Seed Coating with Hydro-Absorbers as Potential Mitigation of Early Season Drought in Sorghum (Sorghum bicolor L. Moench)
Abstract
:1. Introduction
2. Materials and Methods
2.1. Plant Materials and Growth Conditions
2.2. The Mass of Sorghum Grains
2.3. Experimental Setup
2.3.1. Determination of Early Seedling Root Length and Dry Matter
2.3.2. Determination of Plant Height and Leaf Parameters
2.3.3. Seedling Growth after Re-Watering
2.3.4. Statistical Analysis
3. Results
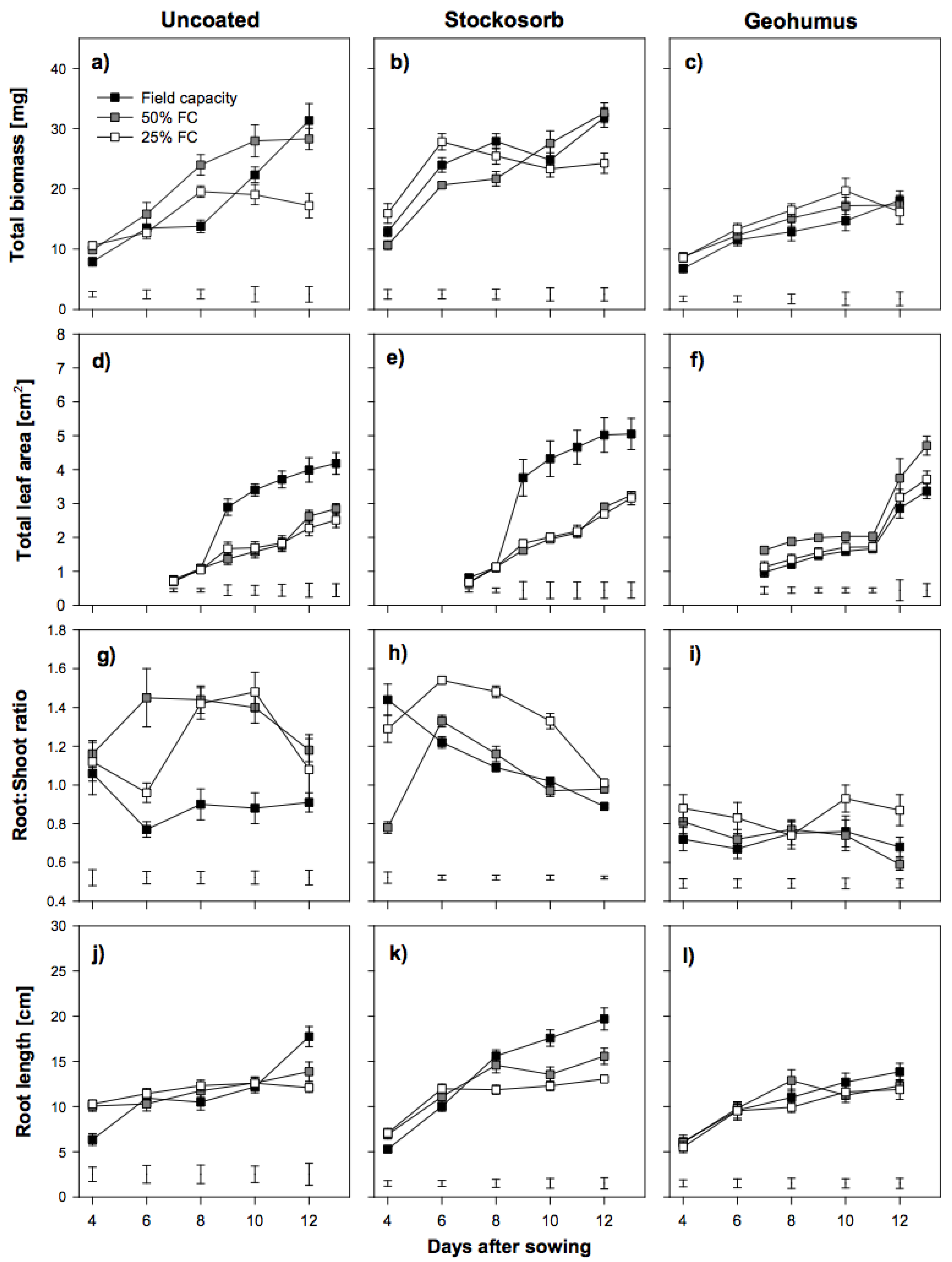
3.1. Coating Effects on Seedling Growth under Fully Watered Conditions
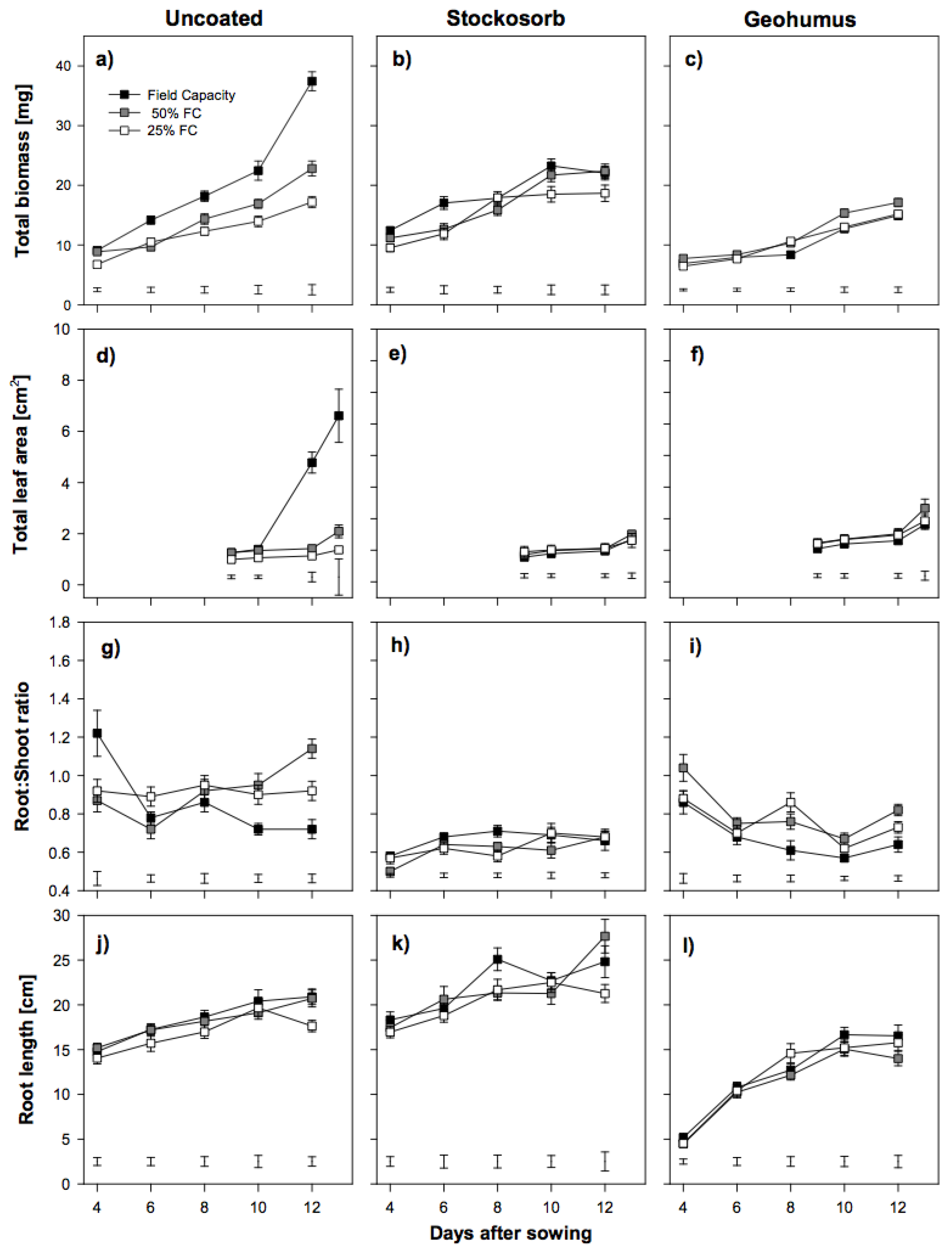
3.2. Seedling Growth under Water Deficit without Hydro-Absorber Coatings
3.3. Effect of Coating on Seedling Growth during Water Deficit
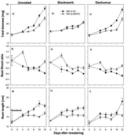
3.4. Effect of Re-Watering on Seedlings Growth
4. Discussion
4.1. Effects of Coating on Seedling Growth without Water Limitations
4.2. Effects of Water Deficit on Seedlings Grown from Uncoated Seeds
4.3. Effects of Soil Moisture Deficit on Seedlings Growing from Coated Seeds
4.4. Interaction between Soil Moisture Deficit, Coatings and the Two Sorghum Varieties
4.5. Response of Seedlings to Re-Watering
5. Conclusions
Acknowledgments
Author Contributions
Conflicts of Interest
References
- The World Sorghum and Millet eEconomies: Facts, Trends and Outlook. Available online: http://www.fao.org/documents/en/detail/22369 (accessed on 7 February 2017).
