]. This advantage is more evident in manufacturing enterprises, where digital innovation makes them more agile and flexible [29,30].
In the context of the growing popularity of digital technology, high-end equipment manufacturing enterprises are willing to implement digital transformation and upgrading because of their power to improve production efficiency and enhance enterprise competitiveness. However, due to the uncertainty of cost inputs, income, and other factors, many high-end equipment manufacturing enterprises have different choices regarding whether to implement digital transformation and upgrading [31]. Therefore, the power of enterprises’ digital transformation is affected by many aspects, such as enterprise development strategy, technological adaptability, transformation benefits, government policies, etc. Among them, as an effective regulatory mechanism, government subsidies can significantly improve the enthusiasm of enterprises for digital transformation [32], and subsidy policies can guide enterprises to take positive actions that are beneficial to their interests and sustainable social development [33].
Researchers from various countries and regions have carried out studies on the driving factors and mechanisms underlying enterprise digital transformation through various methods. Cyrielle Gaglio employed the Crepon-Duguet-Mairesse model to assess the correlation between digital technology and innovation performance as well as the productivity of small and micro enterprises in South Africa. The analysis revealed that exploiting digital technology was highly advantageous for small firms [34]. Zhao [35] utilized the difference-in-differences (DID) approach to assess the effects of low-carbon policies on the digital transformation of enterprises. The research implies that the government can enhance firms’ readiness for digital transformation by fortifying fiscal technology expenditures and loosening financing constraints. Similarly, Wu [36] employed the multi-stage difference-in-differences methodology to ascertain that digital transformation has revolutionized the production methods of businesses, restructured their manufacturing processes, and decreased both energy consumption and pollutant emissions. Wang’s [37] study revealed that increasing investment in digital transformation could facilitate the shift towards a service-oriented manufacturing sector and expedite the green transformation of the industry. This was achieved through the moderating effect of digital transformation. Ghobakhloo [38] summarized 11 key factors for the success of digital transformation in small and medium-sized enterprises through a qualitative analysis of the literature. For instance, the investigation discovered that securing external assistance for digitalization is at the forefront of guaranteeing the accomplishment of the digital transformation.
Although there are many literature studies on digital transformation of enterprises through qualitative and quantitative methods, regression analysis [39] and case studies [40] are mainly used, and there is a lack of analyses on the driving factors of the digital transformation of enterprises by different stakeholders. Moreover, from the perspective of research objects, it includes large text companies [41], multinational enterprises [42], listed companies [43], and so on. However, equipment manufacturing enterprises are seldom analyzed from an evolutionary game perspective, despite being a significant aspect of digital transformation. This paper aims to explore the mechanism of stakeholders within the digital transformation of equipment manufacturing enterprises. To achieve this, a stakeholder-based game analysis model utilizing an evolutionary game model was constructed. The following contributions have been made:
(1) The manuscript establishes an evolutionary game model for the digital transformation of manufacturing enterprises. It examines the equilibrium points in multipart games based on the level of government subsidies and consumer preferences, extending the scope of research on the digital transformation of manufacturing firms.
(2) The study employed numerical simulation analysis to examine the impact of government subsidy intensity and consumer preference on the evolution of the system. It revealed a complex interactive relationship between equipment manufacturing enterprises, the government, and consumers.
(3) Based on the findings of an evolutionary game analysis, in conjunction with XCMG’s digital transformation process—which is a leading enterprise in the Chinese construction machinery industry—this study verified the mechanism of stakeholders in the digital transformation and put forth policy recommendations accordingly.
The rest of the paper is organized as follows: Section 2 introduces the research methods, including establishing a payment matrix for both parties in the manufacturing enterprise game, setting parameters, and analyzing the stability of equilibrium points. Section 3 simulated the impact of government subsidy intensity on system evolution under different coefficients and the impact of consumer preference on system evolution through numerical simulation analysis. Section 4 examines the effect of government subsidies and consumers on the digital transformation of China’s leading construction machinery production enterprise. The Xuzhou Construction Machinery Group (XCMG) performs case studies to investigate the driving mechanism of digital transformation in equipment manufacturing enterprises. Section 5 summarizes the research findings, identifies deficiencies in the research, and recommends policies based on the analysis results.

2. Research Methods

2.1. Research Framework

Contingency theory suggests that a company’s strategic choices are related to its internal and external environment [44]. To improve production processes, increase product market competitiveness, and respond to external environmental uncertainties, enterprises are actively adopting digital technology to accelerate their digital transformation [22]. The implementation of digital technology has the potential to increase the trustworthiness of technology for decision makers [45], and when the benefits obtained by enterprises are greater than or equal to the cost of implementing this behavior, digital transformation will be chosen [46]. Digital transformation is also the key to promoting the rapid growth of enterprises [47] and ensuring long-term competitive advantages [48].
Among equipment manufacturing enterprises, some have developed clear digital transformation strategies or require the use of digital technology in certain production processes or management methods, which may create motivation for digital transformation. However, not all equipment manufacturing companies are actively taking measures to accelerate the application of digital technologies. For example, after considering the costs of digital transformation, some enterprises may find that the expected benefits are lower than the transformation costs, which may result in a negative response to digital technology. However, due to the strong promotion of digital transformation by government departments, a series of financial subsidy policies, tax reduction policies, and digital talent training subsidies have been introduced to guide equipment manufacturing enterprises in digital transformation from multiple aspects. In this situation, some equipment manufacturing enterprises that did not consider digital transformation before have also undergone digital transformation due to the emergence of government subsidies, taking into account production costs and the prospects of digital transformation. In addition, consumers’ preferences for highly digitized equipment manufacturing products have also had a significant impact on companies’ digital transformation strategies. They prefer products that can monitor equipment performance and operation in real time, so leading equipment manufacturing enterprises are more actively engaged in digital transformation practices. Under the influence of factors such as the cost of digital transformation, government subsidy policies, and consumer preferences, a comprehensive consideration of the expected benefits of digital transformation is made to decide whether or not to transform. In addition, government departments introduce relevant policies based on the transformation stage of enterprises to guide them to actively transform. The research framework is shown in Figure 1.

2.2. Parameter Setting

(1) In the “natural” environment, without considering other constraints, the manufacturing enterprises producing the same product are regarded as a system, which has two different types of bounded rationality, and they are divided into Group 1 and Group 2.
(2) Enterprises from Group 1 and Group 2 are randomly selected multiple times for a game. The enterprises selected from Group 1 are called Enterprise 1, and the enterprises selected from Group 2 are called Enterprise 2. In the game process, the enterprises in Group 1 and Group 2 choose to either implement or not implement the digital transformation.
(3) The government provides certain subsidies to enterprises that choose to implement digital transformation, and the subsidy intensity is γ ( 0 γ 1 ). Consumers have a certain preference for enterprises that can provide digital and personalized services, with a preference level of α ( 0 α 1 ).
(4) The income of enterprises choosing to implement digital transformation is π 1 i (i = 1,2 represents Enterprise 1 or Enterprise 2); the benefit of enterprises not implementing digital transformation is π 2 i (i = 1,2),  π 2 i > 0 . The investments in enterprises when implementing digital transformation is I i (i = 1,2). If all enterprises choose digital transformation, the system produces a certain synergistic effect. At this time, the investment amount I i (i = 1,2) is smaller than that of independent digital transformation, that is, 0 < I i < I i . The government’s subsidy amount for enterprises is γ I i (i = 1,2) (or γ I i ). If consumers have a certain preference for digital enterprises, then when one enterprise chooses to implement a digital transformation and another enterprise does not, the change in revenue caused by the change in sales volume is α R i (i = 1,2). U represents the benefits of Enterprise 1 under different strategies and V represents the benefits of Enterprise 2 under different strategies.

