Investigating Market Diffusion of Electric Vehicles with Experimental Design of Agent-Based Modeling Simulation
Abstract
:1. Introduction
2. Model Development
| Algorithm 1 Pseudo-Code for ABM Simulation |
| 1: for to do 2: Generate customers from a Poisson distribution with mean 500; 3: for to do 4: for =1 to do 5: Calculate utility for vehicle type ; 6: end 7: Utility vector for customer ; 8: Utility-based choice probability vector for customer ; 9: Generate a random probability from a Uniform distribution (0,1); 10: Choose vehicle type it 11: end 12: Count each type of vehicles purchased before or at time ; 13: Determine the cumulative market share of each vehicle type. 14: end |
3. Experimental Design and Simulation Results
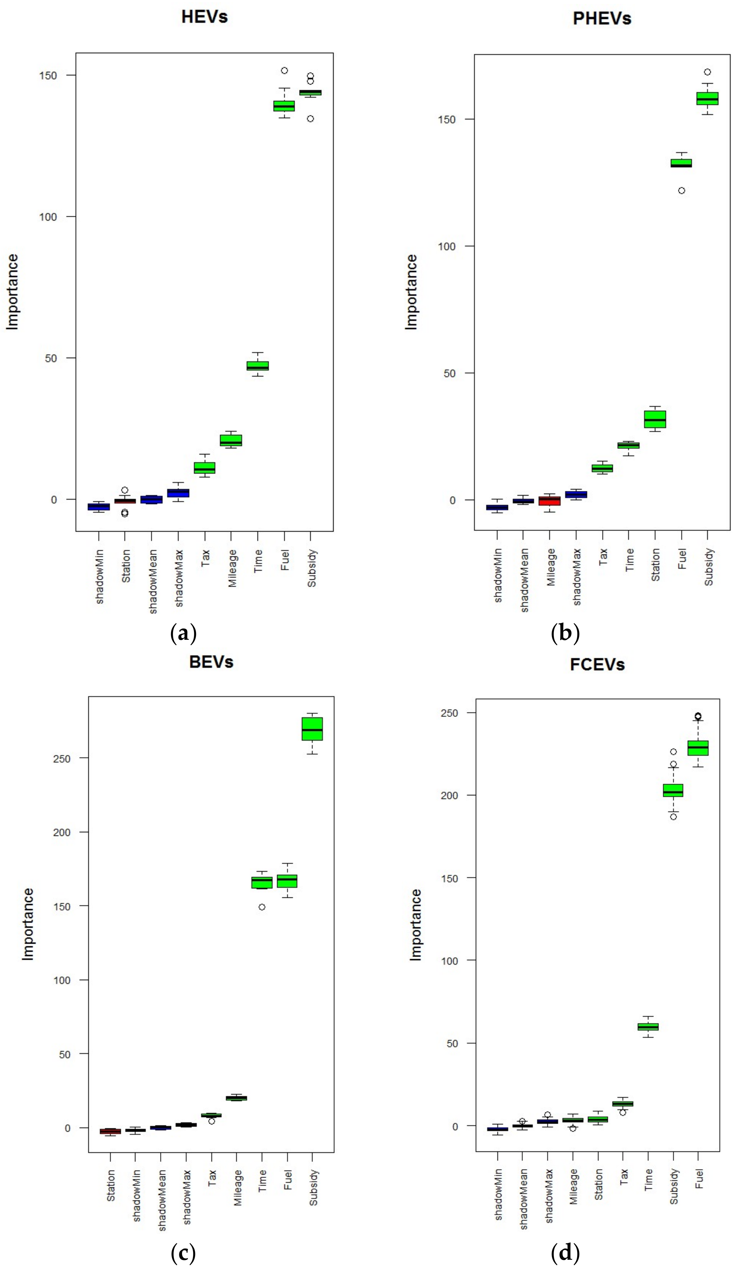
4. Statistical Analysis of SVM and RSM
4.1. Feature Selection with SVM
4.2. Statistical Analysis with RSM
5. Concluding Remarks
Author Contributions
Funding
Data Availability Statement
Conflicts of Interest
References
- Ribeiro, S.K.; Kobayashi, S.; Beuthe, M.; Gasca, J.; Greene, D.; Lee, D.S.; Muromachi, S.; Newton, P.J.; Plotkin, S.; Sperling, D.; et al. Transport and Its Infrastructure, Technical Report of Working Group III to the Fourth Assessment Report of the Intergovernmental Panel on Climate Change; Intergovernmental Panel on Climate Change: Geneva, Switzerland, 2007. [Google Scholar]
- International Energy Agency (IEA). Energy Technology Perspectives; International Energy Agency: Paris, France, 2010. [Google Scholar]
- International Energy Agency (IEA). World Energy Outlook; International Energy Agency: Paris, France, 2015. [Google Scholar]
- BEV, PHEV or HEV: The Differences Affect the Architecture. Available online: https://www.aptiv.com/en/insights/article/bev-phev-or-hev-the-differences-affect-the-architecture (accessed on 1 October 2021).