- Ali, M.A.; Jabran, K.; Awan, S.I.; Abbas, A.; Ehsanullah; Zulkiffal, M.; Acet, T.; Farooq, J.; Rehman, A. Morpho-physiological diversity and its implications for improving drought tolerance in grain sorghum at different growth stages. Aus. J. Crop Sci. 2011, 5, 311–320. [Google Scholar]
- Van de Giesen, N.; Liebe, J.; Jung, G. Adapting to climate change in the Volta Basin, West Africa. Cur. Sci. 2010, 98, 1033–1037. [Google Scholar]
- Volaire, F. Seeding survival under drought differs between an annual (Hordeum vulgare) and a perennial grass (Dactylis glomerata). New Phyt. 2003, 160, 501–510. [Google Scholar] [CrossRef]
- Marteau, R.; Sultan, B.; Moron, V.; Alhassane, A.; Baron, C.; Traoré, S.B. The onset of the rainy season and farmers’ sowing strategy for pearl millet cultivation in southwest Niger. Agr. Forest Meteo. 2011, 151, 1356–1369. [Google Scholar]
- Smith, R.L.; Hoveland, C.S.; Hanna, W.W. Water stress and temperature in relation to seed germination of pearl millet and sorghum. Agron. J. 1989, 81, 303–305. [Google Scholar]
- Takele, A. Seedling emergence and growth of sorghum genotypes under variable soil moisture deficit. Acta Agron. Hung. 2000, 48, 95–102. [Google Scholar]
- Nour, A.E.M.; Weibel, D.E.; Todd, G.W. Effect of repeated drought periods on the survival of sorghum seedlings. Agron. J. 1978, 70, 509–510. [Google Scholar]
- Borrell, A.K.; Jordan, D.; Mullet, J.; Klein, P.; Klein, R.; Nguyen, H.; Rosenow, D.; Hammer, G.; Douglas, A.; Henzell, B. Discovering stay-green drought tolerance genes in sorghum: A multidisciplinary approach. In Proceedings of the Fourth International Crop Science Congress, Brisbane, Australia, 1–5 September 2004. [Google Scholar]
- Patil, S.L. Performance of sorghum varieties and hybrids during post-rainy season under drought situations in vertisols in Bellary, India. J. SAT Agr. Res. 2007, 5, 1–3. [Google Scholar]
- Mutava, R.N.; Prasad, P.V.V.; Tuinstra, M.R.; Kofoid, K.D.; Yu, J. Characterization of sorghum genotypes for traits related to drought tolerance. Field Crops Res. 2011, 23, 10–18. [Google Scholar]
- Sabadin, P.K.; Malosetti, M.; Boer, M.P.; Tardin, F.D.; Santos, F.G.; Guimarães, C.T.; Gomide, R.L.; Andrade, C.L.T.; Albuquerque, P.E.P.; Caniato, F.F.; Mollinari, M.; Margarido, G.R.A.; Oliveira, B.F.; Schaffert, R.E.; Garcia, A.A.F.; van Eeuwijk, F.A.; Magalhaes, J.V. Studying the genetic basis of drought tolerance in sorghum by managed stress trials and adjustments for phenological and plant height differences. Theor. Appl. Gen. 2012, 124, 1389–1402. [Google Scholar] [CrossRef] [PubMed]
- Abdulai, A.L.; Parzies, H.; Kouressy, M.; Vaksmann, M.; Asch, F.; Brueck, H. Yield stability of photoperiod sensitive sorghum (Sorghum bicolor L. Moench) accessions under diverse climatic environments. Int. J. Agr. Res. 2012, 7, 17–32. [Google Scholar]
- Scott, J.M.; Jessop, R.S.; Steer, R.J.; Mclachlan, G.D. Effects of nutrients seed coating on the germination of wheat and oats. Fert. Res. 1987, 14, 205–217. [Google Scholar] [CrossRef]
- Hassan, Z.A.; Young, S.D.; Hepburn, C.; Arizal, R. An evaluation of urea-rubber matrices as slow-release fertilizer. Fert. Res. 1990, 22, 63–70. [Google Scholar] [CrossRef]