2.3. Evolutionary Game Equilibrium Point

As assumed above, the payment matrix under the two strategies of implementing and not implementing a digital transformation for manufacturing enterprises 1 and 2 under government supervision is shown in Table 1.
Assuming that in Group 1, the proportion of enterprises implementing a digital transformation is x ( 0 x 1 ) , the proportion of enterprises not implementing a digital transformation is 1 x . The proportion of enterprises implementing a digital transformation in Group 2 is y ( 0 y 1 ) , and the proportion of enterprises not implementing a digital transformation is 1 y . From the game payment matrix, we calculate the expected return U 1 of Enterprise 1 when it chooses the digital transformation but not the expected return U 2 of the digital transformation and the average return U ¯ of Enterprise 1, namely:
U 1 = y ( π 11 + γ I 1 I 1 ) + ( 1 y ) ( π 11 + γ I 1 + α R 1 I 1 )
U 2 = y ( π 21 α R 1 ) + ( 1 y ) π 21
U ¯ = x U 1 + ( 1 x ) U 2
In the same way, it can be calculated that Enterprise 2 chooses the expected return V 1 of digital transformation, not the expected return V 2 of digital transformation and the average return V ¯ of Enterprise 2, namely:
V 1 = x ( π 12 + γ I 2 I 2 ) + ( 1 x ) ( π 12 + γ I 2 + α R 2 I 2 )
V 2 = x ( π 22 α R 2 ) + ( 1 x ) π 22
V ¯ = y V 1 + ( 1 y ) V 2
According to the dynamic replication equation, we assume that Enterprises 1 and 2 choose the growth rate of digital transformation technology in the overall proportion as x ˙ / x and y ˙ / y , respectively. Then, the Malthusian equation is:
x ˙ = d x d t = x ( U 1 U ¯ ) = x ( 1 x ) ( U 1 U 2 ) y ˙ = d y d t = y ( V 1 V ¯ ) = y ( 1 y ) ( V 1 V 2 )
If x ˙ = 0 , it can be concluded that x = 0 , x = 1 , and y = π 11 π 21 + α R 1 ( 1 γ ) I 1 ( γ 1 ) ( I 1 I 1 ) . If y ˙ = 0 , it can be concluded that y = 0 , y = 1 , and x = π 12 π 22 + α R 2 ( 1 γ ) I 2 ( γ 1 ) ( I 2 I 2 ) . For the convenience of analyzing problems, we set x D = π 12 π 22 + α R 2 ( 1 γ ) I 2 ( γ 1 ) ( I 2 I 2 ) and y D = π 11 π 21 + α R 1 ( 1 γ ) I 1 ( γ 1 ) ( I 1 I 1 ) .
Lemma 1: The equilibrium points of the system are (0,0), (0,1), (1,0), and (1,1). When ( 1 γ ) I 1 < π 11 π 21 + α R 1 < ( 1 γ ) I 1 and ( 1 γ ) I 2 < π 12 π 22 + α R 2 < ( 1 γ ) I 2 , ( x D , y D ) is also the equilibrium point of the system.

2.4. Stability Analysis of Equilibrium Points

According to Friedman’s method, the local stability of the evolutionary game equilibrium point is determined by constructing the Jacobian matrix of the system. The evolution game Jacobian matrix of enterprises’ choice of digital transformation can be obtained by successively solving the partial derivative x and y of the differential equation with respect to the sum:
J = d x ˙ d x d x ˙ d y d y ˙ d x d y ˙ d y
Among them,
d x ˙ d x = ( 2 x 1 ) [ α R 1 + ( y 1 ) ( γ 1 ) I 1 y ( γ 1 ) I 1 π 11 + π 21 ] d x ˙ d y = x ( x 1 ) ( γ 1 ) ( I 1 I 1 ) d y ˙ d x = y ( y 1 ) ( γ 1 ) ( I 1 I 1 ) d y ˙ d y = ( 2 y 1 ) [ α R 2 + ( x 1 ) ( γ 1 ) I 2 x ( γ 1 ) I 2 π 12 + π 22 ]
If the trace condition of the Jacobian matrix (the sum of the elements on the diagonal of the Jacobian matrix is less than 0) and the Jacobian determinant condition (the determinant is greater than 0) are met, they are denoted as tr J and det J , respectively. The equilibrium point of replicating dynamic equations is the local stable point, which is an evolutionary game stability strategy (Table 2).
Setting F i = α R i + ( γ 1 ) I i + π 1 i π 2 i and F i = α R i + ( γ 1 ) I i + π 1 i π 2 i indicate the difference in revenue when enterprises choose to implement and not implement a digital transformation when the government implements subsidies and consumers prefer digital services.
Proposition 1. When the range of the income difference between the enterprises that choose and do not choose the digital transformation changes, the stable evolution strategy of the game between the two sides also changes. (1) If F 1 > 0 , F 2 > 0 , the evolutionary stability strategy (ESS) of the system is ( D , D ) . (2) If F 1 > 0 , F 2 < 0 , the evolutionary stability strategy (ESS) of the system is ( D , U D ) . (3) If F 1 < 0 , F 2 > 0 , the evolutionary stability strategy (ESS) of the system is ( U D , D ) . (4) If F 1 < 0 , F 2 < 0 and F 1 < 0 , F 2 < 0 , the evolutionary stability strategy (ESS) of the system is ( U D , U D ) . (5) If F 1 < 0 , F 2 < 0 and F 1 > 0 , F 2 > 0 , the evolutionary stability strategy (ESS) of the system is ( D , D ) or ( U D , U D ) .
Proposition 1 indicates that in the game of enterprises implementing a digital transformation, the game’s evolution and stability strategy are mainly affected by the initial states and relevant parameters of both sides of the game. Different states and parameters drive the game results of enterprises to evolve in different directions. Next, a specific analysis is conducted on the above five situations, and the following conclusions are drawn.
Conclusion 1. When F 1 > 0 , F 2 > 0 , for Enterprises 1 and 2, the difference between the income transfer generated by consumer preferences and the income when enterprises choose or do not choose digital transformation is greater than the investment required by enterprises to implement digital transformation alone after government subsidies. At this point, (1,1) is the evolutionary stability point, (0,1) and (1,0) are the saddle points, and (0,0) is the unstable point. After a long period of repeated games, both Enterprises 1 and 2 tend to choose to implement the digital transformation and finally achieve the stable ideal state of digital transformation for all manufacturing enterprise groups.
Conclusion 2. When F 1 > 0 , F 2 < 0 , the profit margin of Enterprise 1 was greater than that of individual investments, while Enterprise 2’s profit margin was smaller than that of individual investments. At this time, (1,0) is the evolutionary stability point, (0,0) and (1,1) are the saddle points, and (0,1) is the unstable point. After a long and repeated game between Enterprises 1 and 2, Enterprise 1 chooses to implement digital transformation, and Enterprise 2 chooses not to implement digital transformation.
Conclusion 3. When F 1 < 0 , F 2 > 0 , the profit margin of Enterprise 1 is smaller than that of individual investments, while Enterprise 2 has a profit margin greater than that of individual investments. At this time, (0,1) is the evolutionary stability point, (0,0) and (1,1) are the saddle points, and (1,0) is the unstable point. After a long and repeated game between Enterprises 1 and 2, Enterprise 1 chooses not to implement digital transformation, and Enterprise 2 chooses to implement digital transformation.
Conclusion 4. When F 1 < 0 , F 2 < 0 and F 1 < 0 , F 2 < 0 , Enterprise 1′s return difference is less than that of individual and collaborative investments, as is Enterprise 2’s return difference. At this time, (0,0) is the evolutionary stability point, (1,0) and (0,1) are the saddle points, and (1,1) is the unstable point. After long-term repeated games, both Enterprises 1 and 2 tend to choose not to implement a digital transformation.
Conclusion 5. When F 1 < 0 , F 2 < 0 and F 1 > 0 , F 2 > 0 , the return difference of Enterprise 1 is smaller than that of individual investments but greater than that of collaborative investments, and the return difference of Enterprise 2 is smaller than that of individual investments but less than that of collaborative investments. At this time, (0,0) and (1,1) are evolutionary stability points, (1,0) and (0,1) are unstable points and ( x D , y D ) are saddle points. After long-term repeated games, Enterprises 1 and 2 tend to choose to jointly or jointly not implement digital transformation.
The above conclusions show that the appropriate adjustment in the intensity of government subsidies and the degree of consumer preference can enable both sides of the game to implement the digital transformation strategy with a higher probability and keep this strategy in an evolutionary and stable state. The government’s subsidy policy for enterprises to implement digital transformation can reduce related costs, improve the probability that enterprises engage in digital transformation, and encourage enterprises to actively carry out reform. Consumers’ preference for digital services can also improve the income of enterprises after implementing the digital transformation and further improving their enthusiasm. Therefore, the government’s introduction of a standardized and reasonable compensation mechanism and greater efforts to publicize the advantages of digital services, improve the efficiency of service consumers, and optimize the service experience can improve the probability of enterprises’ digital transformation and the benefits after transformation, thus achieving the goal of promoting the overall transformation and upgrading of the manufacturing industry.

