A Diet Supplemented with Polyphenols, Prebiotics and Omega-3 Fatty Acids Modulates the Intestinal Microbiota and Improves the Profile of Metabolites Linked with Anxiety in Dogs
Abstract
:Simple Summary
Abstract
1. Introduction
2. Materials and Methods
2.1. Study Foods
2.2. Animals and Experimental Design
2.3. Sample Collection, Scoring, Processing, and Metabolite Analysis
2.4. Microbiota and Bioinfomatics Processing
2.5. Statistical Analysis
3. Results
3.1. Food, Study Design, and Animals
3.2. Effect of the Study Foods on Blood Chemistry and Plasma Metabolites
3.3. Effect of the Study Foods on Fecal Metabolites
3.4. Effect of the Study Foods on Fecal Microbiota
3.5. Correlations of 4-Ethylphenyl Sulfate with Plasma and Fecal Metabolites and OTUs
4. Discussion
Supplementary Materials
Author Contributions
Funding
Institutional Review Board Statement
Informed Consent Statement
Data Availability Statement
Acknowledgments
Conflicts of Interest
References
- Martin, C.R.; Osadchiy, V.; Kalani, A.; Mayer, E.A. The brain-gut-microbiome axis. Cell Mol. Gastroenterol. Hepatol. 2018, 6, 133–148. [Google Scholar] [CrossRef] [PubMed] [Green Version]
- Carabotti, M.; Scirocco, A.; Maselli, M.A.; Severi, C. The gut-brain axis: Interactions between enteric microbiota, central and enteric nervous systems. Ann. Gastroenterol. 2015, 28, 203–209. [Google Scholar] [PubMed]
- Puurunen, J.; Tiira, K.; Vapalahti, K.; Lehtonen, M.; Hanhineva, K.; Lohi, H. Fearful dogs have increased plasma glutamine and gamma-glutamyl glutamine. Sci. Rep. 2018, 8, 15976. [Google Scholar] [CrossRef] [PubMed] [Green Version]
- Bouayed, J.; Rammal, H.; Soulimani, R. Oxidative stress and anxiety: Relationship and cellular pathways. Oxid. Med. Cell Longev. 2009, 2, 63–67. [Google Scholar] [CrossRef]
- Tiira, K.; Sulkama, S.; Lohi, H. Prevalence, comorbidity, and behavioral variation in canine anxiety. J. Vet. Behav. 2016, 16, 36–44. [Google Scholar] [CrossRef]
- Salonen, M.; Sulkama, S.; Mikkola, S.; Puurunen, J.; Hakanen, E.; Tiira, K.; Araujo, C.; Lohi, H. Prevalence, comorbidity, and breed differences in canine anxiety in 13,700 Finnish pet dogs. Sci. Rep. 2020, 10, 2962. [Google Scholar] [CrossRef] [Green Version]
- Tsilioni, I.; Dodman, N.; Petra, A.I.; Taliou, A.; Francis, K.; Moon-Fanelli, A.; Shuster, L.; Theoharides, T.C. Elevated serum neurotensin and CRH levels in children with autistic spectrum disorders and tail-chasing Bull Terriers with a phenotype similar to autism. Transl. Psychiatry 2014, 4, e466. [Google Scholar] [CrossRef] [Green Version]
- Moon-Fanelli, A.A.; Dodman, N.H.; Famula, T.R.; Cottam, N. Characteristics of compulsive tail chasing and associated risk factors in Bull Terriers. J. Am. Vet. Med. Assoc. 2011, 238, 883–889. [Google Scholar] [CrossRef]
- Nikolova, V.L.; Hall, M.R.B.; Hall, L.J.; Cleare, A.J.; Stone, J.M.; Young, A.H. Perturbations in gut microbiota composition in psychiatric disorders: A review and meta-analysis. JAMA Psychiatry 2021, 78, 1343–1354. [Google Scholar] [CrossRef]
- Wang, Z.; Liu, S.; Xu, X.; Xiao, Y.; Yang, M.; Zhao, X.; Jin, C.; Hu, F.; Yang, S.; Tang, B.; et al. Gut microbiota associated with effectiveness and responsiveness to mindfulness-based cognitive therapy in improving trait anxiety. Front. Cell Infect. Microbiol. 2022, 12, 719829. [Google Scholar] [CrossRef]
- Kang, D.W.; Adams, J.B.; Vargason, T.; Santiago, M.; Hahn, J.; Krajmalnik-Brown, R. Distinct Fecal and plasma metabolites in children with autism spectrum disorders and their modulation after microbiota transfer therapy. mSphere 2020, 5, e00314-20. [Google Scholar] [CrossRef] [PubMed]
- Kang, D.W.; Ilhan, Z.E.; Isern, N.G.; Hoyt, D.W.; Howsmon, D.P.; Shaffer, M.; Lozupone, C.A.; Hahn, J.; Adams, J.B.; Krajmalnik-Brown, R. Differences in fecal microbial metabolites and microbiota of children with autism spectrum disorders. Anaerobe 2018, 49, 121–131. [Google Scholar] [CrossRef] [PubMed]
- Spichak, S.; Bastiaanssen, T.F.S.; Berding, K.; Vlckova, K.; Clarke, G.; Dinan, T.G.; Cryan, J.F. Mining microbes for mental health: Determining the role of microbial metabolic pathways in human brain health and disease. Neurosci. Biobehav. Rev. 2021, 125, 698–761. [Google Scholar] [CrossRef] [PubMed]
- Humer, E.; Pieh, C.; Probst, T. Metabolomic biomarkers in anxiety disorders. Int. J. Mol. Sci. 2020, 21, 4784. [Google Scholar] [CrossRef]
- Bandelow, B.; Baldwin, D.; Abelli, M.; Bolea-Alamanac, B.; Bourin, M.; Chamberlain, S.R.; Cinosi, E.; Davies, S.; Domschke, K.; Fineberg, N.; et al. Biological markers for anxiety disorders, OCD and PTSD: A consensus statement. Part II: Neurochemistry, neurophysiology and neurocognition. World J. Biol. Psychiatry 2017, 18, 162–214. [Google Scholar] [CrossRef]
