Improving Degradation of Polycyclic Aromatic Hydrocarbons by Bacillus atrophaeus Laccase Fused with Vitreoscilla Hemoglobin and a Novel Strong Promoter Replacement
Abstract
:Simple Summary
Abstract
1. Introduction
2. Materials and Methods
2.1. Bacterial Strains, Plasmids, Enzymes, and Chemicals
2.2. Laccase Gene Screening
2.3. Cloning and Overexpression of Lach5 in E. coli
2.4. Enzyme Assay of LacH5
2.5. Biochemical Characterization of LacH5
2.6. Benzo[a]pyrene Degradation by LacH5
2.7. Fusion of Vitreoscilla Hemoglobin and LacH5
2.8. Strong Promoter Screening and Replacement
3. Results
3.1. Laccase Screening and Heterologous Expression
3.2. Biochemical Characterization of LacH5
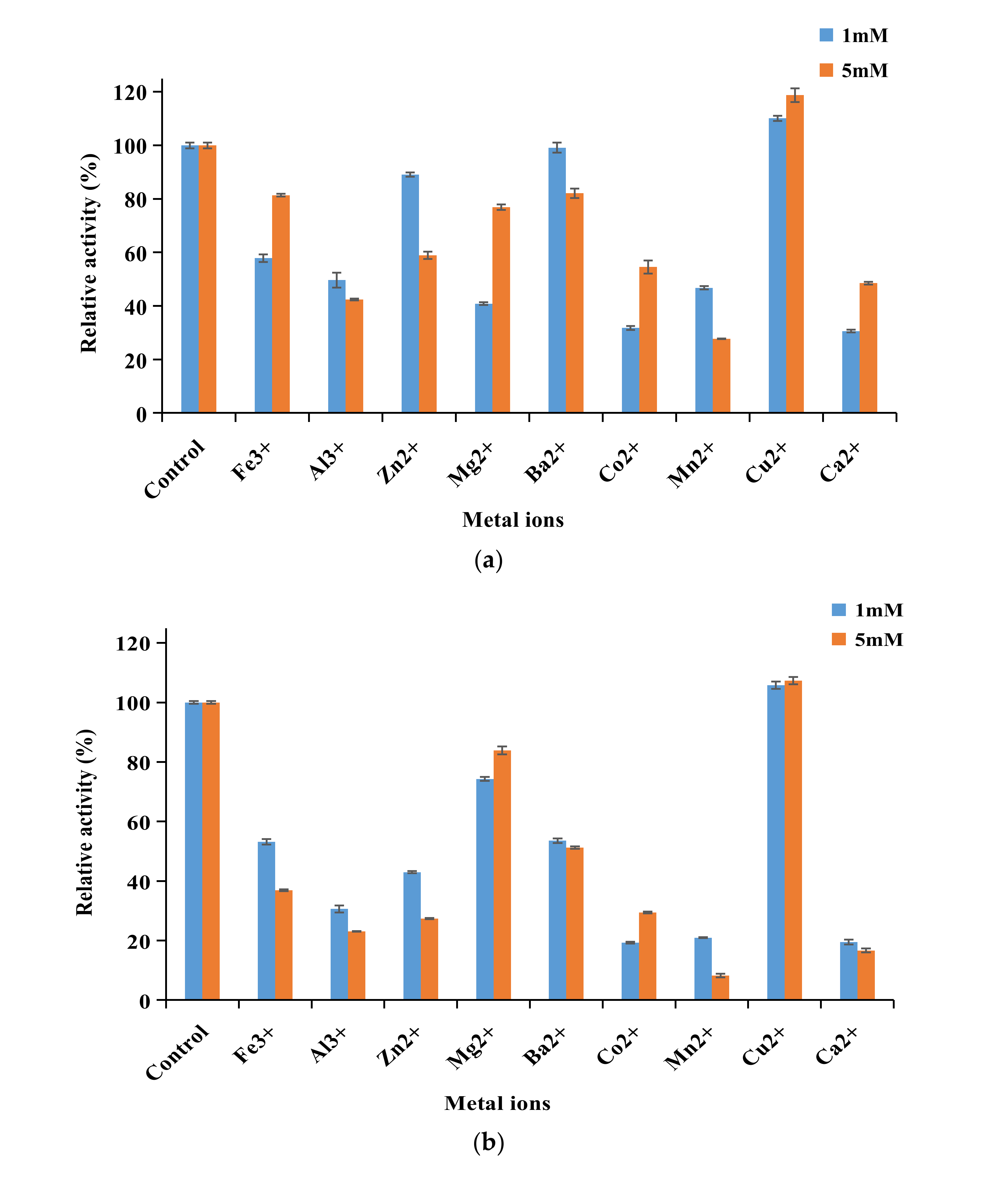
3.3. Effect of Metal Ions, Surfactants, and Organic Solvents on the Activity of LacH5
3.4. Degradation of BaP by LacH5
3.5. Construction and Expression of Fusion Proteins
3.6. Characterization of Fusion Laccases
3.7. Fusion Protein Enhances the Degradation Efficiency of PAHs
3.8. Strong Promoter Replacement Increases the Expression Level of LacH5
4. Discussion
5. Conclusions
Supplementary Materials
Author Contributions
Funding
Institutional Review Board Statement
Informed Consent Statement
Data Availability Statement
Acknowledgments
Conflicts of Interest
References
- Guan, Z.; Luo, Q.; Wang, H.; Chen, Y.; Liao, X. Bacterial laccases: Promising biological green tools for industrial applications. Cell. Mol. Life Sci. 2018, 75, 3569–3592. [Google Scholar] [CrossRef] [PubMed]
- Chauhan, P.S.; Goradia, B.; Saxena, A. Bacterial laccase: Recent update on production, properties and industrial applications. 3 Biotech 2017, 7, 323–343. [Google Scholar] [CrossRef] [PubMed]
- Martins, L.O.; Soares, C.M.; Pereira, M.M.; Teixeira, M.; Costa, T.; Jones, G.H.; Henriques, A.O. Molecular and Biochemical Characterization of a Highly Stable Bacterial Laccase That Occurs as a Structural Component of the Bacillus subtilis Endospore Coat. J. Biol. Chem. 2002, 277, 18849–18859. [Google Scholar] [CrossRef] [PubMed] [Green Version]
- Qiao, W.; Chu, J.; Ding, S.; Song, X.; Yu, L. Characterization of a thermo-alkali-stable laccase from Bacillus subtilis cjp3 and its application in dyes decolorization. J. Environ. Sci. Health Part A 2017, 52, 710–717. [Google Scholar] [CrossRef]
- Guan, Z.; Song, C.; Zhang, N.; Zhou, W.; Xu, C.; Zhou, L.; Zhao, H.; Cai, Y.; Liao, X. Overexpression, characterization, and dye-decolorizing ability of a thermostable, pH-stable, and organic solvent-tolerant laccase from Bacillus pumilus W3. J. Mol. Catal. B Enzym. 2014, 101, 1–6. [Google Scholar] [CrossRef]
