Helminth Communities of Common Fish Species in the Coastal Zone off Crimea: Species Composition, Diversity, and Structure
Abstract
Simple Summary
Abstract
1. Introduction
2. Material and Methods
2.1. Study Area and Study Objects
2.2. Parasitological Analysis
2.3. Estimation of Community Diversity and Structure
3. Results
3.1. Diversity of Infra- and Component Communities
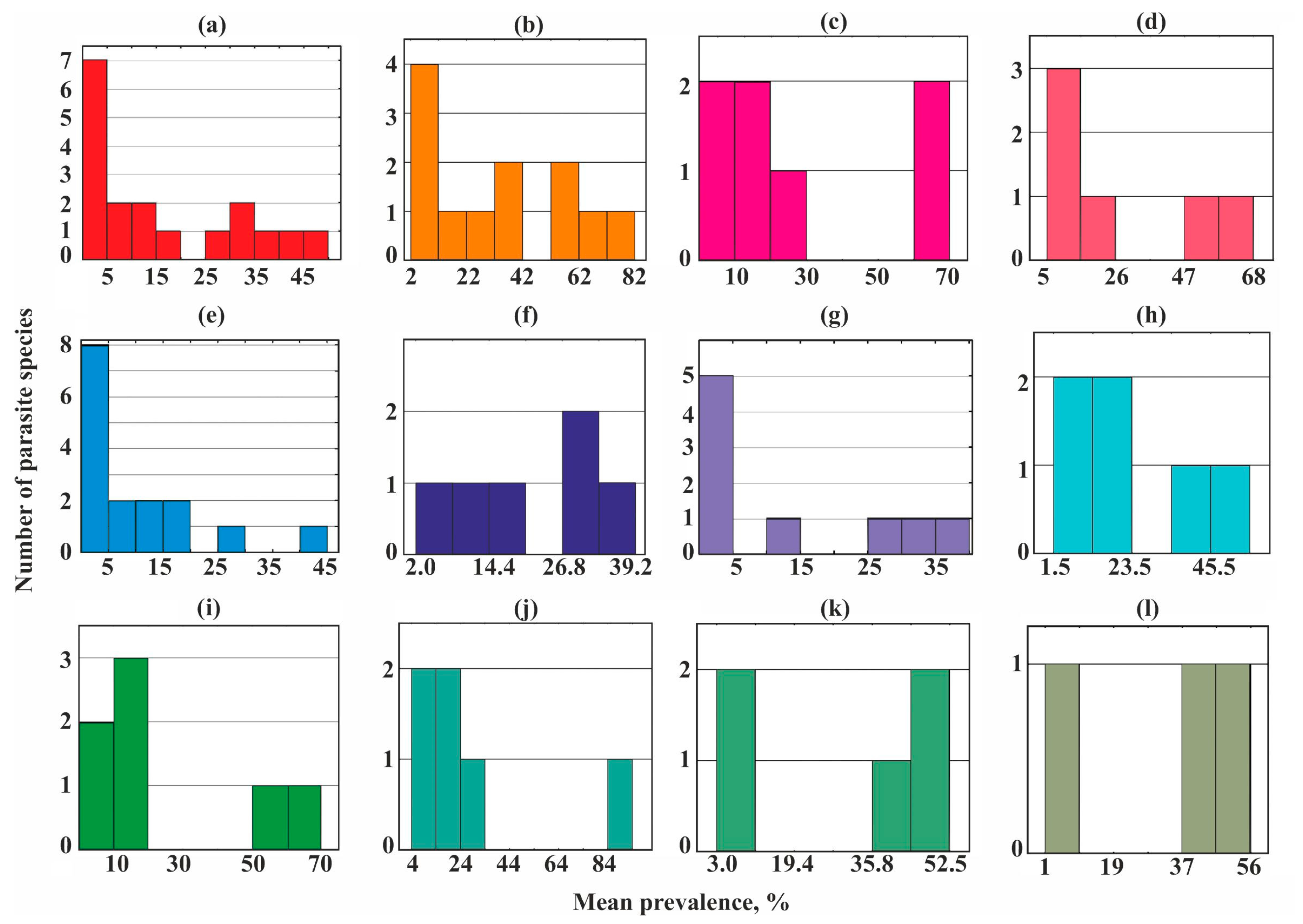
3.2. Structure of Component Communities in View of the “Core–Satellite Species” Hypothesis
3.3. Distribution of Helminths among Infracommunities and Inter-Specific Relationships in Component Communities
4. Discussion
5. Conclusions
Author Contributions
Funding
Institutional Review Board Statement
Informed Consent Statement
Data Availability Statement
Acknowledgments
Conflicts of Interest
References
- Paterson, R.A.; Viozzi, G.P.; Rauque, C.A.; Flores, V.R.; Poulin, R. A global assessment of parasite diversity in galaxiid fishes. Diversity 2021, 13, 27. [Google Scholar] [CrossRef]
- Oğuz, M.C.; Campbell, A.M.; Bennett, S.P.; Belk, M.C. Nematode parasites of rockfish (Sebastes spp.) and cod (Gadus spp.) from waters near kodiak island alaska, USA. Diversity 2021, 13, 436. [Google Scholar] [CrossRef]
- Nguyen, T.H.; Dorny, P.; Nguyen, T.T.G.; Dermauw, V. Helminth infections in fish in Vietnam: A systematic review. Int. J. Parasitol. 2021, 14, 13–32. [Google Scholar] [CrossRef]
- Vuić, N.; Turković Čakalić, I.; Vlaičević, B.; Stojković Piperac, M.; Čerba, D. The influence of Contracaecum larvae (Nematoda, Anisakidae) parasitism on the population of Prussian carp (Carassius gibelio) in Lake Sakadaš, Croatia. Pathogens 2022, 11, 600. [Google Scholar] [CrossRef] [PubMed]
- Thompson, R.C.A. Zoonotic helminths–why the challenge remains. J. Helminthol. 2023, 97, e21. [Google Scholar] [CrossRef]
- Seppälä, O.; Liljeroos, K.; Karvonen, A.; Jokela, J. Host condition as a constraint for parasite reproduction. Oikos 2008, 117, 749–753. [Google Scholar] [CrossRef]
- Timi, J.T.; Poulin, R. Parasite community structure within and across host populations of a marine pelagic fish: How repeatable is it? Int. J. Parasitol. 2003, 33, 1353–1362. [Google Scholar] [CrossRef]
- Abd El-Ghany, N.A.; El-Khatib, N.R.; Salama, S.S. Causes of mortality in discus fish (Symphysodon) and trials for treatment. Egypt J. Aquac. 2014, 4, 1–12. [Google Scholar]
- Buchmann, K. Impact and control of protozoan parasites in maricultured fishes. Parasitology 2015, 142, 168–177. [Google Scholar] [CrossRef]
- Ljubojevic, D.; Novakov, N.; Djordjevic, V.; Radosavljevic, V.; Pelic, M.; Cirkovic, M. Potential parasitic hazards for humans in fish meat. Proc. Food Sci. 2015, 5, 172–175. [Google Scholar] [CrossRef]
- Ozuni, E.; Vodica, A.; Castrica, M.; Brecchia, G.; Curone, G.; Agradi, S.; Miraglia, D.; Menchetti, L.; Balzaretti, C.M.; Andoni, E. Prevalence of Anisakis larvae in different fish species in southern Albania: Five-year monitoring (2016–2020). Appl. Sci. 2021, 11, 11528. [Google Scholar] [CrossRef]
- Skryabin, K.I. Symbiosis and Parasitism in Nature. Introduction to the Study of Biological Foundations of Parasitism; Nauka: Petrograd, Russia, 1923. (In Russian) [Google Scholar]
- Dogiel, V.A. A Course of General Parasitology; Uchpedgiz: Leningrad, Russia, 1941. (In Russian) [Google Scholar]
- Pavlovsky, E.N. Natural Focality of Transmissible Diseases and the Problem—Organism as Habitat of Parasitocenoses; Nauka: Leningrad, Russia, 1952. (In Russian) [Google Scholar]
- Dogiel, V.A. General Parasitology; Oliver and Boyd: Edinburgh, UK, 1964. [Google Scholar]
- Dogiel, V.A.; Petrushevski, G.K.; Polyanski, Y.I. Parasitology of Fishes; Oliver and Boyd: Edinburgh, UK, 1961. [Google Scholar]
- Poulin, R. Phylogeny, ecology, and the richness of parasite communities in vertebrates. Ecol. Mon. 1995, 65, 283–302. [Google Scholar] [CrossRef]
- Bush, A.O.; Lafferty, K.D.; Lotz, J.M.; Shostak, A.W. Parasitology meets ecology on its own terms: Margolis et al. Revisited. J. Parasitol. 1997, 83, 575–583. [Google Scholar] [CrossRef]
- Holmes, J.C.; Price, P.W. Communities of parasites. In Community Ecology: Patterns and Processes; Kikkawa, J., Anderson, D.J., Eds.; Blackwell Scientific: Oxford, UK, 1986; pp. 186–213. [Google Scholar]
- Janovy, J., Jr.; Clopton, R.E.; Janovy, J., Jr.; Percival, T.J. The role of ecological and evolutionary influences in providing structure to parasite species assamblages. J. Parasitol. 1992, 78, 630–640. [Google Scholar] [CrossRef]
- Poulin, R. Large-scale patterns of host use by parasites of freshwater fishes. Ecol. Lett. 1998, 1, 118–128. [Google Scholar] [CrossRef]
- Holmes, J.C. Effects of concurrent infections on Hymenolepis diminuta (Cestoda) and Moniliformis dubius (Acanthocephala). I. General effects and comparison with crowding. J. Parasitol. 1961, 47, 209–216. [Google Scholar] [CrossRef] [PubMed]
- Holmes, J.C. Helminth communities in marine fishes. In Parasite Communities: Pattern and Processes; Esch, G.W., Bush, A.O., Aho, J.M., Eds.; Chapman and Hall: London, UK, 1990; pp. 101–130. [Google Scholar]
- Holmes, J.C.; Price, P.W. Parasite communities: The roles of phylogeny and ecology. Syst. Zool. 1980, 29, 203–213. [Google Scholar] [CrossRef]
- Holmes, J.C.; Bonney, R.E.; Pacala, S.W. Guild structure of the Hubbard Brook bird community: A multivariate approach. Ecology 1979, 60, 512–520. [Google Scholar] [CrossRef]
- Kennedy, C.R. Helminth communities in freshwater fishes: Structured communities or stochastic assemblages? In Parasite communities: Patterns and Processes; Esch, G.W., Bush, A.O., Aho, J.M., Eds.; Chapman and Hall: London, UK, 1990; pp. 131–156. [Google Scholar]
- Kennedy, C.R.; Bush, A.O.; Aho, J.M. Patterns in helminth communities: Why are birds and fish different? Parasitology 1986, 93, 205–215. [Google Scholar] [CrossRef]
- Fauth, J.E.; Bernardo, J.; Camara, M.; Resetarits, W.J., Jr.; Van Buskirk, J.; McCollum, S.A. Simplifying the jargon of community ecology: A conceptual approach. Am. Nat. 1996, 147, 282–286. [Google Scholar] [CrossRef]
- Dobson, A.; Roberts, M. The population dynamics of parasitic helminth communities. Parasitology 1994, 109 (Suppl. S1), S97–S108. [Google Scholar] [CrossRef]