- Arora, A.; Niese, N.; Dreyer, E.; Waas, A.; Xie, A. Why Electric Cars Can’t Come Fast Enough; Boston Consulting Group: Boston, MA, USA, 2021. [Google Scholar]
- Gnann, T.; Stephens, T.S.; Lin, Z.; Plotz, P.; Liu, C.; Brokate, J. What Drives the Market for Plug-In Electric Vehicles?—A Review of International PEV Market Diffusion Models. Renew. Sustain. Energy Rev. 2018, 93, 158–164. [Google Scholar] [CrossRef]
- Bass, F.M. A New Product Growth Model for Consumer Durables. Manag. Sci. 1969, 15, 215–227. [Google Scholar] [CrossRef]
- David, P.A. A Contribution to the Theory of Diffusion; Stanford Centre for Research in Economic Growth: Stanford, CA, USA, 1969. [Google Scholar]
- Nelson, R.R.; Winter, S. An Evolutionary Theory of Economic Change; Harvard University Press: Cambridge, MA, USA, 1982. [Google Scholar]
- Hackbarth, A.; Madlener, R. Consumer Preferences for Alternative Fuel Vehicles: A Discrete Choice Analysis. Transp. Res. Part D Transp. Environ. 2013, 25, 5–17. [Google Scholar] [CrossRef] [Green Version]
- Hoen, A.; Koetse, M.J. A Choice Experiment on Alternative Fuel Vehicle Preferences of Private Car Owners in the Netherlands. Transp. Res. Part A Policy Pract. 2014, 61, 199–215. [Google Scholar] [CrossRef]
- Degirmenci, K.; Breitner, M.H. Consumer Purchase Intentions for Electric Vehicles: Is Green More Important Than Price and Range? Transp. Res. Part D Transp. Environ. 2017, 51, 250–260. [Google Scholar] [CrossRef] [Green Version]
- Dijk, M.; Kemp, R.; Valkering, P. Incorporating Social Context and Co-Evolution in an Innovation Diffusion Model with an Application to Cleaner Vehicles. J. Evol. Econ. 2013, 23, 295–329. [Google Scholar] [CrossRef] [Green Version]
- Eppstein, M.; Grover, D.; Marshall, J.; Rizzo, D. An Agent-Based Model to Study Market Penetration of Plug-In Hybrid Electric Vehicles. Energy Policy 2011, 39, 3789–3802. [Google Scholar] [CrossRef]
- Kangur, A.; Jager, W.; Verbrugge, R.; Bockarjova, M. An Agent-Based Model for Diffusion of Electric Vehicles. J. Environ. Psychol. 2017, 52, 166–182. [Google Scholar] [CrossRef] [Green Version]
- Ning, W.; Guo, J.; Liu, X.; Pan, H. Incorporating Individual Preference and Network Influence on Choice Behavior of Electric Vehicle Sharing Using Agent-Based Model. Int. J. Sustain. Transp. 2020, 14, 917–931. [Google Scholar] [CrossRef]
- Noori, M.; Tatari, O. Development of an Agent-Based Model for Regional Market Penetration Projections of Electric Vehicles in the United States. Energy 2016, 96, 215–230. [Google Scholar] [CrossRef]
- Shafiei, E.; Thorkelsson, H.; Asgeirsson, E.I.; Davidsdottir, B.; Raberto, M.; Stefansson, H. An Agent-Based Modeling Approach to Predict the Evolution of Market Share of Electric Vehicles: A Case Study from Iceland. Technol. Forecast. Soc. Chang. 2012, 79, 1638–1653. [Google Scholar] [CrossRef]