- Koschorreck, K.; Richter, S.M.; Ene, A.B.; Roduner, E.; Schmid, R.D.; Urlacher, V.B. Cloning and characterization of a new laccase from Bacillus licheniformis catalyzing dimerization of phenolic acids. Appl. Microbiol. Biotechnol. 2008, 79, 217–224. [Google Scholar] [CrossRef]
- Pan, J.B.; Zhao, M.; Lu, L.; Du, M.H.; Li, G.F.; Li, J.; Wang, T.N.; Tang, X.L. Isolation and Characterization of Laccase Activity in a Novel Bacillus amyloliquefaciens LC02. Adv. Mater. Res. 2011, 183–185, 773–777. [Google Scholar] [CrossRef]
- Claus, H.; Filip, Z. The evidence of a laccase-like enzyme activity in a Bacillus sphaericus strain. Microbiol. Res. 1997, 152, 209–216. [Google Scholar] [CrossRef]
- Zhang, Y.; Li, X.; Hao, Z.; Xi, R.; Cai, Y.; Liao, X. Hydrogen Peroxide-Resistant CotA and YjqC of Bacillus altitudinis Spores Are a Promising Biocatalyst for Catalyzing Reduction of Sinapic Acid and Sinapine in Rapeseed Meal. PLoS ONE 2016, 11, e0158351. [Google Scholar] [CrossRef]
- Singh, D.; Sharma, K.K.; Jacob, S.; Gakhar, S.K. Molecular Docking of Laccase Protein from Bacillus safensis DSKK5 Isolated from Earthworm gut: A Novel Method to Study dye Decolorization Potential. Water Air Soil Pollut. 2014, 225, 2175. [Google Scholar] [CrossRef]
- Vennila, B.V.R. Optimization of laccase production media by Bacilllus cereus TSS1 using Box-Behnken design. Int. J. Chem. Pharm. Sci. 2015, 6, 95–101. [Google Scholar]
- Sondhi, S.; Sharma, P.; George, N.; Chauhan, P.S.; Puri, N.; Gupta, N. An extracellular thermo-alkali-stable laccase from Bacillus tequilensis SN4, with a potential to biobleach softwood pulp. 3 Biotech 2015, 5, 175–185. [Google Scholar] [CrossRef] [Green Version]
- Chauhan, P.S.; Jha, B. Pilot scale production of extracellular thermo-alkali stable laccase from Pseudomonas sp. S2 using agro waste and its application in organophosphorous pesticides degradation. J. Chem. Technol. Biotechnol. 2018, 93, 1022–1030. [Google Scholar] [CrossRef]
- Sharma, N.; Leung, I.K.H. Novel Thermophilic Bacterial Laccase for the Degradation of Aromatic Organic Pollutants. Front. Chem. 2021, 9, 711345. [Google Scholar] [CrossRef]
- Chandra, R.; Chowdhary, P. Properties of bacterial laccases and their application in bioremediation of industrial wastes. Environ. Sci.-Processes Impacts 2015, 17, 326–342. [Google Scholar] [CrossRef]
- Komori, H.; Higuchi, Y. Structural insights into the O2 reduction mechanism of multicopper oxidase. J. Biochem. 2015, 158, 293–298. [Google Scholar] [CrossRef] [Green Version]