- Kennedy, C.R. The regulation offish parasite populations. In Regulation of Parasite Populations; Esch, G.W., Ed.; Academic Press: New York, NY, USA, 1977; pp. 63–109. [Google Scholar]
- Kennedy, C.R. Site segregation by species of Acanthocephala in fish, with special reference to eels, Anguilla anguilla. Parasitology 1985, 90, 375–390. [Google Scholar] [CrossRef]
- Kennedy, C.R. The ecology of parasites of freshwater fishes: The search for patterns. Parasitology 2009, 136, 1653–1662. [Google Scholar] [CrossRef] [PubMed]
- Pugachev, O.N. Metazoan parasite communities of the river minnow (Phoxinus phoxinus L.). Parasitology 2000, 34, 196–209. (In Russian) [Google Scholar]
- Pugachev, O.N. Infracommunities: Structure and composition. Bull. -Scand. Soc. Parasitol. 2000, 10, 49–54. [Google Scholar]
- Espínola-Novelo, J.F.; Oliva, M.E. Spatial and temporal variability of parasite communities: Implications for fish stock identification. Fishes 2021, 6, 71. [Google Scholar] [CrossRef]
- Lablack, L.; Marzoug, D.; Bouderbala, M.; Salgado-Maldonado, G. Diversity, consistency, and seasonality in parasite assemblages of two sympatric marine fish Pagrus pagrus (Linnaeus, 1758) and Pagellus bogaraveo (Brünnich, 1768) (Perciformes: Sparidae) off the coast of Algeria in the western Mediterranean Sea. Parasitol. Int. 2022, 86, 102486. [Google Scholar] [CrossRef]
- Poulin, R.; McDougall, C. Fish–parasite interaction networks reveal latitudinal and taxonomic trends in the structure of host–parasite associations. Parasitology 2022, 149, 1815–1821. [Google Scholar] [CrossRef]
- De Benedetto, G.; Capparucci, F.; Natale, S.; Savoca, S.; Riolo, K.; Gervasi, C.; Albano, M.; Giannetto, A.; Gaglio, G.; Iaria, C. Morphological and molecular identification of mullet helminth parasite fauna from Ganzirri Lagoon (Sicily, Southern Italy). Animals 2023, 13, 847. [Google Scholar] [CrossRef] [PubMed]
- Aho, J.M.; Bush, A.O. Community richness in parasites of some freshwater fishes from North America. In Species Diversity in Ecological Communities; Ricklefs, R.E., Schluter, D., Eds.; University of Chicago Press: Chicago, IL, USA, 1993; pp. 185–193. [Google Scholar]
- Šimková, A.; Řehulková, E.; Choudhury, A.; Seifertová, M. Host-specific parasites reveal the history and biogeographical contacts of their hosts: The monogenea of nearctic cyprinoid fishes. Biology 2022, 11, 229. [Google Scholar] [CrossRef]
- Carrassón, M.; Dallarés, S.; Cartes, J.E.; Constenla, M.; Pérez-del-Olmo, A.; Zucca, L.; Kostadinova, A. Drivers of parasite community structure in fishes of the continental shelf of the Western Mediterranean: The importance of host phylogeny and autecological traits. Int. J. Parasitol. 2019, 49, 669–683. [Google Scholar] [CrossRef]
- Bell, G.; Burt, A. The comparative biology of parasite species diversity: Internal helminths of freshwater fish. J. Anim. Ecol. 1991, 60, 1047–1064. [Google Scholar] [CrossRef]
- Guégan, J.-F.; Lambert, A.; Leveque, C.; Combes, C.; Euzet, L. Can host body size explain the parasite species richness in tropical freshwater fishes? Oecologia 1992, 90, 197–204. [Google Scholar] [CrossRef] [PubMed]
- Guégan, J.-F.; Hugueny, B. A nested parasite species subset pattern in tropical fish: Host as major determinant of parasite infracommunity structure. Oecologia 1994, 100, 184–189. [Google Scholar] [CrossRef]
- Guégan, J.-F.; Morand, S. Polyploid hosts: Strange attractors for parasites? Oikos 1996, 77, 366–370. [Google Scholar] [CrossRef]
- Sasal, P.; Desdevises, Y.; Morand, S. Host-specialization and species diversity in fish parasites: Phylogenetic conservatism? Ecography 1998, 21, 639–643. [Google Scholar] [CrossRef]
- Sasal, P.; Morand, S.; Guégan, J.-F. Determinants of parasite species richness in Mediterranean marine fishes. Mar. Ecol. Prog. Ser. 1997, 149, 61–71. [Google Scholar] [CrossRef]
- Menconi, V.; Tedesco, P.; Pastorino, P.; Confortini, I.; Esposito, G.; Tomasoni, M.; Mugetti, D.; Gustinelli, A.; Dondo, A.; Pizzul, E.; et al. Could fish feeding behaviour and size explain prevalence differences of the nematode Eustrongylides excisus among species? The case study of Lake Garda. Water 2021, 13, 3581. [Google Scholar] [CrossRef]
- Poulin, R.; Rohde, K. Comparing the richness of metazoan ectoparasite communities of marine fishes: Controlling for host phylogeny. Oecologia 1997, 110, 278–283. [Google Scholar] [CrossRef]
- Hugueny, B.; Guégan, J.-F. Community nestedness and the proper way to assess statistical significance by Monte-Carlo tests: Some comments on Worthen and Rohde’s (1996) paper. Oikos 1997, 80, 572–574. [Google Scholar] [CrossRef]
- Worthen, W.B.; Rohde, K. Nested subset analyses of colonization-dominated communities: Metazoan ectoparasites of marine fishes. Oikos 1996, 75, 471–478. [Google Scholar] [CrossRef]
- Rohde, K.; Worthen, W.; Heap, M.; Hugueny, B.; Guégan, J.F. Nestedness in assemblages of metazoan ecto- and endoparasites of marine fish. Int. J. Parasitol. 1998, 28, 543–549. [Google Scholar] [CrossRef] [PubMed]
- Morand, S.; Poulin, R.; Rohde, K.; Hayward, C. Aggregation and species coexistence of ectoparasites of marine fishes. Int. J. Parasitol. 1999, 29, 663–672. [Google Scholar] [CrossRef] [PubMed]
- Morand, S.; Rohde, K.; Hayward, C. Order in ectoparasite communities of marine fish is explained by epidemiological processes. Parasitology 2002, 124, 57–63. [Google Scholar] [CrossRef]
- Matejusova, I.; Morand, S.; Gelnar, M. Nestedness in assemblages of gyrodactylids (Monogenea: Gyrodactylidea) parasitising two species of cyprinid—With reference to generalists and specialists. Int. J. Parasitol. 2000, 30, 1153–1158. [Google Scholar] [CrossRef]
- Poulin, R.; Guégan, J.-F. Nestedness, anti-nestedness, and the relationship between prevalence and intensity in ectoparasite assemblages of marine fish: A spatial model of species coexistence. Int. J. Parasitol. 2000, 30, 1147–1152. [Google Scholar] [CrossRef]
- Poulin, R.; Valtonen, E.T. Nested assemblages resulting from host size variation: The case of endoparasite communities in fish hosts. Int. J. Parasitol. 2001, 31, 1194–1204. [Google Scholar] [CrossRef]