- Huang, X.; Lin, Y.; Zhou, F.; Lim, M.K.; Chen, S. Agent-Based Modelling for Market Acceptance of Electric Vehicles: Evidence from China. Sustain. Prod. Consum. 2021, 28, 206–217. [Google Scholar] [CrossRef]
- Sierzchula, W.; Bakker, S.; Maat, K.; Wee, B. The Influence of Financial Incentives and Other Socio-Economic Factors on Electric Vehicle Adoption. Energy Policy 2014, 68, 183–194. [Google Scholar] [CrossRef]
- Sznajd-Weron, K.; Szwabinski, J.; Weron, R.; Weron, T. Rewiring the Network. What Helps an Innovation to Diffuse? J. Stat. Mech. Theory Exp. 2014, 3, 3007. [Google Scholar] [CrossRef] [Green Version]
- Zhang, T.; Gensler, S.; Garcia, R. A Study of the Diffusion of Alternative Fuel Vehicles: An Agent-Based Modeling Approach. J. Prod. Innov. Manag. 2011, 28, 152–168. [Google Scholar] [CrossRef]
- Hao, H.; Ou, X.; Du, J.; Wang, H.; Ouyang, M. China’s Electric Vehicle Subsidy Scheme: Rationale and Impacts. Energy Policy 2014, 73, 722–732. [Google Scholar] [CrossRef]
- Fanchao, L.; Eric, M.; van Bert, W. Consumer Preferences for Electric Vehicles: A Literature Review. Transp. Rev. 2017, 37, 252–275. [Google Scholar]
- Maeng, K.; Ko, S.; Shin, J.; Cho, Y. How Much Electricity Sharing Will Electric Vehicle Owners Allow from Their Battery? Incorporating Vehicle-to-Grid Technology and Electricity Generation Mix. Energies 2020, 13, 4248. [Google Scholar] [CrossRef]
- Propfe, B.; Redelbach, M.; Santini, D.J.; Friedrich, H. Cost Analysis of Plug-In Hybrid Electric Vehicles Including Maintenance & Repair Costs and Resale Values. In Proceedings of the EVS26 International Battery, Hybrid and Fuel Cell Electric Vehicle Symposium, Los Angeles, CA, USA, 6–9 May 2012. [Google Scholar]
- Pham, D.T.; Prostov, Y.I.; Suarez-Alvarez, M.M. Statistical Approach to Numerical Databases: Clustering Using Normalized Minkowski Metrics. In Intelligent Production Machines and Systems; Pham, D.T., Eldukhri, E.E., Soroka, A.J., Eds.; Elsevier: Amsterdam, The Netherlands, 2006. [Google Scholar]
- Silvia, C.; Krause, R.M. Assessing the Impact of Policy Interventions on the Adoption of Plug-In Electric Vehicles: An Agent-Based Model. Energy Policy 2016, 96, 105–118. [Google Scholar] [CrossRef]
- Sun, X.; Liu, X.; Yun, W.; Fang, Y. The Effects of Public Subsidies on Emerging Industry: An Agent-Based Model of the Electric Vehicle Industry. Technol. Soc. Chang. 2019, 140, 281–295. [Google Scholar] [CrossRef]
- Kim, E.; Heo, E. Key Drivers behind the Adoption of Electric Vehicle in Korea: An Analysis of the Revealed Preferences. Sustainability 2019, 11, 6854. [Google Scholar] [CrossRef] [Green Version]