- Jensen, J.; Sverdrup, L.E. Polycyclic aromatic hydrocarbon ecotoxicity data for developing soil quality criteria. Rev. Environ. Contam. Toxicol. 2003, 179, 73–97. [Google Scholar]
- Zhang, Y.; Tao, S. Global atmospheric emission inventory of polycyclic aromatic hydrocarbons (PAHs) for 2004. Atmos. Environ. 2009, 43, 812–819. [Google Scholar] [CrossRef]
- Ravindra, K.; Sokhi, R.; Vangrieken, R. Atmospheric polycyclic aromatic hydrocarbons: Source attribution, emission factors and regulation. Atmos. Environ. 2008, 42, 2895–2921. [Google Scholar] [CrossRef] [Green Version]
- Liu, K.; Han, W.; Pan, W.P.; Riley, J.T. Polycyclic aromatic hydrocarbon (PAH) emissions from a coal-fired pilot FBC system. J. Hazard. Mater. 2001, 84, 175–188. [Google Scholar] [CrossRef]
- Diggs, D.L.; Harris, K.L.; Rekhadevi, P.V.; Ramesh, A. Tumor microsomal metabolism of the food toxicant, benzo(a)pyrene, in Apc Min mouse model of colon cancer. Tumor Biol. 2012, 33, 1255–1260. [Google Scholar] [CrossRef] [Green Version]
- Kim, K.; Jahan, S.A.; Kabir, E.; Brown, R.J.C. A review of airborne polycyclic aromatic hydrocarbons (PAHs) and their human health effects. Environ. Int. 2013, 60, 71–80. [Google Scholar] [CrossRef]
- Abdel-Shafy, H.I.; Mansour, M.S.M. A review on polycyclic aromatic hydrocarbons: Source, environmental impact, effect on human health and remediation. Egypt. J. Pet. 2016, 25, 107–123. [Google Scholar] [CrossRef] [Green Version]
- Albert, L.; Juhasz, R.N. Bioremediation of high molecular weight polycyclic aromatic hydrocarbons: A review of the microbial degradation of benzo[a]pyrene. Int. Biodeterior. Biodegrad. 2000, 45, 57–88. [Google Scholar]
- Bhatt, K.K.; Lily, M.K.; Joshi, G.; Dangwal, K. Benzo(a)pyrene degradation pathway in Bacillus subtilis BMT4i (MTCC 9447). Turk. J. Biochem. 2018, 43, 693–701. [Google Scholar] [CrossRef]
- Bertrand, B.; Martínez-Morales, F.; Trejo-Hernández, M.R. Upgrading Laccase Production and Biochemical Properties: Strategies and Challenges. Biotechnol. Prog. 2017, 33, 1015–1034. [Google Scholar] [CrossRef]
- Cherry, J.C.J.; Fidantsef, A.F.A. Directed evolution of industrial enzymes: An update. Curr. Opin. Biotechnol. 2003, 14, 438–443. [Google Scholar] [CrossRef]
- Zeng, J.; Lin, X.; Zhang, J.; Li, X.; Wong, M.H. Oxidation of polycyclic aromatic hydrocarbons by the bacterial laccase CueO from E. coli. Appl. Microbiol. Biotechnol. 2011, 89, 1841–1849. [Google Scholar] [CrossRef]
- Wang, C.; Cui, D.; Lu, L.; Zhang, N.; Yang, H.; Zhao, M.; Dai, S. Cloning and characterization of CotA laccase from Bacillus subtilis WD23 decoloring dyes. Ann. Microbiol. 2016, 66, 461–467. [Google Scholar] [CrossRef]