- Šimková, A.; Gelnar, M.; Morand, S. Order and disorder in ectoparasite communities: The case of congeneric gill monogeneans (Dactylogyrus spp.). Int. J. Parasitol. 2001, 31, 1205–1210. [Google Scholar] [CrossRef]
- Goüy de Belloc, J.; Sará, M.; Casanova, J.C.; Feliu, C.; Morand, S. A comparison of the structure of Apodemus sylvaticus on islands of the western Mediterranean and continental Europe. Parasitol. Res. 2003, 90, 64–70. [Google Scholar] [CrossRef]
- Fellis, K.J.; Negovetich, N.J.; Esch, G.W.; Horak, I.G.; Boomker, J. Patterns of association, nestedness, and species co-occurrence of helminth parasites in the Greater Kudu, Tragelaphus strepsiceros, in the Kruger National Park, South Africa, and the Etosha National Park. Namibia. J. Parasitol. 2003, 89, 899–907. [Google Scholar] [CrossRef]
- Zelmer, D.A.; Arai, H.P. Development of nestedness: Host biology as a community process in parasite infracommunities of yellow perch (Perca flavescens (Mitchill)) from Garner Lake, Alberta. J. Parasitol. 2004, 90, 435–436. [Google Scholar] [CrossRef]
- Patterson, B.D.; Atmar, W. Nested subsets and the structure of insular mammalian faunas and archipelagos. Biol. J. Linn. Soc. 1986, 28, 65–82. [Google Scholar] [CrossRef]
- Patterson, B.D. On the temporal development of nested subset patterns of species composition. Oikos 1990, 59, 330–342. [Google Scholar] [CrossRef]
- Ganzhorn, J.B. Nested patterns of species composition and its implications for lemur biogeography in Madagascar. Folia Primatol. 1998, 69, 332–341. [Google Scholar] [CrossRef]
- Wright, D.H.; Patterson, B.D.; Mikkelson, G.M.; Cutler, A.; Atmar, W. A comparative analysis of nested subset patterns of species composition. Oecologia 1998, 113, 1–20. [Google Scholar] [CrossRef]
- Gayevskaya, A.V. Parasites and Diseases of Fish of the Black and Azov Seas: In 2 Volumes. Vol. 1: Marine, Brackish and Anadromous Fish; EKOSI-Hydrophysics: Sevastopol, Ukraine, 2012. (In Russian) [Google Scholar]
- Boltachev, A.R.; Karpova, E.P. Marine Fishes of the Crimean Peninsula, 2nd ed.; Business-Inform: Simferopol, Russia, 2017. (In Russian) [Google Scholar]
- Dvoretsky, A.G.; Dvoretsky, V.G. Shellfish as biosensors in online monitoring of aquatic ecosystems: A review of Russian studies. Fishes 2023, 8, 102. [Google Scholar] [CrossRef]
- Pankov, P.H. Helminths and Helminth Communities of Mullet Fish in the Bulgarian Black Sea Region. Ph.D. Thesis, Institute of Biodiversity and Ecosystem Research, Bulgarian Academy of Science, Sofia, Bulgaria, 2011. (In Bulgarian). [Google Scholar]
- Sarabeev, V. Helminth species richness of introduced and native grey mullets (Teleostei: Mugilidae). Parasitol. Int. 2015, 64, 6–17. [Google Scholar] [CrossRef]
- Sarabeev, V.; Balbuena, J.A.; Morand, S. Testing the enemy release hypothesis: Abundance and distribution patterns of helminth communities in grey mullets (Teleostei: Mugilidae) reveal the success of invasive species. Int. J. Parasitol. 2017, 47, 687–696. [Google Scholar] [CrossRef]
- Sarabeev, V.; Balbuena, J.A.; Desdevises, Y.; Morand, S. Host-parasite relationships in invasive species: Macroecological framework. Biol. Invas. 2022, 24, 2649–2664. [Google Scholar] [CrossRef]
- Sarabeev, V.L.; Balbuena, J.A.; Morand, S. The effects of host introduction on the relationships between species richness and aggregation in helminth communities of two species of grey mullets (Teleostei: Mugilidae). Vie Milieu 2017, 67, 121–130. [Google Scholar]
- Sarabeev, V.L.; Balbuena, J.A.; Morand, S. Invasive parasites are detectable by their abundance-occupancy relationships: The case of helminths from Liza haematocheilus (Teleostei: Mugilidae). Int. J. Parasitol. 2018, 48, 793–803. [Google Scholar] [CrossRef]
- Sarabeev, V.; Balbuena, J.A.; Morand, S. Aggregation patterns of helminth populations in the introduced fish, Liza haematocheilus (Teleostei: Mugilidae): Disentangling host–parasite relationships. Int. J. Parasitol. 2019, 49, 83–91. [Google Scholar] [CrossRef] [PubMed]
- Llopis-Belenguer, C.; Blasco-Costa, I.; Balbuena, J.A.; Sarabeev, V.; Stouffer, D.B. Native and invasive hosts play different roles in host–parasite networks. Ecography 2020, 43, 559–568. [Google Scholar] [CrossRef]
- Llaberia-Robledillo, M.; Balbuena, J.A.; Sarabeev, V.; Llopis-Belenguer, C. Changes in native and introduced host–parasite networks. Biol. Invas. 2022, 24, 543–555. [Google Scholar] [CrossRef]
- Balbuena, J.A.; Monlleó-Borrull, C.; Llopis-Belenguer, C.; Blasco-Costa, I.; Sarabeev, V.L.; Morand, S. Fuzzy quantification of common and rare species in ecological communities (FuzzyQ). Methods Ecol. Evol. 2021, 12, 1070–1079. [Google Scholar] [CrossRef]
- Popyuk, M.P. Changes of helminthes fauna of Atherina boyeri (Pisces, Atherinidae) from the Black sea depending on its season migrations. Trans. Cent. Parasitol. 2014, 48, 245–247. (In Russian) [Google Scholar]
- Konovalov, S.K.; Murray, J.W. Variations in the chemistry of the Black Sea on a time scale of decades (1960–1995). J. Mar. Syst. 2001, 31, 217–243. [Google Scholar] [CrossRef]
- Starushenko, L.I.; Kazanski, A.B. Introduction of mullet haarder (Mugil so-iuy Basilewsky) into the Black Sea and the Sea of Azov. Gen. Fish. Counc. Mediter. Stud Rev. 1996, 67, 1–29. [Google Scholar]
- Voskresenskaya, E.; Vyshkvarkova, E. Extreme precipitation over the Crimean Peninsula. Quat. Int. 2016, 409, 75–80. [Google Scholar] [CrossRef]
- Kennedy, C.R. Basic Methods of Specimen Preparation in Parasitology; IDRS-MR8: Ottawa, ON, Canada, 1979. [Google Scholar]
- Gusev, A.V. Methods of Collection and Processing Material of Monogeneans Parasitizing Fish; Nauka: Leningrad, Russia, 1983. (In Russian) [Google Scholar]
- Sarabeev, V.; Rubtsova, N.; Yang, T.B.; Balbuena, J.A. Taxonomic revision of the Atlantic and Pacific species of Ligophorus (Monogenea, Dactylogyridae) from mullets (Teleostei, Mugilidae) with the proposal of a new genus and description of four new species. Vestn. Zool. 2013, 28, 1–112. [Google Scholar]
- Guide to Vertebrate Parasites of the Black and Azov Seas: Parasitic Invertebrates of Fish, Fish-Eating Birds and Marine Mammals; Naukova dumka: Kiev, Russia, 1975. (In Russian)