3. Numerical Simulation Analysis

This research uses MATLAB for numerical simulation to analyze the impact of changes in government subsidy intensity γ and consumer preference α on the system evolution path. Based on the assumptions, the parameter values are set as π 11 = 120 ,   π 21 = 100 , π 12 = 80 ,   π 22 = 60 , R 1 = 20 ,   R 2 = 10 , I 1 = 10 ,   I 1 = 8 , and I 2 = 8 ,   I 2 = 6 , and initial values are ( x , y ) = ( 0.5 , 0.5 ) .

3.1. The Impact of Government Subsidy Intensity γ on System Evolution

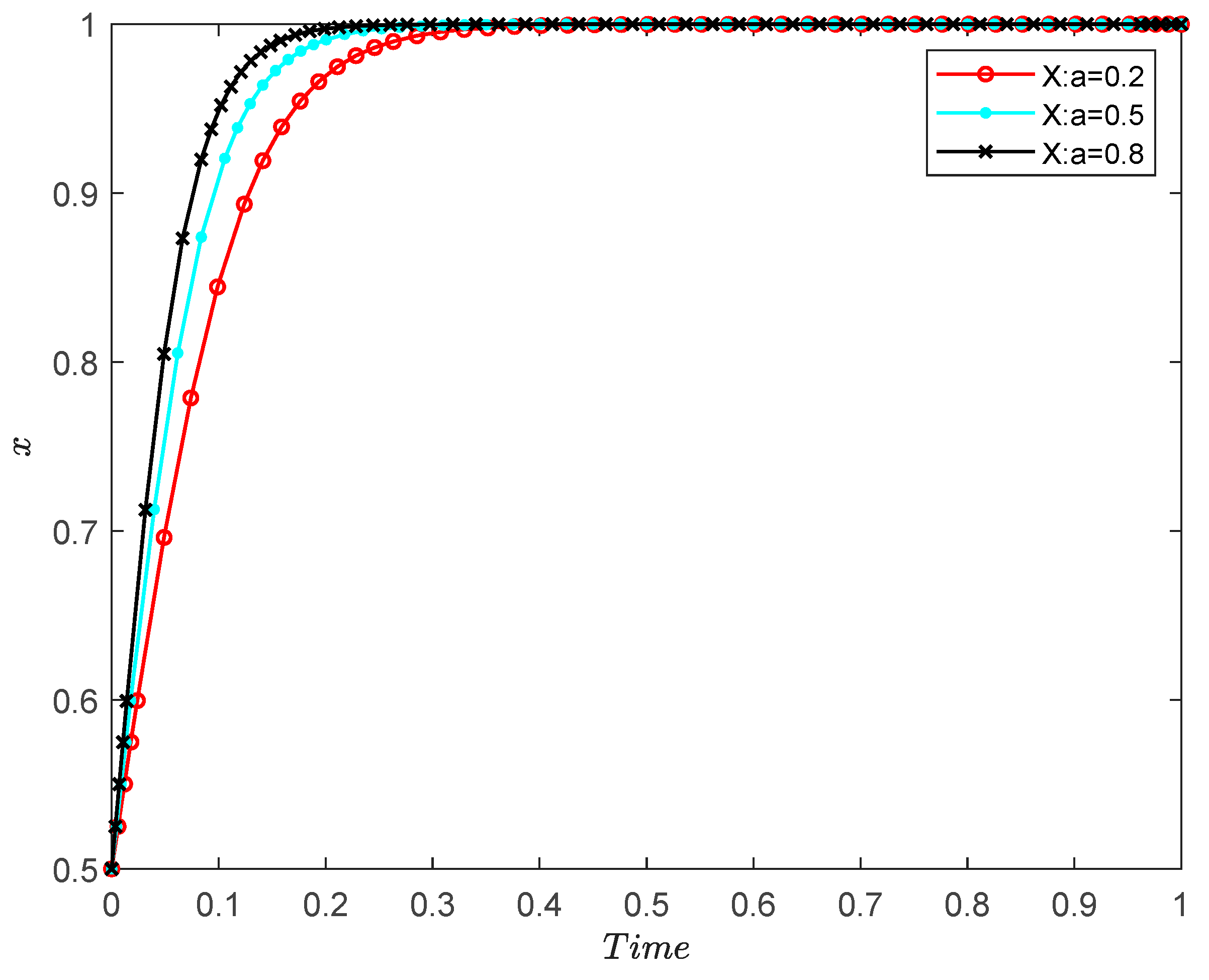
The impact of changes in government subsidy intensity γ on system evolution while maintaining the same level of consumer preference α is analyzed. Using values of 0.2, 0.5, and 0.8, their impact on system evolution is shown in Figure 2. Given an increase in government subsidy intensity, the evolution speed of enterprises’ choice of implementing the digital transformation strategy is observed to gradually increase. The government’s increased subsidies can stimulate enterprises’ efficiency of digital technology innovation on the one hand and make up for their capital consumption in digital transformation and upgrading on the other hand, encouraging them to carry out digital transformation faster. However, it can also be concluded from Figure 2 that during a long enough period, the intensity of government subsidies does not affect the convergence effect of enterprises. Enterprises eventually choose to carry out digital transformation because the benefits of digital transformation are greater than if not carrying out such transformation. Therefore, government subsidies encourage enterprises to implement digital transformation. The higher the intensity of government subsidies is, the higher the efficiency of enterprises when implementing digital transformation.

3.2. The Impact of Consumer Preference α on System Evolution

The impact of changes in consumer preferences α on system evolution while maintaining the same intensity γ of government subsidies is analyzed. The α values are set to 0.2, 0.5, and 0.8, and their impact on system evolution is shown in Figure 3. Given an increase in consumer preference and the intensity of government subsidies, the speed of the evolution in enterprises’ choice to implement digital transformation strategies has gradually increased. Digitalization can help manufacturing enterprises shift from large-scale production to flexible and customized production and can more directly, quickly, and accurately meet the differentiated needs of consumers. Through flexible production and logistics systems, product diversification and customization can be achieved, transaction efficiency can be improved, and consumer experience can be optimized. This also makes consumers more inclined to use digital technology services for enterprises. To a certain extent, consumer preferences affect the production mode of production enterprises, thus encouraging them to accelerate their digital transformation. Of course, given a long enough period, consumers’ purchase preferences do not affect the convergence effect of enterprises. Enterprises eventually choose to carry out digital transformation because the benefits of doing so are greater than not doing so. Therefore, consumer preferences encourage enterprises to implement digital transformation. The higher the consumer preference for digital services is, the higher the efficiency of enterprises in implementing digital transformation.