- Chen, J.J.; Bai, S.J.; Li, W.W.; Zhou, C.J.; Zheng, P.; Fang, L.; Wang, H.Y.; Liu, Y.Y.; Xie, P. Urinary biomarker panel for diagnosing patients with depression and anxiety disorders. Transl. Psychiatry 2018, 8, 192. [Google Scholar] [CrossRef] [Green Version]
- Hsiao, E.Y.; McBride, S.W.; Hsien, S.; Sharon, G.; Hyde, E.R.; McCue, T.; Codelli, J.A.; Chow, J.; Reisman, S.E.; Petrosino, J.F.; et al. Microbiota modulate behavioral and physiological abnormalities associated with neurodevelopmental disorders. Cell 2013, 155, 1451–1463. [Google Scholar] [CrossRef] [Green Version]
- Needham, B.D.; Funabashi, M.; Adame, M.D.; Wang, Z.; Boktor, J.C.; Haney, J.; Wu, W.L.; Rabut, C.; Ladinsky, M.S.; Hwang, S.J.; et al. A gut-derived metabolite alters brain activity and anxiety behaviour in mice. Nature 2022, 602, 647–653. [Google Scholar] [CrossRef]
- Needham, B.D.; Adame, M.D.; Serena, G.; Rose, D.R.; Preston, G.M.; Conrad, M.C.; Campbell, A.S.; Donabedian, D.H.; Fasano, A.; Ashwood, P.; et al. Plasma and fecal metabolite profiles in autism spectrum disorder. Biol. Psychiatry 2021, 89, 451–462. [Google Scholar] [CrossRef]
- Li, W.; Dowd, S.E.; Scurlock, B.; Acosta-Martinez, V.; Lyte, M. Memory and learning behavior in mice is temporally associated with diet-induced alterations in gut bacteria. Physiol. Behav. 2009, 96, 557–567. [Google Scholar] [CrossRef]
- Pyndt Jørgensen, B.; Hansen, J.T.; Krych, L.; Larsen, C.; Klein, A.B.; Nielsen, D.S.; Josefsen, K.; Hansen, A.K.; Sørensen, D.B. A possible link between food and mood: Dietary impact on gut microbiota and behavior in BALB/c mice. PLoS ONE 2014, 9, e103398. [Google Scholar] [CrossRef] [PubMed]
- Forssten, S.D.; Ouwehand, A.C.; Griffin, S.M.; Patterson, E. One giant leap from mouse to man: The microbiota-gut-brain axis in mood disorders and translational challenges moving towards human clinical trials. Nutrients 2022, 14, 568. [Google Scholar] [CrossRef] [PubMed]
- Bear, T.L.K.; Dalziel, J.E.; Coad, J.; Roy, N.C.; Butts, C.A.; Gopal, P.K. The role of the gut microbiota in dietary interventions for depression and anxiety. Adv. Nutr. 2020, 11, 890–907. [Google Scholar] [CrossRef] [PubMed] [Green Version]
- Taylor, A.M.; Thompson, S.V.; Edwards, C.G.; Musaad, S.M.A.; Khan, N.A.; Holscher, H.D. Associations among diet, the gastrointestinal microbiota, and negative emotional states in adults. Nutr. Neurosci. 2020, 23, 983–992. [Google Scholar] [CrossRef] [PubMed]
- Coelho, L.P.; Kultima, J.R.; Costea, P.I.; Fournier, C.; Pan, Y.; Czarnecki-Maulden, G.; Hayward, M.R.; Forslund, S.K.; Schmidt, T.S.B.; Descombes, P.; et al. Similarity of the dog and human gut microbiomes in gene content and response to diet. Microbiome 2018, 6, 72. [Google Scholar] [CrossRef]
- Serra, D.; Almeida, L.M.; Dinis, T.C.P. Polyphenols in the management of brain disorders: Modulation of the microbiota-gut-brain axis. Adv. Food Nutr. Res. 2020, 91, 1–27. [Google Scholar] [CrossRef]
- Panickar, K.S.; Jewell, D.E. The beneficial role of anti-inflammatory dietary ingredients in attenuating markers of chronic low-grade inflammation in aging. Horm. Mol. Biol. Clin. Investig. 2015, 23, 59–70. [Google Scholar] [CrossRef]
- Pontifex, M.G.; Malik, M.M.A.H.; Connell, E.; Muller, M.; Vauzour, D. Citrus polyphenols in brain health and disease: Current perspectives. Front. Neurosci. 2021, 15, 640648. [Google Scholar] [CrossRef]
- Foti, P.; Ballistreri, G.; Timpanaro, N.; Rapisarda, P.; Romeo, F.V. Prebiotic effects of citrus pectic oligosaccharides. Nat. Prod. Res. 2021, 36, 3173–3176. [Google Scholar] [CrossRef]
- Ligor, M.; Trziszka, T. Study of antioxidant activity of biologically active compounds isolated from green vegetables by coupled analytical techniques. Food Anal. Methods 2013, 6, 630–636. [Google Scholar] [CrossRef] [Green Version]
- Ko, S.H.; Park, J.H.; Kim, S.Y.; Lee, S.W.; Chun, S.S.; Park, E. Antioxidant effects of spinach (Spinacia oleracea L.) supplementation in hyperlipidemic rats. Prev. Nutr. Food Sci. 2014, 19, 19–26. [Google Scholar] [CrossRef] [PubMed] [Green Version]
- Silva Dias, J.C. Nutritional and health benefits of carrots and their seed extracts. Food Nutr. Sci. 2014, 5, 2147–2156. [Google Scholar] [CrossRef] [Green Version]
- Collins, E.J.; Bowyer, C.; Tsouza, A.; Chopra, M. Tomatoes: An extensive review of the associated health impacts of tomatoes and factors that can affect their cultivation. Biology 2022, 11, 239. [Google Scholar] [CrossRef] [PubMed]
- Dziedzic, K.; Górecka, D.; Szwengiel, A.; Michniewicz, J.; Drożdżyńska, A.; Walkowiak, J. Interactions between fecal bacteria, bile acids and components of tomato pomace. Food Sci. Biotechnol. 2019, 28, 649–655. [Google Scholar] [CrossRef] [PubMed] [Green Version]