- Blasco-Costa, I.; Gibson, D.I.; Balbuena, J.A.; Raga, J.A.; Kostadinova, A. A revision of the Haploporinae Nicoll, 1914 (Digenea: Haploporidae) from mullets (Mugilidae): Haploporus Looss, 1902 and Lecithobotrys Looss, 1902. Syst. Parasitol. 2009, 73, 107–133. [Google Scholar] [CrossRef] [PubMed]
- Tkach, I.V.; Sarabeev, V.L.; Shvetsova, L.S. Taxonomic status of Neoechinorhynchus agilis (Acanthocephala, Neoechinorhynchidae), with a description of two new species of the genus from the Atlantic and Pacific mullets (Teleostei, Mugilidae). Vestn. Zool. 2014, 48, 291–306. [Google Scholar] [CrossRef]
- Pronkina, N.V.; Spiridonov, S.E. Morphological and molecular characterisation of anisakid juveniles from the golden grey mullet of the Black Sea. Russ. J. Nematol. 2018, 26, 87–92. [Google Scholar]
- Popyuk, M.P. Detection of metacercariae of Stephanoprora polycestus (Trematoda: Echonostomatidae) on the gills of atherina Atherina boyeri in the Black Sea. Parasitology 2017, 51, 481–489. (In Russian) [Google Scholar]
- Hammer, Ø.; Harper, D.; Ryan, P.D. Paleontological STatistics software package for education and data analysis. Palaeontol. Electron. 2001, 4, 1–9. [Google Scholar]
- Magurran, A.E. Ecological Diversity and Its Measurement; Croom Helm: London, UK, 1983. [Google Scholar]
- Hanski, I. Dynamics of regional distribution: The core and satellite species hypothesis. Oikos 1982, 38, 210–221. [Google Scholar] [CrossRef]
- Almeida-Neto, M.; Guimaraes, P.; Guimaraes, P.R., Jr.; Loyola, R.D.; Ulrich, W. A consistent metric for nestedness analysis in ecological systems: Reconciling concept and measurement. Oikos 2008, 117, 1227–1239. [Google Scholar] [CrossRef]
- Strona, G.; Galli, P.; Seveso, D.; Montano, S.; Fattorini, S. Nestedness for dummies (NeD): A user-friendly web interface for exploratory nestedness analysis. J. Stat. Soft. 2014, 59, 1–9. [Google Scholar] [CrossRef]
- Taylor, L.R. Aggregation, variance and the mean. Nature 1961, 189, 732–735. [Google Scholar] [CrossRef]
- Krasnov, B.R.; Shenbrot, G.I.; Khokhlova, I.S.; Hawlena, H.; Degen, A.A. Temporal variation in parasite infestation of a host individual: Does a parasite-free host remain uninfested permanently? Parasitol. Res. 2006, 99, 541–545. [Google Scholar] [CrossRef]
- Groenewold, S.; Berghahn, R.; Zander, C.D. Parasite communities of four fish species in the Wadden Sea and the role of fish discarded by the shrimp fisheries in parasite transmission. Helgol. Meeresunt. 1996, 50, 69–85. [Google Scholar] [CrossRef]
- Alarcos, A.J.; Timi, J.T. Parasite communities in three sympatric flounder species (Pleuronectiformes: Paralichthyidae) Similar ecological filters driving toward repeatable assemblages. Parasitol. Res. 2012, 110, 2155–2166. [Google Scholar] [CrossRef] [PubMed]
- Benhamou, F.; Marzoug, D.; Boutiba, Z.; Kostadinova, A.; Pérez-Del-Olmo, A. Parasite communities in two sparid fishes from the western Mediterranean: A comparative analysis based on samples from three localities off the Algerian coast. Helminthologia 2017, 54, 26–35. [Google Scholar] [CrossRef]
- da Silva, R.D.; Benicio, L.; Moreira, J.; Paschoal, F.; Pereira, F.B. Parasite communities and their ecological implications: Comparative approach on three sympatric clupeiform fish populations (Actinopterygii: Clupeiformes), off Rio de Janeiro, Brazil. Parasitol. Res. 2022, 121, 1937–1949. [Google Scholar] [CrossRef]
- Kennedy, C.R.; Guégan, J.-F. Regional versus local helminth parasite richness in British freshwater fish: Saturated or unsaturated parasite communities? Parasitology 1994, 109, 175–185. [Google Scholar] [CrossRef]
- Morand, S.; Guégan, J.-F. Distribution and abundance of parasite nematodes: Ecological specialisation, phylogenetic constraint or simply epidemiology? Oikos 2000, 88, 563–573. [Google Scholar] [CrossRef]
- Poulin, R. The intra- and interspecific relationships between abundance and distribution in helminth parasites of birds. J. Anim. Ecol. 1999, 68, 719–725. [Google Scholar] [CrossRef]
- Šimková, A.; Kadlec, D.; Gelnar, M.; Morand, S. Abundance–prevalence relationship of gill congeneric ectoparasites: Testing the core satellite hypothesis and ecological specialisation. Parasitol. Res. 2002, 88, 682–686. [Google Scholar] [CrossRef]
- Bush, A.O.; Holmes, J.C. Intestinal helminths of lesser scaup ducks: Patterns of association. Can. J. Zool. 1986, 64, 132–141. [Google Scholar] [CrossRef]
- Chugunova, Y.K.; Pronin, N.M. Component communities of parasites and the interaction of parasite faunas of non-commercial fish in the Kacha River (the basin of the Enisey). Sib. Ecol. J. 2011, 1, 77–85. (In Russian) [Google Scholar]
- Zander, C.D.; Reimer, L.W.; Barz, K.; Dietel, G.; Strohbach, U. Parasite communities of the Salzhaff (Northwest Mecklenburg, Baltic Sea) II. Guild communities, with special regard to snails, benthic crustaceans, and small-sized fish. Parasitol. Res. 2000, 86, 359–372. [Google Scholar] [CrossRef]
- Bush, A.O.; Fernandez, J.C.; Esch, G.W.; Seed, J.R. Parasitism: The Diversity and Ecology of Animal Parasites; Cambridge University Press: Cambridge, UK, 2001. [Google Scholar]
- Magurran, A.E. Measuring Biological Diversity; Oxford: Blackwells, UK, 2004. [Google Scholar]
- Soares, I.A.; Vieira, F.M.; Luque, J.L. Parasite community of Pagrus pagrus (Sparidae) from Rio de Janeiro, Brazil: Evidence of temporal stability. Rev. Bras. Parasitol. Vet. 2014, 23, 216–223. [Google Scholar] [CrossRef]
- Montoya-Mendoza, J.; Salgado-Maldonado, G.; Blanco-Segovia, C.R.; Mendoza-Franco, E.F.; Lango-Reynoso, F. Helminth community of the black margate Anisotremus surinamensis (Teleostei: Haemulidae), from coral reefs off the Veracruz Coast, Mexico, southern Gulf of Mexico. Diversity 2022, 14, 368. [Google Scholar] [CrossRef]
- Acosta-Pérez, V.-J.; Vega-Sánchez, V.; Fernández-Martínez, T.-E.; Zepeda-Velázquez, A.-P.; Reyes-Rodríguez, N.-E.; Ponce-Noguez, J.-B.; Peláez-Acero, A.; de-la-Rosa-Arana, J.-L.; Gómez-De-Anda, F.-R. Physicochemical water quality influence on the parasite biodiversity in juvenile tilapia (Oreochromis spp.) farmed at Valle del Mezquital in the central-eastern socioeconomic region of Mexico. Pathogens 2022, 11, 1076. [Google Scholar] [CrossRef]
- Anderson, R.; Gordon, D.M.; Crawley, M.; Hassell, M.P. Variability in the abundance of animal and plant species. Nature 1982, 296, 245–248. [Google Scholar] [CrossRef]
