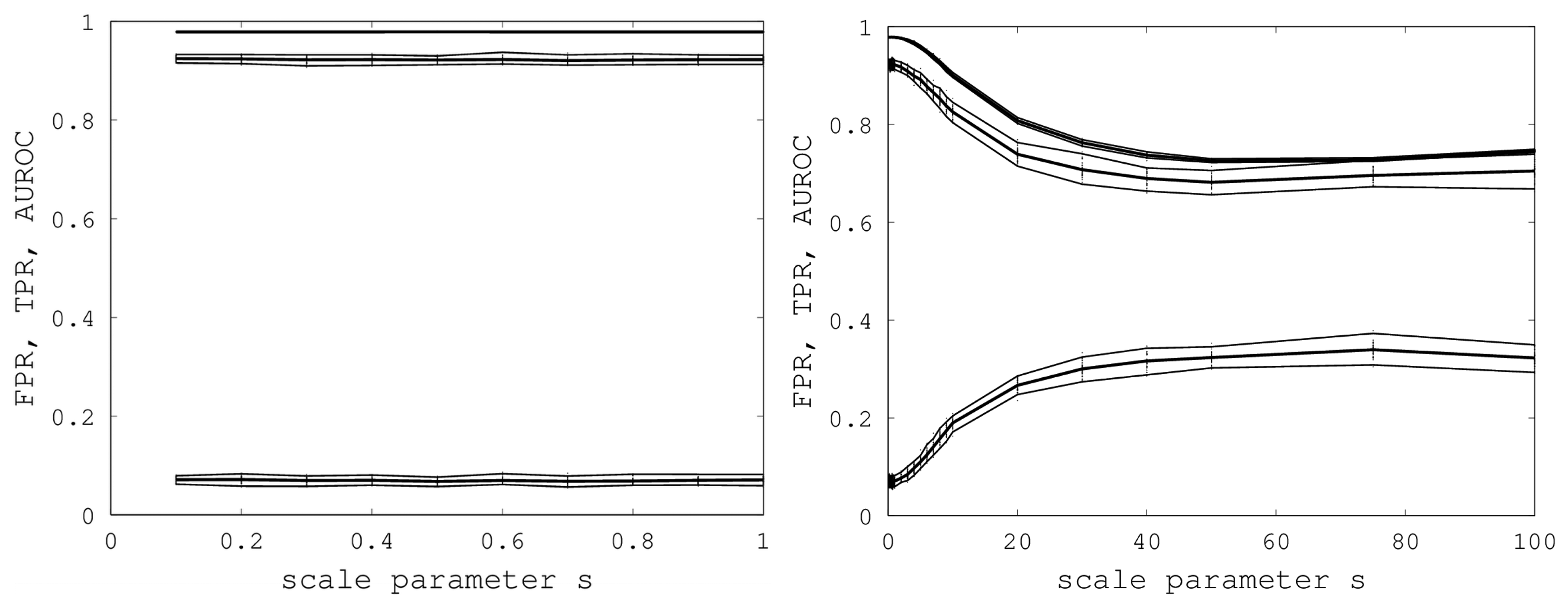
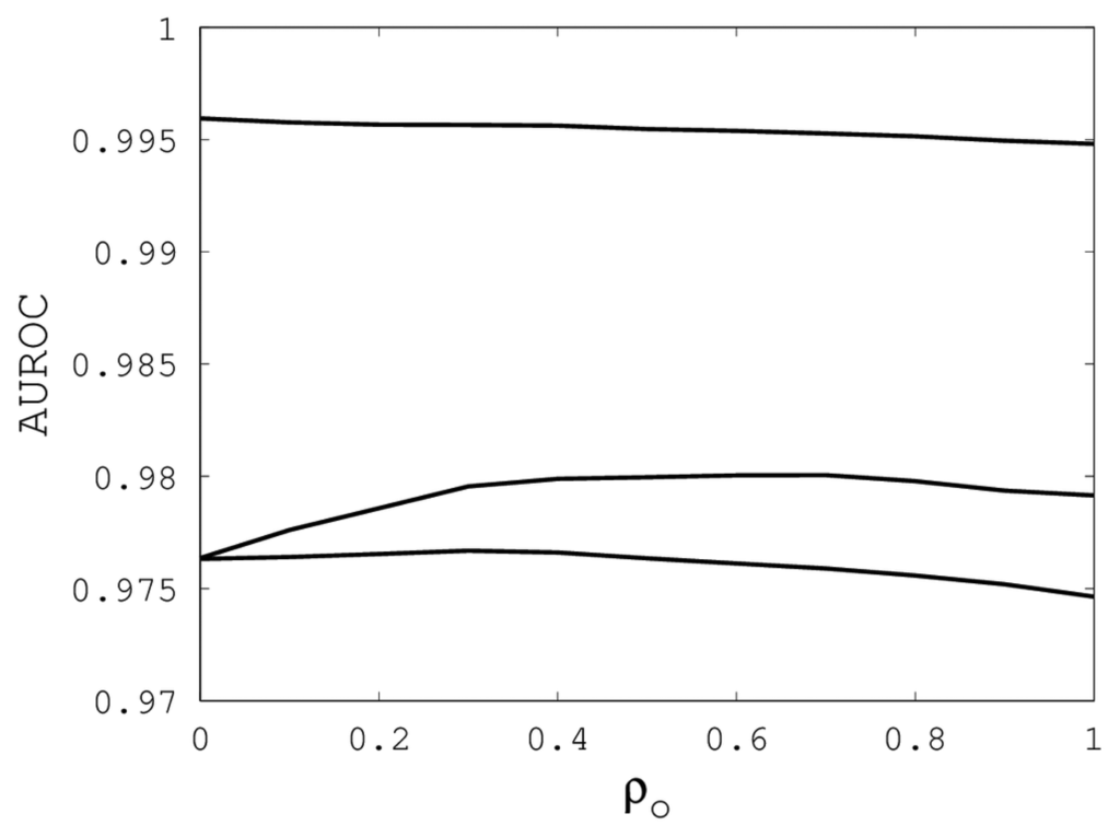
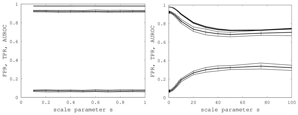
Dynamic Programming Used to Align Protein Structures with a Spectrum Is Robust
Holder, A.; Simon, J.; Strauser, J.; Taylor, J.; Shibberu, Y. Dynamic Programming Used to Align Protein Structures with a Spectrum Is Robust. Biology 2013, 2, 1296-1310. https://doi.org/10.3390/biology2041296
Holder A, Simon J, Strauser J, Taylor J, Shibberu Y. Dynamic Programming Used to Align Protein Structures with a Spectrum Is Robust. Biology. 2013; 2(4):1296-1310. https://doi.org/10.3390/biology2041296
Chicago/Turabian StyleHolder, Allen, Jacqueline Simon, Jonathon Strauser, Jonathan Taylor, and Yosi Shibberu. 2013. "Dynamic Programming Used to Align Protein Structures with a Spectrum Is Robust" Biology 2, no. 4: 1296-1310. https://doi.org/10.3390/biology2041296

