Dietary Sodium Butyrate Improves Intestinal Health of Triploid Oncorhynchus mykiss Fed a Low Fish Meal Diet
Abstract
Simple Summary
Abstract
1. Introduction
2. Materials and Methods
2.1. Diets
2.2. Experimental Conditions
2.3. Experimental Sample Collection
2.4. Nutrient Proximate Analysis
2.5. LPS, AMS, and Trypsin Activities
2.6. Histological Examination
2.7. Gene Expression Analyses
2.8. 16S rRNA Gene Sequencing and Bioinformatic Analysis
2.9. Aeromonas Salmonicida Challenge
2.10. Calculations
- weight gain rate (WGR; %) = 100 × (W56 − W0)/W0;
- specific growth rate (SGR; %/d) = 100 × (lnW56 − lnW0)/56 days;
- protein efficiency ratio (PER) = (W56 − W0)/ (Wf × feed protein content);
- feed conversion ratio (FCR) = Wf/ (W56 − W0);
- hepatosomatic index (HSI; %) = 100 × (liver weight (g)/body weight (g));
- condition factor (CF; %) = 100 × W56/L563;
- viscerosomatic index (VSI; %) = 100 × (viscera (g)/body weight (g));
- survival rate (SR, %) = 100 × W56/W0,
- where W0 represents the initial body weight (g), W56 represents the final body weight (g), Wf represents the feed intake (g), and L56 represents the final body length (cm).
3. Results
3.1. Growth and Feeding Parameters
3.2. Body Composition
3.3. Digestive Physiology
3.4. Histology
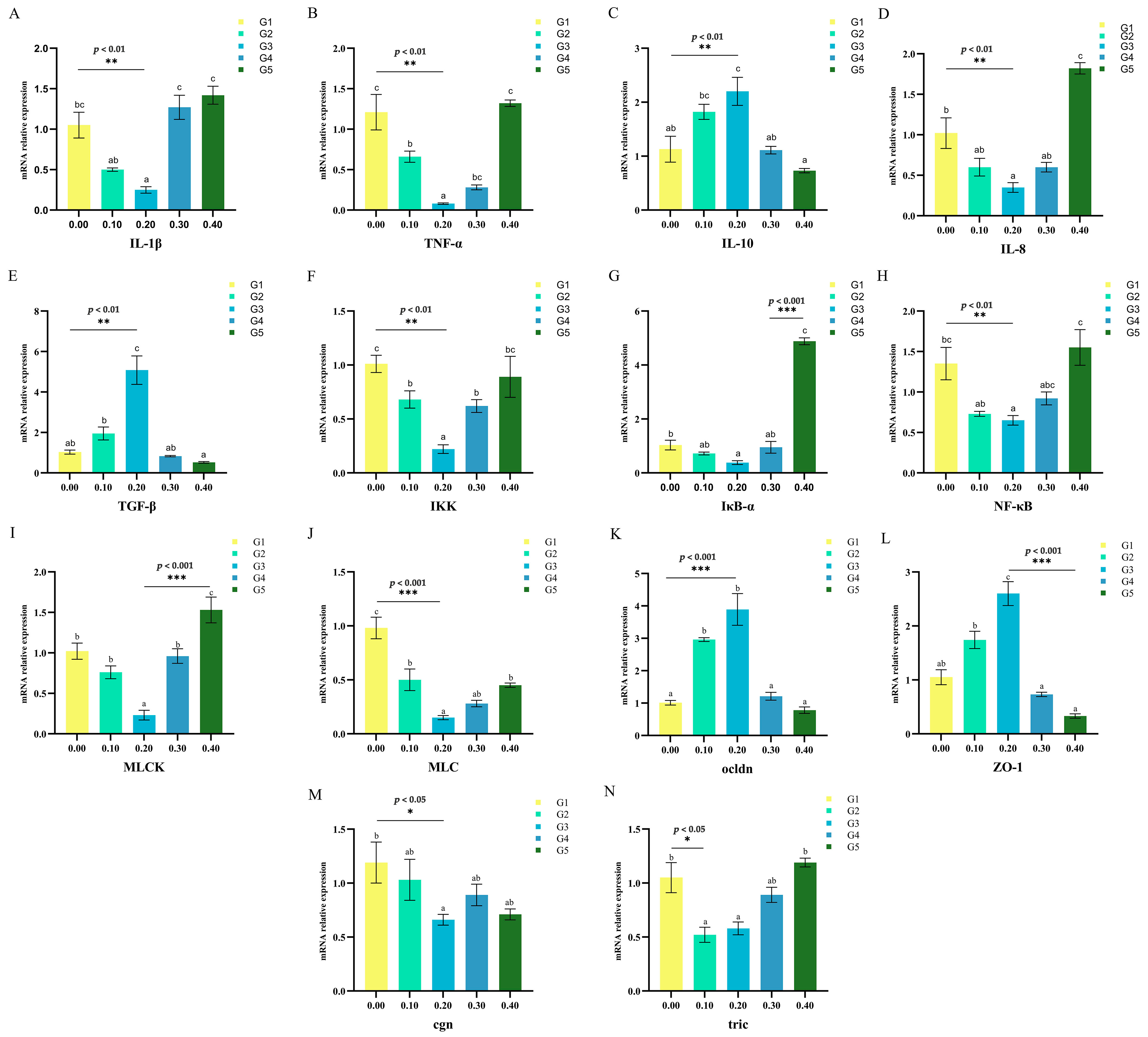
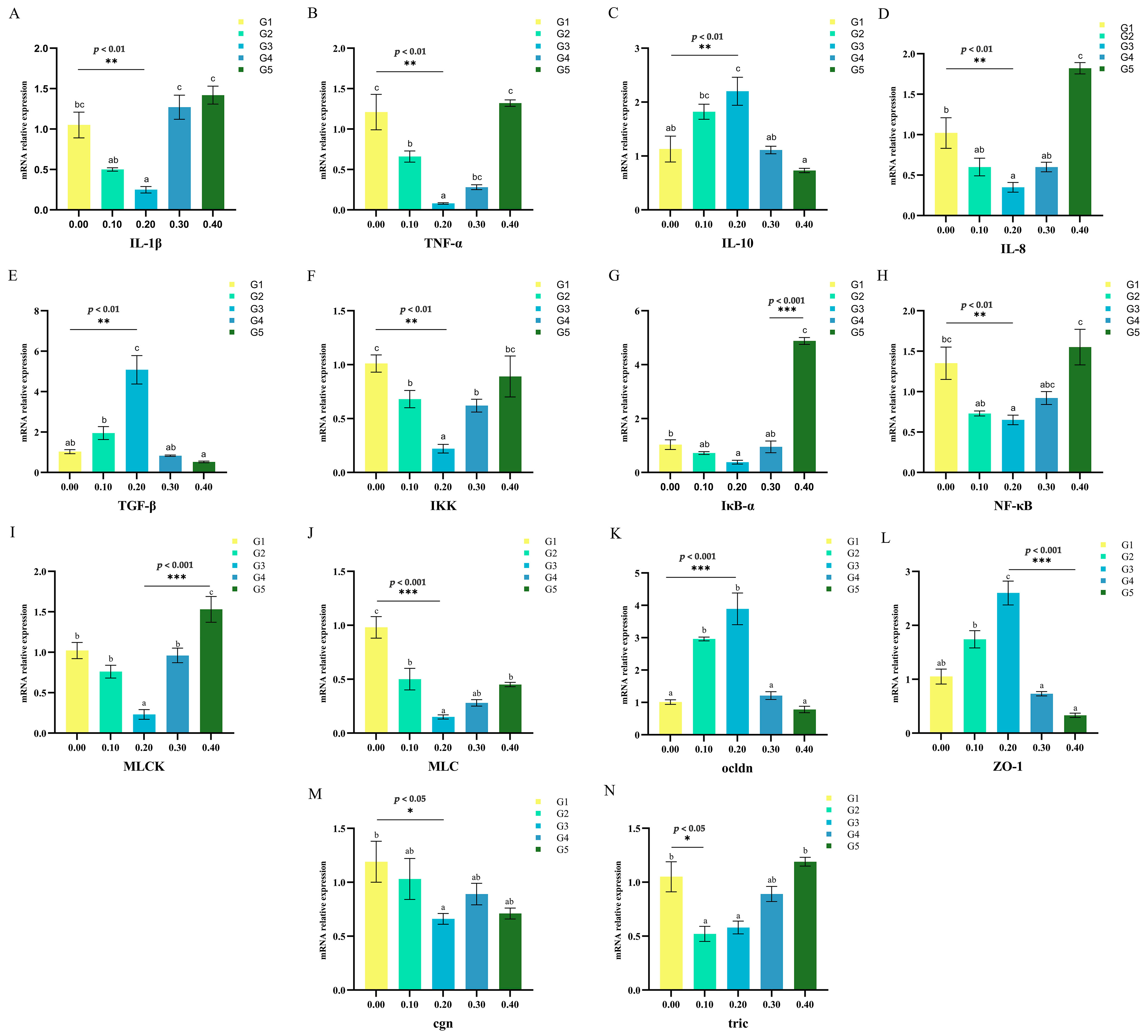
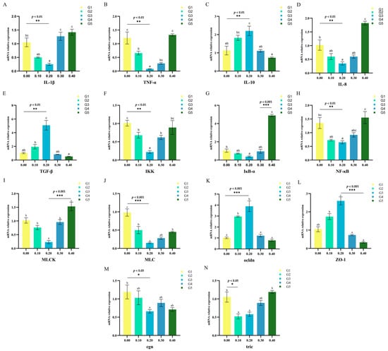
3.5. Intestinal Gene Expression
3.6. Gut Bacterial Community Composition
3.7. Survival against the A. salmonicida Challenge
4. Discussion
4.1. Growth Parameters
4.2. Body Composition
4.3. Digestive Physiology and Histological Analyses
4.4. Intestinal Microbial Diversity Analyses and Functional Prediction
4.5. Gut immunity Gene Expression
4.6. Survival upon the A. salmonicida Challenge of Triploid O. mykiss
5. Conclusions
Author Contributions
Funding
Institutional Review Board Statement
Informed Consent Statement
Data Availability Statement
Acknowledgments
Conflicts of Interest
References
- Nasopoulou, C.; Zabetakis, I. Benefits of fish oil replacement by plant originated oils in compounded fish feeds. A Review. LWT 2012, 47, 217–224. [Google Scholar] [CrossRef]
- Opstvedt, J.; Aksnes, A.; Hope, B.; Pike, I.H. Efficiency of feed utilization in Atlantic Salmon (Salmo salar L.) fed diets with increasing substitution of fish meal with vegetable proteins. Aquaculture 2003, 221, 365–379. [Google Scholar] [CrossRef]
- Torstensen, B.E.; Espe, M.; Sanden, M.; Stubhaug, I.; Waagbø, R.; Hemre, G.-I.; Fontanillas, R.; Nordgarden, U.; Hevrøy, E.M.; Olsvik, P.; et al. Novel production of Atlantic Salmon (Salmo salar) protein based on combined replacement of fish meal and fish oil with plant meal and vegetable oil blends. Aquaculture 2008, 285, 193–200. [Google Scholar] [CrossRef]
- Moreno-Arias, A.; López-Elías, J.A.; Miranda-Baeza, A.; Rivas-Vega, M.E.; Martínez-Córdova, L.R.; Ramírez-Suárez, J.C. Replacement of fish meal by vegetable meal mix in the diets of Litopenaeus vannamei reared in low-salinity biofloc system: Effect on digestive enzymatic activity. Aquac. Nutr. 2017, 23, 236–245. [Google Scholar] [CrossRef]
- Refstie, S.; Korsøen, Ø.J.; Storebakken, T.; Baeverfjord, G.; Lein, I.; Roem, A.J. Differing nutritional responses to dietary soybean meal in rainbow trout (Oncorhynchus mykiss) and Atlantic salmon (Salmo salar). Aquaculture 2000, 190, 49–63. [Google Scholar] [CrossRef]
- Buttle, L.G.; Burrells, A.C.; Good, J.E.; Williams, P.D.; Southgate, P.J.; Burrells, C. The binding of soybean agglutinin (SBA) to the intestinal epithelium of Atlantic salmon, Salmo salar and rainbow trout, Oncorhynchus mykiss, fed high levels of soybean meal. Vet. Immunol. Immunopathol. 2001, 80, 237–244. [Google Scholar] [CrossRef]
- Heikkinen, J.; Vielma, J.; Kemiläinen, O.; Tiirola, M.; Eskelinen, P.; Kiuru, T.; Navia-Paldanius, D.; von Wright, A. Effects of soybean meal based diet on growth performance, gut histopathology and intestinal microbiota of juvenile rainbow trout (Oncorhynchus mykiss). Aquaculture 2006, 261, 259–268. [Google Scholar] [CrossRef]