4. Case Analysis—XCMG

4.1. Typical Case Selection

Established in 1989, XCMG is currently ranked first in the Chinese construction machinery industry, third globally in the industry, and 395th among Fortune 500 Global Brands, and is a leading player in the Chinese construction machinery industry. XCMG has a batch of products that represent the advanced nature of China and even the world: 2000-ton all-terrain cranes, 4000-ton crawler cranes, 700-ton hydraulic excavators, and so on. XCMG’s product sales network covers 187 countries and regions and has established over 300 overseas branches worldwide to provide users with comprehensive marketing services. Its annual exports exceed 2 billion US dollars, maintaining the top export volume in the industry for 30 consecutive years. XCMG has gradually begun to carry out business digitalization since 2008 and has implemented the digital transformation process with manufacturing and service digitalization as the core. Therefore, the case study of XCMG is typical of the digital transformation of equipment manufacturing enterprises.
Case study materials are collected through channels such as enterprise official websites and annual reports of listed companies and through on-site interviews. Between May 2021 and April 2022, 5 on-site interviews were conducted with 26 members of management, digital department executives, frontline production personnel, and machinery purchasing personnel. The case text information is organized and compiled into segments that can be encoded.

4.2. The Course of XCMG’s Digital Transformation

XCMG’s digital transformation is mainly divided into the following three stages.
(1) The initial period of digitization (2008–2013) was mainly focused on business digitization. After the 2008 financial crisis, the Chinese government introduced a “Four-Trillion-Yuan Economic Stimulus Plan”, cyclical industries, such as infrastructure, rapidly recovered. The market demand for construction machinery products increased rapidly, and sales continued to reach new highs. XCMG also seized the opportunity to increase its development and technological transformation efforts, accelerating the pace of internationalization. Against the background of a rapid increase in business volume, XCMG leaders awakened the awareness of digital transformation and began with business digitalization, turning the original information generated in the business process into data. Due to the emergence of digital control requirements, XCMG has gradually applied digital management systems and platforms to integrate collected data and optimize operations and decision making.
(2) The digital development period (2014–2017) mainly focuses on the digitalization of production. At this stage, due to the significant reduction in industry demand, XCMG’s revenues have decreased. To withstand the impact and enhance its competitiveness, XCMG has continuously increased its Research and Development (R&D) investments during the industry’s downward cycle, improved its ability to engage in independent innovation, accelerated digital transformation and upgrading, and started to build information platforms, such as global collaborative R&D, budget management, and business intelligence. At this stage, XCMG continuously adopts and applies new technologies and equipment through independent R&D and technology introduction, digitizes its production lines, and on this basis, has created a digital smart factory and a new digital industrial park.
(3) The digital maturity period (2018–present) mainly focuses on digitizing services. In 2018, China’s macroeconomic situation gradually improved, and the increase in public infrastructure investments has brought new demand to the construction machinery industry. In this market environment, XCMG’s advantages in digital transformation and digital factory construction during the digital development period have continued to emerge. The construction machinery industry has ushered in new growth, and the overall revenue and profitability level of the XCMG has significantly improved. At this stage, we are building a new base for investments in intelligent manufacturing and constructing an intelligent supply chain system. In 2018, XCMG started a new phase of digital transformation in an all-around way, promoting the comprehensive digitalization of the R&D process and services. The coding results of this stage are shown in Table 3.

4.3. Impact of Government Subsidies on XCMG’s Digital Transformation

XCMG has established a system that runs through digital research and development, manufacturing, service, and management, achieving data connection and integration throughout the entire management process and reducing management costs. Senior management personnel A of the group stated, “Given XCMG’s active R&D investment and government support, the enterprise has constantly made new breakthroughs in the field of science and technology and has actively applied the results to digital transformation”. In recent years, XCMG has made independent innovations and has developed the world’s first crawler crane, all-terrain cranes, and tower cranes with the largest lifting capacity; the world’s first electric dump truck with the largest load capacity; the world’s first rotary drilling rig with the largest tonnage and the world’s first horizontal directional drilling machine; the world’s first high-altitude jet fire truck; and China’s first largest tonnage hydraulic excavator. At the end of 2022, XCMG Machinery has a total of 9742 valid authorized patents, including 2458 invention patents and 183 international patents. Table 4 lists some government subsidies related to digital transformation obtained by XCMG in recent years. The government has given some support to enterprises in digital technology application, digital product, R&D, digital platform construction, etc., which has stimulated their willingness to pursue digital transformation and improve its efficiency.

4.4. Impact of Consumers on XCMG’s Digital Transformation

The improvement in XCMG’s product digitization level has enhanced its competitiveness in product design capabilities, marketing channels, understanding of customer needs, and product supply chain management. By creating a convenient and efficient customer relationship management system for customers, all processes such as procurement, contracts, product pricing, and financial settlement are digitized and online, improving the customer’s purchasing experience. In addition, customers can use the digital platform of XCMG to query the operational status of machinery in real time on both computer terminals and mobile apps. Enterprises also provide early warnings for potential problems with machinery based on data from mechanical sensors and equipment. Customer A stated, “Currently, we only choose highly digitized construction machinery products because we can monitor the operation of the machines at any time, and the back end will remind us of maintenance based on sensor data in a timely manner, solving our worries.” Customer B said, “XCMG has sold large-scale machinery and equipment online and has solved the logistics service problem. Even the financial service business is online, which greatly facilitates purchases by our consumers.” The Hanyun Industrial Internet platform developed by XCMG has accumulated 680,000 devices connected to the network and has connected users in more than 20 countries along “the Belt and Road.” The assets managed on the platform have exceeded 550 billion yuan. The Hanyun platform not only connect and collect data from all products but also achieve the interconnection of service personnel, service vehicles, spare parts outlets, and platforms, truly controlling the distribution and utilization of resources in real time, resolving the problem of imbalanced and uneven service resources, and improving service quality and efficiency.

4.5. Dynamic Mechanism of XCMG’s Digital Transformation

The digital transformation of equipment manufacturing enterprises is affected by multiple factors. First, the development level of the enterprise’s industry is an important external factor for the digital transformation of equipment manufacturing enterprises. To improve their competitiveness, enterprises need to compete with their peers in R&D, production, sales, and other aspects. Therefore, they need to optimize their organizational structure. In addition to the continuous breakthroughs in digital technology, the cost of enterprises adopting digital technology is gradually reduced, so a good environment for digital transformation has been formed. Second, the digital transformation of the equipment manufacturing industry is the main pillar that promotes the high-quality development of the digital economy. Central and local governments have introduced a series of subsidy policies to stimulate the willingness of equipment manufacturing enterprises to accelerate the digital transformation process. After receiving subsidies, enterprises increase their investments in digital transformation on the one hand, reduce R&D costs on the other hand, and constantly optimize products with digital technology, forming a benign digital application process. Finally, improvements in production processes, the leap in digital technology, and the transformation of management models have laid a solid foundation for the digital empowerment of equipment manufacturing enterprises in production. Business digitization is a prerequisite for production digitization, and digitally transformed production lines, digital workshops, and parks are key factors to improving product quality and optimizing services (Figure 4).

