Sleep-like State in Pond Snails Leads to Enhanced Memory Formation
Abstract
Simple Summary
Abstract
1. Introduction
2. Materials and Methods
2.1. Snails
2.2. Sleep-like Quiescent State
2.3. Escape Behavior Suppression Learning
2.4. Statistics
3. Results
3.1. Exhibition of Sleep-like Quiescent State for 3 h Period
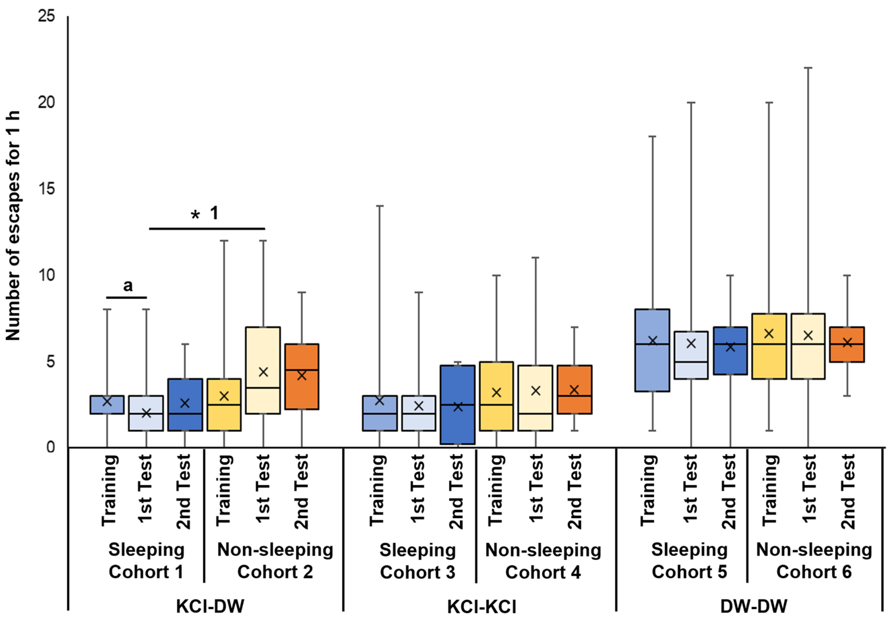
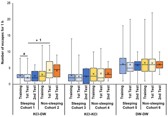
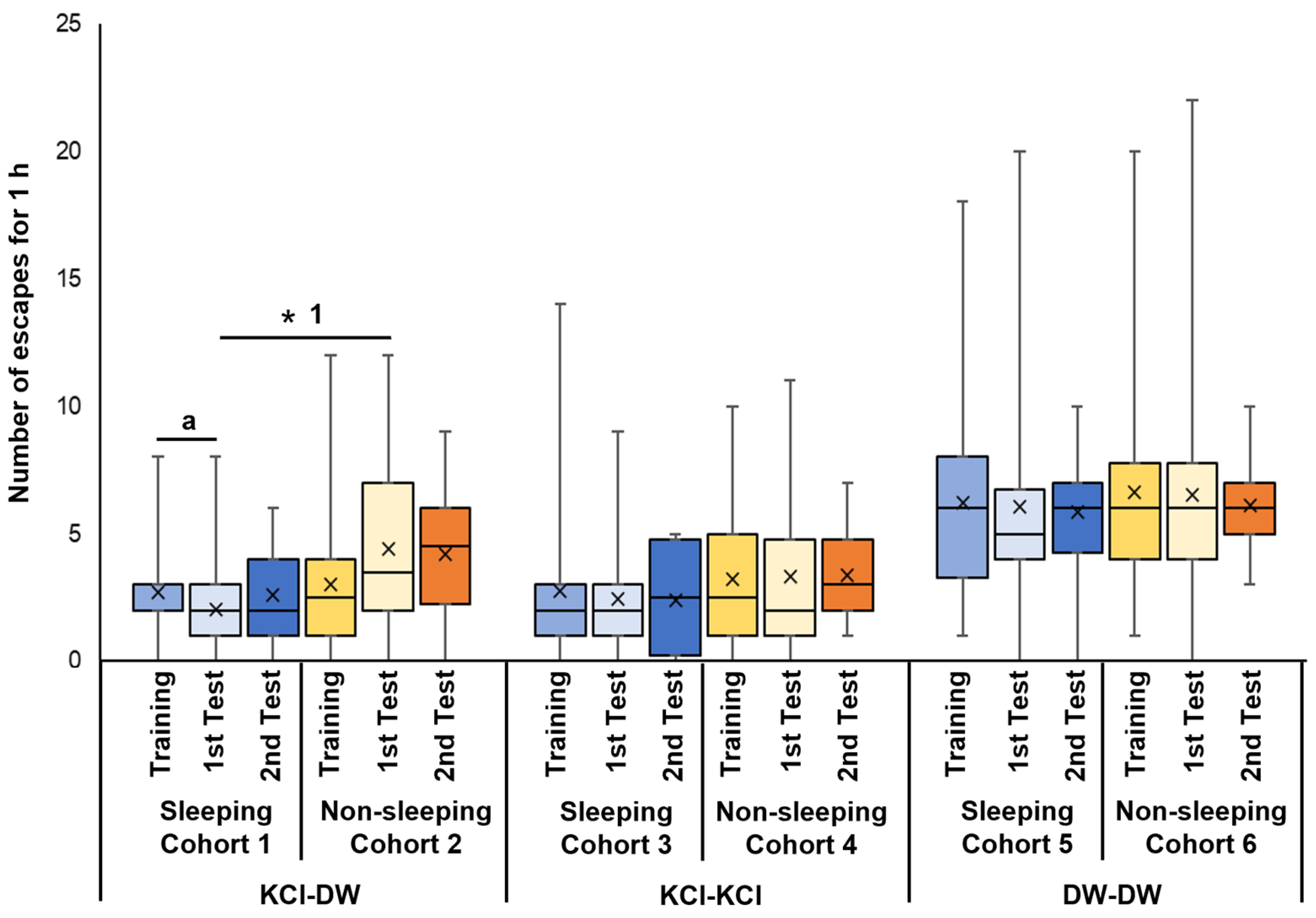
3.2. Comparison of Escape Behavior after EBSL between Snails That Experienced the Sleep-like Quiescent State and Those in the Active State
3.3. Comparison of Latency of the 1st Escape Behavior after EBSL between Snails That Experienced the Sleep-like Quiescent State and Those in the Active State
4. Discussion
5. Conclusions
Author Contributions
Funding
Institutional Review Board Statement
Informed Consent Statement
Data Availability Statement
Conflicts of Interest
References
- Brodt, S.; Inostroza, M.; Niethard, N.; Born, J. Sleep—A brain-state serving systems memory consolidation. Neuron 2023, 11, 1050–1075. [Google Scholar] [CrossRef] [PubMed]
- Zhou, Z.; Norimoto, H. Sleep sharp wave ripple and its functions in memory and synaptic plasticity. Neurosci. Res. 2023, 189, 20–28. [Google Scholar] [CrossRef] [PubMed]
- Ackermann, S.; Rasch, B. Differential effects of non-REM and REM sleep on memory consolidation? Curr. Neurol. Neurosci. Rep. 2014, 14, 430. [Google Scholar] [CrossRef] [PubMed]
- Bruce, D.D. Sleep in animals. In Psychopharmacology of Sleep; Wheatley, D., Ed.; Raven Press: New York, NY, USA, 1981. [Google Scholar]
- Cirelli, C.; Tononi, G. Is sleep essential? PLoS Biol. 2008, 6, e216. [Google Scholar] [CrossRef] [PubMed]
- Flanigan, W.F., Jr. Sleep and wakefulness in iguanid lizards, Ctenosaura pectinata and Iguana iguana. Brain Behav. Evol. 1973, 8, 401–436. [Google Scholar] [CrossRef] [PubMed]
- Hartse, K.M. The phylogeny of sleep. In Handbook of Clinical Neurology, 1st ed.; Montagna, P., Chokroverty, S., Eds.; Elsevier: Amsterdam, The Netherlands, 2011; Volume 98, pp. 97–109. [Google Scholar] [CrossRef]
- Piéron, H. Le problème physiologique du sommeil, Masson et Cie: Paris. Science 1913, 37, 525–526. [Google Scholar] [CrossRef]
- Tobler, I. Effect of forced locomotion on the rest-activity cycle of the cockroach. Behav. Brain Res. 1983, 8, 351–360. [Google Scholar] [CrossRef] [PubMed]