- Clinton, B.C.; Steinberg, D.C. Providing the Spark: Impact of Financial Incentives on Battery Electric Vehicle Adoption. J. Environ. Econ. Manag. 2019, 98, 102255. [Google Scholar] [CrossRef]
- Rahmandad, H.; Sterman, J. Heterogeneity and Network Structure in the Dynamics of Diffusion: Comparing Agent-Based and Differential Equation Models. Manag. Sci. 2008, 54, 998–1014. [Google Scholar] [CrossRef] [Green Version]






| Description of Attributes | Gasoline | Diesel | HEV | PHEV | BEV | FCEV |
|---|---|---|---|---|---|---|
| Fuel Cost ($/100 km) 1 | 9.3 | 6.1 | 5.6 | 6.1 | 2.5 | 8.8 |
| Purchase Price ($) 2 | 31,426 | 31,426 | 33,694 | 34,641 | 40,922 | 34,463 |
| Mileage Per Full Tank/Charge (km) 3 | 1000 | 1000 | 1000 | 750 | 175 | 750 |
| Refueling Time (min) 3 | 5 | 5 | 5 | 5 | - | 5 |
| Recharging Time (min) 3 | - | - | - | 240 | 480 | - |
| Fuel/Charging Station Availability (%) 1,3 | 100 | 100 | 100 | 43.3 | 14.1 | 0.2 |
| CO2 Emission (%) 3 | 100 | 100 | 77 | 31 | 0 | 0 |
| Factors | Levels | Values | ||
|---|---|---|---|---|
| A: Purchase Tax on ICEVs (% Purchase Price) | 3 | 5%, | 10%, | 15% |
| B: Fuel Cost (% Increase) | 3 | 0%, | 15%, | 30% |
| C: Purchase Subsidy for EVs (% Purchase Price) | 3 | 0%, | 10%, | 20% |
| D: Driving Mileage Per Full Charge (% Improvement) | 3 | 0%, | 50%, | 100% |
| E: Battery Charging Time (% Reduction) | 3 | 0%, | 25%, | 50% |
| F: Charging Station Availability (% Increase) | 3 | 0%, | 50%, | 100% |
| Factors | HEV | PHEV | BEV | FCEV | All EVs | |||||
|---|---|---|---|---|---|---|---|---|---|---|
| Mean | Rank | Mean | Rank | Mean | Rank | Mean | Rank | Mean | Rank | |
| A | 11.24 | 5 | 12.31 | 5 | 7.74 | 5 | 13.15 | 4 | 92.46 | 3 |
| B | 140.14 | 2 | 131.80 | 2 | 166.49 | 3 | 229.27 | 1 | 146.55 | 2 |
| C | 143.82 | 1 | 158.72 | 1 | 268.44 | 1 | 202.70 | 2 | 391.45 | 1 |
| D | 20.53 | 4 | −0.69 | 6 | 20.17 | 4 | 3.26 | 5 | 4.19 | 5 |
| E | 47.20 | 3 | 20.91 | 4 | 167.24 | 2 | 59.57 | 3 | 19.92 | 4 |
| F | −1.01 | 6 | 31.44 | 3 | −2.47 | 6 | 3.74 | 6 | −1.89 | 6 |
| Source of Variation | Sum of Squares | Degrees of Freedom | Mean Squares | F-Statistic | p-Value | |
|---|---|---|---|---|---|---|
| First-Order (0.899) | Model | 52,270 | 5 | 10,454.0 | 12,934.76 | <0.001 * |
| Residuals | 5887 | 7284 | 0.8082 | |||
| Lack of fit | 716 | 237 | 3.0211 | 4.1171 | <0.001 * | |
| Pure Error | 5171 | 7047 | 0.7338 | |||
| Total | 58,157 | 7289 | ||||
| Two-Way Interaction (0.902) | Model | 52,489 | 15 | 3499.20 | 4490.68 | <0.001 * |
| Residuals | 5668 | 7274 | 0.7792 | |||
| Lack of fit | 497 | 227 | 2.1894 | 2.9837 | <0.001 * | |
| Pure Error | 5171 | 7047 | 0.7338 | |||
| Total | 58,157 | 7289 | ||||
| Pure Quadratic (0.904) | Model | 52,587 | 10 | 5258.70 | 6872.19 | <0.001 * |
| Residuals | 5570 | 7279 | 0.7652 | |||