- Lin, S.; Luo, L. Effects of different levels of soybean meal inclusion in replacement for fish meal on growth, digestive enzymes and transaminase activities in practical diets for juvenile tilapia, Oreochromis niloticus × O. aureus. Anim. Feed Sci. Technol. 2011, 168, 80–87. [Google Scholar] [CrossRef]
- Röhe, I.; Göbel, T.W.; Goodarzi Boroojeni, F.; Zentek, J. Effect of feeding soybean meal and differently processed peas on the gut mucosal immune system of broilers. Poult. Sci. 2017, 96, 2064–2073. [Google Scholar] [CrossRef]
- Storebakken, T.; Kvien, I.S.; Shearer, K.D.; Grisdale-Helland, B.; Helland, S.J.; Berge, G.M. The apparent digestibility of diets containing fish meal, soybean meal or bacterial meal fed to Atlantic salmon (Salmo salar): Evaluation of different faecal collection methods. Aquaculture 1998, 169, 195–210. [Google Scholar] [CrossRef]
- McCracken, V.J.; Lorenz, R.G. The gastrointestinal ecosystem: A precarious alliance among epithelium, immunity and microbiota. Cell Microbiol. 2001, 3, 1–11. [Google Scholar] [CrossRef]
- Wang, Y.; Wang, C.; Liu, S.; Zhang, S.; Lu, S.; Liu, H.; Han, S.; Jiang, H.; Zhang, Y. Effects of dietary arginine on growth performance, digestion, absorption ability, antioxidant capability, gene expression of intestinal protein synthesis, and inflammation-related genes of triploid juvenile Oncorhynchus Mykiss fed a low-fish meal diet. Aquac. Nutr. 2022, 2022, 3793727. [Google Scholar] [CrossRef]
- Wang, C.; Su, B.; Lu, S.; Han, S.; Jiang, H.; Li, Z.; Liu, Y.; Liu, H.; Yang, Y. Effects of glutathione on growth, intestinal antioxidant capacity, histology, gene expression, and microbiota of juvenile triploid Oncorhynchus mykiss. Front. Physiol. 2021, 12, 784852. [Google Scholar] [CrossRef] [PubMed]
- Van der Beek, C.M.; Dejong, C.H.C.; Troost, F.J.; Masclee, A.A.M.; Lenaerts, K. Role of short-chain fatty acids in colonic inflammation, carcinogenesis, and mucosal protection and healing. Nutr. Rev. 2017, 75, 286–305. [Google Scholar] [CrossRef] [PubMed]
- Makki, K.; Deehan, E.C.; Walter, J.; Bäckhed, F. The impact of dietary fiber on gut microbiota in host health and disease. Cell Host Microbe 2018, 23, 705–715. [Google Scholar] [CrossRef]
- Sina, C.; Gavrilova, O.; Förster, M.; Till, A.; Derer, S.; Hildebrand, F.; Raabe, B.; Chalaris, A.; Scheller, J.; Rehmann, A.; et al. G protein-coupled receptor 43 is essential for neutrophil recruitment during intestinal inflammation. J. Immunol. 2009, 183, 7514–7522. [Google Scholar] [CrossRef] [PubMed]
- Wen, Z.-S.; Lu, J.-J.; Zou, X.-T. Effects of sodium butyrate on the intestinal morphology and DNA-binding activity of intestinal nuclear factor-κB in weanling pigs. J. Anim. Vet. Adv. 2012, 11, 814–821. [Google Scholar]
- Weber, T.E.; Kerr, B.J. Effect of sodium butyrate on growth performance and response to lipopolysaccharide in weanling pigs1. J. Anim. Sci. 2008, 86, 442–450. [Google Scholar] [CrossRef]
- Song, M.; Xia, B.; Li, J. Effects of topical treatment of sodium butyrate and 5-aminosalicylic acid on expression of trefoil factor 3, interleukin 1β, and nuclear factor κB in trinitrobenzene sulphonic acid induced colitis in rats. Postgrad. Med. J. 2006, 82, 130–135. [Google Scholar] [CrossRef]
- Rodríguez-Cabezas, M.E.; Gálvez, J.; Camuesco, D.; Lorente, M.D.; Concha, A.; Martinez-Augustin, O.; Redondo, L.; Zarzuelo, A. Intestinal anti-inflammatory activity of dietary fiber (Plantago ovata) seeds in HLA-B27 transgenic rats. Clin. Nutr. 2003, 22, 463–471. [Google Scholar] [CrossRef]
- Peng, L.; He, Z.; Chen, W.; Holzman, I.R.; Lin, J. Effects of butyrate on intestinal barrier function in a Caco-2 cell monolayer model of intestinal barrier. Pediatr. Res. 2007, 61, 37–41. [Google Scholar] [CrossRef] [PubMed]
- Mariadason, J.M.; Barkla, D.H.; Gibson, P.R. Effect of short-chain fatty acids on paracellular permeability in Caco-2 intestinal epithelium model. Am. J. Physiol.-Gastrointest. Liver Physiol. 1997, 272, G705–G712. [Google Scholar] [CrossRef] [PubMed]