- Zimmerman, J.E.; Naidoo, N.; Raizen, D.M.; Pack, A.I. Conservation of sleep: Insights from non-mammalian model systems. Trends Neurosci. 2008, 31, 371–376. [Google Scholar] [CrossRef]
- Vorster, A.P.; Krishnan, H.C.; Cirelli, C.; Lyons, L.C. Characterization of sleep in Aplysia californica. Sleep 2014, 37, 1453–1463. [Google Scholar] [CrossRef]
- Hendricks, J.C.; Finn, S.M.; Panckeri, K.A.; Chavkin, J.; Williams, J.A.; Sehgal, A.; Pack, A.I. Rest in Drosophila is a sleep-like state. Neuron 2000, 25, 129–138. [Google Scholar] [CrossRef]
- Shaw, P.J.; Cirelli, C.; Greenspan, R.J.; Tononi, G. Correlates of sleep and waking in Drosophila melanogaster. Science 2000, 287, 1834–1837. [Google Scholar] [CrossRef] [PubMed]
- Marquand, K.; Roselli, C.; Cervantes-Sandoval, I.; Boto, T. Sleep benefits different stages of memory in Drosophila. Front. Physiol. 2000, 14, 1087025. [Google Scholar] [CrossRef] [PubMed]
- Yin, J.C.P.; Cui, E.; Hardin, P.E.; Zhou, H. Circadian disruption of memory consolidation in Drosophila. Front. Syst. Neurosci. 2023, 17, 1129152. [Google Scholar] [CrossRef]
- Komatsuzaki, Y.; Lukowiak, K. Epicatechin alters the activity of a neuron necessary for long-term memory of aerial respiratory behavior in Lymnaea stagnalis. Zool. Sci. 2022, 39, 365–373. [Google Scholar] [CrossRef] [PubMed]
- Chikamoto, N.; Fujimoto, K.; Nakai, J.; Namiki, K.; Hatakeyama, D.; Ito, E. Genes upregulated by operant conditioning of escape behavior in the pond snail Lymnaea stagnalis. Zool. Sci. 2023, 40, 375–381. [Google Scholar] [CrossRef]
- Crossley, M.; Benjamin, P.R.; Kemenes, G.; Staras, K.; Kemenes, I. A circuit mechanism linking past and future learning through shifts in perception. Sci. Adv. 2023, 9, eadd3403. [Google Scholar] [CrossRef]
- Nakai, J.; Namiki, K.; Fujimoto, K.; Hatakeyama, D.; Ito, E. FOXO in Lymnaea: Its probable involvement in memory consolidation. Biology 2023, 12, 1201. [Google Scholar] [CrossRef] [PubMed]
- Rivi, V.; Batabyal, A.; Lukowiak, K.; Benatti, C.; Rigillo, G.; Tascedda, F.; Blom, J.M.C. LPS-induced Garcia effect and its pharmacological regulation mediated by acetylsalicylic acid: Behavioral and transcriptional evidence. Biology 2023, 12, 1100. [Google Scholar] [CrossRef] [PubMed]
- Stephenson, R.; Lewis, V. Behavioural evidence for a sleep-like quiescent state in a pulmonate mollusc, Lymnaea stagnalis (Linnaeus). J. Exp. Biol. 2011, 214, 747–756. [Google Scholar] [CrossRef] [PubMed]