- Yu, F.; Zhao, X.; Wang, Z.; Liu, L.; Yi, L.; Zhou, J.; Li, J.; Chen, J.; Du, G. Recent Advances in the Physicochemical Properties and Biotechnological Application of Vitreoscilla Hemoglobin. Microorganisms 2021, 9, 1455. [Google Scholar] [CrossRef]
- Guan, Z.; Zhang, N.; Song, C.; Zhou, W.; Zhou, L.; Zhao, H.; Xu, C.; Cai, Y.; Liao, X. Molecular Cloning, Characterization, and Dye-Decolorizing Ability of a Temperature- and pH-Stable Laccase from Bacillus subtilis X1. Appl. Biochem. Biotechnol. 2014, 172, 1147–1157. [Google Scholar] [CrossRef] [PubMed]
- Wang, J.; Lu, L.; Feng, F. Combined strategies for improving production of a thermo-alkali stable laccase in Pichia pastoris. Electron. J. Biotechnol. 2017, 28, 7–13. [Google Scholar] [CrossRef]
- Mate, D.M.; Alcalde, M. Laccase engineering: From rational design to directed evolution. Biotechnol. Adv. 2015, 33, 25–40. [Google Scholar] [CrossRef] [Green Version]
- Galano, M.; van den Dungen, M.W.; van Rij, T.; Abbas, H.E. Safety evaluation of food enzymes produced by a safe strain lineage of Bacillus subtilis. Regul. Toxicol. Pharmacol. 2021, 126, 105030. [Google Scholar] [CrossRef] [PubMed]
- Koschorreck, K.; Schmid, R.D.; Urlacher, V.B. Improving the functional expression of a Bacillus licheniformis laccase by random and site-directed mutagenesis. BMC Biotechnol. 2009, 9, 12. [Google Scholar] [CrossRef] [PubMed] [Green Version]
- Yoon, J.; Liboiron, B.D.; Sarangi, R.; Hodgson, K.O.; Hedman, B.; Solomon, E.I.; Stanford, L.A.C.S. The Two Oxidized Forms of the Trinuclear Cu Cluster in the Multicopper Oxidases and Mechanism for the Decay of the Native Intermediate. Proc. Natl. Acad. Sci. USA 2007, 104, 13609–13614. [Google Scholar] [CrossRef] [Green Version]
- Li, H.; He, Y.; Zhang, D.; Yue, T.; Jiang, L.; Li, N.; Xu, J. Enhancement of ganoderic acid production by constitutively expressing Vitreoscilla hemoglobin gene in Ganoderma lucidum. J. Biotechnol. 2016, 227, 35–40. [Google Scholar] [CrossRef]
- Morozova, O.V.; Shumakovich, G.P.; Shleev, S.V.; Yaropolov, Y.I. Laccase–Mediator Systems and Their Applications: A Review. Appl. Biochem. Microbiol. 2007, 43, 523–535. [Google Scholar] [CrossRef]
- Rentz, J.A.; Alvarez, P.J.J.; Schnoor, J.L. Benzo[a]pyrene degradation by Sphingomonas yanoikuyae JAR02. Environ. Pollut. 2008, 151, 669–677. [Google Scholar] [CrossRef]
- Dodor, D.E.; Hwang, H.; Ekunwe, S.I.N. Oxidation of anthracene and benzo[a]pyrene by immobilized laccase from Trametes versicolor. Enzym. Microb. Technol. 2004, 35, 210–217. [Google Scholar] [CrossRef]