- Mariadason, J.M.; Kilias, D.; Catto-Smith, A.; Gibson, P.R. Effect of butyrate on paracellular permeability in rat distal colonic mucosa ex vivo. J. Gastroenterol. Hepatol. 1999, 14, 873–879. [Google Scholar] [CrossRef] [PubMed]
- Rawls, J.F.; Samuel, B.S.; Gordon, J.I. Gnotobiotic zebrafish reveal evolutionarily conserved responses to the gut microbiota. Proc. Natl. Acad. Sci. USA 2004, 101, 4596–4601. [Google Scholar] [CrossRef]
- Rawls, J.F.; Mahowald, M.A.; Ley, R.E.; Gordon, J.I. Reciprocal gut microbiota transplants from zebrafish and mice to germ-free recipients reveal host habitat selection. Cell 2006, 127, 423–433. [Google Scholar] [CrossRef]
- Flint, H.J.; Scott, K.P.; Duncan, S.H.; Louis, P.; Forano, E. Microbial degradation of complex carbohydrates in the gut. Gut Microbes 2012, 3, 289–306. [Google Scholar] [CrossRef]
- Lazado, C.C.; Caipang, C.M.A.; Gallage, S.; Brinchmann, M.F.; Kiron, V. Expression profiles of genes associated with immune response and oxidative stress in Atlantic cod, Gadus morhua head kidney leukocytes modulated by live and heat-inactivated intestinal bacteria. Comp. Biochem. Physiol. B Biochem. Mol. Biol. 2010, 155, 249–255. [Google Scholar] [CrossRef]
- Rimoldi, S.; Gliozheni, E.; Ascione, C.; Gini, E.; Terova, G. Effect of a specific composition of short- and medium-chain fatty acid 1-Monoglycerides on growth performances and gut microbiota of gilthead sea bream (Sparus aurata). Peer J. 2018, 6, e5355. [Google Scholar] [CrossRef]
- Liu, Y.; Chen, Z.; Dai, J.; Yang, P.; Xu, W.; Ai, Q.; Zhang, W.; Zhang, Y.; Zhang, Y.; Mai, K. Sodium butyrate supplementation in high-soybean meal diets for turbot (Scophthalmus maximus L.): Effects on inflammatory status, mucosal barriers and microbiota in the intestine. Fish Shellfish Immunol. 2019, 88, 65–75. [Google Scholar] [CrossRef]
- Liu, W.; Yang, Y.; Zhang, J.; Gatlin, D.M.; Ringø, E.; Zhou, Z. Effects of dietary microencapsulated sodium butyrate on growth, intestinal mucosal morphology, immune response and adhesive bacteria in juvenile common carp (Cyprinus carpio) pre-fed with or without oxidised oil. Br. J. Nutr. 2014, 112, 15–29. [Google Scholar] [CrossRef]
- Pauly, D.; Zeller, D. Comments on FAOs State of World Fisheries and Aquaculture (SOFIA 2016). Mar. Policy 2017, 77, 176–181. [Google Scholar] [CrossRef]
- Ma, R.; Liu, X.; Meng, Y.; Wu, J.; Zhang, L.; Han, B.; Qian, K.; Luo, Z.; Wei, Y.; Li, C. Protein nutrition on sub-adult triploid rainbow trout (1): Dietary requirement and effect on anti-oxidative capacity, protein digestion and absorption. Aquaculture 2019, 507, 428–434. [Google Scholar] [CrossRef]
- Meiler, K.A.; Kumar, V. Organic and inorganic zinc in the diet of a commercial strain of diploid and triploid rainbow trout (Oncorhynchus mykiss): Effects on performance and mineral retention. Aquaculture 2021, 545, 737126. [Google Scholar] [CrossRef]
- George, W. Latimer. In Official methods of analysis of AOAC international, 20th ed.; AOAC international: Rockville, ML, USA, 2016; pp. 30–31. [Google Scholar]
- Guo, Y.; Huang, D.; Chen, F.; Ma, S.; Zhou, W.; Zhang, W.; Mai, K. Lipid deposition in abalone Haliotis discus hannai affected by dietary lipid levels through AMPKα2/PPARα and JNK/mTOR/SREBP-1c pathway. Aquaculture 2021, 532, 736040. [Google Scholar] [CrossRef]
- Edgar, R.C. UPARSE: Highly accurate OTU sequences from microbial amplicon reads. Nat. Methods 2013, 10, 996–998. [Google Scholar] [CrossRef]
- Caporaso, J.G.; Kuczynski, J.; Stombaugh, J.; Bittinger, K.; Bushman, F.D.; Costello, E.K.; Fierer, N.; Peña, A.G.; Goodrich, J.K.; Gordon, J.I.; et al. QIIME allows analysis of high-throughput community sequencing data. Nat. Methods 2010, 7, 335–336. [Google Scholar] [CrossRef]
- Edgar, R.C.; Haas, B.J.; Clemente, J.C.; Quince, C.; Knight, R. UCHIME improves sensitivity and speed of chimera detection. Bioinformatics 2011, 27, 2194–2200. [Google Scholar] [CrossRef]