- Sarfraz, S.; Khan, S.; Augustine, Z.; Raees, H.; Arif, R.; Saeed, K. Anxiolytic activity of tomato juice on animal model. J. Anal. Pharm. Res. 2018, 7, 249–252. [Google Scholar] [CrossRef] [Green Version]
- Salehi, B.; Sharifi-Rad, R.; Sharopov, F.; Namiesnik, J.; Roointan, A.; Kamle, M.; Kumar, P.; Martins, N.; Sharifi-Rad, J. Beneficial effects and potential risks of tomato consumption for human health: An overview. Nutrition 2019, 62, 201–208. [Google Scholar] [CrossRef]
- Su, K.P.; Tseng, P.T.; Lin, P.Y.; Okubo, R.; Chen, T.Y.; Chen, Y.W.; Matsuoka, Y.J. Association of use of omega-3 polyunsaturated fatty acids with changes in severity of anxiety symptoms: A systematic review and meta-analysis. JAMA Netw. Open 2018, 1, e182327. [Google Scholar] [CrossRef]
- Van de Rest, O.; Geleijnse, J.M.; Kok, F.J.; van Staveren, W.A.; Hoefnagels, W.H.; Beekman, A.T.; de Groot, L.C. Effect of fish-oil supplementation on mental well-being in older subjects: A randomized, double-blind, placebo-controlled trial. Am. J. Clin. Nutr. 2008, 88, 706–713. [Google Scholar] [CrossRef] [Green Version]
- Hall, J.A.; Jackson, M.I.; Jewell, D.E.; Ephraim, E. Chronic kidney disease in cats alters response of the plasma metabolome and fecal microbiome to dietary fiber. PLoS ONE 2020, 15, e0235480. [Google Scholar] [CrossRef]
- Golder, C.; Weemhoff, J.L.; Jewell, D.E. Cats have increased protein digestibility as compared to dogs and improve their ability to absorb protein as dietary protein intake shifts from animal to plant sources. Animals 2020, 10, 541. [Google Scholar] [CrossRef] [Green Version]
- Hall, J.A.; Melendez, L.D.; Jewell, D.E. Using gross energy improves metabolizable energy predictive equations for pet foods whereas undigested protein and fiber content predict stool quality. PLoS ONE 2013, 8, e54405. [Google Scholar] [CrossRef] [PubMed] [Green Version]
- Hall, J.A.; Yerramilli, M.; Obare, E.; Yerramilli, M.; Jewell, D.E. Comparison of serum concentrations of symmetric dimethylarginine and creatinine as kidney function biomarkers in cats with chronic kidney disease. J. Vet. Intern. Med. 2014, 28, 1676–1683. [Google Scholar] [CrossRef] [PubMed] [Green Version]
- Floerchinger, A.M.; Jackson, M.I.; Jewell, D.E.; MacLeay, J.M.; Paetau-Robinson, I.; Hahn, K.A. Effect of feeding a weight loss food beyond a caloric restriction period on body composition and resistance to weight gain in dogs. J. Am. Vet. Med. Assoc. 2015, 247, 375–384. [Google Scholar] [CrossRef] [PubMed]
- Hall, J.A.; Jackson, M.I.; Vondran, J.C.; Vanchina, M.A.; Jewell, D.E. Comparison of circulating metabolite concentrations in dogs and cats when allowed to freely choose macronutrient intake. Biol. Open 2018, 7, bio036228. [Google Scholar] [CrossRef] [PubMed] [Green Version]
- Jackson, M.I.; Jewell, D.E. Balance of saccharolysis and proteolysis underpins improvements in stool quality induced by adding a fiber bundle containing bound polyphenols to either hydrolyzed meat or grain-rich foods. Gut Microbes 2019, 10, 298–320. [Google Scholar] [CrossRef] [Green Version]
- Panickar, K.S.; Jewell, D.E. The benefit of anti-inflammatory and renal-protective dietary ingredients on the biological processes of aging in the kidney. Biology 2018, 7, 45. [Google Scholar] [CrossRef] [Green Version]
- Israelyan, N.; Margolis, K.G. Reprint of: Serotonin as a link between the gut-brain-microbiome axis in autism spectrum disorders. Pharm. Res. 2019, 140, 115–120. [Google Scholar] [CrossRef]
- Fedoce, A.D.G.; Ferreira, F.; Bota, R.G.; Bonet-Costa, V.; Sun, P.Y.; Davies, K.J.A. The role of oxidative stress in anxiety disorder: Cause or consequence? Free. Radic. Res. 2018, 52, 737–750. [Google Scholar] [CrossRef]
- Irino, Y.; Toh, R.; Nagao, M.; Mori, T.; Honjo, T.; Shinohara, M.; Tsuda, S.; Nakajima, H.; Satomi-Kobayashi, S.; Shinke, T.; et al. 2-Aminobutyric acid modulates glutathione homeostasis in the myocardium. Sci. Rep. 2016, 6, 36749. [Google Scholar] [CrossRef] [Green Version]
- Chatgilialoglu, C.; Ferreri, C. Reductive stress of sulfur-containing amino acids within proteins and implication of tandem protein-lipid damage. Int. J. Mol. Sci. 2021, 22, 12863. [Google Scholar] [CrossRef]
- Adachi, Y.; Toyoshima, K.; Nishimoto, R.; Ueno, S.; Tanaka, T.; Imaizumi, A.; Arashida, N.; Nakamura, M.; Abe, Y.; Hakamada, T.; et al. Association between plasma α-aminobutyric acid and depressive symptoms in older community-dwelling adults in Japan. Geriatr. Gerontol. Int. 2019, 19, 254–258. [Google Scholar] [CrossRef] [PubMed]
- Davis, D.J.; Hecht, P.M.; Jasarevic, E.; Beversdorf, D.Q.; Will, M.J.; Fritsche, K.; Gillespie, C.H. Sex-specific effects of docosahexaenoic acid (DHA) on the microbiome and behavior of socially-isolated mice. Brain Behav. Immun. 2017, 59, 38–48. [Google Scholar] [CrossRef] [PubMed]