- Kobayashi, S.; Kojima, S.; Yamanaka, M.; Sadamoto, H.; Nakamura, H.; Fujito, Y.; Kawai, R.; Sakakibara, M.; Ito, E. Operant conditioning of escape behavior in the pond snail, Lymnaea stagnalis. Zool. Sci. 1998, 15, 683–690. [Google Scholar] [CrossRef]
- Benatti, C.; Rivi, V.; Colliva, C.; Radighieri, G.; Tascedda, F.; Blom, J.M.C. Redefining operant conditioning of escape behaviour in Lymnaea stagnalis. Invertebr. Survive. J. 2020, 17, 129–137. [Google Scholar] [CrossRef]
- Fujimoto, K.; Totani, Y.; Nakai, J.; Chikamoto, N.; Namiki, K.; Hatakeyama, D.; Ito, E. Identification of putative molecules for adiponectin and adiponectin receptor and their roles in learning and memory in Lymnaea stagnalis. Biology 2023, 12, 375. [Google Scholar] [CrossRef] [PubMed]
- Nakai, J.; Totani, Y.; Kojima, S.; Sakakibara, M.; Ito, E. Features of behavioral changes underlying conditioned taste aversion in the pond snail Lymnaea stagnalis. Invert. Neurosci. 2020, 20, 8. [Google Scholar] [CrossRef] [PubMed]
- Krishnan, H.C.; Noakes, E.J.; Lyons, L.C. Chronic sleep deprivation differentially affects short and long-term operant memory in Aplysia. Neurobiol. Learn. Mem. 2016, 134, 349–359. [Google Scholar] [CrossRef] [PubMed]
- Krishnan, H.C.; Gandour, C.E.; Ramos, J.L.; Wrinkle, M.C.; Sanchez-Pacheco, J.J.; Lyons, L.C. Acute sleep deprivation blocks short- and long-term operant memory in Aplysia. Sleep 2016, 39, 2161–2171. [Google Scholar] [CrossRef][Green Version]
- Vorster, A.P.A.; Born, J. Sleep supports inhibitory operant conditioning memory in Aplysia. Learn. Mem. 2017, 24, 252–256. [Google Scholar] [CrossRef]
- Totani, Y.; Nakai, J.; Hatakeyama, D.; Dyakonova, V.E.; Lukowiak, K.; Ito, E. CNS serotonin content mediating food deprivation-enhanced learning is regulated by hemolymph tryptophan concentration and autophagic flux in the pond snail. Nutr. Neurosci. 2023, 26, 217–227. [Google Scholar] [CrossRef]
- Wagatsuma, A.; Sugai, R.; Chono, K.; Azami, S.; Hatakeyama, D.; Sadamoto, H.; Ito, E. The early snail acquires the learning. Comparison of scores for conditioned taste aversion between morning and afternoon. Acta Biol. Hung. 2004, 55, 149–155. [Google Scholar] [CrossRef]
- Marra, V.; O’Shea, M.; Benjamin, P.; Kemenes, I. Susceptibility of memory consolidation during lapses in recall. Nat. Commun. 2013, 4, 1578. [Google Scholar] [CrossRef]