5. Conclusions, Policy Recommendations, Limitations, and Future Research

5.1. Conclusions

The rapid evolution of digital technology has provided enterprises with diverse information and services. Jin used a game theory model to discover that market environments such as technology costs, brand power, information asymmetry, and market uncertainty have a profound impact on corporate digital transformation decisions [49]. In addition, through digital transformation, enterprises have improved their product development processes and generated new digital business models [50]. On the one hand, the power of the digital transformation of equipment manufacturing enterprises comes from their development strategies. On the other hand, it is related to government subsidy policies and consumer preferences. For example, through an evolutionary game analysis, Yang [51] found that the government’s fiscal incentive policy significantly promoted firms’ willingness to share knowledge, accelerated their digital transformation, and increased their economic benefits. Equipment manufacturing enterprises are the main executors of digital transformation, and their digital transformation intentions affect the progress and final results of digital transformation. Ensuring efficiency, reducing collaboration costs, and improving collaboration efficiency are conducive to better serving the digital transformation of enterprises [52]. The government is the policy-maker of equipment manufacturing enterprises and the intervener in digital transformation. The game with enterprises uses information and institutional advantages to influence the effect of digital transformation. Therefore, factors such as the intensity of government governance, the cooperation efficiency, and the input costs of participants have become important drivers for the digital development [53]. In addition, the choice of consumers is also an important factor in the enterprise’s digital transformation. Equipment with a higher digital degree can respond more quickly to user needs, which is a positive driving factor for the enterprise’s digital transformation. To maximize the benefits of the digital transformation of equipment manufacturing enterprises, it is necessary to rely on the institutional arrangement of combining government support and consumer applications.
Based on the analysis of evolutionary game models and the simulation results of system dynamics, the following conclusions can be drawn.
(1) The intensity of government subsidies significantly affects the transformation progress of equipment manufacturing enterprises. Equipment manufacturing enterprises are mostly traditional industries, so the optimization and upgrading of enterprise production technology is urgent, while digital transformation requires a substantial capital investment for production line transformation, system upgrading, talent training, etc. Therefore, the government subsidy policy accelerates the speed of the evolution of enterprises’ choice to implement a digital transformation strategy. On the one hand, government subsidies reduce the financial burden and stimulate enthusiasm for the digital transformation of enterprises. On the other hand, after the successful digital transformation of enterprises, improvements in product competitiveness increase R&D investments and provide additional benefits for local taxes, employment, etc.
(2) The increase in consumer preferences accelerates the speed of the evolution of enterprises’ choice of implementing digital transformation strategies. Equipment manufacturing enterprises with higher digitalization also respond to an increase in the level of intelligence of their products. Consumers are more convenient in equipment customization, financial services, user experience, and post-maintenance. Digital production and digital services reduce the cost of equipment usage for consumers, improve economic efficiency, and therefore tend to choose products from enterprises with higher digitalization. This consumption preference encourages enterprises to accelerate the implementation of digital transformation.
(3) The case analysis results of XCMG’s digital transformation show that the equipment manufacturing industry is a typical discrete manufacturing industry that needs to improve its enterprises’ flexibility and adaptability through production, thus relying more on digital technology to enable production and management services. Therefore, business process digitalization, production digitalization, and service digitalization are the only ways for equipment manufacturing enterprises to achieve a digital transformation. Given the deep integration of the new generation of information technology and equipment manufacturing enterprises, digital technology penetrates the entire value chain of equipment manufacturing enterprises’ R&D, production, sales, finance, management, and services, improving their high-quality development.

5.2. Policy Recommendations

(1) Strengthen the construction of digital infrastructure and leverage the leading role of enterprises as the main body.
Digital infrastructure is the key to the digital transformation of equipment manufacturing enterprises and must be jointly promoted by governments, enterprises, and digital solution suppliers. First, the Chinese government is accelerating the construction of new infrastructure, such as 5G, the Internet of Things, cloud computing, artificial intelligence, the Industrial Internet, and data centers, which provide basic conditions for the digital transformation of equipment manufacturing enterprises. For example, Zhang Ping, an academician of the CAE (Chinese Academy of Engineering), believes that China’s 5G network construction scale is the world’s leader, which effectively supports the innovative development of the digital economy, forms a new technical route, product form, industrial links, etc., and builds a new 5G integrated technology industry system. In addition, Li Peigen, an academician of the CAE member, believes that an enterprise’s digital transformation should be based on the concept of deep integration of digital space and physical space, and digital twins are the best embodiment of this concept. Second, we should adhere to the principle of taking enterprises as the main body of digital transformation. Because manufacturing enterprises have different scales and are still in different stages of development, we should encourage digital transformation in stages. Especially for the vast majority of small, medium-sized, and microenterprises, it is necessary to explore a technological path suitable for their own digital transformation and upgrading in combination with the actual development of enterprises. For example, Tan Jianrong, an academician of the CAE member, believes that the digital transformation of the manufacturing industry should be through the innovative design of enterprises to develop new products and new functions, and innovative design should become the fundamental way to drive the development of the equipment manufacturing industry. Finally, we should actively play the role of digital solution suppliers, and effective external technology suppliers can actively drive the digital transformation of enterprises. The professional knowledge and experience of the digital transformation of suppliers can effectively guide enterprises to choose the path and mode of digital transformation and comprehensively improve the digital level of enterprises from the dimensions of collaborative research and development, personalized customization, digital production, and digital services.
(2) Establish a subsidy dynamic adjustment mechanism to encourage the high-quality digital transformation of equipment manufacturing enterprises.
Government subsidies can effectively encourage equipment manufacturing enterprises to carry out a digital transformation, and given an increase in government subsidies, the incentive effect is more obvious; however, government subsidies have a threshold effect. When subsidies are small, it is difficult to effectively encourage enterprises to carry out digital transformation. However, excessive subsidies put pressure on government finance, reduce the government’s willingness to support policies to encourage enterprises’ digital transformation, and hinder SMEs’ digital transformation process. For example, academician Zheng Jianhua of the CAE believes that in the process of enterprise digital transformation, it is necessary to help enterprises complete a digital transformation by optimizing the market environment and strengthening policy guidance. Considering the positive effect of government subsidies on the digital transformation of manufacturing enterprises, the government can set special funds for digital transformation to support the digital transformation of manufacturing enterprises. However, due to the threshold effect of subsidies, the government should subsidize equipment manufacturing enterprises’ digital transformation costs within a reasonable range to guide enterprises’ digital transformation. Therefore, the government should implement dynamically adjusted government subsidy policies in conjunction with the market competition environment. In a market with low competition intensity or in the early stage of digital transformation, equipment manufacturing enterprises should allocate more subsidy resources to accelerate the digital transformation of equipment manufacturing enterprises. In a highly competitive market, the effect of government subsidies is weakened. Direct subsidies to equipment manufacturing enterprises should be reduced, and enterprises should be encouraged to combine their own advantages to carry out digital transformation, reducing the inhibitory effect of homogeneous competition on the effect of government subsidies.
(3) Establish a digital sharing platform for equipment manufacturing enterprises and build a collaborative digital ecosystem for development.
The high initial investment cost of digital transformation will have a short-term impact on the economic benefits of enterprises, so some small and micro equipment manufacturing enterprises face a situation in which digital transformation is blocked. When an enterprise has formulated a clear goal of a digital transformation but digital resources are limited, it can choose to join the digital transformation sharing platform developed by equipment manufacturing industry leaders or “chain owner enterprises”, rely on the digital resources of the platform, open up business scenarios such as product design, production, service, and management, and encourage a digital transformation. Ding Han, an academician of the CAS member, established a research and public service platform. After the digital transformation of the manufacturing industry, he was able to solidify the complete process and design technology in industrial software, forming a whole ecological chain digital process of client, demand, design, manufacturing, and product post-maintenance. The leading enterprises benefitting from the advantages of digital transformation can actively build a digital platform, help enterprises that intend to engage in the transformation to participate in the platform, realize the integration and interconnection of industrial chain resources, upstream and downstream information sharing and collaborative cooperation, and drive the overall digital transformation of the equipment manufacturing industry. Through the digital reconstruction of the ecology of the equipment manufacturing industry, an efficient collaboration system including information and capital flows, logistics, and business and data flows will be built to create a new ecosystem of coordinated industrial development.