- Zeng, J.; Zhu, Q.; Wu, Y.; Lin, X. Oxidation of polycyclic aromatic hydrocarbons using Bacillus subtilis CotA with high laccase activity and copper independence. Chemosphere 2016, 148, 1–7. [Google Scholar] [CrossRef]
- Galhaup, C.; Haltrich, D. Enhanced formation of laccase activity by the white-rot fungus Trametes pubescens in the presence of copper. Appl. Microbiol. Biotechnol. 2001, 56, 225–232. [Google Scholar] [CrossRef]
- Park, J.; Kang, H.; Ha, B.; Kim, S.; Kim, S.; Ro, H. Strain-dependent response to Cu2+ in the expression of laccase in Pycnoporus coccineus. Arch. Microbiol. 2015, 197, 589–596. [Google Scholar] [CrossRef]
- Shi, X.; Liu, Q.; Ma, J.; Liao, H.; Xiong, X.; Zhang, K.; Wang, T.; Liu, X.; Xu, T.; Yuan, S.; et al. An acid-stable bacterial laccase identified from the endophyte Pantoea ananatis Sd-1 genome exhibiting lignin degradation and dye decolorization abilities. Biotechnol. Lett. 2015, 37, 2279–2288. [Google Scholar] [CrossRef]
- Feng, H.; Zhang, D.; Sun, Y.; Zhi, Y.; Mao, L.; Luo, Y.; Xu, L.; Wang, L.; Zhou, P. Expression and Characterization of a Recombinant Laccase with Alkalistable and Thermostable Properties from Streptomyces griseorubens JSD-1. Appl. Biochem. Biotechnol. 2015, 176, 547–562. [Google Scholar] [CrossRef]
- Giardina, P.; Faraco, V.; Pezzella, C.; Piscitelli, A.; Vanhulle, S.; Sannia, G. Laccases: A never-ending story. Cell. Mol. Life Sci. 2010, 67, 369–385. [Google Scholar] [CrossRef]
- Fabbrini, M.; Galli, C.; Gentili, P. Comparing the catalytic efficiency of some mediators of laccase. Journal of molecular catalysis. B Enzym. 2002, 16, 231–240. [Google Scholar] [CrossRef]
- Pozdnyakova, N.N.; Rodakiewicz-Nowak, J.; Turkovskaya, O.V.; Haber, J. Oxidative degradation of polyaromatic hydrocarbons catalyzed by blue laccase from Pleurotus ostreatus D1 in the presence of synthetic mediators. Enzym. Microb. Technol. 2006, 39, 1242–1249. [Google Scholar] [CrossRef]
- Bogan, B.W.; Lamar, R.T. One-electron oxidation in the degradation of creosote polycyclic aromatic hydrocarbons by Phanerochaete chrysosporium. Appl. Environ. Microbiol. 1995, 61, 2631–2635. [Google Scholar] [CrossRef] [Green Version]
- Ike, P.T.L.; Birolli, W.G.; Dos Santos, D.M.; Porto, A.L.M.; Souza, D.H.F. Biodegradation of anthracene and different PAHs by a yellow laccase from Leucoagaricus gongylophorus. Environ. Sci. Pollut. Res. 2019, 26, 8675–8684. [Google Scholar] [CrossRef]
- Zeng, J.; Lin, X.; Zhang, J.; Zhu, H.; Chen, H.; Wong, M.H. Successive transformation of benzo[a]pyrene by laccase of Trametes versicolor and pyrene-degrading Mycobacterium strains. Appl. Microbiol. Biotechnol. 2013, 97, 3183–3194. [Google Scholar] [CrossRef]
