An Investigation into the Trend Stationarity of Local Characteristics in Media and Social Networks
Abstract
1. Introduction
- What are the features of stochastic processes that describe the growth of the degree of a node and the growth of the sum of degrees of the neighbors of a node for networks built according to the NPA model?
- What is the asymptotic behavior of the coefficients of variation for the degree of a node and the summary degree of the neighbors of the node in networks built according to the NPA model?
- Does the behavior of these local characteristics in simulated networks correspond to their behavior in real social networks?
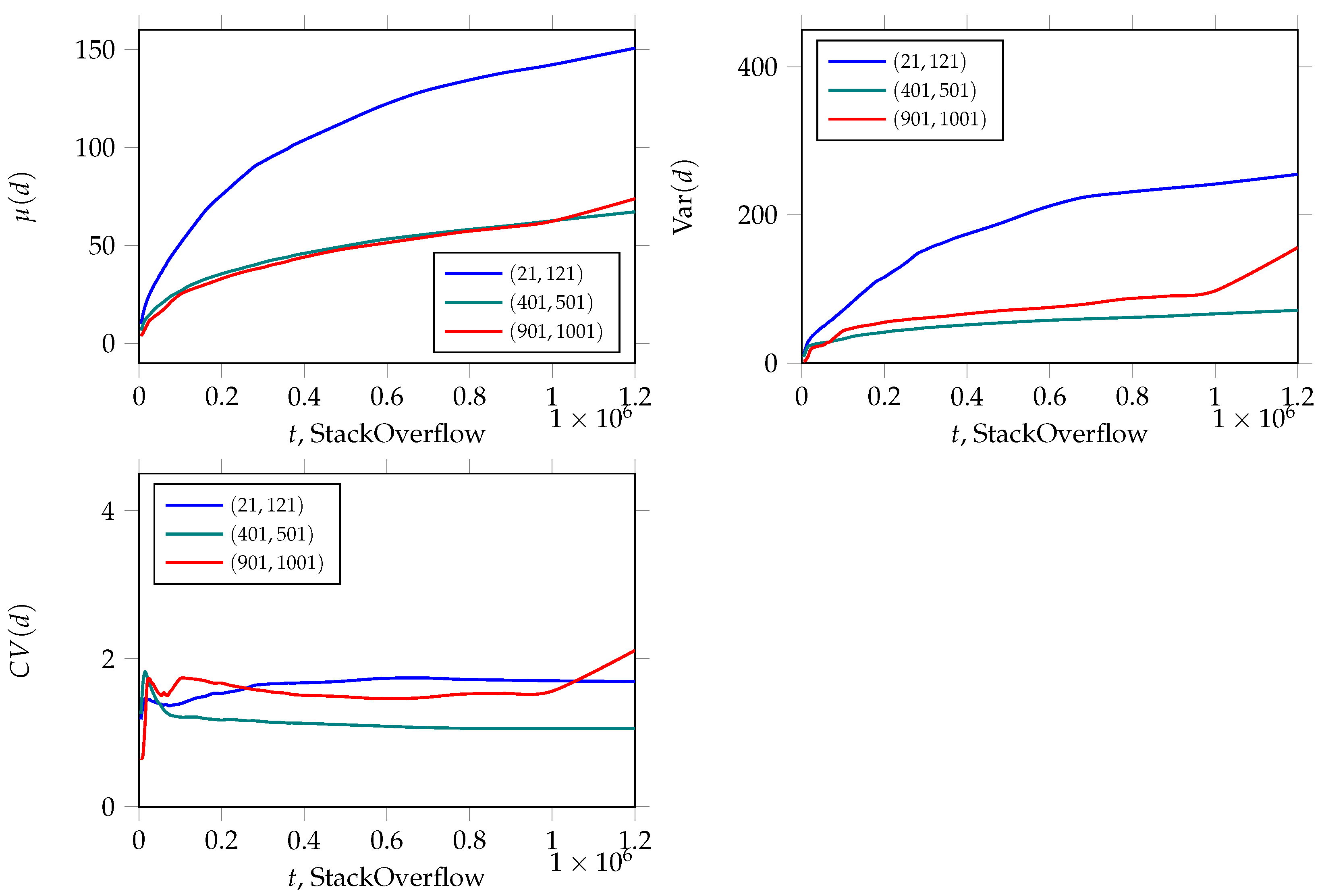
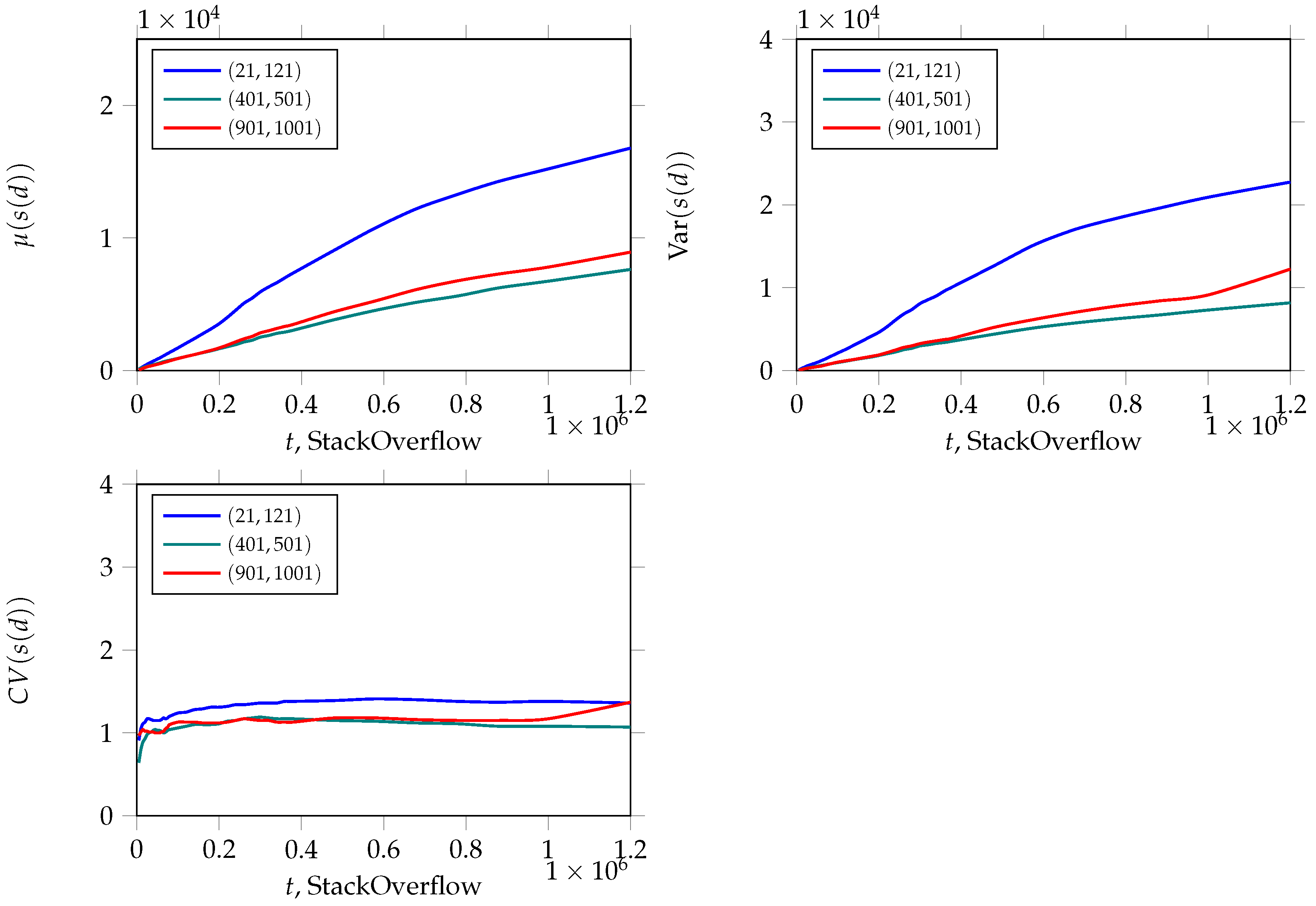
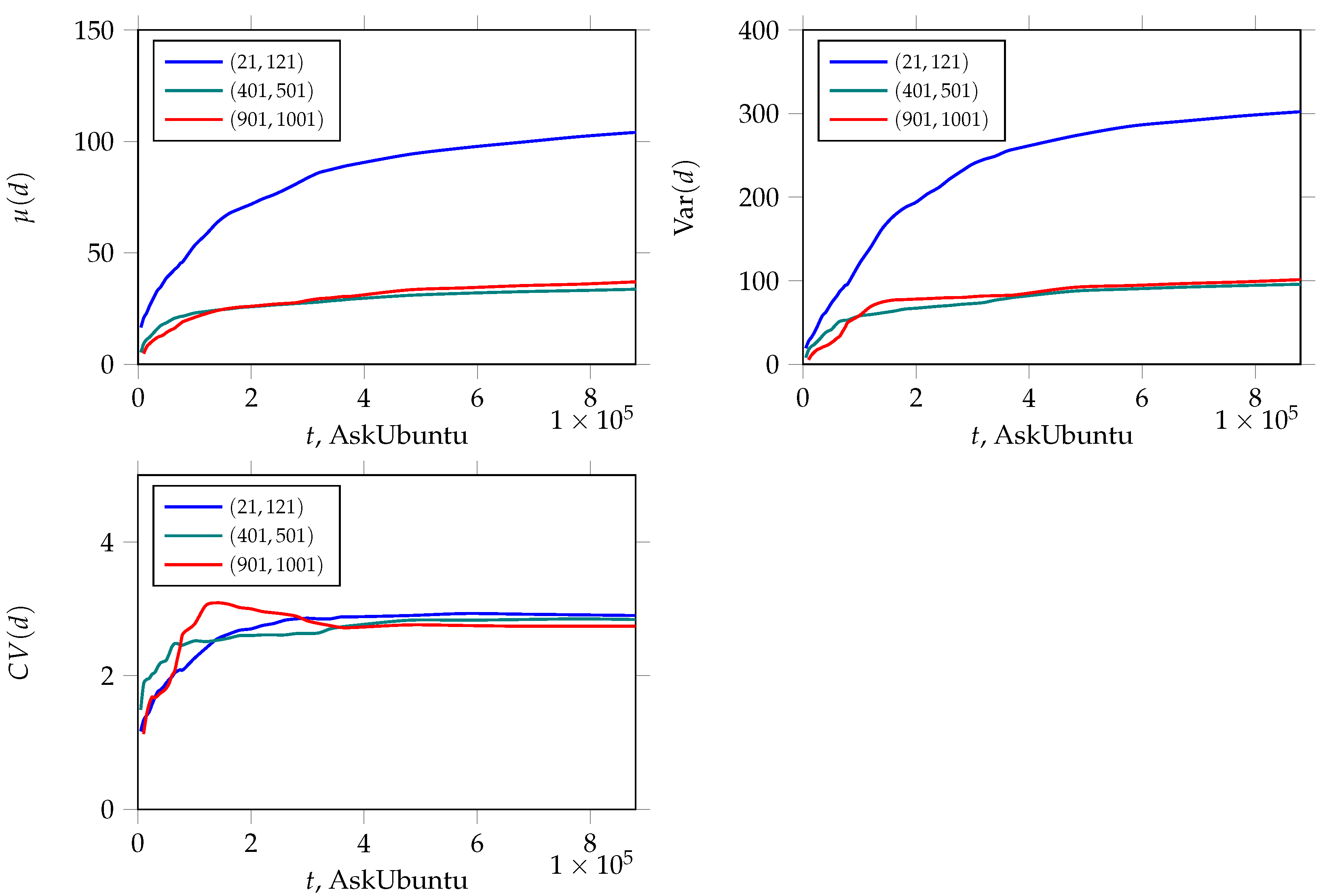
2. Empirical Dynamic Networks
2.1. Real Network Overview
2.2. StackOverflow Network
2.3. AskUbuntu Network
2.4. SuperUser Network
- User u answers the question of user v at time t;
- User u comments on the question of user v at time t;
- User u comments on the answer of user v at time t;
3. Barabási–Albert Model with Nonlinear Preferential Attachment
3.1. Notations and Definitions
- At time , is a complete graph with m nodes;
- The network adds one newly born node , i.e., ;
- m links are added to the network; they connect the newly born node with m already existing nodes; each of these links appears as the result of the application of NPA rule: We use the discrete random variable , which takes the value i with probabilityIn the case of , we add a link to the network. We make m independent random experiments.
3.2. The Evolution of Barabási–Albert Networks with the NPA Mechanism
- If , then and , since node links to the newly born node that has degree m.
- If and , then the newly born node links to one of the neighbors of node , and we have and .