- Demirkan, A.; Isaacs, A.; Ugocsai, P.; Liebisch, G.; Struchalin, M.; Rudan, I.; Wilson, J.F.; Pramstaller, P.P.; Gyllensten, U.; Campbell, H.; et al. Plasma phosphatidylcholine and sphingomyelin concentrations are associated with depression and anxiety symptoms in a Dutch family-based lipidomics study. J. Psychiatr. Res. 2013, 47, 357–362. [Google Scholar] [CrossRef] [PubMed]
- Larrieu, T.; Layé, S. Food for mood: Relevance of nutritional omega-3 fatty acids for depression and anxiety. Front. Physiol. 2018, 9, 1047. [Google Scholar] [CrossRef] [PubMed]
- Nejabati, H.R.; Mihanfar, A.; Pezeshkian, M.; Fattahi, A.; Latifi, Z.; Safaie, N.; Valiloo, M.; Jodati, A.R.; Nouri, M. N1-methylnicotinamide (MNAM) as a guardian of cardiovascular system. J. Cell Physiol. 2018, 233, 6386–6394. [Google Scholar] [CrossRef]
- Tian, Y.J.; Li, D.; Ma, Q.; Gu, X.Y.; Guo, M.; Lun, Y.Z.; Sun, W.P.; Wang, X.Y.; Cao, Y.; Zhou, S.S. Excess nicotinamide increases plasma serotonin and histamine levels. Sheng Li Xue Bao 2013, 65, 33–38. [Google Scholar]
- Evrensel, A.; Unsalver, B.O.; Ceylan, M.E. Immune-kynurenine pathways and the gut microbiota-brain axis in anxiety disorders. In Anxiety Disorders; Kim, Y.-K., Ed.; Advances in Experimental Medicine and Biology 1191; Springer Nature: Singapore, 2020; pp. 155–167. [Google Scholar] [CrossRef]
- Deng, Y.; Zhou, M.; Wang, J.; Yao, J.; Yu, J.; Liu, W.; Wu, L.; Wang, J.; Gao, R. Involvement of the microbiota-gut-brain axis in chronic restraint stress: Disturbances of the kynurenine metabolic pathway in both the gut and brain. Gut Microbes 2021, 13, 1–16. [Google Scholar] [CrossRef]
- Roager, H.M.; Licht, T.R. Microbial tryptophan catabolites in health and disease. Nat. Commun. 2018, 9, 3294. [Google Scholar] [CrossRef] [Green Version]
- DeNapoli, J.S.; Dodman, N.H.; Shuster, L.; Rand, W.M.; Gross, K.L. Effect of dietary protein content and tryptophan supplementation on dominance aggression, territorial aggr.ression, and hyperactivity in dogs. J. Am. Vet. Med. Assoc. 2000, 217, 504–508. [Google Scholar] [CrossRef]
- Robinson, E.; Templeman, J.R.; Thornton, E.; Croney, C.C.; Niel, L.; Shoveller, A.K. Investigating the effects of incremental conditioning and supplemental dietary tryptophan on the voluntary activity and behaviour of mid-distance training sled dogs. PLoS ONE 2020, 15, e0232643. [Google Scholar] [CrossRef]
- Templeman, J.R.; Davenport, G.M.; Cant, J.P.; Osborne, V.R.; Shoveller, A.K. The effect of graded concentrations of dietary tryptophan on canine behavior in response to the approach of a familiar or unfamiliar individual. Can. J. Vet. Res. 2018, 82, 294–305. [Google Scholar] [PubMed]
- Shan, B.; Ai, Z.; Zeng, S.; Song, Y.; Song, J.; Zeng, Q.; Liao, Z.; Wang, T.; Huang, C.; Su, D. Gut microbiome-derived lactate promotes to anxiety-like behaviors through GPR81 receptor-mediated lipid metabolism pathway. Psychoneuroendocrinology 2020, 117, 104699. [Google Scholar] [CrossRef] [PubMed]
- Albrecht, J.; Sidoryk-Węgrzynowicz, M.; Zielińska, M.; Aschner, M. Roles of glutamine in neurotransmission. Neuron Glia Biol. 2010, 6, 263–276. [Google Scholar] [CrossRef]
- Camilleri, M. Human Intestinal Barrier: Effects of Stressors, Diet, Prebiotics, and Probiotics. Clin. Transl. Gastroenterol. 2021, 12, e00308. [Google Scholar] [CrossRef] [PubMed]
- Matés, J.M.; Pérez-Gómez, C.; Núñez de Castro, I.; Asenjo, M.; Márquez, J. Glutamine and its relationship with intracellular redox status, oxidative stress and cell proliferation/death. Int. J. Biochem. Cell Biol. 2002, 34, 439–458. [Google Scholar] [CrossRef]
- Hasler, G.; Buchmann, A.; Haynes, M.; Muller, S.T.; Ghisleni, C.; Brechbuhl, S.; Tuura, R. Association between prefrontal glutamine levels and neuroticism determined using proton magnetic resonance spectroscopy. Transl. Psychiatry 2019, 9, 170. [Google Scholar] [CrossRef]
- Anwar, A.; Abruzzo, P.M.; Pasha, S.; Rajpoot, K.; Bolotta, A.; Ghezzo, A.; Marini, M.; Posar, A.; Visconti, P.; Thornalley, P.J.; et al. Advanced glycation endproducts, dityrosine and arginine transporter dysfunction in autism—A source of biomarkers for clinical diagnosis. Mol. Autism 2018, 9, 3. [Google Scholar] [CrossRef]
- Shinohe, A.; Hashimoto, K.; Nakamura, K.; Tsujii, M.; Iwata, Y.; Tsuchiya, K.J.; Sekine, Y.; Suda, S.; Suzuki, K.; Sugihara, G.; et al. Increased serum levels of glutamate in adult patients with autism. Prog. Neuropsychopharmacol. Biol. Psychiatry 2006, 30, 1472–1477. [Google Scholar] [CrossRef] [Green Version]