- Thallinger, B.; Prasetyo, E.N.; Nyanhongo, G.S.; Guebitz, G.M. Antimicrobial enzymes: An emerging strategy to fight microbes and microbial biofilms. Biotechnol. J. 2013, 8, 97–109. [Google Scholar] [CrossRef]
- Yang, M.; Zhang, W.; Ji, S.; Cao, P.; Chen, Y.; Zhao, X. Generation of an Artificial Double Promoter for Protein Expression in Bacillus subtilis through a Promoter Trap System. PLoS ONE 2013, 8, e56321. [Google Scholar] [CrossRef] [Green Version]








| PAHs | Abbreviation | Structure | Rings | Excitation Wavelength | Emission Wavelength |
|---|---|---|---|---|---|
| Naphthalene | NAP | ![]() | 2 | 270 | 324 |
| Phenanthrene | PHE | ![]() | 3 | 248 | 375 |
| Anthracene | ANT | ![]() | 3 | 248 | 375 |
| Fluoranthene | FLT | ![]() | 4 | 280 | 462 |
| Pyrene | PYR | ![]() | 4 | 270 | 385 |
| Benzo[a]pyrene | BaP | ![]() | 5 | 384 | 406 |
Publisher’s Note: MDPI stays neutral with regard to jurisdictional claims in published maps and institutional affiliations. |
© 2022 by the authors. Licensee MDPI, Basel, Switzerland. This article is an open access article distributed under the terms and conditions of the Creative Commons Attribution (CC BY) license (https://creativecommons.org/licenses/by/4.0/).
Share and Cite
Wang, L.; Tan, Y.; Sun, S.; Zhou, L.; Wu, G.; Shao, Y.; Wang, M.; Xin, Z. Improving Degradation of Polycyclic Aromatic Hydrocarbons by Bacillus atrophaeus Laccase Fused with Vitreoscilla Hemoglobin and a Novel Strong Promoter Replacement. Biology 2022, 11, 1129. https://doi.org/10.3390/biology11081129
Wang L, Tan Y, Sun S, Zhou L, Wu G, Shao Y, Wang M, Xin Z. Improving Degradation of Polycyclic Aromatic Hydrocarbons by Bacillus atrophaeus Laccase Fused with Vitreoscilla Hemoglobin and a Novel Strong Promoter Replacement. Biology. 2022; 11(8):1129. https://doi.org/10.3390/biology11081129
Chicago/Turabian StyleWang, Luyao, Yuzhi Tan, Shengwei Sun, Liangjie Zhou, Guojun Wu, Yuting Shao, Mengxi Wang, and Zhihong Xin. 2022. "Improving Degradation of Polycyclic Aromatic Hydrocarbons by Bacillus atrophaeus Laccase Fused with Vitreoscilla Hemoglobin and a Novel Strong Promoter Replacement" Biology 11, no. 8: 1129. https://doi.org/10.3390/biology11081129
APA StyleWang, L., Tan, Y., Sun, S., Zhou, L., Wu, G., Shao, Y., Wang, M., & Xin, Z. (2022). Improving Degradation of Polycyclic Aromatic Hydrocarbons by Bacillus atrophaeus Laccase Fused with Vitreoscilla Hemoglobin and a Novel Strong Promoter Replacement. Biology, 11(8), 1129. https://doi.org/10.3390/biology11081129