- Ieshko, E.P.; Bugmyrin, S.V.; Anikanova, V.S.; Pavlov, J.L. Patterns in the dynamics and distribution of parasite abundance in small mammals. Proc. Zool. Inst. RAS 2009, 313, 319–328. (In Russian) [Google Scholar] [CrossRef]
- Shaw, D.J.; Dobson, A.P. Patterns of macroparasite abundance and aggregation in wildlife populations: A quantitative review. Parasitology 1995, 111 (Suppl. S1), S111–S133. [Google Scholar] [CrossRef]
- Pérez-del-Olmo, A.; Morand, S.; Raga, J.A.; Kostadinova, A. Abundance–variance and abundance–occupancy relationships in a marine host–parasite system: The importance of taxonomy and ecology of transmission. Int. J. Parasitol. 2011, 41, 1361–1370. [Google Scholar] [CrossRef] [PubMed]
- Poulin, R. Explaining variability in parasite aggregation levels among host samples. Parasitology 2013, 140, 541–546. [Google Scholar] [CrossRef]
- Anderson, R.M.; May, R.M. Regulation and stability of host-parasite population interactions. J. Anim. Ecol. 1978, 47, 219–247. [Google Scholar] [CrossRef]
- Hansen, F.; Jeltsch, F.; Tackmann, K.; Staubach, C.; Thulke, H.-H. Processes leading to a spatial aggregation of Echinococcus multilocularis in its natural intermediate host Microtus arvalis. Int. J. Parasitol. 2004, 34, 37–44. [Google Scholar] [CrossRef] [PubMed]
- Galvani, A.P. Immunity, antigenic heterogeneity, and aggregation of helminth parasites. J. Parasitol. 2003, 89, 232–241. [Google Scholar] [CrossRef] [PubMed]
- Guo, H.-Y.; Li, W.-F.; Zhu, K.-C.; Liu, B.-S.; Zhang, N.; Liu, B.; Yang, J.-W.; Zhang, D.-C. Pathology, enzyme activity and immune responses after Cryptocaryon irritans infection of golden pompano Trachinotus ovatus (Linnaeus 1758). J. Mar. Sci. Eng. 2023, 11, 262. [Google Scholar] [CrossRef]
- Bandilla, M.; Hakalahti, T.; Hudson, P.J.; Valtonen, E.T. Aggregation of Argulus coregoni (Crustacea: Branchiura) on rainbow trout (Oncorhynchus mykiss): A consequence of host susceptibility or exposure? Parasitology 2005, 130, 169–176. [Google Scholar] [CrossRef]
- Karvonen, A.; Hudson, P.J.; Seppälä, O.; Valtonen, E.T. Transmission dynamics of a trematode parasite: Exposure, acquired resistance and parasite aggregation. Parasitol. Res. 2004, 92, 183–188. [Google Scholar] [CrossRef]
- Fabricius, K.E.; Dale, M.B. Multispecies associations of symbionts on shallow water crinoids of the central Great Barrier Reef. Coenoses 1993, 8, 41–52. [Google Scholar]
- Dvoretsky, A.G.; Dvoretsky, V.G. Epibiotic communities of common crab species in the coastal Barents Sea: Biodiversity and infestation patterns. Diversity 2022, 14, 6. [Google Scholar] [CrossRef]
- Outa, J.O.; Hörweg, C.; Avenant-Oldewage, A.; Jirsa, F. Neglected symbionts and other metazoan invertebrates associated with molluscs from Africa’s largest lake: Diversity, biotic interactions and bioindication. Freshw. Biol. 2022, 67, 2089–2099. [Google Scholar] [CrossRef]
- Bellay, S.; Lima, D.P.; Takemoto, R.M.; Luque, J.L. A host-endoparasite network of Neotropical marine fish: Are there organizational patterns? Parasitology 2011, 138, 1945–1952. [Google Scholar] [CrossRef]
- Bellay, S.; de Oliveira, E.F.; Almeida-Neto, M.; Takemoto, R.M. Ectoparasites are more vulnerable to host extinction than co-occurring endoparasites: Evidence from metazoan parasites of freshwater and marine fishes. Hydrobiologia 2020, 847, 2873–2882. [Google Scholar] [CrossRef]
- Dvoretsky, A.G.; Dvoretsky, V.G. Epibionts of an introduced king crab in the Barents Sea: A second five-year study. Diversity 2023, 15, 29. [Google Scholar] [CrossRef]
- Viney, M.E.; Graham, A.L. Patterns and processes in parasite co-infection. Adv. Parasitol. 2013, 82, 321–369. [Google Scholar] [PubMed]
- Kilpatrick, A.M.; Ives, A.R. Species interactions can explain Taylor’s power law for ecological time series. Nature 2003, 422, 65–68. [Google Scholar] [CrossRef] [PubMed]
- Ma, Z. Power law analysis of the human microbiome. Mol. Ecol. 2015, 24, 5428–5445. [Google Scholar] [CrossRef] [PubMed]





| Trivial Name | Latin Name | Life Style | Number of Communities | Number of Parasite Species | ||||
|---|---|---|---|---|---|---|---|---|
| Infra-Communities | Component Communities | T | FS | GS | SS | |||
| Golden grey mullet | Chelon auratus | D | 244 | 15 | 18 | 8 | 3 | 0 |
| Sand smelt | Atherina boyeri | D | 448 | 14 | 15 | 0 | 0 | 0 |
| Grey mullet | Mugil cephalus | D | 62 | 6 | 12 | 5 | 1 | 3 |
| Garfish | Belone belone | P | 214 | 10 | 9 | 0 | 0 | 2 |
| Redlip mullet | Planiliza haematocheilus | D | 36 | 3 | 7 | 4 | 0 | 2 |
| Leaping mullet | Chelon saliens | D | 36 | 3 | 6 | 3 | 2 | 0 |
| Annular sea bream | Diplodus annularis | D | 57 | 4 | 6 | 1 | 1 | 0 |
| Horse mackerel | Trachurus mediterraneus | P | 363 | 17 | 6 | 0 | 0 | 0 |
| Sand smelt | Atherina hepsetus | D | 87 | 5 | 6 | 0 | 0 | 0 |
| Picarel | Spicara smaris | D | 129 | 7 | 6 | 0 | 0 | 0 |
| Pontic shad | Alosa immaculata | A | 289 | 11 | 5 | 1 | 0 | 0 |
| European anchovy | Engraulis encrasicolus | P | 246 | 9 | 3 | 0 | 0 | 0 |
| Code | Helminth Species | Host Fish Species | CCs × 100/CCt (%) | AI, ind. per Fish, (min ± SE–max ± SE) for CCs |
|---|---|---|---|---|
| LS | Ligophorus szidati | Chelon auratus, Chelon saliens | 78 | 0.15 ± 0.10–16.00 ± 6.00 |
| LV | Ligophorus vanbenedenii | Chelon auratus | 80 | 0.06 ± 0.04–72.00 ± 64.00 |
| LA | Ligophorus acuminatus | Chelon auratus, Chelon saliens | 17 | 1.80 ± 1.00–133.00 ± 46.00 |
| LC | Ligophorus cephali | Mugil cephalus | 100 | 2.80 ± 2.60–144.00 ± 107.00 |
| LM | Ligophorus mediterraneus | Mugil cephalus | 100 | 1.40 ± 0.70–30.00 ± 7.00 |
| LL | Ligophorus llewellyni | Planiliza haematocheilus | 100 | 15.00 ± 2.80–20.40 ± 6.8 |
| LiP | Ligophorus pilengas | Planiliza haematocheilus | 100 | 27.00 ± 3.40–31.00 ± 9.00 |
| LE | Lamellodiscus elegans | Diplodus annularis | 50 | 2.40 ± 0.50–6.00 ± 2.00 |
| LF | Lamellodiscus fraternus | Diplodus annularis | 25 | 3.80 ± 1.50 |
| GM | Gyrodactylus mugili | Mugil cephalus | 43 | 1.30 ± 0.90–8.00 ± 3.50 |
| PP | Polyclithrum ponticum | Mugil cephalus | 14 | 1.10 ± 0.80 |
| MA | Mazocraes alosae | Alosa immaculata | 90 | 0.60 ± 0.60–17.00 ± 4.50 |