- Segata, N.; Izard, J.; Waldron, L.; Gevers, D.; Miropolsky, L.; Garrett, W.S.; Huttenhower, C. Metagenomic biomarker discovery and explanation. Genome Biol. 2011, 12, R60. [Google Scholar] [CrossRef]
- Gysi, D.M.; Voigt, A.; de Fragoso, T.M.; Almaas, E.; Nowick, K. WTO: An R package for computing weighted topological overlap and a consensus network with integrated visualization tool. BMC Bioinform. 2018, 19, 392. [Google Scholar] [CrossRef]
- Langille, M.G.I.; Zaneveld, J.; Caporaso, J.G.; McDonald, D.; Knights, D.; Reyes, J.A.; Clemente, J.C.; Burkepile, D.E.; Vega Thurber, R.L.; Knight, R.; et al. Predictive functional profiling of microbial communities using 16S rRNA marker gene sequences. Nat. Biotechnol. 2013, 31, 814–821. [Google Scholar] [CrossRef] [PubMed]
- Elmazni, A.H.; Tony, M.A.; Sawiress, F.A.R.; Abdl-Rahman, M.A.; Saleh, S.Y. Influence of dietary supplementation of coated sodium butyrate and/or synbiotic on growth performances, caecal fermentation, intestinal morphometry and metabolic profile of growing rabbits. Res. Dev. Agric. Sci. 2020, 2, 94–105. [Google Scholar]
- Han, F.; Xu, C.; Qi, C.; Lin, Z.; Li, E.; Wang, C.; Wang, X.; Qin, J.G.; Chen, L. Sodium butyrate can improve intestinal integrity and immunity in juvenile Chinese mitten crab (Eriocheir sinensis) fed glycinin. Fish Shellfish Immunol. 2020, 102, 400–411. [Google Scholar] [CrossRef] [PubMed]
- Luz, J.R.; Ramos, A.P.S.; Melo, J.F.B.; Braga, L.G.T. Use of sodium butyrate in the feeding of Arapaima gigas (Schinz, 1822) juvenile. Aquaculture 2019, 510, 248–255. [Google Scholar] [CrossRef]
- Liu, M.; Guo, W.; Wu, F.; Qu, Q.; Tan, Q.; Gong, W. Dietary supplementation of sodium butyrate may benefit growth performance and intestinal function in juvenile grass carp (Ctenopharyngodon idellus). Aquac. Res. 2017, 48, 4102–4111. [Google Scholar] [CrossRef]
- Terova, G.; Díaz, N.; Rimoldi, S.; Ceccotti, C.; Gliozheni, E.; Piferrer, F. Effects of sodium butyrate treatment on histone modifications and the expression of genes related to epigenetic regulatory mechanisms and immune response in European sea bass (Dicentrarchus labrax) fed a plant-based diet. PLoS ONE 2016, 11, e0160332. [Google Scholar] [CrossRef] [PubMed]
- Robles, R.; Lozano, A.B.; Sevilla, A.; Márquez, L.; Nuez-Ortín, W.; Moyano, F.J. Effect of partially protected butyrate used as feed additive on growth and intestinal metabolism in sea bream (Sparus aurata). Fish Physiol. Biochem. 2013, 39, 1567–1580. [Google Scholar] [CrossRef]
- Ahmed, H.; Sadek, K. Impact of dietary supplementation of sodium butyrate and/or protein on the growth performance, some blood parameters, and immune response of Oreochromis niloticus. Int. J. Agric. Innov. Res. 2015, 22, 579–584. [Google Scholar]
- Maruyama, N.; Katsube, T.; Wada, Y.; Oh, M.H.; Barba De La Rosa, A.P.; Okuda, E.; Nakagawa, S.; Utsumi, S. The roles of the N-linked glycans and extension regions of soybean β-conglycinin in folding, assembly and structural features. Eur. J. Biochem. 1998, 258, 854–862. [Google Scholar] [CrossRef]
- Rimoldi, S.; Finzi, G.; Ceccotti, C.; Girardello, R.; Grimaldi, A.; Ascione, C.; Terova, G. Butyrate and taurine exert a mitigating effect on the inflamed distal intestine of European sea bass fed with a high percentage of soybean meal. Fish. Aquat. Sci. 2016, 19, 40. [Google Scholar] [CrossRef]
- Zhou, C.; Lin, H.; Huang, Z.; Wang, J.; Wang, Y.; Yu, W. Effect of dietary sodium butyrate on growth performance, enzyme activities and intestinal proliferation-related gene expression of juvenile golden pompano Trachinotus ovatus. Aquac. Nutr. 2019, 25, 1261–1271. [Google Scholar] [CrossRef]
- Aalamifar, H.; Soltanian, S.; Vazirzadeh, A.; Akhlaghi, M.; Morshedi, V.; Gholamhosseini, A.; Torfi Mozanzadeh, M. Dietary butyric acid improved growth, digestive enzyme activities and humoral immune parameters in Barramundi (Lates calcarifer). Aquac. Nutr. 2020, 26, 156–164. [Google Scholar] [CrossRef]