- Powell, A.A.; Matthew, S. Seed treatment: Development and prospect. Out. Agr. 1988, 17, 93–103. [Google Scholar] [CrossRef]
- Kaufman, G. Seed coating: A tool for stand establishment; A stimulus to seed quality. Hort. Techn. 1991, 1, 98–102. [Google Scholar]
- Gorim, L.; Asch, F. Effects of composition and share of seed coatings on the mobilization efficiency of cereal seeds during germination. J. Agron. Crop Sci. 2012, 198, 81–91. [Google Scholar] [CrossRef]
- Clark, R.B. Nutrient solution growth of sorghum and corn in mineral nutrition studies. J. Plant Nutr. 1982, 5, 1039–1057. [Google Scholar] [CrossRef]
- Fracasso, A.; Trindade, L.; Amaducci, S. Drought tolerance strategies highlighted by two races in a dry-down experiment. J. Plant Phys. 2016, 190, 1–14. [Google Scholar] [CrossRef] [PubMed]
- Gorim, L.; Asch, F. Seed coating reduces respiration losses and affects sugar metabolism during germination and early seedling growth in cereals. Func. Plant. Biol. 2015, 42, 209–218. [Google Scholar] [CrossRef]
- Kramer, P.J. Water Relations in Plants; Academic Press: New York, NY, USA, 1983; pp. 155–166. [Google Scholar]
- Gill, P.K.; Sharma, A.D.; Singh, P.; Bhullar, S.S. Effects of various abiotic stresses on the growth, soluble sugars and water relations of sorghum seedlings grown in light and darkness. Bul. J. Plant Phys. 2001, 27, 72–84. [Google Scholar]
- Kameli, A.; Losel, D.M. Growth and sugar accumulation in durum wheat plants under water stress. New Phytol. 1996, 132, 57–62. [Google Scholar] [CrossRef]
- Tardieu, F.; Reymond, M.; Hamard, P.; Granier, C.; Muller, B. Spatial distribution of expansion rate, cell division rate and cell size in maize leaves: A synthesis of the effects of soil water status, evaporative demand and temperature. J. Exp. Bot. 2000, 51, 1505–1514. [Google Scholar] [CrossRef] [PubMed]
- Bibi, A.; Sadaqat, H.A.; Tahir, M.h.N.; Akram, H.M. Screening of sorghum (Sorghum bicolor Var Moench) for drought tolerance at seedling stage in polyethylene glycol. J. Animal Plant Sci. 2012, 22, 671–678. [Google Scholar]
- Nha, D.A. Environmental effects on physical properties of Geohumus and effects of its application on drought responses in maize. Ph.D. Thesis, University of Hohenheim, Stuttgart, Germany, 2013. [Google Scholar]
- Perata, P.; Guglielminetti, L.; Alpi, A. Mobilization of endosperm reserves in cereal seeds under anoxia. Ann. Bot. 1997, 79, 49–56. [Google Scholar] [CrossRef]
- Koch, K. Sucrose metabolism: Regulatory mechanisms and pivotal roles in sugar sensing and plant development. Cur. Opin. Plant Biol. 2004, 7, 235–246. [Google Scholar] [CrossRef] [PubMed]
- Xu, Z.; Zhou, G.; Shimizu, H. Are plant growth and photosynthesis limited by pre-drought following rewatering in grass? J. Exp. Bot. 2009, 60, 3737–3749. [Google Scholar] [CrossRef] [PubMed]





| Treatments | ||||||||||
|---|---|---|---|---|---|---|---|---|---|---|
| Uncoated | Stockosorb | Geohumus | ||||||||
| Moisture levels | ||||||||||
| DAS | FC | 50% FC | 25% FC | FC | 50% FC | 25% FC | FC | 50% FC | 25% FC | |