- Sangha, S.; Scheibenstock, A.; McComb, C.; Lukowiak, K. Intermediate and long-term memories of associative learning are differentially affected by transcription versus translation blockers in Lymnaea. J. Exp. Biol. 2003, 206, 1605–1613. [Google Scholar] [CrossRef]
- Le Glou, E.; Seugnet, L.; Shaw, P.J.; Preat, T.; Goguel, V. Circadian modulation of consolidated memory retrieval following sleep deprivation in Drosophila. Sleep 2012, 35, 1377–1384. [Google Scholar] [CrossRef] [PubMed]
- Chikamoto, N.; Fujimoto, K.; Nakai, J.; Totani, Y.; Hatakeyama, D.; Ito, E. Expression level changes in serotonin transporter are associated with food deprivation in the pond snail Lymnaea stagnalis. Zool. Sci. 2023, 40, 382–389. [Google Scholar] [CrossRef] [PubMed]
- Nakai, J.; Namiki, K.; Totani, Y.; Yasumasu, S.; Yoshimura, T.; Aoki, T.; Ito, E. Changes in protein phosphorylation by insulin administration in the central nervous system of the gastropod mollusk Lymnaea stagnalis. Biophys. Physicobiol. 2023, 20, e200038. [Google Scholar] [CrossRef]




| Disclaimer/Publisher’s Note: The statements, opinions and data contained in all publications are solely those of the individual author(s) and contributor(s) and not of MDPI and/or the editor(s). MDPI and/or the editor(s) disclaim responsibility for any injury to people or property resulting from any ideas, methods, instructions or products referred to in the content. | 
© 2024 by the authors. Licensee MDPI, Basel, Switzerland. This article is an open access article distributed under the terms and conditions of the Creative Commons Attribution (CC BY) license (https://creativecommons.org/licenses/by/4.0/).
Share and Cite
Namiki, K.; Nakai, J.; Lukowiak, K.; Ito, E. Sleep-like State in Pond Snails Leads to Enhanced Memory Formation. Biology 2024, 13, 336. https://doi.org/10.3390/biology13050336
Namiki K, Nakai J, Lukowiak K, Ito E. Sleep-like State in Pond Snails Leads to Enhanced Memory Formation. Biology. 2024; 13(5):336. https://doi.org/10.3390/biology13050336
Chicago/Turabian StyleNamiki, Kengo, Junko Nakai, Ken Lukowiak, and Etsuro Ito. 2024. "Sleep-like State in Pond Snails Leads to Enhanced Memory Formation" Biology 13, no. 5: 336. https://doi.org/10.3390/biology13050336
APA StyleNamiki, K., Nakai, J., Lukowiak, K., & Ito, E. (2024). Sleep-like State in Pond Snails Leads to Enhanced Memory Formation. Biology, 13(5), 336. https://doi.org/10.3390/biology13050336
 
        



 
                        