- Hoseinifar, S.H.; Dadar, M.; Ringø, E. Modulation of nutrient digestibility and digestive enzyme activities in aquatic animals: The functional feed additives scenario. Aquac. Res. 2017, 48, 3987–4000. [Google Scholar] [CrossRef]
- Dawood, M.A.O.; Eweedah, N.M.; Elbialy, Z.I.; Abdelhamid, A.I. Dietary sodium butyrate ameliorated the blood stress biomarkers, heat shock proteins, and immune response of Nile tilapia (Oreochromis niloticus) exposed to heat stress. J. Therm. Biol. 2020, 88, 102500. [Google Scholar] [CrossRef] [PubMed]
- Abdel-Mohsen, H.H.; Wassef, E.A.; El-Bermawy, N.M.; Abdel-Meguid, N.E.; Saleh, N.E.; Barakat, K.M.; Shaltout, O.E. Advantageous effects of dietary butyrate on growth, immunity response, intestinal microbiota and histomorphology of European Seabass (Dicentrarchus labrax) fry. Egypt. J. Aquat. Biol. Fish. 2018, 22, 93–110. [Google Scholar] [CrossRef]
- Zhou, J.S.; Guo, P.; Yu, H.B.; Ji, H.; Lai, Z.W.; Chen, Y.A. Growth performance, lipid metabolism, and health status of grass carp (Ctenopharyngodon idella) fed three different forms of sodium butyrate. Fish Physiol. Biochem. 2019, 45, 287–298. [Google Scholar] [CrossRef]
- Gerritsen, J.; Smidt, H.; Rijkers, G.T.; de Vos, W.M. Intestinal microbiota in human health and disease: The impact of probiotics. Genes Nutr. 2011, 6, 209–240. [Google Scholar] [CrossRef] [PubMed]
- Xia, J.H.; Lin, G.; Fu, G.H.; Wan, Z.Y.; Lee, M.; Wang, L.; Liu, X.J.; Yue, G.H. The intestinal microbiome of fish under starvation. BMC Genomics 2014, 15, 266. [Google Scholar] [CrossRef]
- Pop, M. We Are What We Eat: We are what we eat: How the diet of infants affects their gut microbiome. Genome Biol. 2012, 13, 152. [Google Scholar] [CrossRef]
- Schwartz, S.; Friedberg, I.; Ivanov, I.V.; Davidson, L.A.; Goldsby, J.S.; Dahl, D.B.; Herman, D.; Wang, M.; Donovan, S.M.; Chapkin, R.S. A metagenomic study of diet-dependent interaction between gut microbiota and host in infants reveals differences in immune response. Genome Biol. 2012, 13, r32. [Google Scholar] [CrossRef]
- Piazzon de Haro, M.C.; Calduch-Giner, J.A.; Fouz, B.; Estensoro, I.; Simó Mirabet, P.; Puyalto, M.; Karalazos, V.; Palenzuela, O.; Sitjà-Bobadilla, A.; Pérez-Sánchez, J. Under control: How a dietary additive can restore the gut microbiome and proteomic profile, and improve disease resilience in a marine teleostean fish fed vegetable diets. Microbiome 2017, 5, 164. [Google Scholar] [CrossRef]
- Lückstädt, C. The use of acidifiers in fish nutrition. CAB Rev. Perspect. Agric. Vet. Sci. Nutr. Nat. Resour. 2008, 3, 044. [Google Scholar] [CrossRef]
- Hoseinifar, S.H.; Sun, Y.-Z.; Caipang, C.M. Short-chain fatty acids as feed supplements for sustainable aquaculture: An updated view. Aquac. Res. 2017, 48, 1380–1391. [Google Scholar] [CrossRef]
- Ray, A.K.; Ghosh, K.; Ringø, E. Enzyme-producing bacteria isolated from fish gut: A review. Aquac. Nutr. 2012, 18, 465–492. [Google Scholar] [CrossRef]
- Silva, F.C.P.; Brito, M.F.G.; Farias, L.M.; Nicoli, J.R. Composition and antagonistic activity of the indigenous intestinal microbiota of Prochilodus argenteus Agassiz. J. Fish Biol. 2005, 67, 1686–1698. [Google Scholar] [CrossRef]
- Rawls, J.F.; Mahowald, M.A.; Goodman, A.L.; Trent, C.M.; Gordon, J.I. In vivo imaging and genetic analysis link bacterial motility and symbiosis in the zebrafish gut. Proc. Natl. Acad. Sci. USA 2007, 104, 7622–7627. [Google Scholar] [CrossRef]
- Ventura, M.; Canchaya, C.; Tauch, A.; Chandra, G.; Fitzgerald, G.F.; Chater, K.F.; van Sinderen, D. Genomics of actinobacteria: Tracing the evolutionary history of an ancient phylum. Microbiol. Mol. Biol. Rev. 2007, 71, 495–548. [Google Scholar] [CrossRef]
- Xu, J.; Bjursell, M.K.; Himrod, J.; Deng, S.; Carmichael, L.K.; Chiang, H.C.; Hooper, L.V.; Gordon, J.I. A genomic view of the human-bacteroides thetaiotaomicron symbiosis. Science 2003, 299, 2074–2076. [Google Scholar] [CrossRef] [PubMed]
- Fedorak, R.N.; Madsen, K.L. Probiotics and prebiotics in gastrointestinal disorders. Curr. Opin. Gastroenterol. 2004, 20, 146–155. [Google Scholar] [CrossRef]