| Variety | Second leaves | |||||||||
| Susu | 6 | 6.1 (±1.0) aA | 4.7 (±0.6) aB | 4.6 (±0.7) aA | 5.5 (±0.8) aA | 6.3 (±0.8) aB | 6.5 (±1.0) aA | 7.2 (±0.5) aA | 8.4 (±0.9) aA | 7.4 (±1.0) aA |
| 8 | 3.9 (±0.6) aA | 3.1 (±0.3) abB | 2.9 (±0.4) bB | 3.8 (±0.4) aB | 4.7 (±0.4) aAB | 3.7 (±0.5) aB | 5.2 (±0.4) aB | 4.9 (±0.4) aA | 6.2 (±0.7) aA | |
| 10 | 3.3 (±0.5) aB | 2.9 (±0.3) aB | 2.6 (±0.3) aB | 3.3 (±0.4) aB | 4.0 (±0.3) aA | 3.5 (±0.5) aB | 4.5 (±0.4) abA | 4.0 (±0.3) bA | 5.6 (±0.7) aA | |
| Third leaves | ||||||||||
| 9 | 26.7 (±2.2) aA | 11.3 (±1.3) bA | 12.6 (±1.0) bAB | 27.6 (±1.8) aA | 14.3 (±2.4) bA | 13.9 (±1.0) bA | 12.0 (±1.3) aB | 9.5 (±0.7) aA | 10.0 (±1.0) aB | |
| 11 | 13.2 (±0.8) aA | 5.3 (±0.6) bB | 5.9 (±0.6) bB | 14.1 (±0.9) aA | 6.9 (±0.9) abB | 7.1 (±0.4) bAB | 9.2 (±0.9) aB | 10.0 (±0.5) aA | 8.8 (±0.8) aA | |
| 13 | 11.4 (±0.8) aA | 6.8 (±0.6) bB | 5.9 (±0.6) bB | 11.3 (±0.6) aA | 7.5 (±0.7) abAB | 6.5 (±0.3) bAB | 8.1 (±0.6) abB | 8.6 (±0.4) aA | 7.0 (±0.5) bA | |
| Piper | Second Leaves | |||||||||
| 6 | 15.3 (±1.7) aA | 16.4 (±1.1) aA | 13.9 (±0.6) aA | 6.6 (±0.9) aC | 8.7 (±0.7) aB | 9.3 (±1.6) aB | 10.3 (±1.2) aB | 9.8 (±1.0) aB | 9.3 (±0.7) aB | |
| 8 | 8.5 (±0.3) aA | 8.2 (±0.4) abA | 6.8 (±0.3) bA | 5.9 (±0.3) aB | 5.1 (±0.4) bC | 5.8 (±0.5) aA | 6.2 (±0.3) aB | 6.6 (±0.8) aB | 6.4 (±0.4) aA | |
| 10 | 8.0 (±0.4) aA | 7.2 (±0.4) aA | 6.1 (±0.2) bA | 4.5 (±0.2) aB | 3.7 (±0.3) aB | 4.1 (±0.3) aA | 4.6 (±0.3) aB | 5.0 (±0.7) aA | 4.8 (±0.3) aA | |
| Third leaves | ||||||||||
| 9 | 16.8 (±1.6) aA | 13.0 (±1.4) abA | 7.9 (±1.3) bB | 17.3 (±1.6) aA | 12.5 (±2.4) aA | 13.3 (±1.9) aAB | 13.0 (±1.7) aA | 15.8 (±1.3) aA | 16.9 (±2.2) aA | |
| 11 | 17.8 (±1.0) aA | 10.2 (±0.9) bA | 9.7 (±1.4) bA | 12.4 (±0.9) aB | 10.4 (±0.9) aA | 6.8 (±0.6) bA | 10.3 (±0.9) aB | 11.0 (±0.8) aA | 9.8 (±0.8) aA | |
| 13 | 14.6 (±0.6) aA | 8.7 (±0.6) bA | 6.3 (±0.6) cA | 9.8 (±0.9) aB | 9.5 (±0.7) abA | 6.9 (±1.1) bA | 9.3 (±1.9) aB | 9.5 (±0.7) aA | 7.4 (±0.5) aA | |
© 2017 by the authors. Licensee MDPI, Basel, Switzerland. This article is an open access article distributed under the terms and conditions of the Creative Commons Attribution (CC BY) license (http://creativecommons.org/licenses/by/4.0/).
Share and Cite
Gorim, L.; Asch, F. Seed Coating with Hydro-Absorbers as Potential Mitigation of Early Season Drought in Sorghum (Sorghum bicolor L. Moench). Biology 2017, 6, 33. https://doi.org/10.3390/biology6030033
Gorim L, Asch F. Seed Coating with Hydro-Absorbers as Potential Mitigation of Early Season Drought in Sorghum (Sorghum bicolor L. Moench). Biology. 2017; 6(3):33. https://doi.org/10.3390/biology6030033
Chicago/Turabian StyleGorim, Linda, and Folkard Asch. 2017. "Seed Coating with Hydro-Absorbers as Potential Mitigation of Early Season Drought in Sorghum (Sorghum bicolor L. Moench)" Biology 6, no. 3: 33. https://doi.org/10.3390/biology6030033
APA StyleGorim, L., & Asch, F. (2017). Seed Coating with Hydro-Absorbers as Potential Mitigation of Early Season Drought in Sorghum (Sorghum bicolor L. Moench). Biology, 6(3), 33. https://doi.org/10.3390/biology6030033