- Kikuchi, K.; Itoh, Y.; Tateoka, R.; Ezawa, A.; Murakami, K.; Niwa, T. Metabolomic search for uremic toxins as indicators of the effect of an oral sorbent AST-120 by liquid chromatography/tandem mass spectrometry. J. Chromatogr. B Anal. Technol. Biomed. Life Sci. 2010, 878, 2997–3002. [Google Scholar] [CrossRef]
- Mair, R.D.; Sirich, T.L.; Plummer, N.S.; Meyer, T.W. Characteristics of colon-derived uremic solutes. Clin. J. Am. Soc. Nephrol. 2018, 13, 1398–1404. [Google Scholar] [CrossRef] [Green Version]
- Rhee, E.P.; Souza, A.; Farrell, L.; Pollak, M.R.; Lewis, G.D.; Steele, D.J.; Thadhani, R.; Clish, C.B.; Greka, A.; Gerszten, R.E. Metabolite profiling identifies markers of uremia. J. Am. Soc. Nephrol. 2010, 21, 1041–1051. [Google Scholar] [CrossRef] [PubMed] [Green Version]
- Hall, J.A.; Yerramilli, M.; Obare, E.; Yerramilli, M.; Almes, K.; Jewell, D.E. Serum concentrations of symmetric dimethylarginine and creatinine in dogs with naturally occurring chronic kidney disease. J. Vet. Intern. Med. 2016, 30, 794–802. [Google Scholar] [CrossRef] [PubMed] [Green Version]
- Vaziri, N.D.; Wong, J.; Pahl, M.; Piceno, Y.M.; Yuan, J.; DeSantis, T.Z.; Ni, Z.; Nguyen, T.H.; Andersen, G.L. Chronic kidney disease alters intestinal microbial flora. Kidney Int. 2013, 83, 308–315. [Google Scholar] [CrossRef] [PubMed] [Green Version]
- Barandouzi, Z.A.; Starkweather, A.R.; Henderson, W.A.; Gyamfi, A.; Cong, X.S. Altered composition of gut microbiota in depression: A systematic review. Front. Psychiatry 2020, 11, 541. [Google Scholar] [CrossRef]
- Simpson, C.A.; Diaz-Arteche, C.; Eliby, D.; Schwartz, O.S.; Simmons, J.G.; Cowan, C.S.M. The gut microbiota in anxiety and depression—A systematic review. Clin. Psychol. Rev. 2021, 83, 101943. [Google Scholar] [CrossRef]
- De Angelis, M.; Piccolo, M.; Vannini, L.; Siragusa, S.; De Giacomo, A.; Serrazzanetti, D.I.; Cristofori, F.; Guerzoni, M.E.; Gobbetti, M.; Francavilla, R. Fecal microbiota and metabolome of children with autism and pervasive developmental disorder not otherwise specified. PLoS ONE 2013, 8, e76993. [Google Scholar] [CrossRef] [Green Version]
- Jewell, D.E.; Jackson, M.I.; Cochrane, C.Y.; Badri, D.V. Feeding fiber-bound polyphenol ingredients at different levels modulates colonic postbiotics to improve gut health in dogs. Animals 2022, 12, 627. [Google Scholar] [CrossRef]
- Pilla, R.; Suchodolski, J.S. The gut microbiome of dogs and cats, and the influence of diet. Vet. Clin. N. Am. Small Anim. Pract. 2021, 51, 605–621. [Google Scholar] [CrossRef]
- Liu, F.; Li, J.; Wu, F.; Zheng, H.; Peng, Q.; Zhou, H. Altered composition and function of intestinal microbiota in autism spectrum disorders: A systematic review. Transl. Psychiatry 2019, 9, 43. [Google Scholar] [CrossRef]
- Iglesias-Vázquez, L.; Van Ginkel Riba, G.; Arija, V.; Canals, J. Composition of gut microbiota in children with autism spectrum disorder: A systematic review and meta-analysis. Nutrients 2020, 12, 792. [Google Scholar] [CrossRef] [Green Version]
- Xu, M.; Xu, X.; Li, J.; Li, F. Association between gut microbiota and autism spectrum disorder: A systematic review and meta-analysis. Front. Psychiatry 2019, 10, 473. [Google Scholar] [CrossRef] [PubMed]
- Turna, J.; Grosman Kaplan, K.; Anglin, R.; Patterson, B.; Soreni, N.; Bercik, P.; Surette, M.G.; Van Ameringen, M. The gut microbiome and inflammation in obsessive-compulsive disorder patients compared to age- and sex-matched controls: A pilot study. Acta Psychiatr. Scand. 2020, 142, 337–347. [Google Scholar] [CrossRef]
- Hiippala, K.; Barreto, G.; Burrello, C.; Diaz-Basabe, A.; Suutarinen, M.; Kainulainen, V.; Bowers, J.R.; Lemmer, D.; Engelthaler, D.M.; Eklund, K.K.; et al. Novel Odoribacter splanchnicus strain and its outer membrane vesicles exert immunoregulatory effects in vitro. Front. Microbiol. 2020, 11, 575455. [Google Scholar] [CrossRef] [PubMed]
- Santoro, A.; Zhao, J.; Wu, L.; Carru, C.; Biagi, E.; Franceschi, C. Microbiomes other than the gut: Inflammaging and age-related diseases. Semin. Immunopathol. 2020, 42, 589–605. [Google Scholar] [CrossRef] [PubMed]
- Caspani, G.; Kennedy, S.; Foster, J.A.; Swann, J. Gut microbial metabolites in depression: Understanding the biochemical mechanisms. Microb. Cell 2019, 6, 454–481. [Google Scholar] [CrossRef]
- Du, X.; Xiang, Y.; Lou, F.; Tu, P.; Zhang, X.; Hu, X.; Lyu, W.; Xiao, Y. Microbial community and short-chain fatty acid mapping in the intestinal tract of quail. Animals 2020, 10, 1006. [Google Scholar] [CrossRef]
- Van de Wouw, M.; Boehme, M.; Lyte, J.M.; Wiley, N.; Strain, C.; O’Sullivan, O.; Clarke, G.; Stanton, C.; Dinan, T.G.; Cryan, J.F. Short-chain fatty acids: Microbial metabolites that alleviate stress-induced brain-gut axis alterations. J. Physiol. 2018, 596, 4923–4944. [Google Scholar] [CrossRef]