| Lack of fit | 399 | 232 | 1.7198 | 2.3438 | <0.001 * | |
| Pure Error | 5171 | 7047 | 0.7338 | |||
| Total | 58,157 | 7289 | ||||
| Second-Order (0.908) | Model | 52,805 | 20 | 2640.25 | 3585.95 | <0.001 * |
| Residuals | 5352 | 7269 | 0.7362 | |||
| Lack of fit | 181 | 222 | 0.8153 | 1.1111 | 0.131 | |
| Pure Error | 5171 | 7047 | 0.7338 | |||
| Total | 58,157 | 7289 |
| Effects | Estimate | Standard Error | p-Value |
|---|---|---|---|
| Purchase Tax | 0.5266 | 0.0123 | <0.001 * |
| Fuel Cost | 0.7066 | 0.0123 | <0.001 * |
| Purchase Subsidy | 3.1480 | 0.0123 | <0.001 * |
| Driving Mileage | 0.1130 | 0.0123 | <0.001 * |
| Charging Time | 0.2369 | 0.0123 | <0.001 * |
| Purchase Tax: Fuel Cost | −0.0669 | 0.0151 | <0.001 * |
| Purchase Tax: Purchase Subsidy | −0.1412 | 0.0151 | <0.001 * |
| Purchase Tax: Driving Mileage | −0.0140 | 0.0151 | 0.3522 |
| Purchase Tax: Charging Time | −0.0261 | 0.0151 | 0.0839 |
| Fuel Cost: Purchase Subsidy | −0.1909 | 0.0151 | <0.001 * |
| Fuel Cost: Driving Mileage | 0.0014 | 0.0151 | 0.9245 |
| Fuel Cost: Charging Time | 0.0026 | 0.0151 | 0.8618 |
| Purchase Subsidy: Driving Mileage | −0.0434 | 0.0151 | 0.0040 * |
| Purchase Subsidy: Charging Time | −0.0612 | 0.0151 | <0.001 * |
| Driving Mileage: Charging Time | −0.0051 | 0.0151 | 0.7339 |
| Purchase Tax2 | 0.0026 | 0.0213 | 0.9039 |
| Fuel Cost2 | −0.0095 | 0.0213 | 0.6568 |
| Purchase Subsidy2 | −0.4419 | 0.0213 | <0.001 * |
| Driving Mileage2 | −0.0096 | 0.0213 | 0.6518 |
| Charging Time2 | −0.0073 | 0.0213 | 0.7336 |
Publisher’s Note: MDPI stays neutral with regard to jurisdictional claims in published maps and institutional affiliations. |
© 2022 by the authors. Licensee MDPI, Basel, Switzerland. This article is an open access article distributed under the terms and conditions of the Creative Commons Attribution (CC BY) license (https://creativecommons.org/licenses/by/4.0/).
Share and Cite
Ebrie, A.S.; Kim, Y.J. Investigating Market Diffusion of Electric Vehicles with Experimental Design of Agent-Based Modeling Simulation. Systems 2022, 10, 28. https://doi.org/10.3390/systems10020028
Ebrie AS, Kim YJ. Investigating Market Diffusion of Electric Vehicles with Experimental Design of Agent-Based Modeling Simulation. Systems. 2022; 10(2):28. https://doi.org/10.3390/systems10020028
Chicago/Turabian StyleEbrie, Awol Seid, and Young Jin Kim. 2022. "Investigating Market Diffusion of Electric Vehicles with Experimental Design of Agent-Based Modeling Simulation" Systems 10, no. 2: 28. https://doi.org/10.3390/systems10020028
APA StyleEbrie, A. S., & Kim, Y. J. (2022). Investigating Market Diffusion of Electric Vehicles with Experimental Design of Agent-Based Modeling Simulation. Systems, 10(2), 28. https://doi.org/10.3390/systems10020028