- Jia, W.; Li, H.; Zhao, L.; Nicholson, J.K. Gut microbiota: A potential new territory for drug targeting. Nat. Rev. Drug Discov. 2008, 7, 123–129. [Google Scholar] [CrossRef]
- Haller, D.; Bode, C.; Hammes, W.P.; Pfeifer, A.M.; Schiffrin, E.J.; Blum, S. Non-pathogenic bacteria elicit a differential cytokine response by intestinal epithelial cell/leucocyte co-cultures. Gut 2000, 47, 79–87. [Google Scholar] [CrossRef]
- McCracken, V.J.; Chun, T.; Baldeón, M.E.; Ahrné, S.; Molin, G.; Mackie, R.I.; Gaskins, H.R. TNF-alpha sensitizes HT-29 colonic epithelial cells to intestinal lactobacilli. Exp. Biol. Med. Maywood NJ 2002, 227, 665–670. [Google Scholar] [CrossRef] [PubMed]
- Xiao, Y.; Yu, L.; Gui, G.; Gong, Y.; Wen, X.; Xia, W.; Yang, H.; Zhang, L. Molecular cloning and expression analysis of interleukin-8 and -10 in yellow catfish and in response to bacterial pathogen infection. BioMed Res. Int. 2019, 2019, e9617659. [Google Scholar] [CrossRef] [PubMed]
- Song, X.; Zhao, J.; Bo, Y.; Liu, Z.; Wu, K.; Gong, C. Aeromonas hydrophila induces intestinal inflammation in grass carp (Ctenopharyngodon idella): An experimental model. Aquaculture 2014, 434, 171–178. [Google Scholar] [CrossRef]
- Estensoro, I.; Ballester-Lozano, G.; Benedito-Palos, L.; Grammes, F.; Martos-Sitcha, J.A.; Mydland, L.-T.; Calduch-Giner, J.A.; Fuentes, J.; Karalazos, V.; Ortiz, Á.; et al. Dietary butyrate helps to restore the intestinal status of a marine teleost (Sparus aurata) fed extreme diets low in fish meal and fish oil. PLoS ONE 2016, 11, e0166564. [Google Scholar] [CrossRef]
- Baeverfjord, G.; Krogdahl, A. Development and regression of soybean meal induced enteritis in Atlantic salmon, Salmo salar L., distal intestine: A comparison with the intestines of fasted fish. J. Fish Dis. 1996, 19, 375–387. [Google Scholar] [CrossRef]
- Meijer, K.; de Vos, P.; Priebe, M.G. Butyrate and other short-chain fatty acids as modulators of immunity: What relevance for health. Curr. Opin. Clin. Nutr. Metab. Care 2010, 13, 715–721. [Google Scholar] [CrossRef]
- Segain, J.-P.; de la Blétière, D.R.; Bourreille, A.; Leray, V.; Gervois, N.; Rosales, C.; Ferrier, L.; Bonnet, C.; Blottière, H.M.; Galmiche, J.-P. Butyrate inhibits inflammatory responses through NF-κB inhibition: Implications for Crohn’s disease. Gut 2000, 47, 397–403. [Google Scholar] [CrossRef] [PubMed]
- Nagy, L.E. Recent insights into the role of the innate immune system in the development of alcoholic liver disease. Exp. Biol. Med. 2003, 228, 882–890. [Google Scholar] [CrossRef]
- Rao, R. Oxidative stress-induced disruption of epithelial and endothelial tight junctions. Front. Biosci. J. Virtual Libr. 2008, 13, 7210–7226. [Google Scholar] [CrossRef]
- Niklasson, L.; Sundh, H.; Fridell, F.; Taranger, G.L.; Sundell, K. Disturbance of the intestinal mucosal immune system of farmed Atlantic salmon (Salmo salar), in response to long-term hypoxic conditions. Fish Shellfish Immunol. 2011, 31, 1072–1080. [Google Scholar] [CrossRef] [PubMed]
- Zhao, H.; Jia, L.; Yan, Q.; Deng, Q.; Wei, B. Effect of Clostridium butyricum and butyrate on intestinal barrier functions: Study of a rat model of severe acute pancreatitis with intra-abdominal hypertension. Front. Physiol. 2020, 11, 561061. [Google Scholar] [CrossRef]
- Ye, D.; Ma, T.Y. Cellular and molecular mechanisms that mediate basal and tumour necrosis factor-α-induced regulation of myosin light chain kinase gene activity. J. Cell Mol. Med. 2008, 12, 1331–1346. [Google Scholar] [CrossRef]
- Cipriano, R.; Bullock, G. Furunculosis and other diseases caused by Aeromonas salmonicida. Fish Dis. 2001, 66, 3–6. [Google Scholar]
- Lee, K.K.; Ellis, A.E. Glycerophospholipid: Cholesterol acyltransferase complexed with lipopolysaccharide (LPS) is a major lethal exotoxin and cytolysin of Aeromonas salmonicida: LPS stabilizes and enhances toxicity of the enzyme. J. Bacteriol. 1990, 172, 5382–5393. [Google Scholar] [CrossRef] [PubMed]
- SCOTT, M. The Pathogenicity of Aeromonas salmonicida (Griffin) in sea and brackish waters. Microbiology. 1968, 50, 321–327. [Google Scholar] [CrossRef] [PubMed]