- Liu, S.; Li, E.; Sun, Z.; Fu, D.; Duan, G.; Jiang, M.; Yu, Y.; Mei, L.; Yang, P.; Tang, Y.; et al. Altered gut microbiota and short chain fatty acids in Chinese children with autism spectrum disorder. Sci. Rep. 2019, 9, 287. [Google Scholar] [CrossRef]
- Eichenfield, D.Z.; Sprague, J.; Eichenfield, L.F. Management of acne vulgaris: A review. JAMA 2021, 326, 2055–2067. [Google Scholar] [CrossRef]
- Gámiz, F.; Gallo, M. A systematic review of the dietary choline impact on cognition from a psychobiological approach: Insights from animal studies. Nutrients 2021, 13, 1966. [Google Scholar] [CrossRef]
- Agam, G.; Taylor, Z.; Vainer, E.; Golan, H.M. The influence of choline treatment on behavioral and neurochemical autistic-like phenotype in Mthfr-deficient mice. Transl. Psychiatry 2020, 10, 316. [Google Scholar] [CrossRef] [PubMed]
- Pujo, J.; Petitfils, C.; Le Faouder, P.; Eeckhaut, V.; Payros, G.; Maurel, S.; Perez-Berezo, T.; Van Hul, M.; Barreau, F.; Blanpied, C.; et al. Bacteria-derived long chain fatty acid exhibits anti-inflammatory properties in colitis. Gut 2021, 70, 1088–1097. [Google Scholar] [CrossRef]


| Analyte (%) | Washout Food | Control Food | Test Food |
|---|---|---|---|
| Ash | 4.3 | 5.5 | 5.4 |
| Crude fat | 13.4 | 13.6 | 13.9 |
| DHA | <0.01 | 0.08 | 0.06 |
| EPA | <0.01 | 0.1 | 0.09 |
| DPA | <0.01 | 0.02 | 0.02 |
| Omega-3 sum | 0.42 | 0.82 | 0.74 |
| Omega-6 sum | 3.9 | 3.3 | 3.3 |
| Crude fiber | 1.6 | 1.0 | 1.0 |
| Neutral detergent fiber | 7.5 | 3.6 | 3.4 |
| Crude protein | 18.8 | 21.5 | 21.4 |
| Moisture | 8.1 | 8.1 | 9.0 |
| Apparent dry matter digestibility | 84.4 | 87.5 | 84.8 |
| True protein digestibility | 87.4 | 92.2 | 91.1 |
| Washout Food | Control Food | Test Food | |
|---|---|---|---|
| Food intake, g | 163.7 ± 0.8 | 170.7 ± 1.3 * | 166.1 ± 1.0 *† |
| Body weight, kg | 10.4 ± 2.1 | 10.3 ± 2.0 | 10.3 ± 2.1 |
| pH | 5.8 ± 0.04 | 5.8 ± 0.04 | 5.8 ± 0.03 |
| Ash, % | 6.5 ± 0.24 | 6.9 ± 0.22 | 6.8 ± 0.18 |
| Moisture, % | 70.6 ± 0.48 | 72.4 ± 0.41 * | 71.9 ± 0.34 * |
| Ammonia, mmol/g | 0.040 ± 0.001 | 0.035 ± 0.002 * | 0.030 ± 0.001 * |
| Stool score | 4.6 ± 0.5 | 4.3 ± 0.6 | 4.4 ± 0.7 |
| Colony Reference Range | Washout Food | Control Food | Test Food | |
|---|---|---|---|---|
| Albumin, g/dL | 2.9–4.0 | 3.4 ± 0.04 | 3.6 ± 0.06 * | 3.6 ± 0.06 * |
| BUN, mg/dL | 6.4–20.5 | 11.2 ± 0.50 | 12.8 ± 0.81 * | 12.2 ± 0.77 * |
| Creatinine, mg/dL | 0.41–0.82 | 0.68 ± 0.02 | 0.67 ± 0.02 | 0.65 ± 0.02 |
| Cholesterol, mg/dL | 133–401 | 196 ± 5.0 | 215 ± 7.5 * | 219 ± 7.7 * |
| Sodium, mmol/L | 144–150 | 149 ± 0.19 | 149 ± 0.26 | 149 ± 0.26 |
| Triglycerides, mg/dL | 34–429 | 103 ± 8.3 | 97.9 ± 7.7 | 92.7 ± 8.6 |
| Calcium, mg/dL | 9.6–11.7 | 10.1 ± 0.06 | 10.2 ± 0.07 * | 10.3 ± 0.08 * |
| Chloride, mmol/L | 105–115 | 111 ± 0.27 | 111 ± 0.34 | 110 ± 0.30 * |
| Potassium, mmol/L | 4.0–5.3 | 4.7 ± 0.03 | 4.6 ± 0.05 * | 4.6 ± 0.06 * |
| Plasma Metabolite | Washout Food | Control Food | Test Food | p Value, Washout vs. Control Food | p Value, Washout vs. Test Food | p Value, Control vs. Test Food |
|---|---|---|---|---|---|---|
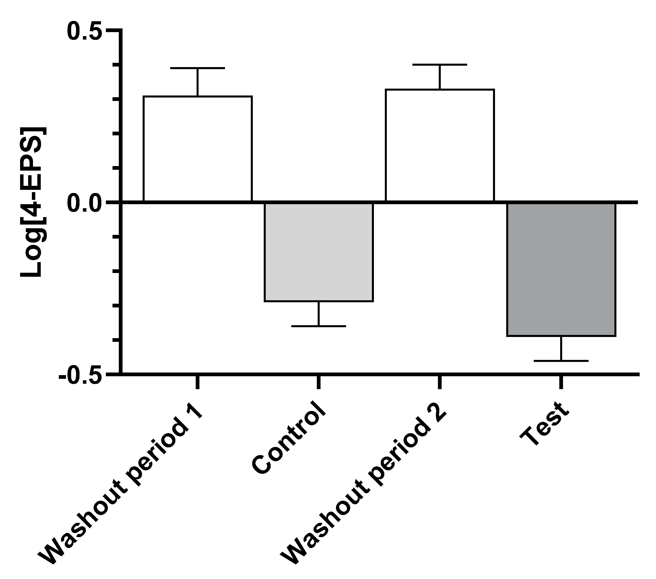
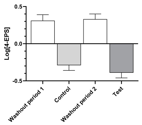
| 4-ethylphenyl sulfate (4-EPS) | 0.33 ± 0.07 | −0.29 ± 0.07 | −0.39 ± 0.07 | <0.001 | <0.001 | 0.028 |
| DHA; 22:6n3 | −0.4 ± 0.07 | 0.43 ± 0.05 | 0.37 ± 0.06 | <0.001 | <0.001 | NS |
| glutamate | 0.09 ± 0.04 | −0.01 ± 0.05 | −0.02 ± 0.04 | 0.001 | <0.001 | NS |
| glutamine | 0.04 ± 0.01 | −0.03 ± 0.02 | −0.04 ± 0.01 | <0.001 | <0.001 | NS |
| gamma-glutamylglutamate | −0.53 ± 0.13 | −0.74 ± 0.12 | −0.92 ± 0.11 | NS | 0.002 | NS |
| dimethylarginine (ADMA + SDMA) | 0.05 ± 0.02 | −0.02 ± 0.02 | −0.02 ± 0.02 | <0.001 | <0.001 | NS |
| 1-methylnicotinamide | −0.16 ± 0.06 | 0.08 ± 0.04 | 0.08 ± 0.06 | <0.001 | <0.001 | NS |
| 2-aminobutyrate | −0.08 ± 0.02 | 0.05 ± 0.03 | 0.09 ± 0.03 | <0.001 | <0.001 | NS |
| lactate | 0.10 ± 0.04 | −0.03 ± 0.04 | −0.07 ± 0.03 | <0.001 | <0.001 | NS |
| choline | 0.09 ± 0.02 | −0.07 ± 0.03 | −0.07 ± 0.03 | <0.001 | <0.001 | NS |
| sphingomyelin (d18:2/23:1) | −0.19 ± 0.07 | 0.13 ± 0.06 | 0.05 ± 0.06 | <0.001 | <0.001 | 0.021 |
| sphingomyelin (d18:1/24:1, d18:2/24:0) | −0.13 ± 0.05 | 0.17 ± 0.05 | 0.12 ± 0.05 | <0.001 | <0.001 | NS |
| citrate | 0.02 ± 0.02 | −0.02 ± 0.02 | −0.02 ± 0.02 | 0.009 | 0.019 | NS |
| carboxyethyl-GABA | 0.04 ± 0.08 | −0.002 ± 0.08 | −0.10 ± 0.07 | NS | 0.049 | NS |
| hippurate | −0.31 ± 0.15 | −0.20 ± 0.15 | 0.05 ± 0.15 | NS | 0.020 | NS |
| indolelactate | −0.08 ± 0.08 | 0.07 ± 0.08 | 0.07 ± 0.07 | 0.033 | NS | NS |
| kynurenate | −0.07 ± 0.09 | 0.02 ± 0.08 | −0.02 ± 0.08 | NS | NS | NS |
| kynurenine | −0.02 ± 0.05 | −0.06 ± 0.05 | −0.11 ± 0.05 | NS | 0.002 | NS |