4. An Investigation into the Dynamics of the Node Degree: The Evolution of Its Expectation and Variance over Time
4.1. The Expectation of
4.2. The Variance of
5. The Evolution of : Its Expectation and Variance
5.1. Dynamics of the Total Degree of Node Neighbors in BA Networks with the NPA Mechanism
5.2. The Variance of
6. Conclusions and Discussion
Author Contributions
Funding
Data Availability Statement
Conflicts of Interest
Abbreviations
| BA | Barabási–Albert |
| PA | Preferential attachment |
| NPA | Nonlinear preferential attachment |
References
- Ye, H.; Sun, X.C.; Lu, Z.M.; Jiang, X.; Zhao, K.; Nie, T. Interest Point Detection Using a Composite Index of Complex Networks. J. Inf. Hiding Multimed. Signal Process. 2018, 9, 265–273. [Google Scholar]
- Guo, X.L.; Lu, Z.M. Urban Road Network and Taxi Network Modeling Based on Complex Network Theory. J. Inf. Hiding Multimed. Signal Process. 2016, 7, 558–568. [Google Scholar]
- Chen, X.; Lu, Z.M. Protection on Complex Networks with Geometric and Scale-Free Properties. J. Inf. Hiding Multimed. Signal Process. 2016, 7, 569–575. [Google Scholar]
- Faloutsos, M.; Faloutsos, P.; Faloutsos, C. On Power-Law Relationships of the Internet Topology. SIGCOMM Comput. Commun. Rev. 1999, 29, 251–262. [Google Scholar] [CrossRef]
- Kleinberg, J.M.; Kumar, R.; Raghavan, P.; Rajagopalan, S.; Tomkins, A.S. The Web as a Graph: Measurements, Models, and Methods. In Proceedings of the Computing and Combinatorics; Asano, T., Imai, H., Lee, D.T., Nakano, S.i., Tokuyama, T., Eds.; Springer: Berlin/Heidelberg, Germany, 1999; pp. 1–17. [Google Scholar] [CrossRef]
- Clauset, A.; Shalizi, C.R.; Newman, M.E.J. Power-Law Distributions in Empirical Data. SIAM Rev. 2009, 51, 661–703. [Google Scholar] [CrossRef]
- De Solla Price, D. Networks of scientific papers. Science 1976, 149, 292–306. [Google Scholar]
- Klaus, A.; Yu, S.; Plenz, D. Statistical Analyses Support Power Law Distributions Found in Neuronal Avalanches. PLoS ONE 2011, 6, e19779. [Google Scholar] [CrossRef]
- Newman, M.E.J. The Structure and Function of Complex Networks. SIAM Rev. 2003, 45, 167–256. [Google Scholar] [CrossRef]
- Albert, R.; Barabási, A.L. Statistical mechanics of complex networks. Rev. Mod. Phys. 2002, 74, 47–97. [Google Scholar] [CrossRef]
- Barabási, A.L.; Albert, R. Emergence of Scaling in Random Networks. Science 1999, 286, 509–512. [Google Scholar] [CrossRef]
- Dorogovtsev, S.N.; Mendes, J.F.F.; Samukhin, A.N. Structure of growing networks with preferential linking. Phys. Rev. Lett. 2000, 85, 4633–4636. [Google Scholar] [CrossRef] [PubMed]
- Krapivsky, P.L.; Redner, S. Organization of growing random networks. Phys. Rev. E 2001, 63, 066123. [Google Scholar] [CrossRef]
- Krapivsky, P.L.; Redner, S.; Leyvraz, F. Connectivity of growing random networks. Phys. Rev. Lett. 2000, 85, 4629–4632. [Google Scholar] [CrossRef] [PubMed]
- Sidorov, S.; Mironov, S. Growth network models with random number of attached links. Phys. Stat. Mech. Its Appl. 2021, 576, 126041. [Google Scholar] [CrossRef]
- Tsiotas, D. Detecting differences in the topology of scale-free networks grown under time-dynamic topological fitness. Sci. Rep. 2020, 10, 10630. [Google Scholar] [CrossRef]
- Pal, S.; Makowski, A.M. Asymptotic Degree Distributions in Large (Homogeneous) Random Networks: A Little Theory and a Counterexample. IEEE Trans. Netw. Sci. Eng. 2020, 7, 1531–1544. [Google Scholar] [CrossRef]
- Rak, R.; Rak, E. The fractional preferential attachment scale-free network model. Entropy 2020, 22, 509. [Google Scholar] [CrossRef]
- Cinardi, N.; Rapisarda, A.; Tsallis, C. A generalised model for asymptotically-scale-free geographical networks. J. Stat. Mech. Theory Exp. 2020, 2020, 043404. [Google Scholar] [CrossRef]