5.3. Limitations and Future Research

Although this paper studies the driving mechanism of digital transformation of equipment manufacturing enterprises from the perspective of game theory, there are still some shortcomings. Firstly, this article identifies the intensity of government subsidies and consumer preferences as the main driving forces for the digital transformation of equipment manufacturing enterprises. However, in reality, there may be other influencing factors. Secondly, although this article has analyzed the impact of government subsidies and consumer preferences on system evolution through simulation, due to limitations in data collection, there is not enough data to support the sensitivity analysis of this study in the case analysis section, which may lead to insufficient argumentation; and finally, in numerical simulation analysis, the determination of coefficients may affect the simulation results and may require more systematic analysis. Therefore, future research needs to consider more complex situations more comprehensively. For example, more stakeholders are involved in the digital transformation game of enterprises, and more multidimensional game models are constructed. In addition, can the determination of parameters in case-based simulation be based on actually collected data and studied in a more realistic way? The above interesting questions are worth exploring further.

Author Contributions

Conceptualization, Z.D. and P.D.; methodology, P.D.; software, Z.D.; validation, Z.D. and P.D.; formal analysis, Z.D.; investigation, Z.D. and P.D.; resources, P.D.; data curation, Z.D.; writing—original draft preparation, Z.D. and P.D.; writing—review and editing, P.D.; visualization, Z.D. and P.D.; supervision, P.D.; project administration, P.D.; funding acquisition, P.D. All authors have read and agreed to the published version of the manuscript.

Funding

This research was funded by the General Project of Philosophy and Social Science Research in Colleges and Universities in Jiangsu Province (2023), grant number 2023SJYB0265.

Data Availability Statement

The data presented in this study are available upon request from the corresponding author.

Conflicts of Interest

The authors declare no conflict of interest.