| N-acetylkynurenine | −0.16 ± 0.10 | 0.04 ± 0.08 | 0.01 ± 0.10 | 0.010 | NS | NS |
| phenol sulfate | 0.10 ± 0.11 | 0.02 ± 0.09 | −0.18 ± 0.09 | NS | 0.003 | NS |
| serotonin | −0.73 ± 0.18 | −0.35 ± 0.20 | −0.33 ± 0.20 | 0.031 | NS | NS |
| azelate (nonanedioate; C9) | 0.05 ± 0.05 | 0.01 ± 0.07 | 0.16 ± 0.07 | NS | NS | NS |
| trimethylamine N-oxide | −0.16 ± 0.09 | −0.05 ± 0.09 | 0.05 ± 0.08 | NS | 0.009 | NS |
| Fecal Metabolite | Washout Food | Control Food | Test Food | p Value, Washout vs. Control Food | p Value, Washout vs. Test Food | p Value, Control vs. Test Food |
|---|---|---|---|---|---|---|
| DHA; 22:6n3 | −0.54 ± 0.13 | 0.43 ± 0.10 | 0.37 ± 0.12 | <0.001 | <0.001 | NS |
| glutamate | 0.11 ± 0.08 | −0.28 ± 0.10 | −0.32 ± 0.08 | <0.001 | <0.001 | NS |
| glutamine | 0.09 ± 0.07 | −0.22 ± 0.08 | −0.43 ± 0.10 | 0.001 | <0.001 | NS |
| dimethylarginine (ADMA + SDMA) | −0.01 ± 0.06 | 0.08 ± 0.06 | 0.10 ± 0.05 | 0.048 | 0.003 | NS |
| carboxyethyl-GABA | −0.10 ± 0.05 | 0.03 ± 0.04 | 0.13 ± 0.04 | 0.009 | <0.001 | NS |
| choline | −0.06 ± 0.06 | −0.15 ± 0.05 | −0.03 ± 0.05 | NS | NS | 0.030 |
| 1-methylnicotinamide | 0.09 ± 0.19 | −0.30 ± 0.21 | −0.04 ± 0.16 | NS | NS | NS |
| lactate | 0.39 ± 0.14 | −0.34 ± 0.18 | −0.38 ± 0.17 | 0.001 | 0.001 | NS |
| sphingomyelin (d18:1/24:1, d18:2/24:0) | 0.05 ± 0.17 | −0.35 ± 0.18 | −0.27 ± 0.18 | 0.003 | 0.048 | NS |
| hippurate | −0.37 ± 0.18 | −0.70 ± 0.19 | −0.84 ± 0.15 | NS | 0.040 | NS |
| indolelactate | 0.14 ± 0.23 | −0.26 ± 0.22 | −0.10 ± 0.19 | 0.040 | NS | NS |
| kynurenate | 0.56 ± 0.26 | 0.17 ± 0.22 | −0.08 ± 0.22 | NS | 0.010 | NS |
| kynurenine | −0.21 ± 0.04 | 0.39 ± 0.07 | 0.50 ± 0.07 | <0.001 | <0.001 | NS |
| N-acetylkynurenine | −0.94 ± 0.14 | 0.70 ± 0.15 | 0.85 ± 0.12 | <0.001 | <0.001 | NS |
| phenol sulfate | −0.01 ± 0.20 | 0.21 ± 0.22 | −0.04 ± 0.20 | NS | NS | NS |
| serotonin | 0.12 ± 0.09 | −0.06 ± 0.07 | −0.19 ± 0.08 | 0.030 | 0.002 | NS |
| azelate (nonanedioate; C9) | −0.07 ± 0.06 | −0.13 ± 0.06 | 0.85 ± 0.06 | NS | <0.001 | <0.001 |
| trimethylamine N-oxide | −0.14 ± 0.13 | 0.004 ± 0.14 | −0.03 ± 0.13 | NS | NS | NS |
| OTU | Washout Food | Control Food | Test Food | p Value, Washout vs. Control Food | p Value, Washout vs. Test Food | p Value, Control vs. Test Food |
|---|---|---|---|---|---|---|
| 361186 Lachnospiraceae Blautia unclassified | 7.34 ± 0.21 | 8.69 ± 0.26 | 8.64 ± 0.26 | <0.001 | <0.001 | NS |
| 689975 Porphyromonadaceae Parabacteroides | 0.86 ± 0.19 | 2.18 ± 0.15 | 2.06 ± 0.18 | <0.001 | <0.001 | NS |
| 1030652 Odoribacteraceae Odoribacter | 0.64 ± 0.27 | 2.1 ± 0.33 | 1.8 ± 0.33 | <0.001 | <0.001 | NS |
| 93469 Mogibacteriaceae Anaerovorax | −2.72 ± 0.05 | −1.73 ± 0.17 | −2.13 ± 0.14 | <0.001 | <0.001 | 0.026 |
| 1020403 Actinomycetaceae | −2.73 ± 0.06 | −2.23 ± 0.16 | −2.50 ± 0.11 | 0.008 | 0.033 | NS |
| 195865 Lachnospiraceae | 6.99 ± 0.33 | 5.93 ± 0.31 | 6.24 ± 0.31 | <0.001 | 0.008 | NS |
| 13805 Veillonellaceae Anaerovibrio | 4.10 ± 0.29 | 3.13 ± 0.22 | 2.69 ± 0.27 | 0.004 | <0.001 | NS |
| 1016422 Pasteurellaceae Haemophilus parainfluenzae | 0.91 ± 0.27 | 1.7 ± 0.20 | 1.77 ± 0.20 | 0.002 | 0.002 | NS |
| 1141218 Coriobacteriaceae Eggerthella | −1.35 ± 0.04 | −1.0 ± 0.12 | −1.22 ± 0.80 | 0.009 | NS | NS |
| 100035 Helicobacteraceae unclassified | −0.31 ± 0.17 | −0.8 ± 0.12 | −0.73 ± 0.12 | 0.034 | NS | NS |
| 4342860 Gemellaceae unclassified | −0.79 ± 0.21 | −0.04 ± 0.23 | −0.53 ± 0.19 | 0.004 | NS | 0.043 |
| 112457 Pasteuriaceae | −1.07 ± 0.04 | −0.86 ± 0.11 | −0.95 ± 0.04 | NS | 0.017 | NS |
| 52166 Veillonellaceae Megasphaera | 6.57 ± 0.22 | 6.03 ± 0.17 | 6.20 ± 0.19 | 0.020 | 0.031 | NS |
| 15257 Carnobacteriaceae Carnobacterium viridans | −1.71± 0.03 | −1.55 ± 0.06 | −1.62 ± 0.04 | 0.008 | 0.017 | NS |
| 100212 Veillonellaceae | 4.65 ± 0.29 | 3.66 ± 0.23 | 4.03 ± 0.22 | 0.003 | 0.033 | NS |
| 37911 Comamonadaceae Mitsuaria chitosanitabida | −0.04 ± 0.27 | 0.05 ± 0.24 | −0.57 ± 0.25 | NS | 0.017 | 0.018 |
| 104145 Rikenellaceae Blvii28 | −0.53 ± 0.19 | −0.06 ± 0.15 | −0.27 ± 0.17 | 0.036 | NS | NS |
| 10001 Enterobacteriaceae unclassified | −0.68 ± 0.33 | 0.79 ± 0.43 | 0.51 ± 0.47 | 0.001 | 0.015 | NS |
| 965048 Neisseriaceae | −0.48 ± 0.21 | −1.05 ± 0.19 | −0.83 ± 0.25 | 0.004 | NS | NS |
| 945478 unclassified * | 1.19 ± 0.27 | 1.19 ± 0.24 | 0.74 ± 0.26 | NS | 0.040 | 0.027 |
| 1090029 Sanguibacteraceae Sanguibacter | −1.30 ± 0.03 | −1.10 ± 0.06 | −1.21 ± 0.04 | 0.001 | 0.007 | NS |
| 351494 Glycomycetaceae Glycomyces harbinensis | −2.68 ± 0.09 | −2.51 ± 0.11 | −2.37 ± 0.18 | 0.008 | 0.035 | NS |
| 804742 Euzebyaceae Euzebya | −0.06 ± 0.22 | −0.55 ± 0.16 | −0.64 ± 0.16 | 0.022 | 0.016 | NS |