- Shang, K.K.; Yang, B.; Moore, J.M.; Ji, Q.; Small, M. Growing networks with communities: A distributive link model. Chaos 2020, 30, 041101. [Google Scholar] [CrossRef]
- Bertotti, M.L.; Modanese, G. The configuration model for Barabasi-Albert networks. Appl. Netw. Sci. 2019, 4, 32. [Google Scholar] [CrossRef]
- Pachon, A.; Sacerdote, L.; Yang, S. Scale-free behavior of networks with the copresence of preferential and uniform attachment rules. Phys. D Nonlinear Phenom. 2018, 371, 1–12. [Google Scholar] [CrossRef]
- Sidorov, S.; Mironov, S.; Agafonova, N.; Kadomtsev, D. Temporal Behavior of Local Characteristics in Complex Networks with Preferential Attachment-Based Growth. Symmetry 2021, 13, 1567. [Google Scholar] [CrossRef]
- Sidorov, S.P.; Mironov, S.V.; Grigoriev, A.A. Friendship paradox in growth networks: Analytical and empirical analysis. Appl. Netw. Sci. 2021, 6, 35. [Google Scholar] [CrossRef]
- Barabási, A.; Albert, R.; Jeong, H. Mean-field theory for scale-free random networks. Phys. A Stat. Mech. Its Appl. 1999, 272, 173–187. [Google Scholar] [CrossRef]
- Kadanoff, L. More is the Same; Phase Transitions and Mean Field Theories. J. Stat. Phys. 2009, 137, 777–797. [Google Scholar] [CrossRef]
- Parr, T.; Sajid, N.; Friston, K.J. Modules or Mean-Fields? Entropy 2020, 22, 552. [Google Scholar] [CrossRef]
- Pachon, A.; Polito, F.; Sacerdote, L. On the continuous-time limit of the Barabási-Albert random graph. Appl. Math. Comput. 2020, 378, 125177. [Google Scholar] [CrossRef]
- Paranjape, A.; Benson, A.R.; Leskovec, J. Motifs in Temporal Networks. In Proceedings of the Tenth ACM International Conference on Web Search and Data Mining, New York, NY, USA, 6–10 February 2017. [Google Scholar] [CrossRef]
- Sidorov, S.; Mironov, S.; Malinskii, I.; Kadomtsev, D. Local Degree Asymmetry for Preferential Attachment Model. Stud. Comput. Intell. 2021, 944, 450–461. [Google Scholar] [CrossRef]
- Sidorov, S.; Mironov, S.; Tyshkevich, S. Surprising Behavior of the Average Degree for a Node’s Neighbors in Growth Networks. In Proceedings of the Complex Networks & Their Applications X; Benito, R.M., Cherifi, C., Cherifi, H., Moro, E., Rocha, L.M., Sales-Pardo, M., Eds.; Springer: Cham, Switzerland, 2022; pp. 463–474. [Google Scholar]













Publisher’s Note: MDPI stays neutral with regard to jurisdictional claims in published maps and institutional affiliations. |
© 2022 by the authors. Licensee MDPI, Basel, Switzerland. This article is an open access article distributed under the terms and conditions of the Creative Commons Attribution (CC BY) license (https://creativecommons.org/licenses/by/4.0/).
Share and Cite
Sidorov, S.; Mironov, S.; Grigoriev, A.; Tikhonova, S. An Investigation into the Trend Stationarity of Local Characteristics in Media and Social Networks. Systems 2022, 10, 249. https://doi.org/10.3390/systems10060249
Sidorov S, Mironov S, Grigoriev A, Tikhonova S. An Investigation into the Trend Stationarity of Local Characteristics in Media and Social Networks. Systems. 2022; 10(6):249. https://doi.org/10.3390/systems10060249
Chicago/Turabian StyleSidorov, Sergei, Sergei Mironov, Alexey Grigoriev, and Sophia Tikhonova. 2022. "An Investigation into the Trend Stationarity of Local Characteristics in Media and Social Networks" Systems 10, no. 6: 249. https://doi.org/10.3390/systems10060249
APA StyleSidorov, S., Mironov, S., Grigoriev, A., & Tikhonova, S. (2022). An Investigation into the Trend Stationarity of Local Characteristics in Media and Social Networks. Systems, 10(6), 249. https://doi.org/10.3390/systems10060249