Notes

1
2

References

  1. Agrifoglio, R.; Cannavale, C.; Laurenza, E.; Metallo, C. How emerging digital technologies affect operations management through co-creation. Empirical evidence from the maritime industry. Prod. Plan. Control 2017, 28, 1298–1306. [Google Scholar] [CrossRef]
  2. Gurbaxani, V.; Dunkle, D. Gearing up for successful digital transformation. MIS Q. Exec. 2019, 18, 209–220. [Google Scholar] [CrossRef]
  3. Reischauer, G. Industry 4.0 as policy-driven discourse to institutionalize innovation systems in manufacturing. Technol. Forecast. Soc. 2018, 132, 26–33. [Google Scholar] [CrossRef]
  4. Dalenogare, L.S.; Benitez, G.B.; Ayala, N.F.; Frank, A.G. The expected contribution of Industry 4.0 technologies for industrial performance. Int. J. Prod. Econ. 2018, 204, 383–394. [Google Scholar] [CrossRef]
  5. Verhoef, P.C.; Broekhuizen, T.; Bart, Y.; Bhattacharya, A.; Dong, J.Q.; Fabian, N.; Haenlein, M. Digital transformation: A multidisciplinary reflection and research agenda. J. Bus. Res. 2021, 122, 889–901. [Google Scholar] [CrossRef]
  6. Singh, S.; Akbani, I.; Dhir, S. Service innovation implementation: A systematic review and research agenda. Serv. Ind. J. 2020, 40, 491–517. [Google Scholar] [CrossRef]
  7. Candi, M.; Beltagui, A. Effective use of 3D printing in the innovation process. Technovation 2019, 80, 63–73. [Google Scholar] [CrossRef]
  8. Lu, H.P.; Weng, C.I. Smart manufacturing technology, market maturity analysis and technology roadmap in the computer and electronic product manufacturing industry. Technol. Forecast. Soc. 2018, 133, 85–94. [Google Scholar] [CrossRef]
  9. Xu, L.D.; Duan, L. Big data for cyber physical systems in industry 4.0: A survey. Enterp. Inf. Syst. 2019, 13, 148–169. [Google Scholar] [CrossRef]
  10. Birkel, H.S.; Hartmann, E. Internet of Things—The future of managing supply chain risks. Supply Chain. Manag. 2020, 25, 535–548. [Google Scholar] [CrossRef]
  11. Li, Y.; Dai, J.; Cui, L. The impact of digital technologies on economic and environmental performance in the context of industry 4.0: A moderated mediation model. Int. J. Prod. Econ. 2020, 229, 107777. [Google Scholar] [CrossRef]
  12. Somohano-Rodriguez, F.M.; Madrid-Guijarro, A.; Lopez-Fernandez, J.M. Does Industry 4.0 really matter for SME innovation? J. Small Bus. Manag. 2022, 60, 1001–1028. [Google Scholar] [CrossRef]
  13. Le-Dain, M.A.; Benhayoun, L.; Matthews, J.; Liard, M. Barriers and opportunities of digital servitization for SMEs: The effect of smart Product-Service System business models. Serv. Bus. 2023, 17, 359–393. [Google Scholar] [CrossRef]
  14. Eller, R.; Alford, P.; Kallmunzer, A.; Peters, M. Antecedents, consequences, and challenges of small and medium-sized enterprise digitalization. J. Bus. Res. 2020, 112, 119–127. [Google Scholar] [CrossRef]
  15. Singh, S.; Sharma, M.; Dhir, S. Modeling the effects of digital transformation in Indian manufacturing industry. Technol. Soc. 2021, 67, 101763. [Google Scholar] [CrossRef]
  16. Li, H.L.; Wu, Y.; Cao, D.M.; Wang, Y.C. Organizational mindfulness towards digital transformation as a prerequisite of information processing capability to achieve market agility. J. Bus. Res. 2021, 122, 700–712. [Google Scholar] [CrossRef]
  17. Gravili, G.; Benvenuto, M.; Avram, A.; Viola, C. The influence of the digital divide on big data generation within supply chain management. Int. J. Logist. Manag. 2018, 29, 592–628. [Google Scholar] [CrossRef]
  18. Correani, A.; De Massis, A.; Frattini, F.; Petruzzelli, A.M.; Natalicchio, A. Implementing a digital strategy: Learning from the experience of three digital transformation projects. Calif. Manag. Rev. 2020, 62, 37–56. [Google Scholar] [CrossRef]
  19. Shen, X.B.; Williams, R.; Zheng, S.F.; Liu, Y.L.; Li, Y.X.; Gerst, M. Digital online music in China—A “laboratory” for business experiment. Technol. Forecast. Soc. 2019, 139, 235–249. [Google Scholar] [CrossRef]
  20. Pan, W.R.; Xie, T.; Wang, Z.W.; Ma, L.S. Digital economy: An innovation driver for total factor productivity. J. Bus. Res. 2022, 139, 303–311. [Google Scholar] [CrossRef]
  21. Sareen, S.; Haarstad, H. Digitalization as a driver of transformative environmental innovation. Environ. Innov. Soc. Transitions. 2021, 41, 93–95. [Google Scholar] [CrossRef]
  22. Zhao, X.; Sun, X.; Zhao, L.; Xing, Y. Can the digital transformation of manufacturing enterprises promote enterprise innovation? Bus. Process Manag. J. 2022, 28, 960–982. [Google Scholar] [CrossRef]
  23. Di Vaio, A.; Palladino, R.; Pezzi, A.; Kalisz, D.E. The role of digital innovation in knowledge management systems: A systematic literature review. J. Bus. Res. 2021, 123, 220–231. [Google Scholar] [CrossRef]
  24. Muller, J.M.; Buliga, O.; Voigt, K.I. Fortune favors the prepared: How SMEs approach business model innovations in Industry 4.0. Technol. Forecast. Soc. 2018, 132, 2–17. [Google Scholar] [CrossRef]
  25. Ricciardi, F.; Zardini, A.; Rossignoli, C. Organizational integration of the IT function: A key enabler of firm capabilities and performance. J. Innov. Knowl. 2018, 3, 93–107. [Google Scholar] [CrossRef]
  26. Li, J.; Zhou, J.; Cheng, Y. Conceptual method and empirical practice of building digital capability of industrial enterprises in the digital age. IEEE Trans. Eng. Manag. 2022, 69, 1902–1916. [Google Scholar] [CrossRef]
  27. Coreynen, W.; Matthyssens, P.; Van Bockhaven, W. Boosting servitization through digitization: Pathways and dynamic resource configurations for manufacturers. Ind. Market Manag. 2017, 60, 42–53. [Google Scholar] [CrossRef]
  28. Trabucchi, D.; Buganza, T.; Dell’Era, C.; Pellizzoni, E. Exploring the inbound and outbound strategies enabled by user generated big data: Evidence from leading smartphone applications. Creat. Innov. Manag. 2018, 27, 42–55. [Google Scholar] [CrossRef]
  29. Del Giudice, M.; Scuotto, V.; Papa, A.; Tarba, S.Y.; Bresciani, S.; Warkentin, M. A self-tuning model for smart manufacturing SMEs: Effects on digital innovation. J. Prod. Innov. Manag. 2021, 38, 68–89. [Google Scholar] [CrossRef]
  30. Smith, P.; Beretta, M. The Gordian Knot of practicing digital transformation: Coping with emergent paradoxes in ambidextrous organizing structures. J. Prod. Innov. Manag. 2021, 38, 166–191. [Google Scholar] [CrossRef]
  31. Zhang, W.; Zhao, S.Q.; Wan, X.Y. Industrial digital transformation strategies based on differential games. Appl. Math. Model. 2021, 98, 90–108. [Google Scholar] [CrossRef]
  32. Xie, W.H.; Zheng, D.W.; Luo, J.B.; Wang, Z.; Wang, Y.J. Research of cooperation strategy of government-enterprise digital transformation based on differential game. Open Math. 2022, 20, 791–808. [Google Scholar] [CrossRef]
  33. Hong, I.H.; Chiu, A.S.F.; Gandajaya, L. Impact of subsidy policies on green products with consideration of consumer behaviors: Subsidy for firms or consumers? Resour. Conserv. Recycl. 2021, 173, 105669. [Google Scholar] [CrossRef]
  34. Gaglio, C.; Kraemer-Mbula, E.; Lorenz, E. The effects of digital transformation on innovation and productivity: Firm-level evidence of South African manufacturing micro and small enterprises. Technol. Forecast. Soc. 2022, 182, 121785. [Google Scholar] [CrossRef]
  35. Zhao, S.; Zhang, L.; An, H.; Peng, L.; Zhou, H.; Hu, F. Has China’s low-carbon strategy pushed forward the digital transformation of manufacturing enterprises? Evidence from the low-carbon city pilot policy. Environ. Impact Assess. Rev. 2023, 102, 107184. [Google Scholar] [CrossRef]
  36. Wu, D.; Xie, Y.; Lyu, S. Disentangling the complex impacts of urban digital transformation and environmental pollution: Evidence from smart city pilots in China. Sustain. Cities Soc. 2023, 88, 104266. [Google Scholar] [CrossRef]
  37. Wang, J.; Wang, W.; Wu, H.; Liu, Y. Exploring the effects of manufacturing servitization on enterprise energy conservation and emissions reduction moderated by digital transformation. Energ. Econ. 2023, 122, 106706. [Google Scholar] [CrossRef]
  38. Ghobakhloo, M.; Iranmanesh, M. Digital transformation success under Industry 4.0: A strategic guideline for manufacturing SMEs. Int. J. Manuf. Technol. Manag. 2021, 32, 1533–1556. [Google Scholar] [CrossRef]
  39. Luo, Y.; Cui, H.; Zhong, H.; Wei, C. Business environment and enterprise digital transformation. Financ. Res. Lett. 2023, 57, 104250. [Google Scholar] [CrossRef]
  40. Wang, Y.; Su, X. Driving factors of digital transformation for manufacturing enterprises: A multi-case study from China: Journal international de la gestion technologique. Int. J. Technol. Manag. 2021, 86, 229–253. [Google Scholar] [CrossRef]
  41. Xia, H.; Ye, P.; Jasimuddin, S.M.; Zhang, J.Z. Evolution of digital transformation in traditional enterprises: Evidence from China. Technol. Anal. Strateg. 2022, 1–21. [Google Scholar] [CrossRef]
  42. George, G.; Schillebeeckx, S.J.D. Digital transformation, sustainability, and purpose in the multinational enterprise. J. World Bus. 2022, 57, 101326. [Google Scholar] [CrossRef]
  43. Peng, Y.; Tao, C. Can digital transformation promote enterprise performance?—From the perspective of public policy and innovation. J. Innov. Knowl. 2022, 7, 100198. [Google Scholar] [CrossRef]
  44. Csaszar, F.A.; Ostler, J. A Contingency Theory of representational complexity in organizations. Organ. Sci. 2020, 31, 1198–1219. [Google Scholar] [CrossRef]
  45. Falcone, E.C.; Steelman, Z.R.; Aloysius, J.A. Understanding managers’ reactions to blockchain technologies in the supply chain: The reliable and unbiased software agent. J. Bus. Logist. 2021, 42, 25–45. [Google Scholar] [CrossRef]
  46. Gao, J.; Zhang, W.; Guan, T.; Feng, Q.; Mardani, A. The effect of manufacturing agent heterogeneity on enterprise innovation performance and competitive advantage in the era of digital transformation. J. Bus. Res. 2023, 155, 113387. [Google Scholar] [CrossRef]
  47. Teruel, M.; Coad, A.; Domnick, C.; Flachenecker, F.; Harasztosi, P.; Janiri, M.L.; Pal, R. The birth of new HGEs: Internationalization through new digital technologies. J. Technol. Trans. 2022, 47, 804–845. [Google Scholar] [CrossRef]
  48. Xue, L.; Mithas, S.; Ray, G. Commitment to IT investment plans: The interplay of real earnings, management, IT decentralization, and corporate governance. MIS Quart. 2021, 45, 193–224. [Google Scholar] [CrossRef]