| SM | Solostamenides mugilis | Planiliza haematocheilus, Chelon auratus, Mugil cephalus | 56 | 0.07 ± 0.07–2.60 ± 1.70 |
| AB | Axine belones | Belone belone | 100 | 0.50 ± 0.30–4.40 ± 1.50 |
| PD | Progrillotia dasyatidis L. | Atherina boyeri, Atherina hepsetus | 33 | 0.03 ± 0.03–0.20 ± 0.10 |
| SP | Scolex pleuronectis L. | Trachurus mediterraneus, Belone belone, Spicara smaris | 17 | 0.08 ± 0.06–1.10 ± 0.80 |
| HP | Haplosplanchnus pachysomus | Chelon auratus, Mugil cephalus | 83 | 0.20 ± 0.10–80.00 ± 19.00 |
| DC | Dicrogaster contracta | Chelon auratus | 73 | 1.00 ± 0.60–9.80 ± 4.00 |
| DP | Dicrogaster perpusilla | Chelon auratus | 40 | 0.03 ± 0.03–0.40 ± 0.20 |
| SO | Saccocoelium obesum | Chelon auratus, Mugil cephalus | 86 | 0.13 ± 0.13–9.10 ± 4.50 |
| ST | Saccocoelium tensum | Mugil cephalus, Chelon auratus, Planiliza haematocheilus, Chelon saliens | 89 | 1.10 ± 0.50–30.60 ± 11.00 |
| SS | Saccocoelium sp. | Mugil cephalus | 100 | 5.60 ± 2.70–100.00 ± 70.00 |
| LeP | Lecithobotrys putrescens | Chelon saliens | 33 | 0.90 ± 0.60 |
| ShS | Schikhobalotrema sparisomae | Chelon auratus | 67 | 0.11 ± 0.11–3.00 ± 1.40 |
| AM | Arnola microcirrus | Diplodus annularis | 75 | 1.00 ± 0.50–2.60 ± 0.90 |
| BB | Bacciger bacciger | Atherina boyeri, Atherina hepsetus | 61 | 0.40 ± 0.30–49.00 ± 13.00 |
| MM | Monorchis monorchis | Diplodus annularis, Spicara smaris | 67 | 0.10 ± 0.08–27.00 ± 3.80 |
| HF | Helicometra fasciata | Diplodus annularis | 25 | 0.50 ± 0.50 |
| LeF | Lepocreadium floridanus | Trachurus mediterraneus | 88 | 0.13 ± 0.05–9.00 ± 2.70 |
| PrP | Prodistomum polonii | Trachurus mediterraneus | 94 | 0.70 ± 0.20–29.00 ± 8.00 |
| PrV | Pronoprymna ventricosa | Alosa immaculata | 90 | 5.60 ± 2.20–123.00 ± 17.00 |
| ApS | Aphanurus stossichi | Alosa immaculata | 18 | 0.07 ± 0.04–0.60 ± 0.30 |
| PH | Pseudobacciger harengulae | Engraulis encrasicolus | 22 | 0.06 ± 0.06–0.07 ± 0.03 |
| GN | Galactosomum nicolai mtc. | Belone belone | 10 | 29.20 ± 8.50 |
| SC | Stephanostomum cesticillum mtc. | Engraulis encrasicolus, Trachurus mediterraneus | 62 | 0.25 ± 0.20–3.50 ± 0.30 |
| SB | Stephanostomum bicoronatum mtc. | Spicara smaris | 13 | 1.20 ± 0.40 |
| AS | Ascocotyle sinoecum mtc. | Atherina boyeri, Chelon saliens, Chelon auratus, Mugil cephalus, Planiliza haematocheilus | 49 | 0.30 ± 0.30–26.60 ± 11.00 |
| StP | Stephanoprora polycestus mtc. | Atherina boyeri | 14 | 13.30 ± 3.30–19.60 ± 1.80 |
| PG | Pygidiopsis genata mtc. | Atherina boyeri | 7 | 0.60± 0.40 |
| PoA | Podocotyle atherinae mtc. | Atherina boyeri | 7 | 0.14 ± 0.08 |
| GL | Galactosomum lacteum mtc. | Spicara smaris | 38 | 6.00 ± 1.60–37.60 ± 8.50 |
| NP | Neochinorhynchus personatus | Mugil cephalus | 83 | 1.00 ± 0.60–9.80 ± 5.70 |
| AA | Acanthogyrus adriaticus | Chelon auratus | 53 | 0.03 ± 0.03–2.50 ± 2.00 |
| TE | Telosentis exiguus | Atherina boyeri, Atherina hepsetus, Belone belone, Trachurus mediterraneus | 58 | 0.04 ± 0.03–12.00 ± 3.00 |
| SH | Southwellina hispida L. | Atherina boyeri | 36 | 0.02 ± 0.02–0.30 ± 0.10 |
| DM | Dichelyne minutus | Atherina boyeri | 14 | 0.10 ± 0.07–0.20 ± 0.10 |
| HA | Hysterothylacium aduncum | Alosa immaculata, Trachurus mediterraneus, Belone belone | 96 | 0.57 ± 0.14–87.00 ± 11.00 |
| Hal | Hysterothylacium aduncum L. | Engraulis encrasicolus, Chelon auratus, Atherina boyeri, Atherina hepsetus, Diplodus annularis, Spicara smaris | 62 | 0.04 ± 0.04–30.00 ± 6.00 |
| CR | Contracaecum rudolphii L. | Atherina boyeri, Atherina hepsetus, Belone belone, Trachurus mediterraneus, Mugil cephalus, Spicara smaris | 66 | 0.05 ± 0.04–19.00 ± 13.00 |
| CM | Contracaecum multipapillatum L. | Atherina boyeri, Atherina hepsetus, Belone belone | 37 | 0.03 ± 0.03–1.60 ± 0.50 |
| CO | Cosmocephalus obvelatus L. | Atherina boyeri, Chelon auratus, Planiliza haematocheilus | 10 | 0.11 ± 0.07–0.23 ± 0.11 |
| PaA | Paracuaria adunca L. | Atherina boyeri, Chelon auratus, Planiliza haematocheilus, Mugil cephalus, Belone belone | 15 | 0.06 ± 0.04–0.60 ± 0.30 |
| EE | Eustrongylides excisus L. | Atherina boyeri, Alosa immaculata | 16 | 0.06 ± 0.04–0.60 ± 0.30 |
| PhP | Philometra sp. | Chelon auratus | 20 | 0.40 ± 0.30–1.40 ± 0.70 |
| Host Species | N | HB | J | d |
|---|---|---|---|---|
| Chelon auratus | 1–10/3.00 ± 0.10 | 0–1.7/0.60 ± 0.03 | 0.40–1.00/0.80 ± 0.01 | 0.20–1.00/0.70 ± 0.02 |
| Atherina boyeri | 1–5/1.80 ± 0.04 | 0–1.0/0.20 ± 0.01 | 0.10–1.00/0.80 ± 0.01 | 0.30–1.00/0.80 ± 0.01 |
| Mugil cephalus | 2–7/4.20 ± 0.20 | 0.4–1.5/1.00 ± 0.04 | 0.30–1.00/0.80 ± 0.02 | 0.30–0.90/0.50 ± 0.02 |
| Belone belone | 1–5/1.80 ± 0.06 | 0–1.2/0.30 ± 0.02 | 0.05–1.00/0.80 ± 0.02 | 0.40–1.00/0.80 ± 0.01 |
| Planiliza haematocheilus | 1–4/2.50 ± 0.20 | 0–1.2/0.60 ± 0.06 | 0.60–1.00/0.80 ± 0.02 | 0.40–1.00/0.70 ± 0.03 |
| Chelon saliens | 1–3/1.80 ± 0.10 | 0–0.7/0.20 ± 0.04 | 0.08–1.00/0.60 ± 0.01 | 0.60–1.00/0.90 ± 0.03 |
| Diplodus annularis | 1–4/1.70 ± 0.10 | 0–0.9/0.30 ± 0.04 | 0.15–1.00/0.70 ± 0.04 | 0.50–1.00/0.90 ± 0.02 |
| Trachurus mediterraneus | 1–6/2.10 ± 0.05 | 0–1.2/0.40 ± 0.02 | 0.20–1.00/0.80 ± 0.01 | 0.30–1.00/0.80 ± 0.01 |
| Atherina hepsetus | 1–4/1.80 ± 0.10 | 0–1.0/0.20 ± 0.03 | 0.20–1.00/0.70 ± 0.04 | 0.30–1.00/0.80 ± 0.02 |
| Spicara smaris | 1–4/1.70 ± 0.07 | 0–0.9/0.30 ± 0.03 | 0.20–1.00/0.70 ± 0.03 | 0.40–1.00/0.90 ± 0.02 |
| Alosa immaculata | 1–5/2.30 ± 0.07 | 0–1.3/0.40 ± 0.02 | 0.03–1.0/0.60 ± 0.02 | 0.30–1.00/0.80 ± 0.01 |
| Engraulis encrasicolus | 1–3/1.40 ± 0.03 | 0–0.7/0.10 ± 0.01 | 0.10–1.00/0.70 ± 0.03 | 0.30–1.00/0.90 ± 0.01 |
| Species | N | H | J | d |
|---|---|---|---|---|
| Chelon auratus | 1–14/7.10 ± 0.90 | 0–2.00/1.20 ± 0.10 | 0.40–0.90/0.70 ± 0.04 | 0.30–10/0.50 ± 0.04 |
| Atherina boyeri | 2–8/5.90 ± 0.50 | 0.60–1.70/1.10 ± 0.10 | 0.40–0.90/0.70 ± 0.05 | 0.30–0.80/0.50 ± 0.05 |
| Mugil cephalus | 2–10/5.00 ± 0.70 | 0.20–1.60/1.00 ± 0.10 | 0.30–1.00/0.70 ± 0.05 | 0.40–0.90/0.60 ± 0.04 |
| Belone belone | 1–7/3.70 ± 0.50 | 0–1.20/0.70 ± 0.10 | 0.20–0.90/0.60 ± 0.08 | 0.40–1.00/0.70 ± 0.07 |
| Planiliza haematocheilus | 1–7/2.90 ± 0.60 | 0–1.10/0.60 ± 0.10 | 0.60–0.90/0.70 ± 0.05 | 0.50–1.00/0.70 ± 0.06 |
| Chelon saliens | 2–4/3.00 ± 0.30 | 0.30–0.70/0.40 ± 0.11 | 0.40–0.60/0.40 ± 0.07 | 0.70–0.90/0.80 ± 0.06 |