| 897625 Coxiellaceae | −1.18 ± 0.04 | −1.09 ± 0.05 | −0.68 ± 0.15 | 0.011 | 0.002 | 0.012 |
| 1000602 unclassified | −2.4 ± 0.08 | −2.04 ± 0.15 | −2.16 ± 0.12 | 0.040 | NS | NS |
| 103388 Acholeplasmataceae Acholeplasma | −1.84 ± 0.13 | −1.94 ± 0.06 | −1.55 ± 0.21 | NS | NS | 0.046 |
| 4361046 Campylobacteraceae Campylobacter unclassified | −0.77 ± 0.25 | 0.64 ± 0.40 | 1.10 ± 0.43 | <0.001 | <0.001 | NS |
| 1141335 Helicobacteraceae Flexispira unclassified | 0.11 ± 0.23 | 0.19 ± 0.20 | −0.29 ± 0.21 | NS | NS | 0.041 |
| 10196 Enterobacteriaceae Brenneria | −3.24 ± 0.08 | −2.70 ± 0.15 | −2.82 ± 0.15 | 0.001 | 0.009 | NS |
| 579304 Lactobacillaceae | −2.97 ± 0.05 | −2.73 ± 0.12 | −2.78 ± 0.10 | 0.017 | NS | NS |
| 146665 Erysipelotrichaceae Eubacterium biforme | 1.65 ± 0.40 | 0.18 ± 0.30 | 1.10 ± 0.35 | <0.001 | NS | 0.009 |
| 1000161 Pseudomonadaceae unclassified | 1.76 ± 0.35 | −0.43 ± 0.31 | −0.44 ± 0.27 | <0.001 | <0.001 | NS |
| Correlations with Plasma Metabolites | Correlations with Fecal Metabolites | |||||
|---|---|---|---|---|---|---|
| Metabolite | Estimate ± SE | p Value | r2 | Estimate ± SE | p Value | r2 |
| DHA; 22:6n3 | −0.37 ± 0.06 | <0.001 | 0.16 | −0.63 ± 0.13 | <0.001 | 0.16 |
| gamma-glutamylglutamate | −0.12 ± 0.06 | 0.041 | 0.01 | - | - | - |
| dimethylarginine (ADMA + SDMA | - | - | - | −0.20 ± 0.06 | <0.001 | 0.10 |
| 2-aminobutyrate | −0.62 ± 0.22 | 0.006 | 0.02 | - | - | - |
| choline | - | - | - | −0.15 ± 0.06 | 0.008 | 0.06 |
| sphingomyelin (d18:1/24:1, d18:2/24:0) | −0.37 ± 0.13 | 0.007 | 0.01 | - | - | - |
| azelate (nonanedioate; C9) | - | - | - | −0.25 ± 0.1 | 0.010 | 0.06 |
| hippurate | −0.10 ± 0.04 | 0.021 | 0.02 | - | - | - |
| indolelactate | 0.37 ± 0.09 | <0.001 | 0.01 | - | - | - |
| kynurenine | 0.72 ± 0.14 | <0.001 | 0.15 | −0.35 ± 0.08 | <0.001 | 0.15 |
| N-acetylkynurenine | 0.28 ± 0.07 | <0.001 | 0.31 | −1.20 ± 0.17 | <0.001 | 0.31 |
| phenol sulfate | 0.35 ± 0.07 | <0.001 | 0.001 | - | - | - |
| trimethylamine N-oxide | −0.32 ± 0.08 | <0.001 | 0.004 | - | - | - |
| OTU | Estimate | p Value | r2 |
|---|---|---|---|
| 361186 Lachnospiraceae Blautia | −1.03 | <0.001 | 0.12 |
| 689975 Porphyromonadaceae Parabacteroides | −0.99 | <0.001 | 0.20 |
| 1030652 Odoribacteraceae Odoribacter | −1.11 | 0.001 | 0.09 |
| 93469 Mogibacteriaceae Anaerovorax | −0.41 | 0.006 | 0.06 |
| 1020403 Actinomycetaceae | −0.37 | 0.003 | 0.07 |
| 1016422 Pasteurellaceae Haemophilus parainfluenzae | −0.79 | 0.001 | 0.09 |
| 10196f Enterobacteriaceae Brenneria | −0.31 | 0.023 | 0.04 |
| 4361046 Campylobacteraceae Campylobacter | −1.10 | 0.006 | 0.06 |
| 109002 Sanguibacteraceae Sanguibacter | −0.13 | 0.009 | 0.06 |
| 897625 Coxiellaceae | −0.30 | 0.003 | 0.07 |
| 10001 Enterobacteriaceae unclassified | −1.10 | 0.013 | 0.05 |
| 1000161 Pseudomonadaceae unclassified | 0.93 | 0.012 | 0.05 |
| 1141335 Helicobacteraceae Flexispira | 0.67 | 0.002 | 0.08 |
| 13805 Veillonellaceae Anaerovibrio | 0.83 | 0.004 | 0.07 |
| 146665 Erysipelotrichaceae Eubacterium biforme | 1.03 | 0.006 | 0.06 |
| 37911 Comamonadaceae Mitsuaria chitosanitabida | 0.60 | 0.026 | 0.04 |
| 945478 unclassified * | 0.83 | 0.002 | 0.08 |
Publisher’s Note: MDPI stays neutral with regard to jurisdictional claims in published maps and institutional affiliations. |
© 2022 by the authors. Licensee MDPI, Basel, Switzerland. This article is an open access article distributed under the terms and conditions of the Creative Commons Attribution (CC BY) license (https://creativecommons.org/licenses/by/4.0/).
Share and Cite
Ephraim, E.; Brockman, J.A.; Jewell, D.E. A Diet Supplemented with Polyphenols, Prebiotics and Omega-3 Fatty Acids Modulates the Intestinal Microbiota and Improves the Profile of Metabolites Linked with Anxiety in Dogs. Biology 2022, 11, 976. https://doi.org/10.3390/biology11070976
Ephraim E, Brockman JA, Jewell DE. A Diet Supplemented with Polyphenols, Prebiotics and Omega-3 Fatty Acids Modulates the Intestinal Microbiota and Improves the Profile of Metabolites Linked with Anxiety in Dogs. Biology. 2022; 11(7):976. https://doi.org/10.3390/biology11070976
Chicago/Turabian StyleEphraim, Eden, Jeffrey A. Brockman, and Dennis E. Jewell. 2022. "A Diet Supplemented with Polyphenols, Prebiotics and Omega-3 Fatty Acids Modulates the Intestinal Microbiota and Improves the Profile of Metabolites Linked with Anxiety in Dogs" Biology 11, no. 7: 976. https://doi.org/10.3390/biology11070976
APA StyleEphraim, E., Brockman, J. A., & Jewell, D. E. (2022). A Diet Supplemented with Polyphenols, Prebiotics and Omega-3 Fatty Acids Modulates the Intestinal Microbiota and Improves the Profile of Metabolites Linked with Anxiety in Dogs. Biology, 11(7), 976. https://doi.org/10.3390/biology11070976