- Ma, X.; Fan, P.X.; Li, L.S.; Qiao, S.Y.; Zhang, G.L.; Li, D.F. Butyrate promotes the recovering of intestinal wound healing through its positive effect on the tight junctions1. J. Anim. Sci. 2012, 90, 266–268. [Google Scholar] [CrossRef] [PubMed]








| Ingredients | Groups | ||||
|---|---|---|---|---|---|
| G1 (0.00%) | G2 (0.10%) | G3 (0.20%) | G4 (0.30%) | G5 (0.40%) | |
| Soybean oil 1 | 5.38 | 5.38 | 5.38 | 5.38 | 5.38 |
| Fish meal 2 | 15.00 | 15.00 | 15.00 | 15.00 | 15.00 |
| Wheat flour 1 | 24.40 | 24.40 | 24.40 | 24.40 | 24.40 |
| Fish oil 2 | 5.00 | 5.00 | 5.00 | 5.00 | 5.00 |
| Compound amino acids 3 | 17.02 | 17.02 | 17.02 | 17.02 | 17.02 |
| Soybean meal 1 | 21.60 | 21.60 | 21.60 | 21.60 | 21.60 |
| Beer yeast 1 | 6.00 | 6.00 | 6.00 | 6.00 | 6.00 |
| Premix 4 | 4.00 | 4.00 | 4.00 | 4.00 | 4.00 |
| Ca(H2PO4)2 5 | 1.00 | 1.00 | 1.00 | 1.00 | 1.00 |
| Calcium propionate 5 | 0.20 | 0.20 | 0.20 | 0.20 | 0.20 |
| Microcrystalline cellulose 6 | 0.40 | 0.30 | 0.20 | 0.10 | 0.00 |
| Sodium butyrate (98.50%) 7 | 0.00 | 0.10 | 0.20 | 0.30 | 0.40 |
| Nutrient proximate levels 8 | |||||
| Crude protein | 37.63 | 35.11 | 35.66 | 37.61 | 35.66 |
| Crude lipid | 15.95 | 15.56 | 15.61 | 15.37 | 15.56 |
| Ash | 3.71 | 3.73 | 3.72 | 3.70 | 3.77 |
| Moisture | 8.33 | 8.17 | 8.39 | 8.53 | 8.25 |
| Gross energy (MJ/kg) 9 | 21.55 | 21.03 | 21.29 | 21.12 | 21.83 |
| Items | PCR Reaction Solution Preparation | PCR Amplification Procedure | |||
|---|---|---|---|---|---|
| Reagent | Consumption | Concentration | Procedure | Instrument | |
| RT-PCR | TB Green Premix Ex Taq II (Tli RNaseH Plus) 1 | 10 μL | 2× | Step 1: Reps: 1 95 °C 30 s Step 2: Reps: 40 95 °C 5 s 60 °C 34 s | 7500 Real-Time PCR System; Applied Biosystems, Waltham, MA, USA |
| ROX Reference Dye II 1 | 0.4 μL | 50× | |||
| PCR Forward Primer 2 | 0.8 μL | 10 μM | |||
| PCR Reverse Primer 2 | 0.8 μL | 10 μM | |||
| cDNA 3 | 2 μL | 50 ng/μL | |||
| DEPC H2O 4 | 6 μL | ||||
| PCR | FastPfu Buffer 5 | 4 μL | 5× | Step 1: Reps: 1 95 °C 3 min Step 2 Reps: 27 95 °C 30 s 55 °C 45 s 72 °C 45 s Step 3 72 °C 10 min | Gene Amp 9700; Applied, USA |
| dNTPs 5 | 2 μL | 2.5 mM | |||
| FastPfu Polymerase 5 | 0.4 μL | ||||
| Primer 338F (5′-ACTCCTACGGGAGGCAGCAG-3′) 2 | 0.8 μL | 5 μM | |||
| Primer 806R (5′-GGACTACHVGGGTWTCTAAT-3′) 2 | 0.8 μL | 5 μM | |||
| Template DNA 6 | 10 ng | ||||
| Genes | Primer Sequences Forward and Reverse (5’—3’) | Accession Number | Annealing Temp (°C) | Primer Efficiency % |
|---|---|---|---|---|
| β-actin | F: GGACTTTGAGCAGGAGATGG R: ATGATGGAGTTGTAGGTGGTCT | XM_044093545.1 | 61.40 | 99.65 |
| TGF-β | F: ACTGTGCCCCTGCAAGTCT R: CTGTGCTGTCCTACGCTCTG | X99303 | 55.90 | 96.00 |
| TNF-α | F: GGGGACAAACTGTGGACTGA R: GAAGTTCTTGCCCTGCTCTG | AJ278085.1 | 58.40 | 93.00 |
| IKK | F: CTGCATCGCTACCTCAGGAG R: TAAGAAAACACCCCTGGGCC | BT073400. | 60.00 | 96.99 |
| IκB-α | F: GGCAGAATTGAAGTGGTCGC R: GCTTCTGGGACCTGGAGTTC | BT074224.1 | 60.00 | 94.00 |
| MLCK | F: GTGTGTGTGCCGGAAAGTTC R: ATCATAGGCCCCCAGACACT | NC_048576.1 | 60.00 | 95.00 |
| MLC | F: GCCCGTTTCCTGTGCAATTT R: GCTTGGGTCGCTAAT | XM_021565852.2 | 60.00 | 99.44 |
| IL-8 | F: GAATGTCAGCAGCCTTGTC R: TCCAGACAAAYCYCCYGACCG | AJ310565.1 | 60.30 | 98.00 |
| ZO-1 | F: AAGGAAGGTCTGGAGGAAGG R: CAGCTTGCCGTTGTAGAGG | XM_036980662.1 | 60.00 | 98.00 |
| tric | F: GTCACATCCCCAAACCAGTC R: GTCCAGCTCGTCAAACTTCC | KC603902 | 60.00 | 96.00 |
| IL-1β | F: ACCAGCCTTGTCGTTGTG R: GTTCTTCCACAGCACTCTCC | AB010701.1 | 57.10 | 96.00 |
| Ocln | F: CAGCCCAGTTCCTCCAGTAG R: GCTCATCCAGCTCTCTGTCC | GQ476574 | 58.00 | 96.43 |
| NF-κB | F: CAGGACCGCAACATACTGGA R: GCTGCTTCCTCTGTTGTTCCA | XM_031794907.1 | 58.40 | 96.00 |
| Cgn | F: CTGGAGGAGAGGCTACACAG R: CTTCACACGCAGGGACAG | BK008767 | 56.00 | 98.00 |
| IL-10 | F: CGACTTTAAATCTCCCATCGAC R: GCATTGGACGATCTCTTTCTTC | AB118099.1 | 65.00 | 94.00 |
| cldn-3 | F: TGGATCATTGCCATCGTGTC R: GCCTCGTCCTCAATACAGTTGG | BK007964 | 60.00 | 93.00 |