| Diplodus annularis | 2–4/3.00 ± 0.40 | 0.30–1.10/0.60 ± 0.20 | 0.30–0.80/0.50 ± 0.10 | 0.60–0.90/0.80 ± 0.07 |
| Trachurus mediterraneus | 2–6/4.50 ± 0.30 | 0.10–1.30/0.90 ± 0.060 | 0.20–0.90/0.60 ± 0.04 | 0.40–0.90/0.60 ± 0.03 |
| Atherina hepsetus | 4–6/4.80 ± 0.50 | 0.70–1.10/0.90 ± 0.10 | 0.40–0.80/0.60 ± 0.10 | 0.50–0.80/0.70 ± 0.06 |
| Spicara smaris | 2–5/3.10 ± 0.40 | 0.05–1/0.60 ± 0.13 | 0.10–0.90/0.50 ± 0.11 | 0.50–0.90/0.70 ± 0.06 |
| Alosa immaculata | 1–6/4.00 ± 0.40 | 0–0.90/0.50 ± 0.10 | 0.10–0.80/0.40 ± 0.07 | 0.60–1.00/0.80 ± 0.04 |
| Engraulis encrasicolus | 1–3/1.70 ± 0.30 | 0–0.70/0.30 ± 0.10 | 0.30–0.90/0.60 ± 0.10 | 0.60–1.00/0.90 ± 0.05 |
| Host Species | Pearson Correlation logAI vs. P | Number of Species | NODF | z-Score for NODF; p-Value | |
|---|---|---|---|---|---|
| Infracommunity | Component Community | ||||
| Chelon auratus | 0.72 | 3 | 7 | 37 | 19; <0.01 |
| Atherina boyeri | 0.80 | 2 | 6 | 28 | 26; <0.01 |
| Mugil cephalus | 0.73 | 4 | 5 | 57 | 6.3; <0.01 |
| Belone belone | 0.80 | 2 | 4 | 37 | 20.6; <0.01 |
| Planiliza haematocheilus | 0.89 | 2.5 | 3 | 49 | 1.8; <0.05 |
| Chelon saliens | 0.90 | 2 | 3 | 61 | 4; <0.01 |
| Diplodus annularis | 0.78 | 2 | 3 | 44 | 5.7; <0.01 |
| Trachurus mediterraneus | 0.84 | 2 | 4.5 | 53 | 23; <0.01 |
| Atherina hepsetus | 0.91 | 2 | 5 | 42 | 7.3; <0.01 |
| Spicara smaris | 0.84 | 2 | 3 | 57 | 19; <0.01 |
| Alosa immaculata | 0.74 | 2 | 4 | 31 | 11; <0.01 |
| Engraulis encrasicolus | 0.87 | 1.5 | 2 | 48 | 18; <0.01 |
| Host Species | Parasite Species | Prevalence, % | Abundance Index, ind. per Fish |
|---|---|---|---|
| Trachurus mediterraneus | Scolex pleuronectis L. | 2.40 ± 1.30 | 0.03 ± 0.02 |
| Telosentis exiguus | 7.00 ± 5.90 | 0.70 ± 0.70 | |
| Contracaecum rudolphii L. | 15.00 ± 3.60 | 1.40 ± 1.10 | |
| Lepocreadium floridanus | 15.00 ± 2.80 | 1.20 ± 0.50 | |
| Stephanostomum cesticillum mtc. | 19.00 ± 6.90 | 0.50 ± 0.20 | |
| Prodistomum polonii | 58.00 ± 6.40 | 6.00 ± 1.70 | |
| Hysterothylacium aduncum | 67.00 ± 7.10 | 5.10 ± 0.90 | |
| Atherina boyeri | Eustrongylides excisus L. | 0.14 ± 0.14 | 0.003 ± 0.003 |
| Dichelyne minutus L. | 0.60 ± 0.40 | 0.010 ± 0.008 | |
| Pygidiopsis genata mtc. | 0.60 ± 0.60 | 0.01 ± 0.01 | |
| Paracuaria adunca L. | 0.90 ± 0.60 | 0.01 ± 0.005 | |
| Progrillotia dasyatidis L. | 1.20 ± 0.90 | 0.02 ± 0.01 | |
| Cosmocephalus obvelatus L. | 1.60 ± 1.10 | 0.02 ± 0.01 | |
| Podocotyle atherinae | 2.10 ± 1.90 | 0.02 ± 0.01 | |
| Southwellina hispida | 3.50 ± 1.70 | 0.04 ± 0.02 | |
| Contracaecum multipapillatum L. | 6.50 ± 2.20 | 0.14 ± 0.08 | |
| Ascocotyle sinoecum mtc. | 11.60 ± 5.20 | 1.50 ± 1.03 | |
| Stephanoprora polycestus mtc. | 13.80 ± 9.40 | 2.30 ± 1.60 | |
| Hysterothylacium aduncum L. | 15.20 ± 3.60 | 0.39 ± 0.10 | |
| Telosentis exiguus | 18.60 ± 5.80 | 0.79 ± 0.30 | |
| Bacciger bacciger | 27.10 ± 8.40 | 9.60 ± 5.40 | |
| Contracaecum rudolphii L. | 41.20 ± 6.00 | 1.20 ± 0.10 | |
| Atherina hepsetus | Contracaecum multipapillatum L. | 2.00 ± 1.20 | 0.02 ± 0.01 |
| Progrillotia dasyatidis L. | 10.00 ± 6.50 | 0.08 ± 0.05 | |
| Hysterothylacium aduncum L. | 19.50 ± 3.30 | 0.36 ± 0.10 | |
| Telosentis exiguus | 30.00 ± 8.90 | 0.63 ± 0.20 | |
| Bacciger bacciger | 32.50 ± 18.90 | 3.93 ± 2.60 | |
| Contracaecum rudolphii L. | 39.00 ± 12.00 | 1.05 ± 0.30 | |
| Diplodus annularis | Helicometra fasciata | 1.75 ± 1.75 | 0.05 ± 0.05 |
| Hysterothylacium aduncum L. | 4.75 ± 4.75 | 0.05 ± 0.05 | |
| Arnola microcirrus | 20.00 ± 7.00 | 1.11 ± 0.50 | |
| Lamellodiscus fraternus | 20.75 ± 7.90 | 1.04 ± 0.70 | |
| Lamellodiscus elegans | 42.50 ± 13.10 | 3.07 ± 0.70 | |
| Monorchis monorchis | 56.50 ± 9.30 | 12.02 ± 4.7 | |
| Mugil cephalus | Paracuaria adunca L. | 2.00 ± 2.00 | 0.03 ± 0.03 |
| Polyclithrum ponticum | 4.00 ± 4.00 | 0.47 ± 0.47 | |
| Solostamenides mugilis | 8.00 ± 4.50 | 0.6 ± 0.4 | |
| Contracaecum rudolphii L. | 11.00 ± 6.40 | 0.28 ± 0.19 | |
| Gyrodactylus mugili | 19.00 ± 9.20 | 2.10 ± 1.20 | |
| Saccocoelium obesum | 24.00 ± 10.10 | 3.60 ± 1.70 | |
| Neochinorhynchus personatus | 38.00 ± 11.10 | 4.49 ± 1.90 | |
| Saccocoelium tensum | 41.00 ± 9.50 | 12.82 ± 4.40 | |
| Saccocoelium sp. | 52.00 ± 12.80 | 42.00 ± 11.40 | |
| Haplosplanchnus pachysomus | 57.00 ± 11.00 | 32.40 ± 11.30 | |
| Ligophorus mediterraneus | 69.00 ± 8.90 | 21.20 ± 7.20 | |
| Ligophorus cephali | 81.00 ± 5.40 | 57.00 ± 20.20 | |
| Chelon saliens | Haplosplanchnus pachysomus | 5.00 ± 5.00 | 0.07 ± 0.07 |
| Lecithobotrys putrescens | 6.00 ± 6.00 | 0.30 ± 0.30 | |
| Saccocoelium tensum | 7.00 ± 6.70 | 1.20 ± 1.10 | |
| Ascocotyle sinoecum mtc. | 25.00 ± 25.00 | 3.20 ± 3.20 | |
| Ligophorus szidati | 50.00 ± 25.60 | 5.40 ± 2.90 | |
| Ligophorus acuminatus | 66.70 ± 33.40 | 61.50 ± 38.80 | |
| Planiliza haematocheilus | Solostamenides mugilis | 4.00 ± 4.00 | 0.07 ± 0.07 |
| Contracaecum rudolphii L. | 7.00 ± 7.00 | 0.14 ± 0.14 | |
| Paracuaria adunca L. | 14.70 ± 9.70 | 0.24 ± 0.14 | |
| Ascocotyle sinoecum mtc. | 17.70 ± 8.87 | 2.26 ± 1.15 | |
| Saccocoelium tensum | 20.30 ± 6.10 | 1.22 ± 0.50 | |
| Ligophorus llewellyni | 69.70 ± 10.20 | 13.50 ± 1.80 | |
| Ligophorus pilengas | 69.70 ± 10.20 | 21.60 ± 2.70 | |
| Belone belone | Scolex pleuronectis L. | 0.70 ± 0.70 | 0.01 ± 0.01 |
| Cosmocephalus obvelatus L. | 0.90 ± 0.90 | 0.02 ± 0.02 | |
| Paracuaria adunca L. | 2.70 ± 2.70 | 0.03 ± 0.03 | |
| Galactosomum nicolai | 3.90 ± 3.90 | 2.60 ± 2.60 | |
| Contracaecum multipapillatum L. | 4.00 ± 4.00 | 0.06 ± 0.06 | |
| Contracaecum rudolphii L. | 12.20 ± 3.00 | 0.18 ± 0.04 | |
| Telosentis exiguus | 29.90 ± 10.00 | 1.47 ± 0.60 | |
| Hysterothylacium aduncum | 30.10 ± 9.00 | 1.36 ± 0.60 | |
| Axine belones | 37.60 ± 2.40 | 1.19 ± 0.30 | |
| Alosa immaculata | Eustrongylides excisus L. | 3.00 ± 1.90 | 0.06 ± 0.04 |
| Aphanurus stossichii | 6.00 ± 3.70 | 0.17 ± 0.04 | |
| Mazocraes alosae | 39.30 ± 6.10 | 3.34 ± 1.40 | |
| Hysterothylacium aduncum | 44.00 ± 8.10 | 13.90 ± 7.30 | |
| Pronoprymna ventricosa | 52.00 ± 8.90 | 48.60 ± 13.20 | |
| Chelon auratus | Paracuaria adunca L. | 0.70 ± 0.70 | 0.01 ± 0.01 |
| Contracaecum rudolphii L. | 0.90 ± 0.60 | 0.01 ± 0.01 | |
| Hysterothylacium aduncum L. | 0.90 ± 0.70 | 0.01 ± 0.009 | |