  49. Jin, B.-H.; Li, Y.-M. Analysis of emerging technology adoption for the digital content market. Inform. Technol. Manag. 2012, 13, 149–165. [Google Scholar] [CrossRef]
  50. Baber, W.W.; Ojala, A.; Martinez, R. Effectuation logic in digital business model transformation. J. Small Bus. Enterp. D 2019, 26, 811–830. [Google Scholar] [CrossRef]
  51. Yang, X.; Pan, L.; Song, A.; Ma, X.; Yang, J. Research on the strategy of knowledge sharing among logistics enterprises under the goal of digital transformation. Heliyon 2023, 9, e15191. [Google Scholar] [CrossRef] [PubMed]
  52. Li, S.; Xu, M.; Liu, H.; Sun, W. Service mechanism for the Cloud-Edge collaboration system considering quality of experience in the digital economy era: An evolutionary game approach. Systems 2023, 11, 331. [Google Scholar] [CrossRef]
  53. Zhao, H.; Wang, H.; Jin, S.; He, Z. Evolutionary game and simulation analysis of collaborative innovation mechanisms of industrial internet Platform-Based ecosystem. Sustainability 2023, 15, 4884. [Google Scholar] [CrossRef]
Figure 1. Research framework for digital transformation of equipment manufacturing enterprises.
Figure 1. Research framework for digital transformation of equipment manufacturing enterprises.
Systems 11 00493 g001
Figure 2. The impact of government subsidy intensity γ on system evolution.
Figure 2. The impact of government subsidy intensity γ on system evolution.
Systems 11 00493 g002
Figure 3. The impact of consumer preference α on system evolution.
Figure 3. The impact of consumer preference α on system evolution.
Systems 11 00493 g003
Figure 4. Dynamic mechanism of the digital transformation of equipment manufacturing enterprises.
Figure 4. Dynamic mechanism of the digital transformation of equipment manufacturing enterprises.
Systems 11 00493 g004
Table 1. Payment matrix for both parties in the game of manufacturing enterprises.
Table 1. Payment matrix for both parties in the game of manufacturing enterprises.
Manufacturing Enterprise 2
Implement digital transformation ( U D )No digital transformation ( U D )
Manufacturing Enterprise 1Implement digital transformation ( D ) U 11 = π 11 + γ I 1 I 1 V 11 = π 12 + γ I 2 I 2 U 12 = π 11 + γ I 1 + α R 1 I 1
V 12 = π 22 α R 2
No digital transformation ( U D ) U 21 = π 21 α R 1
V 21 = π 12 + γ I 2 + α R 2 I 2
U 22 = π 21
V 22 = π 22
Table 2. Jacobian determinant analysis of the system.
Table 2. Jacobian determinant analysis of the system.
Local Equilibrium Point det J tr J
(0,0) [ α R 1 + ( γ 1 ) I 1 + π 11 π 21 ] [ α R 2 + ( γ 1 ) I 2 + π 12 π 22 ] α ( R 1 + R 2 ) + ( γ 1 ) ( I 1 + I 2 ) + π 11 π 21 + π 12 π 22
(0,1) [ α R 1 + ( γ 1 ) I 1 + π 11 π 21 ] [ α R 2 + ( γ 1 ) I 2 + π 12 π 22 ] α ( R 1 R 2 ) + ( γ 1 ) ( I 1 I 2 ) + π 11 π 21 π 12 + π 22
(1,0) [ α R 1 + ( γ 1 ) I 1 + π 11 π 21 ] [ α R 2 + ( γ 1 ) I 2 + π 12 π 22 ] α ( R 2 R 1 ) + ( γ 1 ) ( I 2 I 1 ) π 11 + π 21 + π 12 π 22
(1,1) [ α R 1 + ( γ 1 ) I 1 + π 11 π 21 ] [ α R 2 + ( γ 1 ) I 2 + π 12 π 22 ] α ( R 1 + R 2 ) ( γ 1 ) ( I 1 + I 2 ) π 11 + π 21 π 12 + π 22
( x D , y D ) [ α R 1 + ( γ 1 ) I 1 + π 11 π 21 ] [ α R 2 + ( γ 1 ) I 2 + π 12 π 22 ] [ α R 1 + ( γ 1 ) I 1 + π 11 π 21 ] [ α R 2 + ( γ 1 ) I 2 + π 12 π 22 ] / [ ( γ 1 ) 2 ( I 1 I 1 ) ( I 2 I 2 ) ] 0
Table 3. Typical quotation examples and coding results in different stages of digital transformation.
Table 3. Typical quotation examples and coding results in different stages of digital transformation.
Different StagesDimensions and CategoriesRepresentative Quotations
Initial Stage of Digital Transformation (2008–2013)Digital awareness awakeningThe construction machinery industry belongs to a discrete manufacturing industry and requires digital and intelligent transformation of business processes
Business model transformationIn 2008, the Material Requirements Planning production method was adopted and a shift was made toward trial production of orders
Application of digital management systemXCMG established a business relationship with SAP in Germany in 2009 and began building digital twin products centered around ERP
Digital control requirementsWe need to establish a refined control system for the entire process, including preproduction planning, multimaterial requisition control during production, and postproduction material consumption and loss analysis
Digital information acquisitionWorkshop workers can view work drawings and processes, obtain dispatch reminders, and provide real-time feedback on work data
Digital platform applicationsIn 2011, XCMG’s overall informatization improvement project to create a unified control platform was launched
Digital analysisWe have created a digital analysis platform to collect real-time production line data, achieve transparent tracking of orders throughout the entire process, and visualize the workshop
Development Period of Digital Transformation (2014–2017)Digitization of productionXCMG Heavy Industries has undergone the intelligent transformation of existing production lines since 2016
Digital transformationIn the production and manufacturing process, the application of AGV unmanned distribution and automatic welding robots is vigorously encourage
Intelligent device applicationsThe “5G+Industrial Internet” integrated application pilot was actively carried out
New technology applicationDigitize various production components to provide technical support for personalized customization by users
Digital customizationIn 2017, XCMG built the world’s first intelligent production line for crane turntables, with a CNC machining rate of over 90%
Digital production lineXCMG will continue to build digital workshops and intelligent production lines, creating a discrete intelligent factory with interconnected facilities and data sharing
Digital factoryXCMG has been rated as a national benchmark and a national demonstration factory for intelligent manufacturing
Digital factoryXCMG has started planning and constructing a world-leading crane intelligent industrial park to enhance the digital level of its core business
Digital Industrial ParkTens of thousands of design drawings were digitized, enabling them to be called up at any time and to quickly respond to customer needs
Mature Period of Digital Transformation (2018-up to now)Service digitizationWe can keep track of the real-time location of the equipment at any time and view online data, such as equipment operation status, fuel consumption, temperature, engine speed, etc.
Digitization of drawingsXCMG has built a Hanyun Industrial Internet platform, tapping into the potential of industrial big data and changing the traditional service model
Digital transformationIn 2008, the Material Requirements Planning production method was adopted and a shift was made toward the trial production of orders
Industrial Internet platformEnables linkages with enterprise production and sales, quality management, customer service, R&D, and other business scenarios to create an intelligent operation system
Digital service systemIn 2018, the Group defined data as assets in its strategic planning, and XCMG entered a new stage of digital transformation
Digital operationsThe construction machinery industry belongs to a discrete manufacturing industry and requires the digital and intelligent transformation of business processes
Device data digitizationIn 2020, the “XCMG Global Digital Spare Parts Service Information System” was released to serve global users with digital technology
Table 4. Government subsidies related to the digital transformation of XCMG (2020–2022).
Table 4. Government subsidies related to the digital transformation of XCMG (2020–2022).
YearProjectSubsidy Amount (Million Yuan)
2022Subsidy for major project technological transformation by the Finance Bureau of the High tech Zone20.91
2022Rewards for technical renovation of project infrastructure construction20.00
2021Industrial Internet Innovation and Development Project21.04
2021Infrastructure Award for Phase I of Crane Intelligent Manufacturing Base Construction Project14.87
2021Special funds for high-end construction machinery and key components in 202098.00
2020Provincial Special Fund for Industrial and Information Industry Transformation and Upgrading27.37
2020Special fund for Industrial Internet innovation and development project21.18
2020Incentive funds for intelligent manufacturing industrialization base projects7.76
2020Intelligent workshop rewards1.50
2020National Internet Big Data R&D Center Project32.00
2020Central Infrastructure Investment Appropriation for 2019 Technical Transformation Special Project (Second Batch)38.80
2020Industrial Internet Innovation and Development Project in 202015.00
Disclaimer/Publisher’s Note: The statements, opinions and data contained in all publications are solely those of the individual author(s) and contributor(s) and not of MDPI and/or the editor(s). MDPI and/or the editor(s) disclaim responsibility for any injury to people or property resulting from any ideas, methods, instructions or products referred to in the content.

Share and Cite

MDPI and ACS Style

Dong, Z.; Dai, P. Dynamic Mechanism of Digital Transformation in Equipment Manufacturing Enterprises Based on Evolutionary Game Theory: Evidence from China. Systems 2023, 11, 493. https://doi.org/10.3390/systems11100493

AMA Style

Dong Z, Dai P. Dynamic Mechanism of Digital Transformation in Equipment Manufacturing Enterprises Based on Evolutionary Game Theory: Evidence from China. Systems. 2023; 11(10):493. https://doi.org/10.3390/systems11100493

Chicago/Turabian Style

Dong, Zhiyong, and Peichao Dai. 2023. "Dynamic Mechanism of Digital Transformation in Equipment Manufacturing Enterprises Based on Evolutionary Game Theory: Evidence from China" Systems 11, no. 10: 493. https://doi.org/10.3390/systems11100493

APA Style

Dong, Z., & Dai, P. (2023). Dynamic Mechanism of Digital Transformation in Equipment Manufacturing Enterprises Based on Evolutionary Game Theory: Evidence from China. Systems, 11(10), 493. https://doi.org/10.3390/systems11100493

Note that from the first issue of 2016, this journal uses article numbers instead of page numbers. See further details here.

Article Metrics

Back to TopTop