| Items | Groups | ||||
|---|---|---|---|---|---|
| G1 | G2 | G3 | G4 | G5 | |
| Initial body weight (g) | 9.05 ± 0.04 | 8.67 ± 0.12 | 8.64 ± 0.11 | 8.87 ± 0.03 | 8.89 ± 0.07 |
| Final body weight (g) | 26.09 ± 0.18 ab | 25.29 ± 0.25 a | 26.27 ± 0.2 b | 25.86 ± 0.35 ab | 26.18 ± 0.34 ab |
| WGR (%) | 188.29 ± 2.01 a | 191.69 ± 2.2 ab | 204.01 ± 4.81 b | 191.49 ± 3.13 ab | 194.65 ± 6.08 ab |
| Survival rate (%) | 98.89 ± 1.11 | 100.00 ± 0.00 | 97.78 ± 1.11 | 98.89 ± 1.11 | 97.78 ± 2.22 |
| FCR | 1.29 ± 0.01 ab | 1.32 ± 0.01 a | 1.24 ± 0.02 b | 1.30 ± 0.02 ab | 1.27 ± 0.03 ab |
| SGR (%/d) | 1.89 ± 0.01 a | 1.91 ± 0.01 ab | 1.99 ± 0.03 b | 1.93 ± 0.04 ab | 1.91 ± 0.02 ab |
| PER | 1.94 ± 0.02 ab | 1.89 ± 0.02 a | 2.01 ± 0.03 b | 1.93 ± 0.04 ab | 1.97 ± 0.05 ab |
| CF | 1.17 ± 0.02 | 1.24 ± 0.03 | 1.17 ± 0.02 | 1.23 ± 0.02 | 1.17 ± 0.02 |
| HSI (%) | 4.28 ± 0.21 b | 3.75 ± 0.24 ab | 3.45 ± 0.25 ab | 3.06 ± 0.21 a | 3.46 ± 0.19 ab |
| VSI (%) | 19.64 ± 0.57 b | 17.48 ± 0.68 a | 17.81 ± 0.58 ab | 17.78 ± 0.43 ab | 18.09 ± 0.74 ab |
| Indices | Groups | ||||
|---|---|---|---|---|---|
| G1 | G2 | G3 | G4 | G5 | |
| Crude protein | 14.45 ± 0.15 | 13.93 ± 0.12 | 14.07 ± 0.43 | 14.83 ± 0.63 | 14.45 ± 0.15 |
| Crude lipid | 9.78 ± 0.32 | 10.02 ± 0.07 | 9.4 ± 0.04 | 9.68 ± 0.37 | 9.13 ± 0.03 |
| Ash | 2.38 ± 0.07 | 2.23 ± 0.03 | 2.47 ± 0.05 | 2.43 ± 0.13 | 2.42 ± 0.03 |
| Moisture | 73.04 ± 0.17 | 72.87 ± 0.29 | 73.11 ± 0.24 | 72.61 ± 0.38 | 73.47 ± 0.32 |
| Indices | Groups | ||||
|---|---|---|---|---|---|
| G1 | G2 | G3 | G4 | G5 | |
| Intestinal digestive enzyme | |||||
| LPS (U/g prot) | 13.28 ± 0.07 ab | 13.80 ± 0.78 ab | 19.96 ± 0.43 c | 15.10 ± 0.54 b | 12.40 ± 0.33 a |
| Trypsin (U/mg prot) | 2868.24 ± 192.79 b | 4332.58 ± 141.72 c | 5553.76 ± 61.09 d | 2364.32 ± 262.44 b | 1580.33 ± 49.06 a |
| AMS (U/mg prot) | 0.11 ± 0.01 ab | 0.12 ± 0.02 ab | 0.18 ± 0.03 b | 0.11 ± 0.00 ab | 0.07 ± 0.01 a |
| Intestinal morphology (μm) | |||||
| Villus length | 375.1 ± 9.72 a | 774.31 ± 17.99 bc | 838.48 ± 61.58 c | 641.68 ± 30.86 b | 313.18 ± 19.46 a |
| Villus width | 149.86 ± 4.15 b | 203.76 ± 15.24 c | 256.99 ± 8.9 d | 156.92 ± 9.62 b | 116.69 ± 15.31 a |
| Muscular layer Thickness | 58.99 ± 6.35 a | 80.27 ± 1.80 bc | 83.58 ± 3.86 c | 69.08 ± 3.45 ab | 66.79 ± 2.15 a |
Disclaimer/Publisher’s Note: The statements, opinions and data contained in all publications are solely those of the individual author(s) and contributor(s) and not of MDPI and/or the editor(s). MDPI and/or the editor(s) disclaim responsibility for any injury to people or property resulting from any ideas, methods, instructions or products referred to in the content. |
© 2023 by the authors. Licensee MDPI, Basel, Switzerland. This article is an open access article distributed under the terms and conditions of the Creative Commons Attribution (CC BY) license (https://creativecommons.org/licenses/by/4.0/).
Share and Cite
Liu, S.; Zhang, S.; Wang, Y.; Lu, S.; Han, S.; Liu, Y.; Jiang, H.; Wang, C.; Liu, H. Dietary Sodium Butyrate Improves Intestinal Health of Triploid Oncorhynchus mykiss Fed a Low Fish Meal Diet. Biology 2023, 12, 145. https://doi.org/10.3390/biology12020145
Liu S, Zhang S, Wang Y, Lu S, Han S, Liu Y, Jiang H, Wang C, Liu H. Dietary Sodium Butyrate Improves Intestinal Health of Triploid Oncorhynchus mykiss Fed a Low Fish Meal Diet. Biology. 2023; 12(2):145. https://doi.org/10.3390/biology12020145
Chicago/Turabian StyleLiu, Siyuan, Shuze Zhang, Yaling Wang, Shaoxia Lu, Shicheng Han, Yang Liu, Haibo Jiang, Chang’an Wang, and Hongbai Liu. 2023. "Dietary Sodium Butyrate Improves Intestinal Health of Triploid Oncorhynchus mykiss Fed a Low Fish Meal Diet" Biology 12, no. 2: 145. https://doi.org/10.3390/biology12020145
APA StyleLiu, S., Zhang, S., Wang, Y., Lu, S., Han, S., Liu, Y., Jiang, H., Wang, C., & Liu, H. (2023). Dietary Sodium Butyrate Improves Intestinal Health of Triploid Oncorhynchus mykiss Fed a Low Fish Meal Diet. Biology, 12(2), 145. https://doi.org/10.3390/biology12020145