| Cosmocephalus obvelatus L. | 0.90 ± 1.00 | 0.01 ± 0.01 | |
| Ligophorus acuminatus | 1.40 ± 1.40 | 0.12 ± 0.10 | |
| Philometra sp. | 2.40 ± 1.40 | 0.10 ± 0.05 | |
| Contracaecum multipapillatum L. | 4.00 ± 1.60 | 0.04 ± 0.01 | |
| Acanthogyrus adriaticus | 9.00 ± 3.90 | 0.50 ± 0.22 | |
| Dicrogaster perpusilla | 10.00 ± 2.90 | 0.20 ± 0.06 | |
| Solostamenides mugilis | 13.70 ± 2.70 | 0.20 ± 0.06 | |
| Ascocotyle sinoecum mtc. | 13.90 ± 5.80 | 1.40 ± 0.90 | |
| Schikhobalotrema sparisomae | 15.00 ± 4.20 | 0.80 ± 0.20 | |
| Haplosplanchnus pachysomus | 26.00 ± 5.20 | 2.00 ± 0.60 | |
| Dicrogaster contracta | 32.00 ± 8.40 | 3.00 ± 0.80 | |
| Saccocoelium obesum | 33.80 ± 7.50 | 3.00 ± 0.80 | |
| Saccocoelium tensum | 39.40 ± 8.20 | 8.80 ± 2.40 | |
| Ligophorus szidati | 40.20 ± 6.10 | 6.80 ± 1.70 | |
| Ligophorus vanbenedenii | 46.90 ± 6.90 | 15.90 ± 4.70 | |
| Spicara smaris | Scolex pleuronectis L. | 4.60 ± 2.90 | 0.20 ± 0.16 |
| Stephanostomum bicoronatum mtc. | 5.00 ± 5.00 | 0.20 ± 0.15 | |
| Contracaecum rudolphii L. | 17.40 ± 5.90 | 0.50 ± 0.30 | |
| Monorchis monorchis | 18.00 ± 9.00 | 1.90 ± 1.10 | |
| Galactosomum lacteum mtc. | 31.80 ± 15.40 | 7.10 ± 5.20 | |
| Hysterothylacium aduncum L. | 87.80 ± 5.10 | 9.13 ± 1.80 | |
| Engraulis encrasicolus | Pseudobacciger harengulae | 0.90 ± 0.60 | 0.01 ± 0.008 |
| Hysterothylacium aduncum L. | 36.00 ± 10.70 | 5.00 ± 2.90 | |
| Stephanostomum cesticillum mtc. | 52.60 ± 8.80 | 1.50 ± 0.40 |
| Helminth | Number of Host Species | Number of Component Communities | Equation Parameters | ||
|---|---|---|---|---|---|
| b ± SE | R2 | p | |||
| Stephanostomum cesticillum mtc. | 2 | 16 | 0.7 ± 0.22 | 0.42 | 0.007 |
| Bacciger bacciger | 2 | 11 | 1.2 ± 0.12 | 0.92 | <0.001 |
| Dicrogaster contracta | 1 | 11 | 1.2 ± 0.50 | 0.42 | 0.030 |
| Progrillotia dasyatidis L. | 2 | 6 | 1.2 ± 0.12 | 0.96 | <0.001 |
| Pronoprymna ventricosa | 1 | 10 | 1.2 ± 0.20 | 0.83 | <0.001 |
| Southwellina hispida | 1 | 5 | 1.2 ± 0.12 | 0.97 | 0.002 |
| Paracuaria adunca L. | 5 | 7 | 1.25 ± 0.15 | 0.93 | <0.001 |
| Axine belones | 1 | 10 | 1.35 ± 0.70 | 0.32 | 0.090 |
| Contracaecum rudolphii L. | 6 | 50 | 1.4 ± 0.08 * | 0.86 | <0.001 |
| Contracaecum multipapillatum L. | 3 | 15 | 1.4 ± 0.12 * | 0.91 | <0.001 |
| Hysterothylacium aduncum L. | 6 | 30 | 1.4 ± 0.10 * | 0.86 | <0.001 |
| Acanthogyrus adriaticus | 1 | 8 | 1.5 ± 0.13 * | 0.96 | <0.001 |
| Dicrogaster perpusilla | 1 | 6 | 1.5 ± 0.20 | 0.90 | 0.004 |
| Monorchis monorchis | 2 | 8 | 1.5 ± 0.17 * | 0.92 | <0.001 |
| Prodistomum polonii | 1 | 16 | 1.5 ± 0.11 * | 0.93 | <0.001 |
| Saccocoelium obesum | 2 | 18 | 1.5 ± 0.15 * | 0.86 | <0.001 |
| Telosentis exiguus | 3 | 26 | 1.5 ± 0.08 * | 0.94 | <0.001 |
| Ligophorus szidati | 2 | 14 | 1.55 ± 0.3 | 0.72 | <0.001 |
| Ligophorus vanbenedenii | 1 | 12 | 1.6 ± 0.25 * | 0.81 | <0.001 |
| Saccocoelium sp. | 1 | 6 | 1.6 ± 0.20 * | 0.93 | 0.001 |
| Solostamenides mugilis | 3 | 14 | 1.6 ± 0.12 * | 0.94 | <0.001 |
| Hysterothylacium aduncum | 3 | 35 | 1.7 ± 0.10 * | 0.90 | <0.001 |
| Ascocotyle sinoecum mtc. | 3 | 17 | 1.7 ± 0.12 * | 0.93 | <0.001 |
| Haplosplanchnus pachysomus | 2 | 20 | 1.7 ± 0.08 * | 0.96 | <0.001 |
| Lepocreadium floridanus | 1 | 15 | 1.7 ± 0.13 * | 0.93 | <0.001 |
| Saccocoelium tensum | 2 | 24 | 1.7 ± 0.16 * | 0.83 | <0.001 |
| Schikhobalotrema sparisomae | 1 | 10 | 1.7 ± 0.20 * | 0.90 | <0.001 |
| Mazocraes alosae | 1 | 10 | 1.8 ± 0.10 * | 0.98 | <0.001 |
| Scolex pleuronectis L. | 2 | 6 | 1.8 ± 0.23 * | 0.94 | 0.001 |
| Ligophorus mediterraneus | 1 | 7 | 2.0 ± 0.20 * | 0.94 | <0.001 |
| Ligophorus cephali | 1 | 7 | 2.3 ± 0.20 * | 0.96 | <0.001 |
| Neochinorhynchus personatus | 1 | 5 | 2.5 ± 0.13 * | 0.99 | <0.001 |
| Host Species | N1 | N2 | HB | H | Equation Parameters | ||
|---|---|---|---|---|---|---|---|
| b ± SE | R2 | p | |||||
| Spicara smaris | 6 | 7 | 0.3 | 0.6 | 1.85 ± 0.44 | 0.81 | 0.014 |
| Chelon auratus | 18 | 15 | 0.6 | 1.2 | 1.88 ± 0.21 * | 0.86 | <0.001 |
| Alosa immaculata | 5 | 11 | 0.4 | 0.5 | 1.92 ± 0.23 * | 0.88 | <0.001 |
| Trachurus mediterraneus | 6 | 17 | 0.4 | 0.9 | 1.97 ± 0.16 * | 0.91 | <0.001 |
| Atherina boyeri | 15 | 14 | 0.2 | 1.1 | 1.97 ± 0.18 * | 0.91 | <0.001 |
| Atherina hepsetus | 6 | 5 | 0.2 | 0.9 | 2.01 ± 0.27 * | 0.96 | 0.018 |
| Mugil cephalus | 12 | 6 | 1.0 | 1.0 | 2.30 ± 0.74 | 0.66 | 0.014 |
| Diplodus annularis | 6 | 5 | 0.3 | 0.6 | 2.40 ± 0.52 | 0.92 | 0.042 |
| Engraulis encrasicolus | 3 | 9 | 0.1 | 0.3 | 2.57 ± 0.21 * | 0.95 | <0.001 |
| Belone belone | 9 | 10 | 0.3 | 0.7 | 2.70 ± 0.35 * | 0.88 | <0.001 |
Disclaimer/Publisher’s Note: The statements, opinions and data contained in all publications are solely those of the individual author(s) and contributor(s) and not of MDPI and/or the editor(s). MDPI and/or the editor(s) disclaim responsibility for any injury to people or property resulting from any ideas, methods, instructions or products referred to in the content. |
© 2023 by the authors. Licensee MDPI, Basel, Switzerland. This article is an open access article distributed under the terms and conditions of the Creative Commons Attribution (CC BY) license (https://creativecommons.org/licenses/by/4.0/).
Share and Cite
Plaksina, M.P.; Dmitrieva, E.V.; Dvoretsky, A.G. Helminth Communities of Common Fish Species in the Coastal Zone off Crimea: Species Composition, Diversity, and Structure. Biology 2023, 12, 478. https://doi.org/10.3390/biology12030478
Plaksina MP, Dmitrieva EV, Dvoretsky AG. Helminth Communities of Common Fish Species in the Coastal Zone off Crimea: Species Composition, Diversity, and Structure. Biology. 2023; 12(3):478. https://doi.org/10.3390/biology12030478
Chicago/Turabian StylePlaksina, Mariana P., Evgenija V. Dmitrieva, and Alexander G. Dvoretsky. 2023. "Helminth Communities of Common Fish Species in the Coastal Zone off Crimea: Species Composition, Diversity, and Structure" Biology 12, no. 3: 478. https://doi.org/10.3390/biology12030478
APA StylePlaksina, M. P., Dmitrieva, E. V., & Dvoretsky, A. G. (2023). Helminth Communities of Common Fish Species in the Coastal Zone off Crimea: Species Composition, Diversity, and Structure. Biology, 12(3), 478. https://doi.org/10.3390/biology12030478

